Prototype Patent WO2025/109237 A1 for Measuring Diffusivity and Mass Transfer in Solid Biofuels
Abstract
1. Introduction to Mass Transfer Models Applied to Drying
- Airflow conditions: Differences in air velocity and temperature can directly affect the mass transfer rate. Warm air typically promotes greater transfer due to its ability to increase the kinetic energy of water molecules, thus facilitating evaporation.
- Relative humidity: Air’s capacity to absorb water vapor is limited, and this affects diffusivity, as high relative humidity can reduce the efficiency of mass transfer.
- Properties of the material being dried: Porosity, internal structure, and composition of the medium play a fundamental role in the resistance to moisture flow within the material. In the case of porous materials, for example, diffusivity can be higher due to the greater connectivity of the pores, while in denser, less porous materials, diffusion is more limited.
- The phase of the medium: As the material transitions from a wetter to a drier phase during the drying process, mass diffusivity varies. In the desorption phase, when the material is partially dry, diffusivity tends to be higher due to the greater availability of water on the surfaces. In the final drying phase, where water is more trapped within the material’s pores, diffusivity decreases considerably, making it difficult to estimate accurately.
2. Materials and Methods
2.1. Equipment Description
2.2. Sample Preparation
2.3. Determination of the Diffusivity Coefficient and Mass Transfer by Convection
3. Results and Discussion
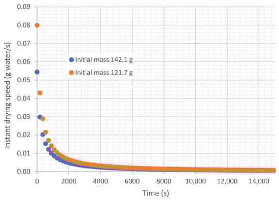
3.1. Evaluation of Water Loss by Diffusion
3.2. Evaluation of Water Loss by Convection
3.3. Comparison of Experimental Data with Those Obtained from Theoretical Mass Transfer Models
4. Conclusions
- The estimation of the mass transfer coefficient using the theoretical Sherwood method presents significant discrepancies when compared to the experimental data obtained. These deviations can be attributed to the simplification of certain parameters within the theoretical model, which limits its applicability under real operating conditions.
- One of the determining factors for this error is the assumption that the surface mass transfer coefficient, , remains constant throughout the drying process. In practice, this parameter varies depending on various conditions, such as the moisture content in the drying material. By assuming a fixed value for , significant inaccuracies are introduced into the calculation of both the drying time and the rate at which the convection process occurs. These differences can lead to errors in the design and optimization of industrial drying systems, affecting their efficiency and energy performance.
- Due to these limitations, the development of a device capable of accurately measuring the mass transfer coefficient under controlled experimental conditions is crucial. The implementation of a measurement device will allow the adjustment of existing theoretical models and improve the prediction of drying behavior by convection. This will lead to a better understanding of the phenomena involved, optimizing equipment design and reducing operational costs in industrial and laboratory applications.
- In this study, the performance of a prototype from patent WO2025/109237 A1 has been evaluated to assess the mass transfer phenomena in drying processes. It has been demonstrated that the prototype allows for the determination of diffusivity and the mass transfer coefficient by convection in drying processes, validating the proposed method.
- It has been demonstrated that the water diffusivity at the solid-air interface in a diffusion drying process is not constant but depends on the moisture content of the biomass and temperature. Since moisture changes over time, diffusivity also varies. Average values can be taken from different criteria to calculate the average drying rate: the mean criteria, mass loss criteria, and slope criteria.
