Influence of Structural Parameters on Thermal Stress and Performance of High-Temperature SiGe Thermoelectric Modules
Abstract
1. Introduction
2. Experimental Details
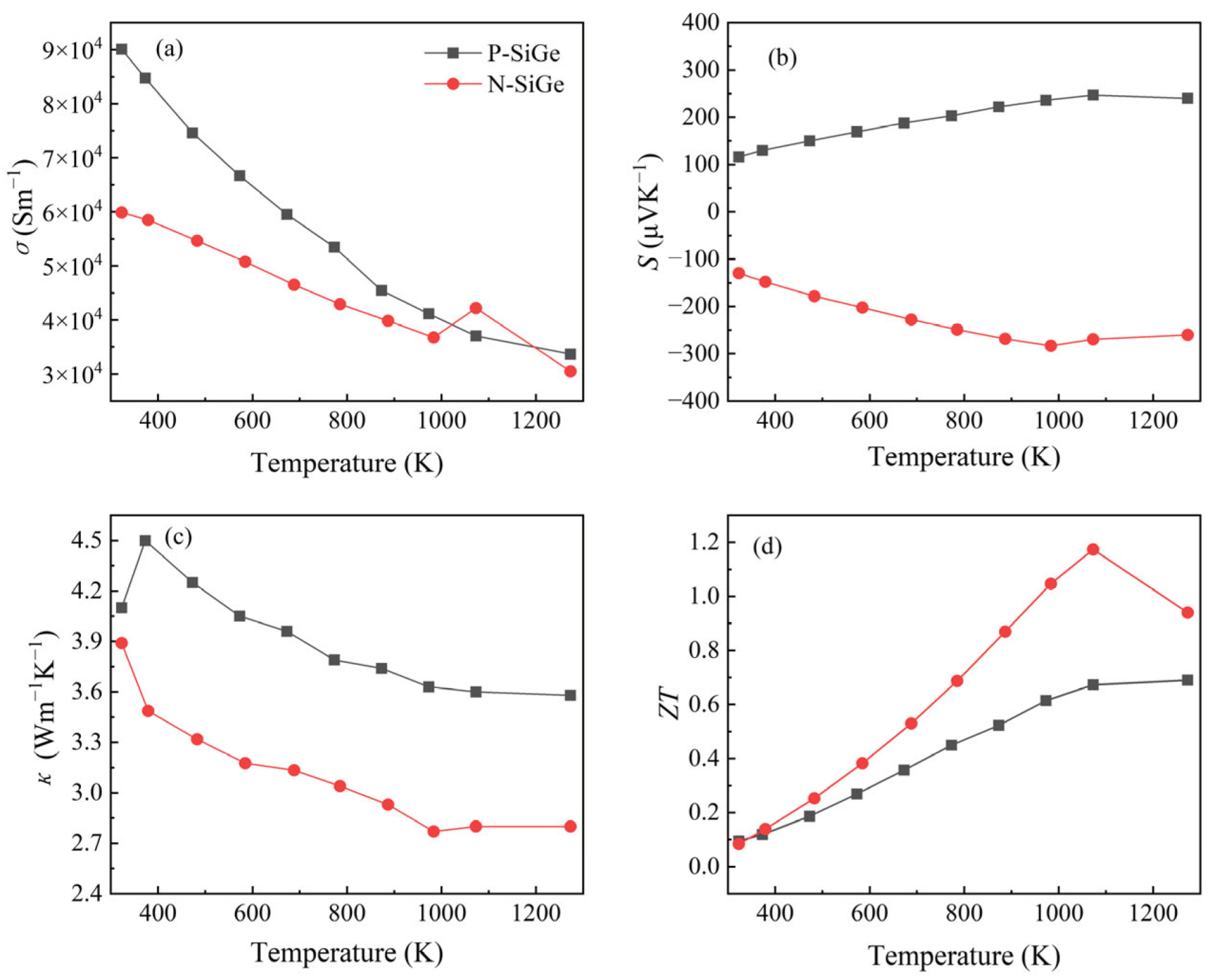
3. Phase Structure and Properties of the as Prepared N-SiGe and P-SiGe Thermoelectric Materials
4. Model and Simulation
4.1. Geometric Model
4.2. Governing Equations, Finite Element Modeling, and Boundary Conditions
5. Results and Discussion
5.1. FE Mesh Independence Tests
5.2. Influence of Electrode Structure on Thermal Stress in SiGe Thermoelectric Modules
5.3. Influence of Inter-Leg Spacing on the First Principal Stress in SiGe Thermoelectric Modules
5.4. Influence of SiGe Leg Dimensions on the First Principal Stress in SiGe Thermoelectric Modules
5.5. Influence of Constraint Conditions on Thermal Stress
5.6. Thermal Stress Simulation Analysis of “Heat Collector–SiGe Module–Heat Sink” Assembly
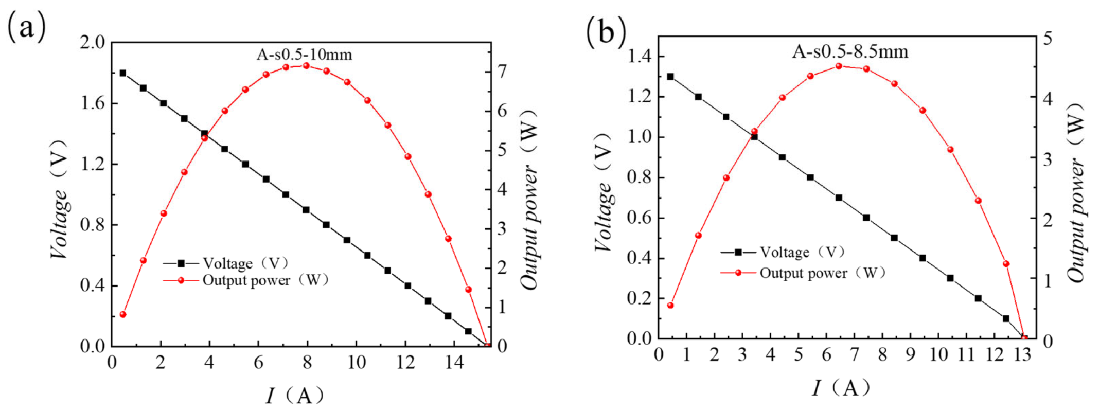
5.7. Output Performance of SiGe Thermoelectric Modules
6. Conclusions
- (1)
