Analysis of Powertrain Loading Dynamic Characteristics and the Effects on Fatigue Damage
Abstract
:1. Introduction
2. Collection and Analysis of Test Loading Spectra
2.1. Rotary Telemetry Torque Measurement System
2.2. Data Preprocessing
2.2.1. Data Verification
2.2.2. Effective Band Estimation and Sampling Rate
2.2.3. Data Interpolation and Filtering
2.3. Analysis of the Test Data
2.3.1. Time Domain Analysis
2.3.2. Frequency Domain Analysis
2.4. Summary
3. Dynamic Analysis of Powertrain System
3.1. System Dynamic Model
3.1.1. Description of the Powertrain System
3.1.2. System Dynamic Equation
3.1.3. System Input and Response
3.2. Model Validation
3.2.1. Natural Frequency Analysis
3.2.2. Frequency Domain Analysis
3.2.3. Time Domain Analysis
3.3. Summary
4. Fatigue Damage Analysis
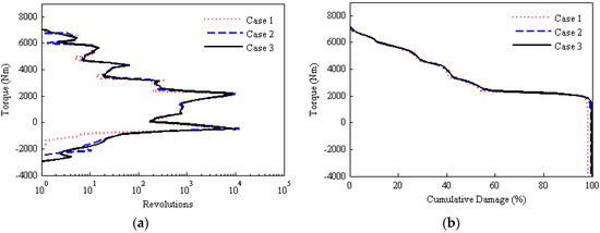
- Case 1: with the mean engine torque taking into account, the powertrain system was considered as rigid.
- Case 2: with the mean engine torque taking into account, the spring-damper components in the powertrain system were considered.
- Case 3: both the mean and harmonic engine torque was took into account, and the spring-damper components in the powertrain system was considered.
4.1. Rainflow Method
4.2. Rotating Moment Histogram (RMH) Method
4.3. Summary
5. Conclusions
- (1)
- The 5-axle vehicle powertrain loading are mainly decided by three factors: the mean engine torque, the 1st and 4th harmonic engine torque, and the elasticity of the powertrain system.
- (2)
- During the shifting process, the shock torque generated by the clutch produces a greater impact on the engine and the transmission output shafts, and the amplitude of transmission output shaft torque is larger. The 1st harmonic engine torque has effects on both the engine and the transmission output shaft loading. The 4th harmonic engine torque has a great influence on the engine output shaft loading, but little impact on the transmission output shaft loading.
- (3)
- Considering the effects of the stiffness and damping of the elastic coupling, the torsional damper, and the tires, dynamic analysis of the powertrain shows that the 1st order natural frequency coincides with the vibration frequency during shifting process, and the 2nd and 3rd order natural frequencies are not obvious. With the superposition of the mean engine torque, the 1st and 4th harmonic engine torque as system inputs, and the vehicle resistances in driving as system loads, the responses have a good agreement with the experimental data.
- (4)
- For shaft parts, the 4th harmonic engine torque has a great influence on the engine output shaft. The large amount of small loading cycles contribute 80% pseudo-fatigue damage but have little impact on the transmission output shaft. The torque oscillations during shifting process have a greater impact on the fatigue damage of the transmission output shaft torque than the engine output shaft. For gear parts, the mean engine torque constitutes the majority of the pseudo-damage. Regardless of the factors of the harmonic engine torque and the powertrain system, elasticity only results in less than 5% errors.
- (5)
- As the harmonic engine torque and the elastic components have a significant impact on the powertrain loading dynamic characteristics and fatigue damage for shaft parts, further research in optimizing the stiffness and damping of the elastic coupling and torsional damper can be made to reduce the vibration of the system and extend lifetime of components in the future work, while the elasticity of the tire is also non-negligible in analyzing the system characteristics.
