Graphene Thermal Properties: Applications in Thermal Management and Energy Storage
Abstract
:1. Introduction and Terminology
2. Motivations for Graphene Applications in Thermal Management
3. Intrinsic Thermal Conductivity of Graphene

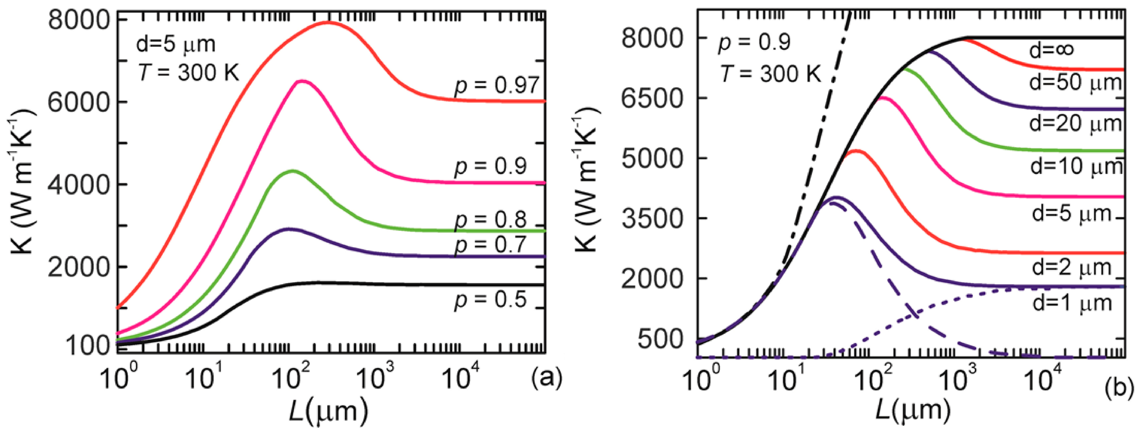
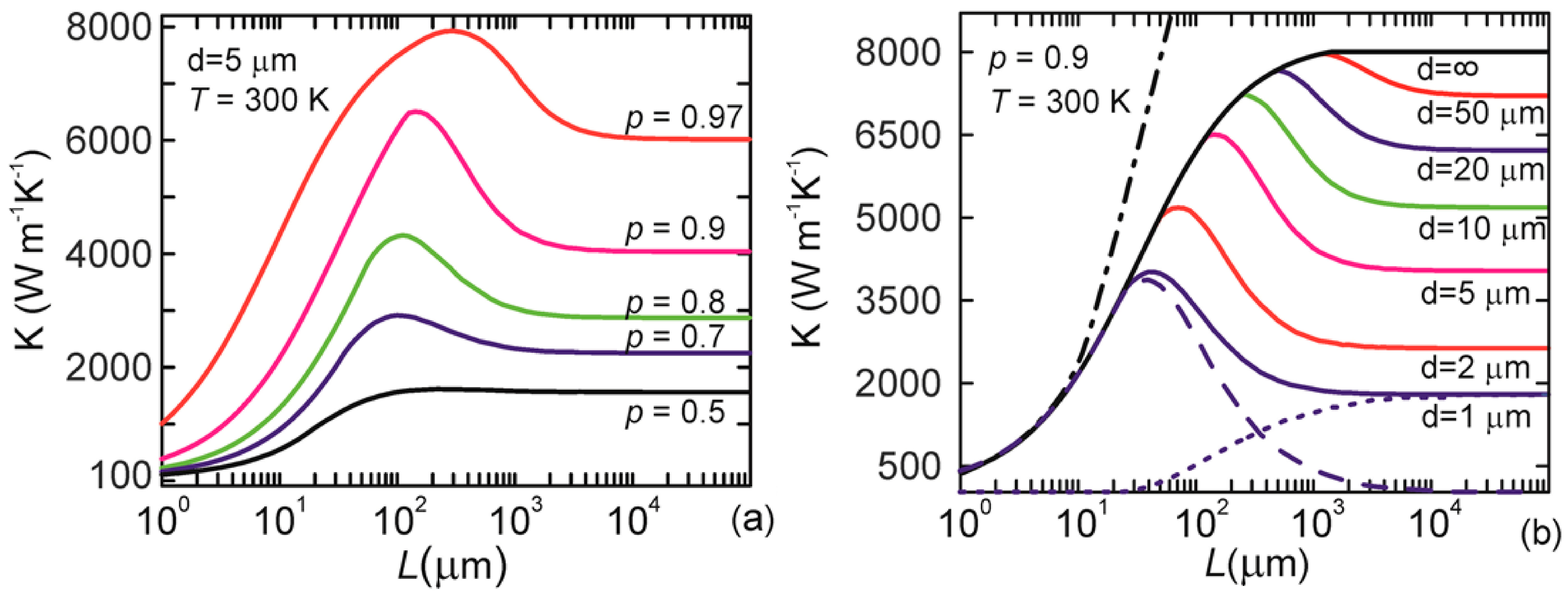
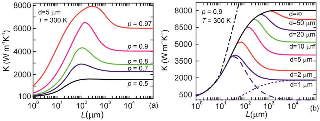
4. Theory of the Thermal Conductivity of Graphene and GNR

| Sample | K (W/mK) | Method | Description | Refs. |
|---|---|---|---|---|
| Experimental Data | ||||
| SLG | ~3000–5000 | Raman optothermal | Suspended; exfoliated | [4,5] |
| 2500 | Raman optothermal | Suspended; chemical vapor deposition (CVD) grown | [32] | |
| 1500–5000 | Raman optothermal | Suspended; CVD grown | [33] | |
| 600 | Raman optothermal | Suspended; exfoliated; T ~ 660 K | [99] | |
| 600 | Electrical | Supported; exfoliated | [37] | |
| 310–530 | Electrical self-heating | Exfoliated and chemical vapor deposition grown; T ~ 1000 K | [100] | |
| FLG | 1300–2800 | Raman optothermal | Suspended; exfoliated; n = 2–4 | [31] |
| 50–970 | Heat-spreader method | FLG, encased within SiO2; n = 2, …, 21 | [101] | |
| 150–1200 | Electrical self-heating | Suspended and supported FLG; polymeric residues on the surface | [102] | |
| 302–596 | Modified T-bridge | Suspended; n = 2–8 | [103] | |
| Bilayer graphene | 560–620 | Electrical self-heating | Suspended; polymeric residues on the surface | [104] |
| FLG nanoribbons | 1100 | Electrical self-heating | Supported; exfoliated; n < 5 | [105] |
| 80–150 | Electrical self-heating | Supported | [106] | |
| Theoretical Data | ||||
| SLG | 1000–8000 | BTE, γLA, γTA | Strong size dependence | [42] |
| 2000–8000 | BTE, γs(q) | Strong edge, width and grunaisen parameter dependence | [41] | |
| ~2430 | BTE, 3rd-order interatomic force constants (IFCs) | K (graphene) ≥ K (carbon nanotube) | [107] | |
| 1500–3500 | BTE, 3rd-order IFCs | Strong size dependence | [54] | |
| 100–8000 | BTE | Strong length, size, shape and edge dependence | [43] | |
| 2000–4000 | Continuum approach + BTE | Strong isotope, point-defects and strain influence | [49,95] | |
| 4000 | Ballistic | Strong width dependence | [108] | |
| 2900 | MD simulation | Strong dependence on the vacancy concentration | [58] | |
| 20000 | VFF + MD simulation | Ballistic regime; flake length ~5 µm; strong width and length dependence | [109] | |
| 100–550 | MD simulation | Flake length L < 200 nm; strong length and defect dependence | [65] | |
| 3000 | MD simulation | Sheet length ~15 µm; strong size dependence | [68] | |
| 2360 | MD simulation | L~5 µm; strong length dependence | [70] | |
| 4000–6000 | MD simulation | Strong strain dependence | [74] | |
| 1800 | MD simulation | 6 nm × 6 nm sheet; isolated | [72] | |
| 1000–1300 | MD simulation | 6 nm × 6 nm sheet; Cu—supported; strong dependence on the interaction strength between graphene and substrate | ||
| FLG | 1000–4000 | BTE, γs(q) | n = 8 − 1, strong size dependence | [31] |
| 1000–3500 | BTE, 3rd-order IFCs | n = 5 − 1, strong size dependence | [54] | |
| 2000–3300 | BTE, 3rd-order IFCs | n = 4 − 1 | [55] | |
| 580–880 | MD simulation | n = 5 − 1, strong dependence on the Van-der Vaals bond strength | [59] | |
| GNRs | 1000–7000 | Theory: molecular dynamics, Tersoff | Strong ribbon width and edge dependence | [57] |
| 5500 | BTE | GNR with width of 5 μm; strong dependence on the edge roughness | [84] | |
| 2000 | MD simulation | T = 400 K; 1.5 nm × 5.7 nm zigzag GNR; strong edge chirality influence | [88] | |
| 30–80 | AIREBO potential + MD simulation | 10—zigzag and 19-arm-chair nanoribbons; strong defect dependence | [64,66] | |
| 3200–5200 | MD simulation | Strong GNRs width (W) and length dependence; 9 nm ≤ L ≤ 27nm and 4 nm ≤ W ≤ 18 nm | [67] | |
| 400–600 | MD simulation | K~L0.24; 100 nm ≤ L ≤ 650 nm | [69] | |
| GNRs supported on SiO2 | 100–1000 | BTE | Strong edge and width dependence | [85] |
| Few-layer GNRs | 500–300 | MD simulation | 10-ZGNR, n = 1,…, 5 | [71] |
