Flame Retardance and Smoke Suppression of CFA/APP/LDHs/EVA Composite
Abstract
:1. Introduction
2. Materials and Methods
2.1. Materials
2.2. Synthesis of the Modified-LDHs with M2+ and M3+ in a Molar Rate of 4:1
2.3. Preparation of Flame-Retarded EVA Composites
2.4. Measurements
3. Results and Discussion
3.1. XRD and IR Analysis of the Prepared LDHs
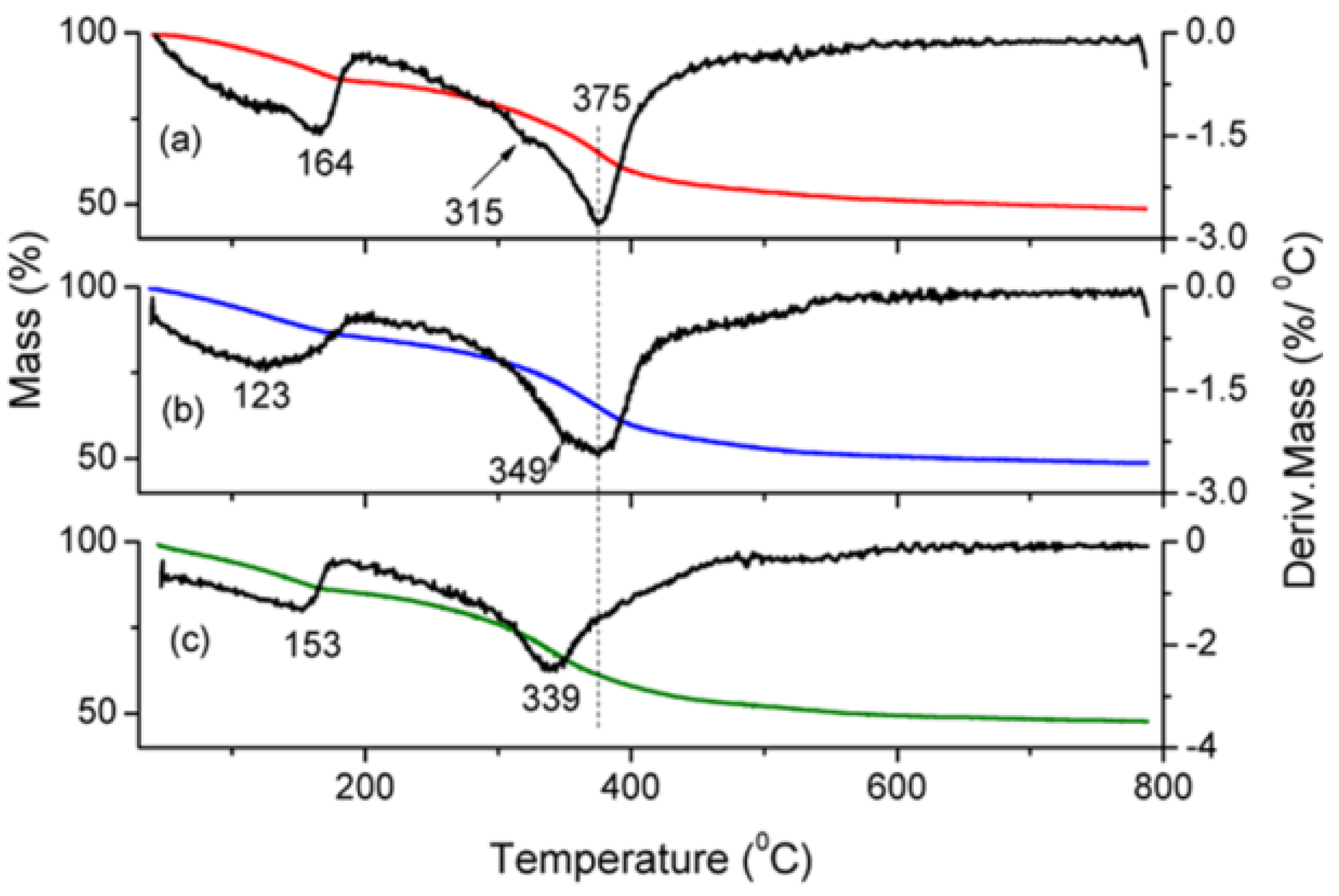
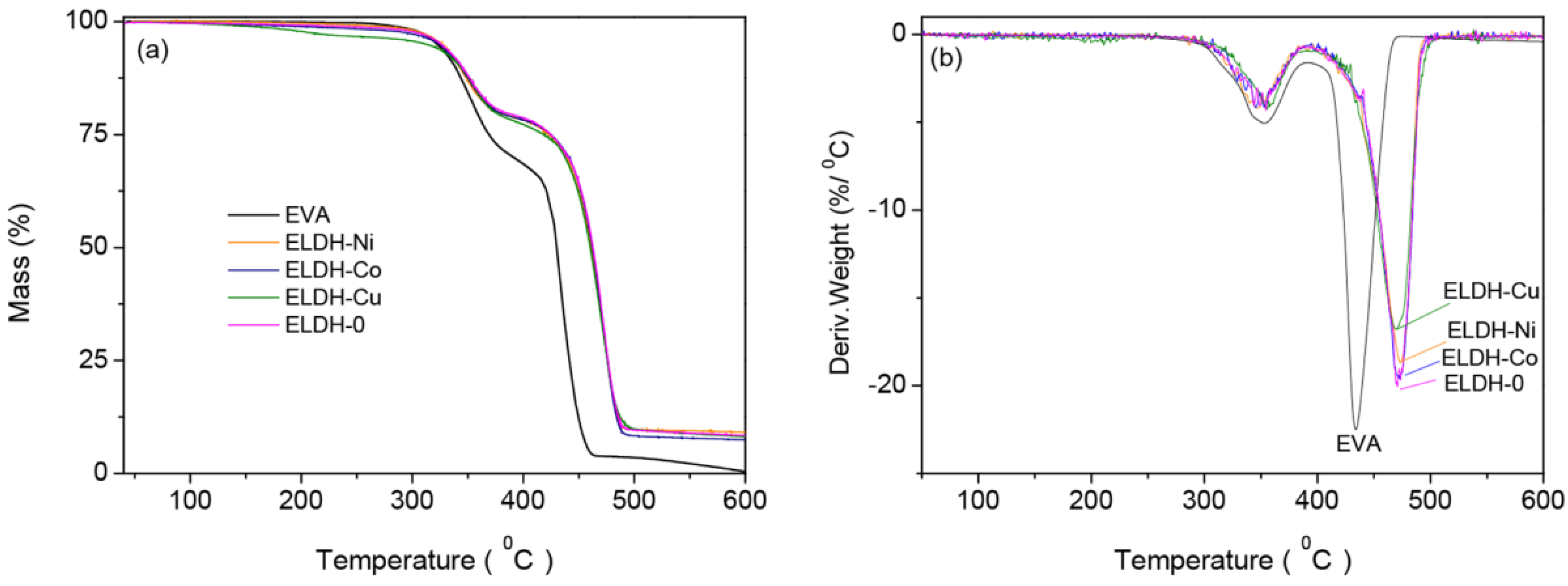
3.2. Thermal Analysis of the Prepared LDHs and Composites.
3.3. Flame Retardance and Smoke Suppression Mechanism of Composites
4. Conclusions
Acknowledgments
Author Contributions
Conflicts of Interest
References
- Kalali, E.N.; Juan, S.D.; Wang, X.; Nie, S.; Wang, R.; Wang, D.Y. Comparative study on synergistic effect of LDH and zirconium phosphate with aluminum trihydroxide on flame retardancy of EVA composites. J. Therm. Anal. Calorim. 2015, 121, 619–626. [Google Scholar] [CrossRef]
- Jiao, C.; Chen, X. Synergistic effects of titanium dioxide with layered double hydroxides in EVA/LDH composites. Polym. Eng. Sci. 2011, 51, 2166–2170. [Google Scholar] [CrossRef]
- Liu, L.; Hu, J.; Zhuo, J.; Jiao, C.; Chen, X.; Li, S. Synergistic flame retardant effects between hollow glass microspheres and magnesium hydroxide in ethylene-vinyl acetate composites. Polym. Degrad. Stab. 2014, 104, 87–94. [Google Scholar] [CrossRef]
- Batistella, M.; Otazaghine, B.; Sonnier, R.; Caro-Bretelle, A.-S.; Petter, C.; Lopez-Cuesta, J.-M. Fire retardancy of ethylene vinyl acetate/ultrafine kaolinite composites. Polym. Degrad. Stab. 2014, 100, 54–62. [Google Scholar] [CrossRef]
- Altarawneh, M.; Dlugogorski, B.Z. Thermal Decomposition of 1,2-Bis(2,4,6-tribromophenoxy)ethane (BTBPE), a novel brominated flame retardant. Environ. Sci. Technol. 2014, 48, 14335–14343. [Google Scholar] [CrossRef] [PubMed]
- Altarawneh, M.; Dlugogorski, B.Z. Mechanism of thermal decomposition of tetrabromobisphenol a (TBBA). J. Phys. Chem. A 2014, 118, 9338–9346. [Google Scholar] [CrossRef] [PubMed]
- Zhang, M.; Yao, Q.; Lu, C.; Li, Z.; Wang, W. Layered double hydroxide-carbon dot composite: high-performance adsorbent for removal of anionic organic dye. ACS Appl. Mater. Interfaces 2014, 6, 20225–20233. [Google Scholar] [CrossRef] [PubMed]
