Next Article in Journal
Towards Laser Driven Hadron Cancer Radiotherapy: A Review of Progress
Next Article in Special Issue
Tunable Multicolored Femtosecond Pulse Generation Using Cascaded Four-Wave Mixing in Bulk Materials
Previous Article in Journal
Comparisons of Halogenated β-Nitrostyrenes as Antimicrobial Agents
Previous Article in Special Issue
High-Energy, Multicolor Femtosecond Pulses from the Deep Ultraviolet to the Near Infrared Generated in a Hydrogen-Filled Gas Cell and Hollow Fiber
 
 
Font Type:
Arial Georgia Verdana
Font Size:
Aa Aa Aa
Line Spacing:
Column Width:
Background:
Article

Effect of Two-Photon Stark Shift on the Multi-Frequency Raman Spectra

Department of Physics and Astronomy, Guelph-Waterloo Physics Institute, University of Waterloo, 200 University Avenue West, Waterloo, ON N2L 3G1, Canada
*
Author to whom correspondence should be addressed.
These authors contributed equally to this work.
Appl. Sci. 2014, 4(3), 390-401; https://doi.org/10.3390/app4030390
Submission received: 27 May 2014 / Revised: 14 August 2014 / Accepted: 27 August 2014 / Published: 5 September 2014

Abstract

:
High order Raman generation has received considerable attention as a possible method for generating ultrashort pulses. A large number of Raman orders can be generated when the Raman-active medium is pumped by two laser pulses that have a frequency separation equal to the Raman transition frequency. High order Raman generation has been studied in the different temporal regimes, namely: adiabatic, where the pump pulses are much longer than the coherence time of the transition; transient, where the pulse duration is comparable to the coherence time; and impulsive, where the bandwidth of the ultrashort pulse is wider than the transition frequency. To date, almost all of the work has been concerned with generating as broad a spectrum as possible, but we are interested in studying the spectra of the individual orders when pumped in the transient regime. We concentrate on looking at extra peaks that are generated when the Raman medium is pumped with linearly chirped pulses. The extra peaks are generated on the low frequency side of the Raman orders. We discuss how linear Raman scattering from two-photon dressed states can lead to the generation of these extra peaks.