5. Graphene Applications in Thermal Phase-Change Materials

6. Thermal Conductivity of Graphene-Enhanced Phase Change Materials

7. Application of Graphene-Enhanced PCMs in Battery Packs

8. Modeling-Based Optimization of Thermal Management with Graphene-Enhanced PCMs

9. Conclusions
Acknowledgments
Author Contributions
Conflicts of Interest
References
- Balandin, A.A. Thermal properties of graphene and nanostructured carbon materials. Nat. Mater. 2011, 10, 569–581. [Google Scholar] [CrossRef]
- Nika, D.L.; Balandin, A.A. Two-dimensional phonon transport in graphene. J. Phys. 2012, 24, 233203. [Google Scholar]
- Balandin, A.A.; Nika, D.L. Phonons in low-dimensions: Engineering phonons in nanostructures and grapheme. Mater. Today 2012, 15, 266–275. [Google Scholar] [CrossRef]
- Balandin, A.A.; Ghosh, S.; Bao, W.; Calizo, I.; Teweldebrhan, D.; Miao, F.; Lau, C.N. Superior thermal conductivity of single layer grapheme. Nano Lett. 2008, 8, 902–907. [Google Scholar] [CrossRef] [PubMed]
- Ghosh, S.; Calizo, I.; Teweldebrhan, D.; Pokatilov, E.P.; Nika, D.L.; Balandin, A.A.; Bao, W.; Miao, F.; Lau, C.N. Extremely high thermal conductivity in graphene: Prospects for thermal management application in nanoelectronic circuits. Appl. Phys. Lett. 2008, 92, 151911. [Google Scholar] [CrossRef]
- Ferrari, A.C.; Meyer, J.C.; Scardaci, V.; Casiraghi, C.; Lazzeri, M.; Mauri, F.; Piscanec, S.; Jiang, D.; Novoselov, K.S.; Roth, S.; et al. Raman Spectrum of Graphene and Graphene Layers. Phys. Rev. Lett. 2006, 97, 187401. [Google Scholar] [CrossRef] [PubMed]
- Calizo, I.; Balandin, A.A.; Bao, W.; Miao, F.; Lau, C.N. Temperature Dependence of the Raman Spectra of Graphene and Graphene Multilayers. Nano Lett. 2007, 7, 2645–2649. [Google Scholar] [CrossRef] [PubMed]
- Calizo, I.; Miao, F.; Bao, W.; Lau, C.N.; Balandin, A.A. Variable temperature Raman microscopy as a nanometrology tool for graphene layers and graphene-based devices. Appl. Phys. Lett. 2007, 91, 071913. [Google Scholar] [CrossRef]
- Calizo, I.; Bao, W.; Miao, F.; Lau, C.N.; Balandin, A.A. The effect of substrates on the Raman spectrum of graphene: Graphene-on-sapphire and graphene-on-glass. Appl. Phys. Lett. 2007, 91, 201904. [Google Scholar] [CrossRef]
- Calizo, I.; Bejenari, I.; Rahman, M.; Liu, G.; Balandin, A.A. Ultraviolet Raman microscopy of single and multilayer grapheme. J. Appl. Phys. 2009, 106, 043509. [Google Scholar] [CrossRef]
- Teweldebrhan, D.; Balandin, A.A. Modification of graphene properties due to electron-beam irradiation. Appl. Phys. Lett. 2009, 94, 013101. [Google Scholar] [CrossRef]
- Sadeghi, M.M.; Pettes, M.T.; Shi, L. Thermal transport in graphene. Solid State Commun. 2012, 152, 1321–1330. [Google Scholar] [CrossRef]
- Wemhoff, A.P. A review of theoretical techniques for graphene and graphene nanoribbons thermal conductivity prediction. Int. J. Transp. Phenom. 2012, 13, 121. [Google Scholar]
- Balandin, A. Better computing through CPU cooling. IEEE Spectr. 2009, 29, 35–39. [Google Scholar]
- Garimella, S.V.; Fleischer, A.S.; Murthy, J.Y.; Keshavarzi, A.; Prasher, R.; Patel, C.; Bhavnani, S.H.; Venkatasubramanian, R.; Mahajan, R.; Joshi, Y.; et al. Thermal Challenges in Next-Generation Electronic Systems. IEEE Trans. Compon. Packag. Technol. 2008, 31, 801–815. [Google Scholar] [CrossRef]
- Linden, D.; Reddy, B.T. Handbook of Batteries; McGraw-Hill: New York, NY, USA, 2002. [Google Scholar]
- Spotnitz, R.; Franklin, J. Abuse behavior of high-power, lithium-ion cells. J. Power Sources 2003, 113, 81–100. [Google Scholar] [CrossRef]
- Mikolajczak, C.; Kahn, M.; White, K.; Long, R.T. Lithium-Ion Batteries Hazard and Use Assessment. Fire Prot. Res. Found. 2011, 76, 102. [Google Scholar]
- FAA Press Release. Federal Aviation Administration; FAA Press: Washington, DC, USA, 2013. [Google Scholar]
- Zalba, B.; Marin, J.M.; Cabeza, L.F. Review on thermal energy storage with phase change: Materials, heat transfer analysis and applications. Appl. Ther. Eng. 2003, 23, 251–283. [Google Scholar] [CrossRef]