- Sahoo, P.; Ishihara, S.; Yamada, K.; Deguchi, K.; Ohki, S.; Tansho, M.; Shimizu, T.; Eisaku, N.; Sasai, R.; Labuta, J.; et al. Rapid exchange between atmospheric CO2 and carbonate anion intercalated within magnesium rich layered double hydroxide. ACS Appl. Mater. Interfaces 2014, 6, 18352–18359. [Google Scholar] [CrossRef] [PubMed]
- Wang, B.; Zhou, K.; Wang, B.; Gui, Z.; Hu, Y. Synthesis and characterization of CuMoO4/Zn–Al layered double hydroxide hybrids and their application as a reinforcement in polypropylene. Ind. Eng. Chem. Res. 2014, 53, 12355–12362. [Google Scholar] [CrossRef]
- Gao, Y.; Wang, Q.; Wang, J.; Huang, L.; Yan, X.; Zhang, X.; He, Q.; Xing, Z.; Guo, Z. Synthesis of highly efficient flame retardant high-density polyethylene nanocomposites with inorgano-layered double hydroxides as nanofiller using solvent mixing method. ACS Appl. Mater. Interfaces 2014, 6, 5094–5104. [Google Scholar] [CrossRef] [PubMed]
- Li, Y.C.; Yang, Y.H.; Shields, J.R.; Davis, R.D. Layered double hydroxide-based fire resistant coatings for flexible polyurethane foam. Polymer 2015, 56, 284–292. [Google Scholar] [CrossRef]
- Wang, L.; Li, B.; Hu, Z.; Cao, J. Effect of nickel on the properties of composites composed of layered double hydroxides and ethylene vinyl acetate copolymer. Appl. Clay Sci. 2013, 72, 138–146. [Google Scholar] [CrossRef]
- Wang, L.; Li, B.; Zhang, X.; Chen, C.; Zhang, F. Effect of intercalated anions on the performance of Ni–Al LDH nanofiller of ethylene vinyl acetate composites. Appl. Clay Sci. 2012, 56, 110–119. [Google Scholar] [CrossRef]
- Wang, L.; Li, B.; Zhao, X.; Chen, C.; Cao, J. Effect of rare earth ions on the properties of composites composed of ethylene vinyl acetate copolymer and layered double hydroxides. PLoS ONE 2012, 7, e37781. [Google Scholar] [CrossRef] [PubMed]
- Wang, L.; Li, B.; Yang, M.; Chen, C.; Liu, Y. Effect of Ni cations and microwave hydrothermal treatment on the related properties of layered double hydroxide-ethylene vinyl acetate copolymer composites. J. Colloid Interface Sci. 2011, 356, 519–525. [Google Scholar] [CrossRef] [PubMed]