1. Introduction

The nonlinear process of multi-frequency Raman generation (MRG) holds the promise of generating high intensity pulses with duration of just single femtoseconds. Such pulses could be used in nonlinear optical experiments for the study of molecular dynamics. MRG generates an ultrabroad spectrum containing several discrete frequency peaks by strongly driving a Raman transition of a molecule using two pump pulses. The peak frequencies of the two pumps are tuned such that the frequency difference equals the Raman frequency. This process was first observed by Imasaka and co-workers, when they generated several vibrational and rotational Raman orders in hydrogen, when their pump laser was tuned such that two frequency components were output [1].
The advantage of MRG over continuum generation for short pulse generation is that the phase only has to be corrected over several orders rather than the entire spectrum. On the other hand, because the spectrum is discrete, it generates a train of pulses. A pulse train of 1.6 fs pulses was obtained by simply phasing 7 Raman orders from hydrogen using a prism dispersion line and a liquid crystal phase modulator [2]. An even simpler compression technique of placing a few dispersive elements in the path has been shown to create trains of sub-fs pulses [3]. The duration of the pulse train is given by the pulse duration of the pump pulses and so shorter pump pulses would result in fewer pulses in the pulse train leading to more intense pulses. The 1.6 fs pulse train was pumped in the adiabatic regime with nanosecond long pulses. It has been shown that the MRG process can be efficient in the transient regime, where the pump pulses have durations of the coherence time of the Raman transition [4]. However, with short pulses, the MRG process competes with self-phase modulation (SPM), which creates a continuum spectrum under the discrete Raman spectra [5,6]. To avoid SPM, the short pulses are lengthened by linearly frequency chirping the pulses. We have previously observed that, when using linearly chirped pump pulses, extra peaks appear in the MRG spectrum of sulfur hexafluouride (SF6) [7,8]. These peaks appear on the lower frequency side of the Raman peaks. These red shifted peaks also appear in the MRG spectra with chirped pulse pumping for the gas Raman media of hydrogen [5] as well as in the solid Raman medium, lead tungstate [9], indicating that the origin of the peaks is a fundamental process rather than being material dependent.
In order to determine if these red-shifted shoulders were simply the result of four-wave mixing, we have measured the MRG spectra as a function of tuning the instantaneous frequency separation [8]. We showed that the red shifted peaks shift further to the red as the instantaneous frequency separation of the two pump beams is reduced below the Raman frequency until the red-shift saturates. However, the peaks do not blue shift as the frequency separation increases above the Raman frequency, indicating that the shift is not due simply to non-resonant four-wave mixing. If the shifted peaks are not due to non-resonant four-wave mixing then it is most likely due to a Stark shift of the levels. Sokolov and co-workers noted that when using long pulses in the adiabatic regime, many more Raman orders were observed when the frequencies were tuned to be slightly closer together than the Raman resonance frequency [10]. When the frequencies were further apart than the Raman transition frequency, there was little difference in the generated spectra compared to on-resonance pumping. The authors of this work noted that the enhancement was given for in the in-phase coherent state, but not the anti-phased coherent state.
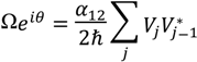
Hickman and co-authors derived the two-photon driven coherent state for Raman generation [11]. They derived the two-photon optical Bloch equations and showed that the states are split into two coherent states separated by the two-photon Rabi frequency Ω', which is given by:
Ω'2 = Ω2 + Δ2
where:
Applsci 04 00390 i001
Applsci 04 00390 i002
Applsci 04 00390 i003
where Vj are the electric field amplitudes of the Raman orders, αij are the transition moments and δω is the detuning between the peak frequency separation of the two pump beams and the Raman transition. The term I, is related to the intensity of each MRG order and leads to a Stark shift of each molecular level through a single-color, two-photon interaction. The small difference between the transition moments α22 and α11, leads to a change in the Raman transition frequency. It is this Stark shifting that leads the Raman transition to being slightly red-shifted when pumped at high intensity and explained the Sokolov observation [10] of more Raman orders generated with red-detuned pump beams. This Stark shift term needs to be included in the detuning term, Δ. The interaction of the Raman transition with adjacent Raman orders leads to the complex two-photon Rabi frequency Ωe. A time varying θ gives a frequency detuning term dθ/dt. When using linearly chirped pump pulses, the dθ/dt term is linearly dependent on both the chirp rate and time delay between the pulses. In Zhi’s work [9], a single linearly chirped pump pulse was split into two identical pulses that were then combined with a time delay between the two pulses. In this case, the pump pulses have the same peak frequency making the δω term equal to the Raman transition frequency. The dθ/dt from the time delay was used to cancel this detuning. In our experiments, we set the two pump frequencies such that δω equals zero and the time delay between the linearly chirped pulses detunes the frequencies away from the low intensity resonance. We assume the two pump pulses have the same linear chirp.