- Agyenim, F.; Hewitt, N.; Eames, P.; Mervyn, S. A review of materials, heat transfer and phase change problem formulation for latent heat thermal energy storage systems (LHTESS). Renew Sustain. Energy Rev. 2010, 14, 615–628. [Google Scholar] [CrossRef]
- Farid, M.M.; Khudhair, A.M.; Razack, S.A.; Al-Hallaj, S. A review on phase change energy storage: Materials and applications. Energy Convers. Manag. 2004, 45, 1597–1615. [Google Scholar] [CrossRef]
- Sharma, S.D.; Sagara, K. Latent heat storage materials and systems: A review. J. Green Energy 2005, 2, 1–56. [Google Scholar] [CrossRef]
- Yu, A.; Ramesh, P.; Itkis, M.E.; Bekyarova, E.; Haddon, R.C. Graphite nanoplatelet-epoxy composite thermal interface materials. J. Phys. Chem. C 2007, 111, 7565–7569. [Google Scholar] [CrossRef]
- Prasher, R. Thermal conductivity of composites of aligned nanoscale and microscale wires and pores. Proc. IEEE 2006, 94, 1571–1585. [Google Scholar] [CrossRef]
- Shahil, K.M.F.; Balandin, A.A. Graphene-Multilayer graphene nanocomposites as highly efficient thermal interface materials. Nano Lett. 2012, 12, 861–867. [Google Scholar] [CrossRef] [PubMed]
- Yan, A.; Liu, G.; Khan, J.M.; Balandin, A.A. Graphene quilts for thermal management of high-power GaN transistors. Nat. Commun. 2012, 3, 827. [Google Scholar] [CrossRef] [PubMed]
- Goyal, V.; Balandin, A.A. Thermal properties of the hybrid graphene-metal nano-micro-composites: Applications in thermal interface materials. Appl. Phys. Lett. 2012, 100, 073113. [Google Scholar] [CrossRef]
- Goli, P.; Legedza, S.; Dhar, S.; Salgado, R.; Renteria, J.; Balanidn, A.A. Graphene-enhanced hybrid phase change materials for thermal management of Li-ion batteries. J. Power Sources 2014, 248, 37–43. [Google Scholar]
- Shahil, K.M.F.; Balandin, A.A. Thermal properties of graphene and multilayer graphene: Applications in thermal interface materials. Solid State Commun. 2012, 152, 1331–1340. [Google Scholar] [CrossRef]
- Ghosh, S.; Bao, W.; Nika, D.L.; Subrina, S.; Pokatilov, E.P.; Lau, C.N.; Balandin, A.A. Dimensional crossover of thermal transport in few-layer graphene. Nat. Mater. 2010, 9, 555–558. [Google Scholar] [CrossRef] [PubMed]
- Cai, W.; Moore, A.L.; Zhu, Y.; Li, X.; Chen, S.; Shi, L.; Ruoff, R.S. Thermal transport in suspended and supported monolayer graphene grown by chemical vapor deposition. Nano Lett. 2010, 10, 1645–1651. [Google Scholar] [CrossRef] [PubMed]
- Jauregui, L.A.; Yue, Y.; Sidorov, A.N.; Hu, J.; Yu, Q.; Lopez, G.; Jalilian, R.; Benjamin, D.K.; Delk, D.A.; Wu, W.; et al. Thermal transport in graphene nanostructures: Experiments and simulations. ECS Trans. 2010, 28, 73–83. [Google Scholar]
- Mak, K.F.; Shan, J.; Heinz, T.F. Seeing many-body effects in single and few layer graphene: Observation of two-dimensional saddle point excitons. Phys. Rev. Lett. 2011, 106, 046401. [Google Scholar] [CrossRef] [PubMed]
- Kim, K.S.; Zhao, Y.; Jang, H.; Lee, S.Y.; Kim, J.M.; Kim, K.S.; Ahn, J.; Kim, P.; Choi, J.; Hong, B.H. Large-scale pattern growth of graphene films for stretchable transparent electrodes. Nature 2009, 457, 706–710. [Google Scholar] [CrossRef] [PubMed]
- Kravets, V.G.; Grigorenko, A.N.; Nair, R.R.; Blake, P.; Anissimova, S.; Novoselov, K.S.; Geim, A.K. Spectroscopic ellipsometry of graphene and an exciton-shifted van Hove peak in absorption. Phys. Rev. B 2010, 81, 155413. [Google Scholar] [CrossRef]
- Seol, J.H.; Jo, I.; Moore, A.L.; Lindsay, L.; Aitken, Z.H.; Pettes, M.T.; Li, X.; Yao, Z.; Huang, R.; Broido, D.; et al. Two-dimensional phonon transport in supported graphene. Science 2010, 328, 213–216. [Google Scholar] [CrossRef] [PubMed]
- Maultzsch, J.; Reich, S.; Thomsen, C.; Requardt, H.; Ordejon, P. Phonon dispersion in graphite. Phys. Rev. Lett. 2004, 92, 075501. [Google Scholar] [CrossRef] [PubMed]
- Mounet, N.; Marzari, N. First-principles determination of the structural, vibrational and thermodynamic properties of diamond, graphite, and derivatives. Phys. Rev. B 2005, 71, 205214. [Google Scholar] [CrossRef]