- Li, B.; Xu, M. Effect of a novel charring–foaming agent on flame retardancy and thermal degradation of intumescent flame retardant polypropylene. Polym. Degrad. Stab. 2006, 91, 1380–1386. [Google Scholar] [CrossRef]
- Ding, S.; Feng, J.; Hao, J.; Liao, Q. A study on the fire resistance performance and thermal degradation behavior of a new intumescent flame retardant fluoroelastomer. J. Fire Sci. 2014, 32, 362–373. [Google Scholar] [CrossRef]
- Nie, S.; Qi, S.; He, M.; Li, B. Synergistic effects of zeolites on a novel intumescent flame-retardant low-density polyethylene (LDPE) system. J. Therm. Anal. Calorim. 2013, 114, 581–587. [Google Scholar] [CrossRef]
- Li, S.; Li, B. Effect of elastomer on flame retardancy, thermal degradation, and mechanical properties of intumescent flame-retardant polyethylene. J. Elastom. Plast. 2011, 43, 257–273. [Google Scholar]
- Nie, S.; Peng, C.; Yuan, S.; Zhang, M. Thermal and flame retardant properties of novel intumescent flame retardant polypropylene composites. J. Therm. Anal. Calorim. 2013, 113, 865–871. [Google Scholar] [CrossRef]
- Bai, P.; Li, B.; Gao, S.; Lin, M.; Wang, M. Investigation on flame retardancy and antidripping of new intumescent flame retardant polypropylene film. Polym. Polym. Compos. 2010, 18, 495–502. [Google Scholar]
- Li, B.; Jia, H.; Guan, L.; Bing, B.; Dai, J. A novel intumescent flame-retardant system for flame-retarded LLDPE/EVA composites. J. Appl. Polym. Sci. 2009, 114, 3626–3635. [Google Scholar] [CrossRef]
- Herrero, M.; Benito, P.; Labajos, F.M.; Rives, V. Stabilization of Co2+ in layered double hydroxides (LDHs) by microwave-assisted ageing. J. Solid State Chem. 2007, 180, 873–884. [Google Scholar] [CrossRef]
- Wang, B.; Williams, G.R.; Chang, Z.; Jiang, M.; Liu, J.; Lei, X.; Sun, X. Hierarchical NiAl layered double hydroxide/multiwalled carbon nanotube/nickel foam electrodes with excellent pseudocapacitive properties. ACS Appl. Mater. Interfaces 2014, 6, 16304–16311. [Google Scholar] [CrossRef] [PubMed]