Author Contributions
Funding
Data Availability Statement
Acknowledgments
Conflicts of Interest
References
- Sabbaghi, M.A.; Baniasadi, E.; Genceli, H. Thermodynamic assessment of an innovative biomass-driven system for generating power, heat, and hydrogen. Int. J. Hydrogen Energy 2024, 75, 529–539. [Google Scholar] [CrossRef]
- Prabhu, C.N.; Dhanushkodi, S.; Sudhakar, K. Sustainable Technology for Coconut Processing: Biomass-powered Dryer and Performance Evaluation. Results Eng. 2025, 25, 104361. [Google Scholar] [CrossRef]
- Fagernäs, L.; Brammer, J.; Wilén, C.; Lauer, M.; Verhoeff, F. Drying of biomass for second generation synfuel production. Biomass Bioenergy 2010, 34, 1267–1277. [Google Scholar] [CrossRef]
- Yi, J.; Li, X.; He, J.; Duan, X. Drying efficiency and product quality of biomass drying: A review. Dry. Technol. 2020, 38, 2039–2054. [Google Scholar] [CrossRef]
- Delfiya, D.S.A.; Prashob, K.; Murali, S.; Alfiya, P.V.; Samuel, M.P.; Pandiselvam, R. Drying kinetics of food materials in infrared radiation drying: A review. J. Food Process. Eng. 2022, 45, e13810. [Google Scholar] [CrossRef]
- Mierzwa, D.; Musielak, G. Convective–Microwave–IR Hybrid Drying of Kaolin Clay—Kinetics of Process. Appl. Sci. 2023, 13, 7451. [Google Scholar] [CrossRef]
- Espinoza, O.; Bond, B. Vacuum drying of wood—State of the art. Curr. For. Rep. 2016, 2, 223–235. [Google Scholar] [CrossRef]
- Velázquez-Martí, B.; Gaibor-Chávez, J.; Pérez-Pacheco, S. Quantification based on dimensionless dendrometry and drying of residual biomass from the pruning of orange trees in Bolivar province (Ecuador). Biofuels Bioprod. Biorefining 2016, 10, 175–185. [Google Scholar] [CrossRef]
- Gandía-Ventura, I.; Martí, B.V.; Cortes, I.L.; Guerrero-Luzuriaga, S. Kinetic Models of Wood Biomass Drying in Hot Airflow Systems. Appl. Sci. 2024, 14, 6716. [Google Scholar] [CrossRef]
- Velázquez-Martí, B.; Neto, A.B.; Retana, D.N.; Parra, A.C.; Guerrero-Luzuriaga, S. Determination of biomass drying speed using neural networks. Biomass Bioenergy 2024, 186, 107260. [Google Scholar] [CrossRef]
- Mujumdar, A.S. Handbook of Industrial Drying; CRC Press: Boca Raton, FL, USA, 2020. [Google Scholar] [CrossRef]
- Sahoo, M.; Titikshya, S.; Aradwad, P.; Kumar, V.; Naik, S.N. Study of the drying behaviour and color kinetics of convective drying of yam (Dioscorea hispida) slices. Ind. Crops Prod. 2022, 176, 114258. [Google Scholar] [CrossRef]
- Arranz, J.I.; Miranda, M.T.; Sepúlveda, F.J.; Montero, I.; Rojas, C.V. Analysis of Drying of Brewers’ Spent Grain. Proceedings 2018, 2, 1467. [Google Scholar] [CrossRef]
- Thomasson, T.; Raitila, J.; Tsupari, E. Experimental and techno-economic analysis of solar-assisted heat pump drying of biomass. Energy Rep. 2024, 11, 316–326. [Google Scholar] [CrossRef]
- Noguera, A.M.F.; Iturgaiz, I.A. Experimental determination of dynamic pseudo-equilibrium moisture content: A practical limit for the drying process. MethodsX 2023, 11, 102410. [Google Scholar] [CrossRef]
- Velázquez-Martí, B. Treaty on the Energy Use of Biomass; Universitat Politécnica de València: Valencia, Spain, 2024. [Google Scholar]
- Velázquez-Martí, B.; Plaza, E.D.; Jaramilo, J.P.; Tigre, J.R. WO2025109237—Mass Transfer Measuring Apparatus. 2025. Available online: https://patentscope.wipo.int/search/en/WO2025109237 (accessed on 4 January 2026).