Author Contributions
Conflicts of Interest
References
- Khosrovaneh, A.; Pattu, R.; Schnaidt, W. Discussion of fatigue analysis techniques in automotive applications. SAE Tech. Pap. 2004. [Google Scholar] [CrossRef]
- Kim, J.H.; Kim, K.U.; Wu, Y.G. Analysis of transmission load of agricultural tractors. J. Terramech. 2000, 37, 113–125. [Google Scholar] [CrossRef]
- Lee, S.H.; Lee, J.H.; Goo, S.H.; Cho, Y.C.; Cho, H.Y. An evaluation of relative damage to the powertrain system in tracked vehicles. Sensors 2009, 9, 1845–1859. [Google Scholar] [CrossRef] [PubMed]
- Grubisic, V. Determination of load spectra for design and testing. Int. J. Veh. Des. 1994, 15, 8–26. [Google Scholar]
- Lee, Y.L.; Haq, S.; Rilly, J.T.; DiDomenico, R.L. Accounting for driver variability in vehicle powertrain durability testing. Int. J. Mater. Prod. Technol. 2002, 17, 434–452. [Google Scholar] [CrossRef]
- Wang, J.; Wang, N.; Wang, Z.; Zhang, Y.; Liu, L. Determination of the minimum sample size for the transmission load of a wheel loader based on multi-criteria decision-making technology. J. Terramech. 2012, 49, 147–160. [Google Scholar] [CrossRef]
- Jambhale, M.S.; Manel, V.A.; Kale, J.G.; Saraf, M.R. Vehicle Response and Real World Driving Pattern for Indian Scenario for Vehicle Development and Optimization Program. SAE Tech. Pap. 2013. [Google Scholar] [CrossRef]
- Mattetti, M.; Molari, G.; Sedoni, E. Methodology for the realisation of accelerated structural tests on tractors. Biosyst. Eng. 2012, 113, 266–271. [Google Scholar] [CrossRef]
- Shih, S.; Kuan, S.; Eschenburg, D. Considerations in the development of durability specifications for vehicle drive train component test. SAE Tech. Pap. 2003. [Google Scholar] [CrossRef]
- Joseph, B.; Attibele, P.; Lee, Y.L.; Haq, S. A PG-based powertrain model to generate component loads for fatigue reliability testing. SAE Tech. Pap. 2003. [Google Scholar] [CrossRef]
- Haq, S.; Joseph, B.; Lee, Y.L.; Taylor, D.; Attibele, P. Vehicle powertrain loading simulation and variability. SAE Tech. Pap. 2004. [Google Scholar] [CrossRef]
- Attibele, P.; Makam, S.; Lee, Y. A Comparison of Real World and Accelerated Powertrain Endurance Cycles for Light-Duty Vehicles. Available online: https://www.nrel.gov/transportation/assets/pdfs/chrysler_paper_posted_with_author_permission.pdf (accessed on 21 April, 2014).
- Wang, J.; Zhang, J.; Liang, Y.; Yang, Y. A cyclic simulation approach for the generation of the non-stationary load histories of engineering vehicles. J. Mech. Sci. Technol. 2012, 26, 1547–1554. [Google Scholar] [CrossRef]
- Wang, J.; Hu, J.; Wang, N.; Yao, M.; Wang, Z. Multi-criteria decision-making method-based approach to determine a proper level for extrapolation of Rainflow matrix. Proc. Inst. Mech. Eng. Part C J. Mech. Eng. Sci. 2012, 226, 1148–1161. [Google Scholar] [CrossRef]
- Lin, S.K.; Lee, Y.L.; Lu, M.W. Evaluation of the staircase and the accelerated test methods for fatigue limit distributions. Int. J. Fatigue 2001, 23, 75–83. [Google Scholar] [CrossRef]
- Oelmann, B. Determination of load spectra for durability approval of car drive lines. Fatigue Fract. Eng. Mater. 2002, 25, 1121–1125. [Google Scholar] [CrossRef]