Using the two-photon optical Bloch equations with multiple frequency inputs has proven successful in determining the number of Raman orders in both the adiabatic regime [10] and in the transient regime [12]. However, this multi-frequency theory does not allow for any extra peaks to be derived because all possible frequency components, ωj, are input and only their amplitudes, Vj grow with the Raman gain as a function of propagation length. In order to have extra peaks grow in a theoretical model, the input would have to be a continuum spectrum. Theoretically modeling the observed behavior is beyond the scope of this paper. We do consider what would be expected from a two-photon dressed state picture for the Raman transition. To do this, we will first consider single photon Stark shifting and look at the effect of a weak probe beam tuned through the Stark shifted transition [13]. In his book, Boyd has derived the case for a two-level atom, which is driven by a near resonant, single monochromatic beam. The pump frequency is slightly red-detuned from the transition, that is, the laser frequency is slightly less than the transition. For red-detuning, the population would initially be in the lower coherent state. The calculation of the absorption of a probe beam as its frequency is varied across the transition frequency shows gain on the Stokes side of the transition at a frequency detuning given by the one-photon Rabi frequency and loss on the anti-Stokes side also at the frequency shift given by the Rabi-frequency. The gain on the Stokes side is explained by a three-photon resonance between two manifolds in the dressed state picture from the lower state in the lower manifold to the upper state of the next highest manifold. The loss on the anti-Stokes side is the single photon resonant absorption between two adjacent manifolds also from the lower state to the upper state in the upper manifold. The opposite response would be expected for blue detuning of the pump, as the upper state would now have the initial population and so the transitions would be from the upper state to the lower state of the next highest manifold.
Now if we consider the two-photon dressed states, each of the Raman levels would be split into two coherent states with a separation of Ω', the two-photon Rabi frequency because of strong laser pumping at the pump frequency ω0 and the first Stokes frequency, ω−1. A schematic of two manifolds in a two-photon dressed state picture is depicted in Figure 1.
Figure 1. Diagram showing linear Raman scattering from two-photon dressed states; (a) scattering of pump beam, ωj, to Stokes ωj−1; (b) scattering of pump beam, ωj, to Stark shifted Stokes ωj−1 − Ω'; (c) gain of pump beam, ωj by scattering of anti-Stokes beam ωj+1; (d) gain of pump beam, ωj by scattering of Stark shifted anti-Stokes beam ωj+1 + Ω'.
Figure 1. Diagram showing linear Raman scattering from two-photon dressed states; (a) scattering of pump beam, ωj, to Stokes ωj−1; (b) scattering of pump beam, ωj, to Stark shifted Stokes ωj−1 − Ω'; (c) gain of pump beam, ωj by scattering of anti-Stokes beam ωj+1; (d) gain of pump beam, ωj by scattering of Stark shifted anti-Stokes beam ωj+1 + Ω'.
Applsci 04 00390 g001
The manifolds are separated by the Raman frequency. In order to efficiently generate MRG orders, the pump beams need to be red-detuned to be resonant with the single-color Stark shifted transition. This red-detuning leads to the lower state of each manifold to be the initially populated state. From linear Raman scattering, each of the MRG orders, ωj, could either amplify a Stokes order ωj−1 as depicted in Figure 1a or could as shown in Figure 1c be amplified itself by the scattering of the anti-Stokes order ωj+1. Other resonant interactions are also possible. The system could be left in the higher coherent state and generate a photon at the frequency of ωj−1 − Ω' as shown in Figure 1b. This Rabi-shifted frequency can then experience gain through stimulated Raman scattering. On the other hand, the higher coherent state can also be reached as depicted in Figure 1d by absorption of the Rabi-shifted anti-Stokes frequency ωj+1 + Ω' with gain on the MRG order ωj. This would assume that there were frequencies present at ωj+1 + Ω', which could be there if a background continuum was generated. In our previous work, where we stretched the pulses to just 600 fs, there was a strong continuum under the Raman peaks and we observed red-shifted shoulders and dips in the continuum spectrum on the blue side of the Raman orders [7]. Linear Raman scattering of the continuum spectrum can cause gain on the red side of the MRG orders and absorption on the blue side. If the two pump beams were blue detuned from resonance, then the upper dressed state should be in the initially populated state and we would expect gain on the blue shifted side of the peaks and absorption on the red side.