- Wirtz, L.; Rubio, A. The phonon dispersion of graphite revisited. Solid State Commun. 2004, 131, 141–152. [Google Scholar]
- Nika, D.L.; Pokatilov, E.P.; Askerov, A.S.; Balandin, A.A. Phonon thermal conduction in graphene: Role of Umklapp and edge roughness scattering. Phys. Rev. B 2009, 79, 155413. [Google Scholar] [CrossRef]
- Nika, D.L.; Ghosh, S.; Pokatilov, E.P.; Balandin, A.A. Lattice thermal conductivity of graphene flakes: Comparison with bulk graphite. Appl. Phys. Lett. 2009, 94, 203103. [Google Scholar] [CrossRef]
- Nika, D.L.; Askerov, A.S.; Balandin, A.A. Anomalous size dependence of the thermal conductivity of graphene ribbons. Nano Lett. 2012, 12, 3238–3244. [Google Scholar] [CrossRef] [PubMed]
- Cocemasov, A.I.; Nika, D.L.; Balandin, A.A. Phonons in twisted bilayer graphene. Phys. Rev. B 2013, 88, 035428. [Google Scholar] [CrossRef]
- Falkovsky, L.A. Symmetry constraints on phonon dispersion in graphene. Phys. Lett. A 2008, 372, 5189–5192. [Google Scholar] [CrossRef]
- Perebeinos, V.; Tersoff, J. Valence force model for phonons in graphene and carbon nanotubes. Phys. Rev. B 2009, 79, 241409. [Google Scholar] [CrossRef]
- Droth, M.; Burkard, G. Acoustic phonon and spin relaxation in graphene nanoribbons. Phys. Rev. B 2011, 84, 155404. [Google Scholar] [CrossRef]
- Qian, J.; Allen, M.J.; Yang, Y.; Dutta, M.; Stroscio, M.A. Quantized long-wavelength optical phonon modes in graphene nanoribbon in the elastic continuum model. Superlattices Microstruct. 2009, 46, 881–888. [Google Scholar] [CrossRef]
- Alofi, A.; Srivastva, G.P. Phonon conductivity in graphene. J. Appl. Phys. 2012, 112, 013517. [Google Scholar] [CrossRef]
- Yan, J.-A.; Ruan, W.Y.; Chou, M.Y. Phonon dispersions and vibrational properties of monolayer, bilayer, and trilayer graphene: Density-functional perturbation theory. Phys. Rev. B 2008, 77, 125401. [Google Scholar] [CrossRef]
- Dubay, O.; Kresse, G. Accurate density functional calculations for the phonon dispersion relation of graphite layer and carbon nanotubes. Phys. Rev. B 2003, 67, 035401. [Google Scholar] [CrossRef]
- Wang, H.; Wang, Y.; Cao, X.; Feng, M.; Lan, G. Vibrational properties of graphene and graphene layers. J. Raman Spectrosc. 2009, 40, 1791–1796. [Google Scholar] [CrossRef]
- Lindsay, L.; Broido, D. Optimized Tersoff and Brenner empirical potential parameters for lattice dynamics and phonon thermal transport in carbon nanotubes and graphene. Phys. Rev. B 2010, 81, 205441. [Google Scholar] [CrossRef]
- Lindsay, L.; Broido, D.A.; Mingo, N. Flexural phonons and thermal transport in multilayer graphene and graphite. Phys. Rev. B 2011, 83, 235428. [Google Scholar] [CrossRef]
- Singh, D.; Murthy, J.Y.; Fisher, T.S. Mechanism of thermal conductivity reduction in few-layer graphene. J. Appl. Phys. 2011, 110, 044317. [Google Scholar] [CrossRef]
- Zhong, W.R.; Zhang, M.P.; Ai, B.Q.; Zheng, D.Q. Chirality and thickness-dependent thermal conductivity of few-layer graphene: A molecular dynamics study. Appl. Phys. Lett. 2011, 98, 113107. [Google Scholar] [CrossRef]
- Evans, W.J.; Hu, L.; Keblinsky, P. Thermal conductivity of graphene ribbons from equilibrium molecular dynamics: Effect of ribbon width, edge roughness, and hydrogen termination. Appl. Phys. Lett. 2010, 96, 203112. [Google Scholar] [CrossRef]
- Zhang, H.; Lee, G.; Cho, K. Thermal transport in graphene and effects of vacancies. Phys. Rev. B 2011, 84, 115460. [Google Scholar] [CrossRef]
- Wei, Z.; Ni, Z.; Bi, K.; Chen, M.; Chen, Y. In-plane lattice thermal conductivities of multilayer graphene films. Carbon 2011, 49, 2653–2658. [Google Scholar] [CrossRef]
- Ong, Z.-Y.; Pop, E. Effect of substrate modes on thermal transport in supported graphene. Phys. Rev. B 2011, 84, 075471. [Google Scholar] [CrossRef]
- Wei, N.; Xu, L.; Wang, H.-Q.; Zheng, J.-C. Strain engineering of thermal conductivity in graphene sheets and nanoribbons: A demonstration of magic flexibility. Nanotechnology 2011, 22, 105705. [Google Scholar] [CrossRef] [PubMed]