- The bending strength, compressive strength, Young’s modulus, and Poisson’s ratio were measured to be 168.72 MPa, 624.1 MPa, 150.5 GPa, 0.197 for the N-SiGe, and 143.0 MPa, 504.78 MPa, 144.6 GPa, 0.199 for the P-SiGe.
- (2)
- Modules with a C/W/C-type electrode structure exhibit lower first principal stress compared to those with a W/C bilayer electrode.
- (3)
- An inter-leg spacing of 0.5 mm leads to significantly lower first principal stress than a spacing of 0.1 mm.
- (4)
- The dimensions of the plate-shaped SiGe legs have a minor influence on thermal stress. Modules with leg sizes of 8.5 × 10 × 1.5 mm3 and 10 × 10 × 1.5 mm3 show comparable stress levels.
- (5)
- Among the 12 configurations analyzed, the structure with a C/W/C electrode and an inter-leg spacing of 0.5 mm (i.e., A-s0.5-10 mm or A-s0.5-8.5 mm) exhibits the lowest thermal stress. In this configuration, the maximum first principal stress on the hot-end surface of the SiGe legs is 12.5 MPa (average: 7.705 MPa), while on the cold-end surface, it reaches 36.4 MPa (average: 18.13 MPa). Thermal stress in all modules remains below the bending strength of SiGe, and the module delivers a maximum output power of approximately 7.42 W.