2. Experimental Section

We study MRG in SF6 because it has a strong Raman vibrational transition and because of its spherical symmetry it does not exhibit rotational lines and so we expect the MRG spectra to be a series of Raman orders separated by a single constant spacing. The Raman frequency in SF6 is 23.25 Thz, which would give a temporal spacing of ~43 fs in a generated pulse train. The two pump beams are generated in a two-color Ti:sapphire chirped pulse amplification system [14] The laser is a 10 Hz system that can deliver 400 fs pulses with 1 mJ of energy in each color to the experimental chamber. After the compressor the two colors are collinear. The total energy of the two pumps was varied, by rotating a half-wave plate that was placed before a broadband polarizer. The transmitted p-polarized light was sent to the experimental chamber. The two colors can be individually tuned, the pulse durations are individually compressed and the two pulses are timed by translating the back mirror in one of the compressor lines. To avoid SPM, we leave the pulses with a linear chirp by offsetting the grating separation of the compressor from the optimal position for compression. The pulse duration is typically stretched to ~1 ps with a positive frequency chirp, that is, the red color leads the blue. Because we are using linearly chirped pulses, the instantaneous frequency separation of the two pulses can easily be tuned by varying the time delay between the two linearly chirped pulses.
To determine if the dressed state picture is a reasonable explanation of the red-shifted shoulders, we measured the spectrum as a function of instantaneous frequency separation at three different total pump energies. The experimental MRG system is the same as previously described [8]. We contain the nonlinear medium in a hollow fiber to extend the nonlinear region, guide the beams and provide phase matching. The two-color beam was weakly focused by a 300 mm focal length lens into a 150 µm diameter, 0.5 m long hollow fiber is filled with SF6, at a pressure 1 atmosphere. We measured the MRG spectra as a function of time delay between the two pump pulses, each having ~4 nm bandwidth and chirped to 1 ps duration, giving a chirp rate of 2 THz/ps. The total maximum pump energy in the two pumps is 2 mJ, with the energy equally split between the two pumps. The two pump frequencies are peaked at frequencies 361 and 384 THz to match the Raman resonance.