- Hao, F.; Fang, D.; Xu, Z. Mechanical and thermal transport properties of graphene with defects. Appl. Phys. Lett. 2011, 99, 041901. [Google Scholar] [CrossRef]
- Mortazavi, B.; Ahzi, S. Thermal conductivity and tensile response of defective graphene: A molecular dynamics study. Carbon 2013, 63, 460–470. [Google Scholar] [CrossRef]
- Ng, T.; Yeo, J.J.; Liu, Z.S. A molecular dynamics study of the thermal conductivity of graphene nanoribbons containing dispersed Stone-Thrower-Wales defects. Carbon 2012, 50, 4887–4893. [Google Scholar] [CrossRef]
- Jang, Y.Y.; Cheng, Y.; Pei, Q.X.; Wang, C.W.; Xiang, Y. Thermal conductivity of defected graphene. Phys. Lett. A 2012, 376, 3668–3672. [Google Scholar] [CrossRef]
- Yeo, J.J.; Liu, Z.; Ng, T.Y. Comparing the effects of dispersed Stone-Thrower-Wales defects and doule vacancies on the thermal conductivity of graphene nanoribbons. Nanotechnology 2012, 23, 385702. [Google Scholar] [CrossRef] [PubMed]
- Yang, D.; Ma, F.; Sun, Y.; Hu, T.; Xu, K. Influence of typical defects on thermal conductivity of graphene nanoribbons: An equilibrium molecular dynamics simulation. Appl. Surf. Sci. 2012, 258, 9926–9931. [Google Scholar] [CrossRef]
- Park, M.; Lee, S.C.; Kim, Y.S. Length-dependent thermal conductivity of graphene and its macroscopic limit. J. Appl. Phys. 2013, 114, 053506. [Google Scholar] [CrossRef]
- Yu, C.; Zhang, G. Impacts of length and geometry deformation on thermal conductivity of graphene nanoribbons. J. Appl. Phys. 2013, 113, 044306. [Google Scholar] [CrossRef]
- Cao, A. Molecular dynamics simulation study on heat transport in monolayer graphene sheet with various geometries. J. Appl. Phys. 2012, 111, 083528. [Google Scholar] [CrossRef]
- Cao, H.-Y.; Guo, Z.-X.; Xiang, H.; Gong, Z.-G. Layer and size dependence of thermal conductivity in multilayer graphene. Phys. Lett. A 2012, 373, 525–528. [Google Scholar] [CrossRef]
- Cheng, L.; Kumar, S. Thermal transport in graphene supported copper. J. Appl. Phys. 2012, 112, 043502. [Google Scholar] [CrossRef]
- Yeo, P.S.E.; Loh, K.P.; Gan, C.K. Strain dependence of the heat transport properties of graphene nanoribbons. Nanotechnology 2012, 23, 495702. [Google Scholar] [CrossRef] [PubMed]
- Ma, F.; Zheng, H.B.; Sun, Y.J.; Yang, D.; Xu, K.W.; Chu, P.K. Strain effect on lattice vibration, heat capacity, and thermal conductivity of graphene. Appl. Phys. Lett. 2012, 101, 111904. [Google Scholar] [CrossRef]
- Huang, Z.; Fisher, S.; Murthy, Y. Simulation of phonon transmission through graphene and graphene nanoribbons with a Green’s function method. J. Appl. Phys. 2010, 108, 094319. [Google Scholar] [CrossRef]
- Zhai, X.; Jin, G. Stretching-enhanced ballistic thermal conductance in graphene Nanoribbons. Europhys. Lett. 2011, 96, 16002. [Google Scholar] [CrossRef]
- Klemens, P.G. Theory of the a-plane thermal conductivity of graphite. J. Wide Bandgap. Mater. 2000, 7, 332–339. [Google Scholar]
- Klemens, P.G.; Pedraza, D.F. Thermal conductivity of graphite in basal plane. Carbon 1994, 32, 735–741. [Google Scholar] [CrossRef]
- Ghosh, S.; Nika, D.L.; Pokatilov, E.P.; Balandin, A.A. Heat conduction in graphene: Experimental study and theoretical interpretation. New J. Phys. 2009, 11, 095012. [Google Scholar] [CrossRef]
- Nika, D.L.; Pokatilov, E.P.; Balandin, A.A. Theoretical description of thermal transport in graphene: The issues of phonon cut-off frequencies and polarization branches. Phys. Stat. Sol. B 2011, 248, 2609–2614. [Google Scholar] [CrossRef]
- Balandin, A.A.; Ghosh, S.; Nika, D.L.; Pokatilov, E.P. Extraordinary thermal conductivity of graphene: Ossible applications in thermal management. ECS Trans. 2010, 28, 63–71. [Google Scholar]
- Balandin, A.A.; Ghosh, S.; Nika, D.L.; Pokatilov, E.P. Thermal conduction in suspended graphene layers. Fullerenes Nanotubes Carbon Nanostruct. 2010, 18, 474–486. [Google Scholar] [CrossRef]