- Lu, Z.; Ma, C.; Zhao, Z.; Jia, W.; Wang, M. Effects of hot air drying time on properties of biomass brick. Appl. Therm. Eng. 2016, 109, 487–496. [Google Scholar] [CrossRef]
- Tripathi, N.; Hills, C.D.; Singh, R.S.; Atkinson, C.J. Biomass waste utilisation in low-carbon products: Harnessing a major potential resource. npj Clim. Atmos. Sci. 2019, 2, 35. [Google Scholar] [CrossRef]
- Sherwood, T.K. The drying of solids I. Ind. Eng. Chem. 1929, 21, 12–16. [Google Scholar] [CrossRef]
- Sherwood, T.K.; Comings, E.W. The drying of solids VII. Ind. Eng. Chem. 1934, 26, 1096–1098. [Google Scholar] [CrossRef]
- Sherwood, T.K.; Comings, E.W. The drying of solids V. Mechanism of drying of clays. Ind. Eng. Chem. 1933, 25, 311–316. [Google Scholar] [CrossRef]
- Khamtree, S.; Ratanawilai, T.; Nuntadusit, C.; Marzbani, H. Experimental study and numerical modeling of heat and mass transfer in rubberwood during kiln drying. Heat Mass Transf. 2021, 57, 453–464. [Google Scholar] [CrossRef]
- Dedic, A.D. Modelling of Coupled Heat and Mass Transfer During Convective Drying of Wood. Dry. Technol. 2002, 20, 1299–1301. [Google Scholar] [CrossRef]
- Koukouch, A.; Bakhattar, I.; Asbik, M.; Idlimam, A.; Zeghmati, B.; Aharoune, A. Analytical solution of coupled heat and mass transfer equations during convective drying of biomass: Experimental validation. Heat Mass Transf. 2020, 56, 1971–1983. [Google Scholar] [CrossRef]
- Jalili, M.; Anca-Couce, A.; Zobel, N. On the uncertainty of a mathematical model for drying of a wood particle. Energy Fuels 2013, 27, 6705–6717. [Google Scholar] [CrossRef]
- Kuznetsov, G.V.; Nigay, N.A.; Syrodoy, S.V.; Gutareva, N.Y. Influence of biomass type on its characteristics of convective heating and dehydration. Energy Rep. 2021, 7, 7118–7133. [Google Scholar] [CrossRef]
- Kuznetsov, G.V.; Syrodoy, S.V.; Nigay, N.A.; Maksimov, V.I.; Gutareva, N.Y. Features of the processes of heat and mass transfer when drying a large thickness layer of wood biomass. Renew. Energy 2021, 169, 498–511. [Google Scholar] [CrossRef]


















| Length (mm) | Width (mm) | Thickness (mm) | Volume (mm3) | ||
|---|---|---|---|---|---|
| Fine sample | Average | 32.93 | 12.21 | 4.87 | 2974.46 |
| Standard deviation | 19.51 | 3.61 | 3.05 | 4739.96 | |
| Length (mm) | Diameter (mm) | Volume (mm3) | |||
| Gross sample | Average | 58.42 | 9.36 | 5315.57 | |
| Standard deviation | 19.85 | 3.89 | 5541.56 | ||
| Experiment 1 | Experiment 2 | Experiment 3 | Experiment 4 | |
|---|---|---|---|---|
| Temperature [T] (°C) | 22.95 | 22.95 | 45.35 | 45.35 |
| Relative humidity [RH] (%) | 33.06 | 33.06 | 22.38 | 22.38 |
| air density [ (kg/m3) | 1.193 | 1.193 | 1.11 | 1.11 |
| Saturated vapor pressure [Pvs] (Pa) | 1981.79 | 1981.79 | 7094.38 | 7094.38 |
| Vapor pressure [Pv] (Pa) | 655.18 | 655.18 | 1587.72 | 1587.72 |