- (6)
- When integrating the SiGe module into a thermoelectric assembly with a Mo heat collector and a heat sink, a C–C heat sink with a CTE close to that of SiGe is recommended. Incorporating a stress buffer layer between the module and the heat exchange plates further reduces thermal stress.
Author Contributions
Funding
Institutional Review Board Statement
Informed Consent Statement
Data Availability Statement
Conflicts of Interest
References
- Xiao, Y.; Zhao, L.D. Seeking new, highly effective thermoelectrics. Science 2020, 367, 1196–1197. [Google Scholar] [CrossRef] [PubMed]
- Zebarjadi, M.; Esfarjani, K.; Dresselhaus, M.S.; Ren, Z.F.; Chen, G. Perspectives on thermoelectrics: From fundamentals to module applications. Energy Environ. Sci. 2012, 5, 5147–5162. [Google Scholar] [CrossRef]
- Champier, D. Thermoelectric generators: A review of applications. Energy Convers. Manag. 2017, 140, 167–181. [Google Scholar] [CrossRef]
- Zoui, M.A.; Bentouba, S.; Stocholm, J.G.; Bourouis, M. A review on thermoelectric generators: Progress and applications. Energies 2020, 13, 3606. [Google Scholar] [CrossRef]
- Tohidi, F.; Holagh, S.G.; Chitsaz, A. Thermoelectric generators: A comprehensive review of characteristics and applications. Appl. Therm. Eng. 2022, 201, 117793. [Google Scholar] [CrossRef]
- Wang, X.B.; Zeng, J.L.; Liu, X.; Su, C.Q.; Xiong, X.; Wang, Y.P. Numerical simulation of a multi-tube automotive thermoelectric generator for heat transfer and power generation performance. Case Stud. Therm. Eng. 2025, 70, 106091. [Google Scholar] [CrossRef]
- Shu, M.; He, Z.; Zhu, J.; Ji, Y.; Zhang, X.; Zhang, C.; Chen, M.; Zong, P. Flexible thermoelectric BiSbTe/carbon paper/BiSbTe sandwiches for bimode temperature-pressure sensors. Adv. Funct. Mater. 2024, 34, 2414660. [Google Scholar] [CrossRef]
- Rowe, D.M. Applications of nuclear-powered thermoelectric generators in space. Appl. Energy 1991, 40, 241–252. [Google Scholar] [CrossRef]
- Bennett, G.L. Mission interplanetary: Using radioisotope power to explore the solar system. Energy Convers. Manag. 2008, 49, 382–392. [Google Scholar] [CrossRef]
- Tang, S.M.; Wang, C.L.; Zhang, D.L.; Tian, W.X.; Su, G.H.; Qiu, S.Z. Thermoelectric performance study on a heat pipe thermoelectric generator for micro nuclear reactor application. Int. J. Energy Res. 2021, 45, 12301–12316. [Google Scholar] [CrossRef]
- He, W.; Zhang, G.; Zhang, X.; Ji, J.; Li, G.; Zhao, X. Recent development and application of thermoelectric generator and cooler. Appl. Energy 2015, 143, 1–25. [Google Scholar] [CrossRef]