3. Results and Discussion

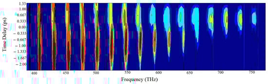
A series of spectra measured at different time delays between the two pump pulses with total energy of 2 mJ, is shown in Figure 2. The spectra were measured with time delay steps of 0.333 ps. The two strong pump beams are not shown on this figure. The lowest frequency line shown is the first anti-Stokes order. The spectral intensity is color coded, such that the lowest intensities are light blue and the most intense is dark red.
Figure 2. The multi-frequency Raman generation (MRG) spectra are shown for two positively chirped pump pulses with total energy of 2 mJ as a function of time delay between the two pulses.
Figure 2. The multi-frequency Raman generation (MRG) spectra are shown for two positively chirped pump pulses with total energy of 2 mJ as a function of time delay between the two pulses.
Applsci 04 00390 g002
The spectra shown in Figure 2 display a number of interesting features. First the total number of Raman orders is maximized when a positive time delay of 667 fs is applied. With a delay of two thirds of the pulse duration, the intensity in the pulse overlap region is greatly reduced and yet the nonlinear MRG process has been increased. With a positive delay, the instantaneous frequency separation of the two pumps is less than the Raman frequency. This result of increased orders for a slight red detuning of the pump beams agrees with the results obtained by Sokolov and coworkers, which were taken in the adiabatic regime [10]. It is surprising that pulse durations of just 1 ps would display the same behavior as the adiabatic case. With the time delay increased beyond 1 ps, the number of orders decreases most likely because the intensity of the pulses in the temporal overlap region has further decreased, but it could also indicate that there is an optimum red-detuning. Again as in the adiabatic case, there is no increase in orders for pump frequency separation greater than the Raman transition, which is given in our case for the negative time delays. The decrease in number of orders at increased time delay is more pronounced for negative time delays, indicating that for blue detuning, there is no resonant enhancement to counter the reduced nonlinearity due to the lower overlap intensity.
Secondly, if the red-shifted shoulders were due to non-resonant four-wave mixing, we would expect a plot of MRG spectra as a function of time delay to show the Raman orders as vertical lines and the peaks from non-resonant four-wave mixing would be sloped lines, where the slope would be given by the chirp rate. This is not what we observe. When the time delay is negative, only the vertical lines appear. The spectral orders remain narrow peaks separated by the Raman frequency until zero time delay. At a positive time delay of 667 fs, not only is the number of orders maximized, but also the orders themselves are maximally broadened. The broadening is not linearly dependent on the time delay as would be expected with non-resonant four-wave mixing. The spectral orders do not simply broaden but appear to become double peaked, with a narrow line remaining at the Raman transition and then a broader peak to the red side. The frequency of the red-shifted spectral peak does not vary linearly with pulse delay. We need to look at how a two-photon Rabi frequency shift caused by linearly chirped Gaussian pulses would change with time delay between the two pulses. The Rabi frequency has two terms. The second term is the detuning, Δ, which has three terms: the single color Stark shift which is dependent on the term I, is independent of time delay as is the detuning between the peak frequencies, δω, which in our case is set to zero leaving only the dθ/dt term which increases linearly in magnitude with time delay. The first term in the Rabi frequency is given by the overlap of the amplitudes VjV*j−1 which decreases in magnitude with time delay. The decrease is not linear with delay but certainly has the opposite trend to the detuning and so somewhat balances the time dependence of the detuning term. The double peak spectra then agrees with our dressed state picture that allows gain at both the Raman transition and at the two-photon Stark shifted transition, which would have only a small dependence on time delay.
In both the adiabatic and transient experiments enhancement in the number of generated orders only occurs for red-detuning because the single-color Stark shift allows only red-detuned pulses to be resonant with the transition. We have also observed in the transient regime, that there are no blue shifted shoulders with blue detuning indicating that there was no transfer to the coherent Stark shifted states. Pump radiation that is blue-detuned from the low intensity Raman frequency would be further detuned from the Stark shifted transition.
To further confirm that the red-shifted peaks are a result of an intensity dependent Stark shift, we performed the same experiment at lower energies. In Figure 3, we show the time delay spectra for a total energy of 1.5 mJ and in Figure 4, we show the spectra of the 7th to 11th anti-Stokes Raman orders at a time delay of 0.667 ps, for three different pump energies. The total energy of the two pumps was 1.0, 1.5 and 2.0 mJ. The spectra have been normalized so that the pump spectrum would have a peak intensity of 1 on the vertical scale.
Figure 3. The MRG spectra are shown for two positively chirped pump pulses, with total energy of 1.5 mJ as a function of time delay between the two pulses.
Figure 3. The MRG spectra are shown for two positively chirped pump pulses, with total energy of 1.5 mJ as a function of time delay between the two pulses.
Applsci 04 00390 g003
In Figure 3, we can see that the maximum number of orders occurs at the delay of 0.333 ps. This time difference from the 2 mJ result is limited by the resolution of the time step. However it does confirm that at lower intensity, the required red-shift to remain resonant with the single-color Stark shifted transition is reduced.
In Figure 4, the red shifts of the orders are larger with increased pump energy, which is expected if the shifts are due to two-photon Stark shifting. If the extra peaks were due to non-resonant four-wave mixing, the height of the peaks should increase, but not the frequency shift. The peaks that appear at the expected multiples of the Raman transition frequency remain narrow, but the red shifted peaks get broader at the higher orders. At 2 mJ, the average spacing of the red-shifted peaks is 22.7 THz, which lies between the pump frequency separation and the Raman spacing. This could be due to the fact that each order can produce a Stark shifted Stokes frequency, which would result in a small shift from the Raman order. Each of these shifted orders can then undergo Stimulated Raman scattering at either the Raman frequency or the Stark shifted frequency leading to broad peaks after multiple scattering events. This broadening could also be a result of the transient nature of the Stark shifting resulting in different shifts at different intensity points.