| Saturated absolute humidity [ωsat] (g water/g air) | 0.01241 | 0.01241 | 0.0468 | 0.04682 |
| Absolute humidity [ω] (g water/g air) | 0.0040 | 0.0040 | 0.0099 | 0.0099 |
| Initial mass (g) | 178 | 192 | 121.7 | 142.1 |
| Average drying rate (mean criterion) (g water/s) | 0.00013 ± 0.0001 | 0.00037 ± 0.0002 | 0.0031 ± 0.0011 | 0.0052 ± 0.0002 |
| Average drying rate (mass loss criterion) (g water/s) | 0.00012 ± 0.0002 | 0.00033 ± 0.0003 | 0.0023 ± 0.0004 | 0.0032 ± 0.0001 |
| Average drying rate (slope criterion) (g water/s) | 0.00010 ± 0.0001 | 0.00023 ± 0.0001 | 0.0016 ± 0.0004 | 0.0021 ± 0.0003 |
| Dw with average drying rate (average criterion) (m2/s) | 0.19 ± 0.02 | 0.56 ± 0.02 | 1.13 ± 0.02 | 1.90 ± 0.02 |
| Dw with average drying rate (mass loss criterion) (m2/s) | 0.18 ± 0.02 | 0.50 ± 0.02 | 0.84 ± 0.03 | 1.17 ± 0.02 |
| Dw with average drying rate (slope criterion) (m2/s) | 0.15 ± 0.02 | 0.35 ± 0.02 | 0.59 ± 0.05 | 0.77 ± 0.07 |
| Experiment 1 | Experiment 2 | Experiment 3 | Experiment 4 | |
|---|---|---|---|---|
| Temperature [T] (°C) | 22.95 | 22.95 | 45.35 | 45.35 |
| Relative humidity [RH] (%) | 33.06 | 33.06 | 22.38 | 22.38 |
| air density [ (kg/m3) | 1.19 | 1.19 | 1.11 | 1.11 |
| Saturated vapor pressure [Pvs] (Pa) | 1981.79 | 1981.79 | 7094.38 Pa | 7094.38 |
| Vapor pressure [Pv] (Pa) | 655.18 | 655.18 | 1587.72 Pa | 1587.72 Pa |
| Saturated absolute humidity [ωsat] (g water/g air) | 0.0124 | 0.0124 | 0.0468 | 0.04682 |
| Absolute humidity [ω] (g water/g air) | 0.0040 | 0.0040 | 0.0099 r | 0.0099 |
| Initial mass (g) | 221 | 236 | 158 | 219 |
| Average drying rate (mean criterion) (g water/s) | 0.00043 ± 0.00003 | 0.00045 ± 0.00004 | 0.0032 ± 0.0002 | 0.0042 ± 0.0005 |
| Average drying rate (mass loss criterion) (g water/s) | 0.00036 ± 0.00011 | 0.00043 ± 0.00005 | 0.0025 ± 0.0003 | 0.0031 ± 0.0011 |
| Average drying rate (slope criterion) (g water/s) | 0.00029 ± 0.00009 | 0.00031 ± 0.00008 | 0.0018 ± 0.0007 | 0.0026 ± 0.0008 |
| with average drying rate (mean criterion) (m/s) | 2.16 ± 0.03 | 2.26 ± 0.02 | 3.91 ±0.12 | 5.13 ±0.32 |
| with average drying rate (mass loss criterion) (m/s) | 1.80 ± 0.21 | 2.16 ± 0.32 | 3.05 ± 0.14 | 3.78 ± 0.12 |
| with average drying rate (slope criterion) (m/s) | 1.45 ± 0.12 | 1.55 ± 0.10 | 2.20 ± 0.08 | 3.17 ± 0.18 |
| Biot with average drying rate (mean criterion) | 1.82 | 0.65 | 0.55 | 0.43 |
| Biot with average drying rate (mass loss criterion) | 1.60 | 0.69 | 0.58 | 0.52 |
| Biot with average drying rate (slope criterion) | 1.52 | 0.71 | 0.60 | 0.66 |
| Exp. | T (°C) | (m/s) | Air Density (ρ) (g /m3) | Dynamic Viscosity [μ] (Pa·s) | Re | Sc | Sh | Theorical hw (m/s) | Biot | Theorical (g w/s) | Error in |
|---|---|---|---|---|---|---|---|---|---|---|---|
| 1 (a) | 22.95 | 0.254 | 1.193 | 0.0000185 | 2364.5 | 0.000082 | 1.40 | 1.66 | 1.40 | 0.00033 | 23.04% |