- Adamyan, V.; Zavalniuk, V. Lattice thermal conductivity of graphene with conventionally isotopic defects. J. Phys. 2012, 24, 415406. [Google Scholar]
- Aksamija, Z.; Knezevic, I. Lattice thermal conductivity of graphene nanoribbons: Anisotropy and edge roughness scattering. Appl. Phys. Lett. 2011, 98, 141919. [Google Scholar] [CrossRef]
- Aksamija, Z.; Knezevic, I. Thermal transport in graphene nanoribbons supported on SiO2. Phys. Rev. B 2012, 86, 165426. [Google Scholar] [CrossRef]
- Nika, D.L.; Cocemasov, A.I.; Balandin, A.A. Specific heat of twisted graphene: Engineering phonons by atomic plane rotations. Appl. Phys. Lett. 2014, 105, 031904. [Google Scholar] [CrossRef]
- Savin, A.V.; Kivshar, Y.S.; Hu, B. Suppression of thermal conductivity in graphene nanoribbons with rough edges. Phys. Rev. B 2010, 82, 195422. [Google Scholar] [CrossRef]
- Hu, J.; Ruan, X.; Chen, Y.P. Thermal conductivity and thermal rectification in graphene nanoribbons: A molecular dynamics study. Nano Lett. 2009, 9, 2730–2735. [Google Scholar] [CrossRef] [PubMed]
- Guo, Z.; Zhang, D.; Gong, X.-G. Thermal conductivity of graphene nanoribbons. Appl. Phys. Lett. 2009, 95, 163103. [Google Scholar] [CrossRef]
- Chen, S.; Wu, Q.; Mishra, C.; Kang, J.; Zhang, H.; Cho, K.; Cai, W.; Balandin, A.A.; Ruoff, R.S. Thermal conductivity of isotopically modified graphene. Nat. Mater. 2012, 11, 203–207. [Google Scholar] [CrossRef] [PubMed]
- Ouyang, T.; Chen, Y.P.; Yang, K.K.; Zhong, J.X. Thermal transport of isotopic-superlattice graphene nanoribbons with zigzag edge. Europhys. Lett. 2009, 88, 28002. [Google Scholar] [CrossRef]
- Jiang, J.W.; Lan, J.H.; Wang, J.S.; Li, B.W. Isotopic effects on the thermal conductivity of graphene nanoribbons: Localization mechanism. J. Appl. Phys. 2010, 107, 054314. [Google Scholar] [CrossRef]
- Zhang, H.; Lee, G.; Fonseca, A.F.; Borders, T.L.; Cho, K. Isotope effect on the thermal conductivity of graphene. J. Nanomater. 2010, 2010, 537657. [Google Scholar]
- Hu, J.; Schiffli, S.; Vallabhaneni, A.; Ruan, X.; Chen, Y.P. Tuning the thermal conductivity of graphene nanoribbons by edge passivation and isotope engineering: A molecular dynamics study. Appl. Phys. Lett. 2010, 97, 133107. [Google Scholar] [CrossRef]
- Alofi, A.; Srivastava, G.P. Thermal conductivity of graphene and graphite. Phys. Rev. B 2013, 87, 115421. [Google Scholar] [CrossRef]
- Lindsay, L.; Carrete, J.; Mingo, N.; Broido, D.A.; Reinecke, T.L. Phonon thermal transport in strained and unstrained graphene from first principles. Phys. Rev. B 2014, 89, 155426. [Google Scholar]
- Serov, A.Y.; Ong, Z.-Y.; Pop, E. Effect of grain boundaries on thermal transport in graphene. Appl. Phys. Lett. 2013, 102, 033104. [Google Scholar]
- Xu, X.; Pereira, L.F.C.; Wang, Y.; Wu, J.; Zhang, K.; Zhao, X.; Bae, S.; Bui, C.T.; Xie, R.; Thong, J.T.L.; et al. Length-dependent thermal conductivity in suspended single-layer graphene. Nat. Commun. 2014, 5, 3689. [Google Scholar] [PubMed]
- Faugeras, C.; Faugeras, B.; Orlita, M.; Potemski, M.; Nair, R.R.; Geim, A.K. Thermal conductivity of graphene in Corbino membrane geometry. ACS Nano 2010, 4, 1889–1892. [Google Scholar] [CrossRef] [PubMed]
- Dorgan, V.E.; Behnam, A.; Conley, H.J.; Bolotin, K.I.; Pop, E. Hiagh-filed electric and thermal transport in suspended graphene. Nano Lett. 2013, 13, 4581–4586. [Google Scholar] [CrossRef] [PubMed]
- Jang, W.; Chen, Z.; Bao, W.; Lau, C.N.; Dames, C. Thickness-dependent thermal conductivity of encased graphene and ultrathin graphite. Nano Lett. 2010, 10, 3909–3913. [Google Scholar] [CrossRef] [PubMed]
- Wang, Z.; Xie, R.; Bui, C.T.; Liu, D.; Ni, X.; Li, B.; Thong, J.T.L. Thermal transport in suspended and supported few-layer graphene. Nano Lett. 2011, 11, 113–118. [Google Scholar] [CrossRef] [PubMed]
- Jang, W.; Bao, W.; Ling, L.; Lau, C.N.; Dames, C. Thermal conductivity of suspended few-layer graphene by a modified T-bridge method. Appl. Phys. Lett. 2013, 103, 133102. [Google Scholar] [CrossRef]
