Temporal Shaping of High Peak Power Pulse Trains from a Burst-Mode Laser System
Abstract
:1. Introduction

2. Experimental Setup

3. Results and Discussion
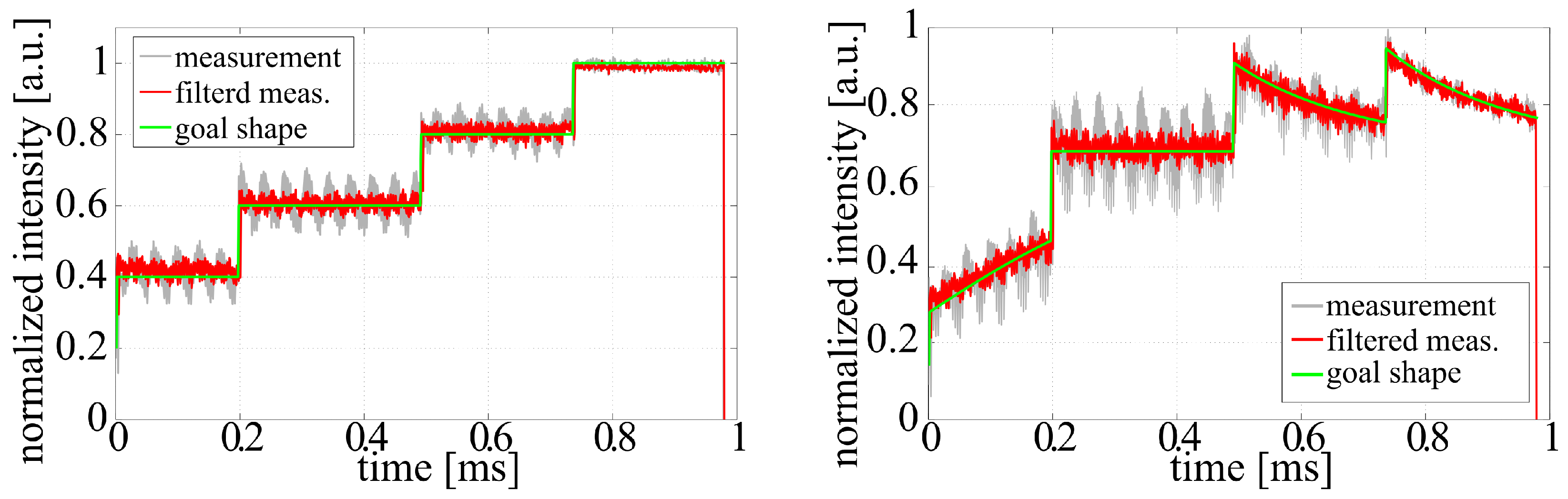
3.1. Shaping of Bursts

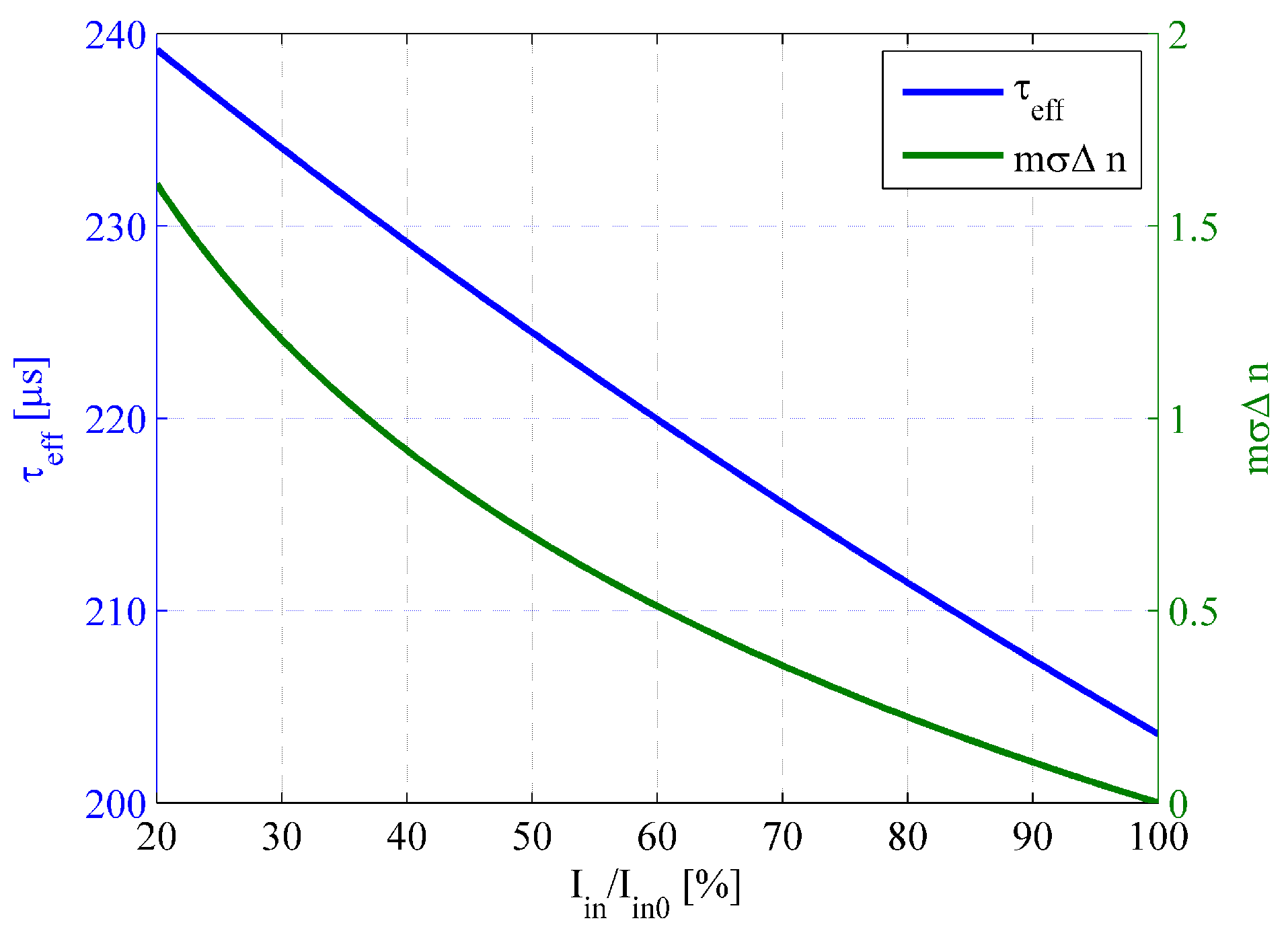
3.2. Amplification of Shaped Bursts





4. Conclusions
Acknowledgments
Author Contributions
Conflicts of Interest
References
- Thurow, B.; Jiang, N.; Samimy, M.; Lempert, W. Narrow-linewidth Megahertz-rate pulse-burst laser for high-speed flow diagnostics. Appl. Opt. 2004, 43, 5064–5073. [Google Scholar] [CrossRef] [PubMed]
- Thurow, B.S.; Satija, A.; Lynch, K. Third-generation Megahertz-rate pulse burst laser system. Appl. Opt. 2009, 48, 2086–2093. [Google Scholar] [CrossRef] [PubMed]
- Wu, P.; Lempert, W.L.; Miles, R.B. Megahertz pulse-burst laser and visualization of shock-wave/boundary-layer interaction. AIAA J. 2000, 38, 672–679. [Google Scholar] [CrossRef]
- Patton, R.; Gabet, K.; Jiang, N.; Lempert, W.; Sutton, J. Multi-kHz mixture fraction imaging in turbulent jets using planar Rayleigh scattering. Appl. Phys. B 2012, 106, 457–471. [Google Scholar] [CrossRef]