- Choi, H.S.; Seo, W.S.; Choi, D.K. Prediction of reliability on thermoelectric module through accelerated life test and physics-of-failure. Electron. Mater. Lett. 2011, 7, 271–275. [Google Scholar] [CrossRef]
- Barako, M.T.; Park, W.; Marconnet, A.M.; Asheghi, M.; Goodson, K.E. Thermal cycling, mechanical degradation, and the effective figure of merit of a thermoelectric module. J. Electron. Mater. 2012, 42, 372–381. [Google Scholar] [CrossRef]
- Bae, K.H.; Choi, S.M.; Kim, K.H.; Choi, H.S.; Seo, W.S.; Kim, I.H.; Lee, S.; Hwang, H.J. Power-generation characteristics after vibration and thermal stresses of thermoelectric unicouples with CoSb3/Ti/Mo(Cu) interfaces. J. Electron. Mater. 2015, 44, 2124–2132. [Google Scholar] [CrossRef]
- Hatzikraniotis, E.; Zorbas, K.T.; Samaras, I.; Kyratsi, T.; Paraskevopoulos, K.M. Efficiency study of a commercial thermoelectric power generator (TEG) under thermal cycling. J. Electron. Mater. 2010, 39, 2112–2116. [Google Scholar] [CrossRef]
- Hori, Y.; Kusano, D.; Ito, T.; Sasaki, K. Analysis on thermo-mechanical stress of thermoelectric module. In Proceedings of the 18th International Conference on Thermoelectrics, Baltimore, MD, USA, 29 August–2 September 1999; pp. 328–331. [Google Scholar] [CrossRef]
- Ravi, V.; Firdosy, S.; Caillat, T.; Brandon, E.J. Thermal expansion studies of selected high-temperature thermoelectric materials. J. Electron. Mater. 2009, 38, 1433–1442. [Google Scholar] [CrossRef]
- Soto, M.A.; Venkatasubramanian, R. ANSYS-based detailed thermo-mechanical modeling of complex thermoelectric power designs. In Proceedings of the 24th International Conference on Thermoelectrics, Clemson, SC, USA, 19–23 June 2005; pp. 219–222. [Google Scholar] [CrossRef]
- Wang, B.L.; Cui, Y.J. Transient inter laminar thermal stress in multi-layered thermoelectric materials. Appl. Therm. Eng. 2017, 110, 55–66. [Google Scholar]
- Jia, Y.; Kong, L.; Zhu, Q.S.; Zhu, H.J.; Wang, H.Q.; Guan, J.L.; Yan, Q. Thermal stress analysis of a segmented thermoelectric generator under a pulsed heat source. J. Electron. Mater. 2020, 49, 4392–4403. [Google Scholar] [CrossRef]
- Li, J.W.; Huang, H.; Liu, R.H.; Song, Q.; Bai, S.Q.; Chen, L.D. Influence of structural factors on thermal stress in skutterudite-based thermoelectric module. Funct. Mater. Lett. 2021, 14, 2151013. [Google Scholar] [CrossRef]
- Yilbas, B.S.; Akhtar, S.S.; Sahin, A.Z. Thermal and stress analyses in thermoelectric generator with tapered and rectangular pin configurations. Energy 2016, 114, 52–60. [Google Scholar] [CrossRef]