Figure 4. The MRG spectra for the 7th to 11th anti-Stokes orders for three different pump energies. The spectral intensities have arbitrary units, but the plots are normalized to the pump spectrum.
Figure 4. The MRG spectra for the 7th to 11th anti-Stokes orders for three different pump energies. The spectral intensities have arbitrary units, but the plots are normalized to the pump spectrum.
Applsci 04 00390 g004
It is surprising that with just 1 ps pulse duration, the results agree with the nanosecond pump duration results, where an adiabatic transition to the coherent state is expected. We measured the MRG spectrum for unchirped pulses that had duration of ~400 fs with zero time delay between the pulses. We tuned the peak frequencies of the laser pulses to vary the frequency separation across the Raman resonance. We show three spectra, each with a total energy of 2 mJ in Figure 5. The top panel shows the spectrum for the two pumps slightly red detuned with a peak separation of 22.5 THz. The middle panel shows the MRG spectrum for on-resonance pumping and the bottom panel shows the spectrum for the blue-detuned pump frequency separation of 24.6 THz. Unlike the linearly chirped pump pulses, the blue shifted pumping displays blue shifted peaks. With on-resonance pumping, the first few orders show red-shifted peaks, but the higher orders appear at the expected Raman frequency. With red-detuned pumps, large red-shifted shoulders appear.
The continuum that appears under the MRG spectra with these short pulses also changes with pump detuning. Although the continuum is dependent on the pump pulse duration, the continuum cannot simply be due to SPM of the pump beams as the largest continuum appears under the higher anti-Stokes Raman orders rather than under the stronger pump frequencies. The continuum appears to be strongest for the red-detuned pumps, indicating that the generation of the continuum is linked with the red-shifted shoulders. The continuum is also centered at higher frequency for the red-detuned pump beams.
Figure 5. The MRG spectra for 2 mJ, unchirped pump pulses. Pump frequencies are (top panel) red detuned by 0.8 THz, (middle panel) on-resonance and (bottom panel) blue-detuned by 1.3 Thz.
Figure 5. The MRG spectra for 2 mJ, unchirped pump pulses. Pump frequencies are (top panel) red detuned by 0.8 THz, (middle panel) on-resonance and (bottom panel) blue-detuned by 1.3 Thz.
Applsci 04 00390 g005
In Figure 6, we have again plotted the 7th through 11th orders for both the red-shifted and blue-shifted short pulse pumping at three different total energies of 1, 1.5 and 2.0 mJ. The short pulse red-detuning of 0.8 THz is less than the red-shift of the chirped pulse at a delay of 0.667 ps, which corresponds to a detuning of 1.3 THz and yet the red-shifting is stronger for each of the pump energies with short pulse pumping compared with the chirped pumping. This is expected from Stark shifting as the pump intensity would be a factor of 2.5 higher for the 400 fs pulses compared to the 1 ps pulses at the same energy. The red-shifted shoulders are also much broader with the short pumps than with the long. This is mostly because the orders extend from the Raman order to the maximum shift, which for 2 mJ, unchirped pulses equals have the transition frequency at the higher orders. The broadening increases with pump energy so that the orders begin to merge and create the continuum that appears under the higher anti-Stokes orders. The fact that the broadening is stronger with the shorter pulses so that the two peaks merge to one broad peak indicates that the broadening is effected by the transient nature of the Stark shifting. This broadening could also come from SPM and cross-phase modulation (XPM) between the orders. One would expect the largest SPM to occur at the pump frequency that has an order of magnitude more intensity and yet the pump frequencies have the narrowest spectra.
From the lower plot in Figure 6, it can be seen that the blue shifted shoulders behave differently from the red-shifting in the upper plot. The position of the blue-shifted peaks is independent of pump energy indicating that the shift is not from the Stark effect. The average spacing of the peaks remains at the low intensity Raman frequency of 23.3 THz. The shifted frequency is stronger than the frequency at the Raman order of the pump frequency. The average shift of the peaks away from the Raman order is 5 THz, which is larger than the 1.3 THz detuning of the pump frequencies. The orders do get broader with intensity leading to a continuum under the orders. This broadening is presumably from SPM and cross-phase modulation between the orders, but still the pump frequencies have the most intensity and narrowest spectra. It is not clear at this point what causes the 5 THz shift or why it is this shifted frequency that then undergoes multiple Raman scattering at the low power Raman transition frequency. The 5 THz shifted frequency could be produced by either higher order non-resonant frequency mixing or by SPM/XPM.
Figure 6. The MRG spectra for the 7th to 11th anti-Stokes orders for three different pump energies. The spectral intensities have arbitrary units, but the plots are normalized to the pump spectrum. The top and bottom plots show the spectra for pump frequency separation of 22.5 and 23.6 THz, respectively. Even so, the red-shift from the Raman orders is larger at each pump energy for the short pulses compared to the chirped pulse results.
Figure 6. The MRG spectra for the 7th to 11th anti-Stokes orders for three different pump energies. The spectral intensities have arbitrary units, but the plots are normalized to the pump spectrum. The top and bottom plots show the spectra for pump frequency separation of 22.5 and 23.6 THz, respectively. Even so, the red-shift from the Raman orders is larger at each pump energy for the short pulses compared to the chirped pulse results.
Applsci 04 00390 g006
We have not observed blue shifting by time delaying chirped pulses that have peak frequency separation equal to the Raman transition, but we have observed blue shifted shoulders with chirped pulses that had peak frequencies separated by more than the Raman transition [8]. In the chirped case, the shift from the Raman frequency did not increase with order, which is the same as we have now observed with the unchirped pulses. With the chirped pumping the intensity of the blue shifted shoulders remained lower than the orders than appeared at Raman orders of the pump, which is different than what we observe with unchirped pulses. Whereas the red-shifting could occur by either time detuning chirped pulses or by detuning the peak frequencies, the blue shift requires that the peak frequencies be blue detuned, whether the pumps are chirped or not. This dependence on the peak frequencies suggests that the blue shift is due to a non-resonant frequency mixing process. Since the single-color Stark effect causes a red-detuning of the transition, this leaves the blue detuned pulses even further from the Raman resonance and that would allow the non-resonant frequency mixing of the peak frequencies to dominate.