- Kwon, T.; Tsigdinos, G.A.; Pinnavaia, T.J. Pillaring of layered double hydroxides (LDH’s) by polyoxometalate anions. J. Am. Chem. Soc. 1988, 110, 3653–3654. [Google Scholar] [CrossRef]
- Wang, L.; Li, B.; Chen, C.; Jia, L. Structural characterization and related properties of the stearate anions intercalated Ni–Al hydrotalcite-like compound prepared by the microwave crystallization. J. Alloys Compd. 2010, 508, 426–432. [Google Scholar] [CrossRef]
- Prabir, K.D.; Micky, P. Anion exchange in lithium aluminate hydroxides. J. Phys. Chem. 1989, 93, 376–381. [Google Scholar]
- Nethravathi, C.; Viswanath, B.; Sebastian, M.; Rajamathi, M. Exfoliation of α-hydroxides of nickel and cobalt in water. J. Colloid Interface Sci. 2010, 345, 109–115. [Google Scholar] [CrossRef] [PubMed]
- Violante, A.; Pucci, M.; Cozzolino, V.; Zhu, J.; Pigna, M. Sorption/desorption of arsenate on/from Mg–Al layered double hydroxides: influence of phosphate. J. Colloid Interface Sci. 2009, 333, 63–70. [Google Scholar] [CrossRef] [PubMed]
- Mallakpour, S.; Dinari, M. Facile synthesis of nanocomposite materials by intercalating an optically active poly(amide-imide) enclosing (l)-isoleucine moieties and azobenzene side groups into a chiral layered double hydroxide. Polymer 2013, 54, 2907–2916. [Google Scholar] [CrossRef]
- Guan, Y.; Wang, C.; Wang, D.; Dang, G.; Chen, C.; Zhou, H.; Zhao, X. High transparent polyimides containing pyridine and biphenyl units:Synthesis, thermal, mechanical, crystal and optical properties. Polymer 2015, 62, 1–10. [Google Scholar] [CrossRef]
- Marangoni, R.; Taviot-Guého, C.; Illaik, A.; Wypych, F.; Leroux, F. Organic inorganic dye filler for polymer: Blue-coloured layered double hydroxides into polystyrene. J. Colloid Interface Sci. 2008, 326, 366–373. [Google Scholar] [CrossRef] [PubMed]
- Costache, M.C.; Jiang, D.D.; Wilkie, C.A. Thermal degradation of ethylene-vinyl acetate coplymer nanocomposites. Polymer 2005, 46, 6947–6958. [Google Scholar] [CrossRef]
- Zhang, G.; Ding, P.; Zhang, M.; Qu, B. Synergistic effects of layered double hydroxide with hyperfine magnesium hydroxide in halogen-free flame retardant EVA/HFMH/LDH nanocomposites. Polym. Degrad. Stab. 2007, 92, 1715–1720. [Google Scholar] [CrossRef]