- Lapczyna, M.; Chen, K.; Herman, P.; Tan, H.; Marjoribanks, R. Ultra high repetition rate (133 MHz) laser ablation of aluminum with 1.2-ps pulses. Appl. Phys. A 1999, 69, S883–S886. [Google Scholar] [CrossRef]
- Hu, W.; Shin, Y.C.; King, G. Modeling of multi-burst mode pico-second laser ablation for an improved material removal rate. Appl. Phys. A 2010, 98, 407–415. [Google Scholar] [CrossRef]
- Will, I.; Templin, H.I.; Schreiber, S.; Sandner, W. Photoinjector drive laser of the FLASH FEL. Opt. Express 2011, 19, 23770–23781. [Google Scholar] [CrossRef] [PubMed]
- Ge, X.-L.; Ma, J.-L.; Zheng, Y.; Lu, X.; Jiang, G.; Li, Y.-Y.; Wei, Z.-Y.; Zhang, J. Chirped pulse amplification of femtosecond pulse sequences in a Ti:Sapphire laser. Acta Phys. Sin. 2012. [Google Scholar] [CrossRef]
- Körner, J.; Hein, J.; Liebetrau, H.; Kahle, M.; Seifert, R.; Klöpfel, D.; Kaluza, M.C. Diode-pumped, cryogenically cooled, femtosecond burst mode laser. In Proceedings of SPIE 8780, High-Power, High-Energy, and High-Intensity Laser Technology; and Research Using Extreme Light: Entering New Frontiers with Petawatt-Class Lasers, Prague, Czech Republic, 15 April 2013.