4. Conclusions

We have demonstrated that when using pump pulses in the transient regime, extra peaks occur in the multi-frequency Raman generated spectra. These peaks occur only on the red side of the Raman orders when pumped with linearly chirped pump pulses. The frequency shift of the red-detuned peaks does not follow the instantaneous frequency separation of the pump pulses indicating that non-resonant four-wave mixing is not responsible for the red-shifted peaks. On the other hand, the amount of shift is intensity dependent, which implies that the extra peaks are a result of Stark shifting of the Raman levels. We noted that pumping with chirped pulse duration of just 1 ps in the transient regime gives very similar results to the adiabatic regime where the molecular states are expected to evolve into the coherent states. In particular, more Raman orders are generated when the instantaneous frequency separation of the pump beams are slightly red-shifted from the Raman transition, but blue shifting does not change the spectrum from the on-resonant pumping. Linear Raman scattering from a two-photon Rabi frequency shifted coherent states can explain the generation of the red-shifted shoulders that appear in the MRG spectra. In comparison with chirped laser pumping, unchirped pulse pumping with detuned peak frequencies displays very different behavior. In particular, not only are the orders red-shifted for red-detuned pumps, but the orders are blue shifted when the pumps are blue shifted, indicating that non-resonant frequency mixing becomes a dominant process when the pulses are unchirped. Although a two-photon Stark shift can explain the red-shifted shoulders and also why blue shifting of the pumps allows a non-resonant process to dominate, it remains to be determined why a constant blue shift for all orders is observed with blue detuned peak pump frequencies.

Acknowledgments

The authors gratefully acknowledge funding support from the Natural Sciences and Engineering Research Council.

Conflicts of Interest

The authors declare no conflict of interest.