- Yan, Z.; Yi, L.; Xu, H.; Huang, S.; Song, K.; Pan, C.; Jiang, J. Interfacial thermal stresses of segmented thermoelectric generators. J. Therm. Stresses 2023, 46, 574–589. [Google Scholar] [CrossRef]
- Erturun, U.; Erermis, K.; Mossi, K. Effect of various leg geometries on thermo-mechanical and power generation performance of thermoelectric devices. Appl. Therm. Eng. 2014, 73, 128–141. [Google Scholar] [CrossRef]
- Erturun, U.; Erermis, K.; Mossi, K. Influence of leg sizing and spacing on power generation and thermal stresses of thermoelectric devices. Appl. Energy 2015, 159, 19–27. [Google Scholar] [CrossRef]
- Wang, X.; Zong, Y.; Su, W.; Wang, C.; Wang, H. Output and mechanical performance of thermoelectric generator under transient heat loads. Renew. Energy 2024, 222, 119847. [Google Scholar] [CrossRef]
- El-Genk, M.S.; Saber, H.H.; Caillat, T. Efficient segmented thermoelectric unicouples for space power applications. Energy Convers. Manag. 2003, 44, 1755–1772. [Google Scholar] [CrossRef]
- He, R.; Schierning, G.; Nielsch, K. Thermoelectric modules: A review of modules, architectures, and contact optimization. Adv. Mater. Technol. 2018, 3, 1700256. [Google Scholar] [CrossRef]
- Freer, R.; Powell, A.V. Realising the potential of thermoelectric technology: A Roadmap. J. Mater. Chem. C 2020, 8, 441–463. [Google Scholar] [CrossRef]
- Demuth, S.F. SP100 space reactor design. Prog. Nucl. Energy 2003, 42, 323–359. [Google Scholar] [CrossRef]
- Li, J.; Han, J.; Jiang, T.; Zhang, Y.; Chen, Z.; Zhao, X. Effect of synthesis procedure on thermoelectric property of SiGe alloy. J. Electron. Mater. 2018, 47, 4579–4584. [Google Scholar] [CrossRef]
- Loughin, S.; Nakahara, J.F.; Centurioni, D.X.; Cook, B.A.; Harringa, J.L. Fabrication of improved SiGe alloys for an 18-couple module test. AIP Conf. Proc. 1995, 316, 98–101. [Google Scholar]
- Kelley, E.; Klee, P.; Hanson, J.; Nakahara, J. Life Testing of Conductively Coupled Thermoelectric Cells. Final Report for Task 11; General Electric Co.: Philadelphia, PA, USA, 1997. [Google Scholar] [CrossRef][Green Version]

















| Thermoelectric Module | Electrode Structure | Inter-Leg Spacing | Dimension of SiGe Leg | Number of SiGe Legs |
|---|---|---|---|---|
| A-s0.5-8.5 mm | A: 0.5 mm C/0.1 mm W/0.5 mm C | 0.5 mm | 10 × 8.5 × 1.5 mm3 | 20 |
| A-s0.1-8.5 mm | A: 0.5 mm C/0.1 mm W/0.5 mm C | 0.1 mm | 10 × 8.5 × 1.5 mm3 | 20 |
| B-s0.5-8.5 mm | B: 0.5 mm W/1 mm C | 0.5 mm | 10 × 8.5 × 1.5 mm3 | 20 |
| B-s0.1-8.5 mm | B: 0.5 mm W/1 mm C | 0.1 mm | 10 × 8.5 × 1.5 mm3 | 20 |
| C-s0.5-8.5 mm | C: 0.1 mm W/1 mm C | 0.5 mm | 10 × 8.5 × 1.5 mm3 | 20 |
| C-s0.1-8.5 mm | C: 0.1 mm W/1 mm C | 0.1 mm | 10 × 8.5 × 1.5 mm3 | 20 |