- Will, I.; Liero, A.; Mertins, D.; Sandner, W. Feedback-stabilized Nd:YLF amplifier system for generation of picosecond pulse trains of an exactly rectangular envelope. IEEE J. Quantum Electron. 1998, 34, 2020–2028. [Google Scholar] [CrossRef]
- Tan, B. Deep micro hole drilling in a silicon substrate using multi-bursts of nanosecond UV laser pulses. J. Micromech. Microeng. 2006, 16, 1–8. [Google Scholar] [CrossRef]
- Rezaei, S.; Li, J.; Herman, P.R. Burst train generator of high energy femtosecond laser pulses for driving heat accumulation effect during micromachining. Opt. Lett. 2015, 40, 2064–2067. [Google Scholar] [CrossRef] [PubMed]
- Körner, J.; Hein, J.; Liebetrau, H.; Seifert, R.; Klöpfel, D.; Kahle, M.; Loeser, M.; Siebold, M.; Schramm, U.; Kaluza, M.C. Efficient burst mode amplifier for ultra-short pulses based on cryogenically cooled Yb3+:CaF2. Opt. Exp. 2013, 21, 29006–29012. [Google Scholar] [CrossRef] [PubMed]
- Körner, J.; Hein, J.; Liebetrau, H.; Seifert, R.; Klöpfel, D.; Kahle, M.; Loeser, M.; Siebold, M.; Schramm, U.; Kaluza, M.C. Highly efficient all diode pumped burst mode laser system for ultra-short pulses. In Proceedings of Advanced Solid-State Lasers Congress, Paris, France, 27 October–1 November 2013.
- Körner, J. Effizienzsteigerung Yb3+-basierter Kurzpuls-Laserverstärker; Sierke Verlag: Göttingen, Germany, 2014. [Google Scholar]
- Bergmann, T.; Flaig, R.; Sutter, D. Pockelszellen-Ansteuerschaltung zur schnellen Variation der Pulsamplitude von kurzen oder ultrakurzen Laserpulsen. DE102005061716, 5 July 2007. [Google Scholar]
- Körner, J.; Jambunathan, V.; Hein, J.; Seifert, R.; Loeser, M.; Siebold, M.; Schramm, U.; Sikocinski, P.; Lucianetti, A.; Mocek, T.; et al. Spectroscopic characterization of Yb3+-doped laser materials at cryogenic temperatures. Appl. Phys. B 2014, 116, 75–81. [Google Scholar] [CrossRef]
- Schimpf, D.N.; Ruchert, C.; Nodop, D.; Limpert, J.; Tuennermann, A.; Salin, F. Compensation of pulse-distortion in saturated laser amplifiers. Opt. Express 2008, 16, 17637–17646. [Google Scholar] [CrossRef] [PubMed]
- Petelin, J.; Podobnik, B.; Petkovsek, R. Burst shaping in a fiber-amplifier chain seeded by a gain-switched laser diode. Appl. Opt. 2015, 54, 4629–4634. [Google Scholar] [CrossRef] [PubMed]
© 2015 by the authors; licensee MDPI, Basel, Switzerland. This article is an open access article distributed under the terms and conditions of the Creative Commons Attribution license (http://creativecommons.org/licenses/by/4.0/).
Share and Cite
Körner, J.; Reiter, J.; Hein, J.; Kaluza, M.C. Temporal Shaping of High Peak Power Pulse Trains from a Burst-Mode Laser System. Appl. Sci. 2015, 5, 1790-1802. https://doi.org/10.3390/app5041790
Körner J, Reiter J, Hein J, Kaluza MC. Temporal Shaping of High Peak Power Pulse Trains from a Burst-Mode Laser System. Applied Sciences. 2015; 5(4):1790-1802. https://doi.org/10.3390/app5041790
Chicago/Turabian StyleKörner, Jörg, Jürgen Reiter, Joachim Hein, and Malte C. Kaluza. 2015. "Temporal Shaping of High Peak Power Pulse Trains from a Burst-Mode Laser System" Applied Sciences 5, no. 4: 1790-1802. https://doi.org/10.3390/app5041790
APA StyleKörner, J., Reiter, J., Hein, J., & Kaluza, M. C. (2015). Temporal Shaping of High Peak Power Pulse Trains from a Burst-Mode Laser System. Applied Sciences, 5(4), 1790-1802. https://doi.org/10.3390/app5041790