- Pettes, M.T.; Jo, I.; Yao, Z.; Shi, L. Influence of polymeric residue on the thermal conductivity of suspended bilayer graphene. Nano Lett. 2011, 11, 1195–1200. [Google Scholar] [CrossRef]
- Murali, R.; Yang, Y.; Brenner, K.; Beck, T.; Meindl, J.D. Breakdown current density of graphene nanoribbons. Appl. Phys. Lett. 2009, 94, 243114. [Google Scholar] [CrossRef]
- Liao, A.D.; Wu, J.Z.; Wang, X.; Tahy, K.; Jena, D.; Dai, H.; Pop, E. Thermally limited current carrying ability of graphene nanoribbons. Phys. Rev. Lett. 2011, 106, 256801. [Google Scholar] [CrossRef] [PubMed]
- Lindsay, L.; Broido, D.A.; Mingo, N. Diameter dependence of carbon nanotube thermal conductivity and extension to the graphene limit. Phys. Rev. B 2010, 82, 161402. [Google Scholar] [CrossRef]
- Munoz, E.; Lu, J.; Yakobson, B.I. Ballistic thermal conductance of graphene ribbons. Nano Lett. 2010, 10, 1652–1656. [Google Scholar] [CrossRef] [PubMed]
- Jiang, J.-W.; Wang, J.-S.; Li, B. Thermal conductance of graphite and dimerite. Phys. Rev. B 2009, 79, 205418. [Google Scholar] [CrossRef]
- Freund, M.; Csikos, R.; Keszthelyi, S.; Mozes, G.Y. Paraffin Products Properties, Technologies, Applications; Akademiai Kiado: Budapest, Hungary, 1981; Volume 14. [Google Scholar]
- Brown, J.K.; Sheppard, N.; Simpson, D.M. The Interpretation of the Infra-Red and Raman Spectra of the n-Paraffins. Math. Phys. Sci. 1954, 247, 35. [Google Scholar] [CrossRef]
- Edwards, H.G.M.; Falk, M.J.P. Fourier-transform Raman spectroscopic study of unsaturated and saturated waxes. Spectrochim. Acta Part A 1997, 53, 2685–2694. [Google Scholar] [CrossRef]
- Kalyanasundaram, K.; Thomas, J.K. The conformational state of surfactants in the solid state and in micellar form. A laser-excited Raman scattering study. J. Phys. Chem. 1976, 80, 1462–1473. [Google Scholar] [CrossRef]
- MacPhail, R.A.; Strauss, H.L.; Snyder, R.G. Carbon-hydrogen stretching modes and the structure of n-alkyl chains. 2. Long, all-trans chains. J. Phys. Chem. 1984, 88, 334–341. [Google Scholar] [CrossRef]
- Zheng, M.; Du, W. Phase behavior, conformations, thermodynamic properties, and molecular motion of multicomponent paraffin waxes: A Raman spectroscopy study. Vib. Spectrosc. 2006, 40, 219–224. [Google Scholar] [CrossRef]
- Zheng, R.; Gao, J.; Wang, J.; Chen, G. Reversible temperature regulation of electrical and thermal conductivity using liquid solid phase transitions. Nat. Commun. 2011, 2, 289. [Google Scholar] [CrossRef] [PubMed]
- Sanusi, O.; Warzoha, R.; Fleischer, A.S. Energy storage and solidificaiton of paraffin phase change material embedded with graphite nanofibers. Int. J. Heat Mass Transfer. 2011, 54, 4429–4436. [Google Scholar] [CrossRef]
- Schiffres, S.N.; Harish, S.; Maruyama, S.; Shiomi, J.; Malen, J.A. Tunable electrical and thermal transport in ice-templated multilayer graphene nanocomposites through freezing rate control. ACS Nano 2013, 7, 11183–11189. [Google Scholar] [CrossRef] [PubMed]
- Gustafsson, S.E. Transient plane source techniques for thermal conductivity and thermal diffusivity measurements of solid materials. Rev. Sci. Instrum. 1991, 62, 797. [Google Scholar] [CrossRef]
- Xia, L.; Zhang, P.; Wang, R.Z. Preparation and thermal characterization of expanded graphite/paraffin composite phase change material. Carbon 2010, 48, 2538–2548. [Google Scholar] [CrossRef]
- He, Y. Rapid thermal conductivity measurement with a hot disk sensor: Part 1. Theoretical considerations. Thermochim. Acta 2005, 436, 122–129. [Google Scholar] [CrossRef]
- He, Y. Rapid thermal conductivity measurement with a hot disk sensor: Part 2. Characterization of thermal greases. Thermochim. Acta 2005, 436, 130–134. [Google Scholar] [CrossRef]
- Ghosh, S.; Teweldebrhan, D.; Morales, J.R.; Garay, J.E.; Balandin, A.A. Thermal properties of the optically transparent pore-free nanostructured yttria-stabilized zirconia. J. Appl. Phys. 2009, 106, 113507. [Google Scholar] [CrossRef]