- Ilie, S.; Ninic, D.; Stark, H.L.; Tordon, M.; Katupitiya, J. Effect of road conditions on the fatigue life of an automatic transmission output shaft. Proc. Inst. Mech. Eng. Part D J. Automob. Eng. 2005, 219, 337–344. [Google Scholar] [CrossRef]
- Zhu, M.W.; Li, Y.X.; Bu, X.Z. Processing and Analysis of Testing Signals, 1st ed.; Beihang University Press: Beijing, China, 2008; p. 86. ISBN 7-81077-923-0. [Google Scholar]
- Walker, P.D.; Zhang, N. Modelling of dual clutch transmission equipped powertrains for shift transient simulations. Mech. Mach. Theory 2013, 60, 47–59. [Google Scholar] [CrossRef]
- Kim, C.-J. Accelerated Sine-on-Random Vibration Test method of ground vehicle components over conventional single mode excitation. Appl. Sci. 2017, 7, 805. [Google Scholar] [CrossRef]
- Lee, Y.L.; Pan, J.; Hathaway, R.; Barkey, M. Fatigue Testing and Analysis, 1st ed.; Elsevier Inc.: Burlington, NJ, USA, 2005; pp. 127–140. [Google Scholar]














| Gear | Moment of Inertia (kg m2) | Stiffness (Nm/rad) | Natural Frequency (Hz) | |||||||
|---|---|---|---|---|---|---|---|---|---|---|
| J1 | J2 | J3 | J4 | K1 | K2 | K3 | 1 | 2 | 3 | |
| 1 | 14.608 | 1.309 | 2.6 | 5.0 | 23,000 | 50,000 | 479 | 2.4 | 12.7 | 42.3 |
| 2 | 2.7 | 11.3 | 1083 | 2.7 | 12.8 | 42.1 | ||||
| 3 | 2.9 | 24.2 | 2300 | 3.0 | 13.0 | 41.8 | ||||
| 4 | 3.4 | 49.2 | 4682 | 3.5 | 13.4 | 41.4 | ||||
| 5 | 4.2 | 104.7 | 9964 | 4.0 | 14.2 | 40.7 | ||||
| 6 | 6.4 | 236.7 | 22,510 | 4.5 | 15.2 | 39.8 | ||||
| 7 | 10.7 | 502.6 | 47,810 | 4.9 | 16.0 | 39.0 | ||||
| 8 | 19.2 | 1024.2 | 97,420 | 5.0 | 16.6 | 38.5 | ||||
| Channel | Minimum | Maximum | Mean | MAX RANGE | Std Deviation | RMS | |
|---|---|---|---|---|---|---|---|
| Engine | Case 1 | −596.518 | 3201.51 | 1344.351 | 3798.028 | 1371.193 | 1920.273 |
| Case 2 | −1848.1 | 3581.597 | 1344.412 | 5429.697 | 1376.596 | 1924.177 | |
| Case 3 | −2351.01 | 3947.91 | 1344.412 | 6298.921 | 1382.514 | 1928.416 | |
| Transmission | Case 1 | −1697.73 | 6748.207 | 1064.202 | 8445.938 | 1264.079 | 1652.398 |
| Case 2 | −3540.17 | 9208.032 | 1064.249 | 12748.2 | 1275.829 | 1661.435 | |
| Case 3 | −3666.31 | 9522.35 | 1064.249 | 13188.66 | 1276.794 | 1662.175 | |
© 2017 by the authors. Licensee MDPI, Basel, Switzerland. This article is an open access article distributed under the terms and conditions of the Creative Commons Attribution (CC BY) license (http://creativecommons.org/licenses/by/4.0/).
Share and Cite
Bai, J.; Wu, X.; Gao, F.; Li, H. Analysis of Powertrain Loading Dynamic Characteristics and the Effects on Fatigue Damage. Appl. Sci. 2017, 7, 1027. https://doi.org/10.3390/app7101027
Bai J, Wu X, Gao F, Li H. Analysis of Powertrain Loading Dynamic Characteristics and the Effects on Fatigue Damage. Applied Sciences. 2017; 7(10):1027. https://doi.org/10.3390/app7101027
Chicago/Turabian StyleBai, Jinyang, Xuelei Wu, Feng Gao, and Hongbiao Li. 2017. "Analysis of Powertrain Loading Dynamic Characteristics and the Effects on Fatigue Damage" Applied Sciences 7, no. 10: 1027. https://doi.org/10.3390/app7101027
APA StyleBai, J., Wu, X., Gao, F., & Li, H. (2017). Analysis of Powertrain Loading Dynamic Characteristics and the Effects on Fatigue Damage. Applied Sciences, 7(10), 1027. https://doi.org/10.3390/app7101027