References

  1. Imasaka, T.; Kawasaki, S.; Ishibashi, N. Generation of more than 40 laser emission lines from the ultraviolet to the visible regions by two-color stimulated raman effect. Appl. Phys. B 1989, 49, 389–392. [Google Scholar]
  2. Shverdin, M.Y.; Walker, D.R.; Yavuz, D.D.; Yin, G.Y.; Harris, S.E. Generation of a single-cycle optical pulse. Phys. Rev. Lett. 2005, 94, 033904. [Google Scholar] [CrossRef]
  3. Yoshii, K.; Anthony, J.K.; Katsuragawa, M. The simplest route to generating a train of attosecond pulses. Light: Sci. Appl. 2013, 2, e58. [Google Scholar] [CrossRef]
  4. Losev, L.L.; Lutsenko, A.P. Ultrabroadband parametric stimulated Raman scattering in a highly transient regime. Opt. Commun. 1996, 132, 489–493. [Google Scholar] [CrossRef]
  5. Sali, E.; Mendham, K.J.; Tisch, J.W.G.; Halfmann, T.; Marangos, J.P. High-order stimulated Raman scattering in a highly transient regime driven by a pair of ultrashort pulses. Opt. Lett. 2004, 29, 495–497. [Google Scholar]
  6. Turner, F.C.; Trottier, A.; Losev, L.L.; Strickland, D. Transient multi-frequency Raman generation in SF6. Opt. Commun. 2007, 270, 419–423. [Google Scholar]
  7. Turner, F.C.; Strickland, D. Anti-stokes enhancement of multi-frequency Raman generation in a hollow fibre. Opt. Lett. 2008, 33, 405–407. [Google Scholar] [CrossRef]
  8. Cui, Z.; Chaturvedi, M.; Tian, B.; Ackert, J.; Turner, F.C.; Strickland, D. Spectral red-shifting of multi-frequency Raman orders. Opt. Commun. 2013, 288, 118–121. [Google Scholar] [CrossRef]
  9. Zhi, M.; Sokolov, A.V. Broadband coherent generation in a Raman crystal driven by a pair of time-delayed linearly chirped pulses. New J. Phys. 2008, 10, 025032. [Google Scholar] [CrossRef]
  10. Sokolov, A.V.; Walker, D.R.; Yavuz, D.D.; Yin, G.Y.; Harris, S.E. Raman generation by phased and antiphased molecular states. Phys. Rev. Lett. 2000, 85, 562–565. [Google Scholar]
  11. Hickman, A.P.; Paisner, J.A.; Bischel, W.K. Theory of multiwave propagation and frequency conversion in a Raman medium. Phys. Rev. A 1986, 33, 1788–1797. [Google Scholar] [CrossRef]
  12. Sali, E.; Kinsler, P.; New, G.H.C.; Mendham, K.J.; Halfmann, T.; Tisch, J.W.G.; Marangos, J.P. Behavior of high-order stimulated Raman scattering in a highly transient regime. Phys. Rev. A 2005, 72, 013813. [Google Scholar]
  13. Boyd, R.W. Nonlinear optics in the two-level approximation. In Nonlinear Optics, 3rd ed.; Elsevier: Oxford, UK, 2008; pp. 277–328. [Google Scholar]
  14. Xia, J.F.; Song, J.; Strickland, D. Development of a dual-wavelength Ti:sapphire multi-pass amplifier and its application to intense mid-infrared generation. Opt. Commun. 2002, 206, 149–157. [Google Scholar] [CrossRef]

Share and Cite

MDPI and ACS Style

Yan, H.; Strickland, D. Effect of Two-Photon Stark Shift on the Multi-Frequency Raman Spectra. Appl. Sci. 2014, 4, 390-401. https://doi.org/10.3390/app4030390

AMA Style

Yan H, Strickland D. Effect of Two-Photon Stark Shift on the Multi-Frequency Raman Spectra. Applied Sciences. 2014; 4(3):390-401. https://doi.org/10.3390/app4030390

Chicago/Turabian Style

Yan, Hao, and Donna Strickland. 2014. "Effect of Two-Photon Stark Shift on the Multi-Frequency Raman Spectra" Applied Sciences 4, no. 3: 390-401. https://doi.org/10.3390/app4030390

APA Style

Yan, H., & Strickland, D. (2014). Effect of Two-Photon Stark Shift on the Multi-Frequency Raman Spectra. Applied Sciences, 4(3), 390-401. https://doi.org/10.3390/app4030390

Article Metrics

Back to TopTop