- Shamsa, M.; Ghosh, S.; Calizo, I.; Ralchenko, V.; Popovich, A.; Balandin, A.A. Thermal conductivity of nitrogeneated ultrananocrystalline diamond films on silicon. J. Appl. Phys. 2008, 103, 083538. [Google Scholar] [CrossRef]
- Gustafsson, S.E.; Karawacki, E.; Chohan, M.A. Thermal transport studies of electrically conducting materials using the transient hot-strip technique. J. Phys. D 1986, 19, 727. [Google Scholar] [CrossRef]
- Gustavsson, M.; Wang, H.; Trejo, R.M.; Lara-Curzio, E.; Dinwiddie, R.B.; Gustafsson, S.E. On the Use of the Transient Hot-Strip Method for Measuring the Thermal Conductivity of High-Conducting Thin Bars. Int. J. Thermophys. 2006, 27, 1816–1825. [Google Scholar] [CrossRef]
- Chintakrida, K.; Weinstein, R.D.; Fleischer, A.S. A direct comparison of three different material enhancement methods on the transient thermal response of paraffin phase change material exposed to high heat fluxes. Int. J. Therm. Sci. 2011, 50, 1639–1647. [Google Scholar] [CrossRef]
- Ehid, R.; Weinstein, R.D.; Fleischer, A.S. The shape stabilization of paraffin phase change material to reduce graphite nanofiber settling during the phase change process. Energy Convers. Manag. 2012, 57, 60–67. [Google Scholar] [CrossRef]
- Wang, J.; Xie, H.; Xin, Z.; Li, Y.; Chen, L. Enhancing thermal conductivity of palmitic acid based phase change materials with carbon nanotubes as fillers. Solar Energy 2010, 84, 339–344. [Google Scholar] [CrossRef]
- Berhan, L.; Sastry, A.M. Modeling percolation in high-aspect-ratio fiber systems. II. The effect of waviness on the percolation onset. Phys. Rev. E 2007, 75, 041121. [Google Scholar] [CrossRef]
- Choi, S.U.S.; Zhang, Z.G.; Yu, W.; Lockwood, F.E.; Grulke, E.A. Anomalous thermal conductivity enhancement in nanotube suspensions. Appl. Phys. Lett. 2001, 79, 2252–2254. [Google Scholar] [CrossRef]
- Shenogina, N.; Shenogin, S.; Xue, L.; Keblinski, P. On the lack of thermal percolation in carbon nanotube composites. Appl. Phys. Lett. 2005, 87, 133106. [Google Scholar] [CrossRef]
- Gulotty, R.; Castellino, M.; Jagdale, P.; Tagliaferro, A.; Balandin, A.A. Effects of Functionalization on Thermal Properties of Single-Wall and Multi-Wall Carbon Nanotube-Polymer Nanocomposites. ACS Nano. 2013, 7, 5114–5121. [Google Scholar] [CrossRef] [PubMed]
- Kapitza, P.L. The study of heat transfer in helium II. J. Phys. USSR 1941, 4, 181. [Google Scholar]
- Konatham, D.; Bui, K.N.D.; Papavassiliou, D.V.; Striolo, A. Simulation insights into thermally conductive graphene-based nanocomposites. Mol. Phys. 2011, 109, 97–111. [Google Scholar] [CrossRef]
- Konatham, D.; Striolo, A. Thermal boundary resistance at the graphene-oil interface. Appl. Phys. Lett. 2009, 95, 163105. [Google Scholar] [CrossRef]
- Konathan, D.; Papavassiliou, D.V.; Striolo, A. Thermal boundary resistance at the graphene-graphene interface estimated by molecular dynamics simulations. Chem. Phys. Lett. 2012, 527, 47–50. [Google Scholar] [CrossRef]
© 2014 by the authors; licensee MDPI, Basel, Switzerland. This article is an open access article distributed under the terms and conditions of the Creative Commons Attribution license (http://creativecommons.org/licenses/by/4.0/).
Share and Cite
Renteria, J.D.; Nika, D.L.; Balandin, A.A. Graphene Thermal Properties: Applications in Thermal Management and Energy Storage. Appl. Sci. 2014, 4, 525-547. https://doi.org/10.3390/app4040525
Renteria JD, Nika DL, Balandin AA. Graphene Thermal Properties: Applications in Thermal Management and Energy Storage. Applied Sciences. 2014; 4(4):525-547. https://doi.org/10.3390/app4040525
Chicago/Turabian StyleRenteria, Jackie D., Denis L. Nika, and Alexander A. Balandin. 2014. "Graphene Thermal Properties: Applications in Thermal Management and Energy Storage" Applied Sciences 4, no. 4: 525-547. https://doi.org/10.3390/app4040525
APA StyleRenteria, J. D., Nika, D. L., & Balandin, A. A. (2014). Graphene Thermal Properties: Applications in Thermal Management and Energy Storage. Applied Sciences, 4(4), 525-547. https://doi.org/10.3390/app4040525