| 1 (b) | 22.95 | 0.254 | 1.193 | 0.0000185 | 2364.5 | 0.000086 | 1.42 | 1.61 | 1.42 | 0.00032 | 11.02% |
| 1 (c) | 22.95 | 0.254 | 1.193 | 0.0000185 | 2364.5 | 0.000101 | 1.50 | 1.44 | 1.50 | 0.00029 | 0.88% |
| 2 (a) | 22.95 | 0.254 | 1.193 | 0.0000185 | 2364.5 | 0.000028 | 0.56 | 1.95 | 0.56 | 0.00039 | 13.35% |
| 2 (b) | 22.95 | 0.254 | 1.193 | 0.0000185 | 2364.5 | 0.000031 | 0.57 | 1.77 | 0.57 | 0.00035 | 18.05% |
| 2 (c) | 22.95 | 0.254 | 1.193 | 0.0000185 | 2364.5 | 0.000044 | 0.58 | 1.27 | 0.58 | 0.00025 | 18.26% |
| 3 (a) | 45.35 | 0.254 | 1.109 | 0.0000195 | 2085.1 | 0.000015 | 0.76 | 5.36 | 0.76 | 0.00439 | 37.18% |
| 3 (b) | 45.35 | 0.254 | 1.109 | 0.0000195 | 2085.1 | 0.000021 | 0.83 | 4.39 | 0.83 | 0.00360 | 43.91% |
| 3 (c) | 45.35 | 0.254 | 1.109 | 0.0000195 | 2085.1 | 0.000030 | 0.94 | 3.45 | 0.94 | 0.00282 | 56.92% |
| 4 (a) | 45.35 | 0.254 | 1.109 | 0.0000195 | 2085.1 | 0.000009 | 0.56 | 6.65 | 0.56 | 0.00545 | 29.77% |
| 4 (b) | 45.35 | 0.254 | 1.109 | 0.0000195 | 2085.1 | 0.000015 | 0.57 | 4.17 | 0.57 | 0.00342 | 10.23% |
| 4 (c) | 45.35 | 0.254 | 1.109 | 0.0000195 | 2085.1 | 0.000023 | 0.58 | 2.78 | 0.58 | 0.00227 | 2.54% |
Disclaimer/Publisher’s Note: The statements, opinions and data contained in all publications are solely those of the individual author(s) and contributor(s) and not of MDPI and/or the editor(s). MDPI and/or the editor(s) disclaim responsibility for any injury to people or property resulting from any ideas, methods, instructions or products referred to in the content. |
© 2026 by the authors. Licensee MDPI, Basel, Switzerland. This article is an open access article distributed under the terms and conditions of the Creative Commons Attribution (CC BY) license.
Share and Cite
Gandía-Ventura, I.; Velázquez-Martí, B.; Moposita-Vasquez, D.D.; López-Cortés, I. Prototype Patent WO2025/109237 A1 for Measuring Diffusivity and Mass Transfer in Solid Biofuels. Appl. Sci. 2026, 16, 895. https://doi.org/10.3390/app16020895
Gandía-Ventura I, Velázquez-Martí B, Moposita-Vasquez DD, López-Cortés I. Prototype Patent WO2025/109237 A1 for Measuring Diffusivity and Mass Transfer in Solid Biofuels. Applied Sciences. 2026; 16(2):895. https://doi.org/10.3390/app16020895
Chicago/Turabian StyleGandía-Ventura, Ignacio, Borja Velázquez-Martí, Diego David Moposita-Vasquez, and Isabel López-Cortés. 2026. "Prototype Patent WO2025/109237 A1 for Measuring Diffusivity and Mass Transfer in Solid Biofuels" Applied Sciences 16, no. 2: 895. https://doi.org/10.3390/app16020895
APA StyleGandía-Ventura, I., Velázquez-Martí, B., Moposita-Vasquez, D. D., & López-Cortés, I. (2026). Prototype Patent WO2025/109237 A1 for Measuring Diffusivity and Mass Transfer in Solid Biofuels. Applied Sciences, 16(2), 895. https://doi.org/10.3390/app16020895