- Li, L.; Qian, Y.; Jiao, C. Synergistic flame retardant effects of ammonium polyphosphate in ethylene-vinyl acetate/layered double hydroxides composites. Polym. Eng. Sci. 2014, 54, 766–776. [Google Scholar] [CrossRef]
- Hu, Y.C.; Wu, Z.P.; Sun, H.Z.; Zhou, Y.; Liu, Y. Synthesis and flame retardation of an ammonium polyphosphate. J. Funct. Mater. 2006, 37, 424–427. [Google Scholar]
- Wang, L.; Zhang, M.; Li, B. Thermal analysis and flame-retarded mechanism of composites composed of ethylene vinyl acetate and layered double hydroxides containing transition metals (Mn, Co, Cu, Zn). Appl. Sci. 2016, 6, 131. [Google Scholar] [CrossRef]









| Sample Code | EVA (g) | APP (g) | CFA (g) | LDH (g) | LOI (%) | UL-94 Rating (at 1.6 mm) | Phenomenon |
|---|---|---|---|---|---|---|---|
| EVA | 180 | 0 | 0 | 0 | 18.0 | Fail | Dripping |
| ELDH0 | 144 | 27 | 9 | 0 | 28.5 | Fail | Dripping |
| ELDH-Ni | 144 | 24.6 | 8.2 | 3.2 | 30.3 | V-2 | Dripping |
| ELDH-Co | 144 | 24.6 | 8.2 | 3.2 | 29.7 | V-0 | No Dripping |
| ELDH-Cu | 144 | 24.6 | 8.2 | 3.2 | 30.8 | V-2 | Dripping |
© 2016 by the authors; licensee MDPI, Basel, Switzerland. This article is an open access article distributed under the terms and conditions of the Creative Commons Attribution (CC-BY) license (http://creativecommons.org/licenses/by/4.0/).
Share and Cite
Wang, L.; Xu, M.; Shi, B.; Li, B. Flame Retardance and Smoke Suppression of CFA/APP/LDHs/EVA Composite. Appl. Sci. 2016, 6, 255. https://doi.org/10.3390/app6090255
Wang L, Xu M, Shi B, Li B. Flame Retardance and Smoke Suppression of CFA/APP/LDHs/EVA Composite. Applied Sciences. 2016; 6(9):255. https://doi.org/10.3390/app6090255
Chicago/Turabian StyleWang, Lili, Miaojun Xu, Baoli Shi, and Bin Li. 2016. "Flame Retardance and Smoke Suppression of CFA/APP/LDHs/EVA Composite" Applied Sciences 6, no. 9: 255. https://doi.org/10.3390/app6090255
APA StyleWang, L., Xu, M., Shi, B., & Li, B. (2016). Flame Retardance and Smoke Suppression of CFA/APP/LDHs/EVA Composite. Applied Sciences, 6(9), 255. https://doi.org/10.3390/app6090255