| A-s0.5-10 mm | A: 0.5 mm C/0.1 mm W/0.5 mm C | 0.5 mm | 10 × 10 × 1.5 mm3 | 28 |
| A-s0.1-10 mm | A: 0.5 mm C/0.1 mm W/0.5 mm C | 0.1 mm | 10 × 10 × 1.5 mm3 | 28 |
| B-s0.5-10 mm | B: 0.5 mm W/1 mm C | 0.5 mm | 10 × 10 × 1.5 mm3 | 28 |
| B-s0.1-10 mm | B: 0.5 mm W/1 mm C | 0.1 mm | 10 × 10 × 1.5 mm3 | 28 |
| C-s0.5-10 mm | C: 0.1 mm W/1 mm C | 0.5 mm | 10 × 10 × 1.5 mm3 | 28 |
| C-s0.1-10 mm | C: 0.1 mm W/1 mm C | 0.1 mm | 10 × 10 × 1.5 mm3 | 28 |
| Materials | Properties | Parameters |
|---|---|---|
| P-SiGe | κ (W·m−1K−1) | 0.82 + 0.02 × T − 4.75 × 10−5 × T2 + 4.00 × 10−8 × T3 − 1.17 × 10−11 × T4 |
| Cp (J·kg−1K−1) | 616.54 + 0.04T + 6.19 × 10−5T2 | |
| ρ (kg·m−3) | 3.01 × 103 − 0.03T − 4.20 × 10−6T2 | |
| S (V·K−1) | 1.75T + 6.56 × 10−5 | |
| σ (S·m−1) | −71.18T + 1.10 × 105 | |
| E (GPa) | 144.61 | |
| ν | 0.199 | |
| α (K−1) | 3.90 × 10−6 + 5.12 × 10−10T | |
| N-SiGe | κ (W·m−1K−1) | 8.52 − 0.03 × T + 5.09 × 10−5 × T2 − 4.27 × 10−8 × T3 + 1.30 × 10−11 × T4 |
| Cp (J·kg−1K−1) | 583.98 + 0.12T + 1.53 × 10−5T2 | |
| ρ (kg·m−3) | 3.03 × 103 − 3.9 × 10−2T | |
| S (V·K−1) | −2.04 × 10−7T − 7.68 × 10−5 | |
| σ (S·m−1) | −29.85T + 6.85 × 104 | |
| E (GPa) | 150.5 | |
| ν | 0.197 | |
| α (K−1) | 3.90 × 10−6 + 5.12 × 10−10T | |
| Graphite | κ (W·m−1K−1) | 20 |
| Cp (J·kg−1K−1) | −159.88 + 3.66T − 2.4 × 10−3T2 + 7.38 × 10−7T3 − 8.80 × 10−11T4 | |
| ρ (kg·m−3) | 790 | |
| σ (S·m−1) | −5.4 × 10−2T2 + 86.93T + 5.89 × 104 | |
| E (GPa) | 36.5 | |
| ν | 0.425 | |
| α (K−1) | 6.67 × 10−10T + 4.12 × 10−6 | |
| Tungsten | κ (W·m−1K−1) | 173 |
| Cp (J·kg−1K−1) | 117.69 + 6.5 × 10−2T − 6.27 × 10−5T2 + 3.83 × 10−8T3 − 1.05 × 10−11T4 + 1.21 × 10−15T5 | |
| ρ (kg·m−3) | 1.94 × 104 − 0.27T + 6.14 × 10−6T2 − 9.69 × 10−9T3 | |
| σ (S·m−1) | 1/(1.60 × 10−21T4 − 1.57 × 10−17T3 + 7.06 × 10−14T2 + 1.98 × 10−10T − 1.04 × 10−8) | |
| E (GPa) | 4.10 × 102 − 3.49 × 10−2T − 7.55 × 10−6T2 | |
| ν | 0.28005 + 5.744 × 10−6T + 5.4 × 10−9T2 | |
| α (K−1) | 2.79 × 10−6 + 1.44 × 10−8T − 4.00 × 10−11T2 + 3.39 × 10−14T3 | |
| AlN | κ (W·m−1K−1) | 272.08 − 0.43T + 2.61 × 10−4T2 − 5.47 × 10−8T3 |
| Cp (J·kg−1K−1) | 654.45 + 1.13T − 9.27 × 10−4T2 + 3.55 × 10−7T3 − 4.72 × 10−11T4 | |
| ρ (kg·m−3) | 3.24 × 103 + 6.3 × 10−3T − 8.25 × 10−5T2 + 5.58 × 10−8T3 − 1.68 × 10−11T4 | |
| E (GPa) | 3.14 × 102 − 1.42 × 10−2T − 4.09 × 10−6T2 | |
| ν | 0.24 | |
| α (K−1) | 1.74 × 10−6 + 6.19 × 10−9T − 4.71 × 10−12T2 + 1.66 × 10−15T3 | |
| Molybdenum | κ (W·m−1K−1) | −4.53 × 10−8T3 + 1.33 × 10−4T2 − 0.14T + 158 |
| Cp (J·kg−1K−1) | 5.32 × 10−8T3 − 1.44 × 10−4T2 + 0.18T + 208 | |
| ρ (kg·m−3) | 10,280 | |
| E (GPa) | 329 | |
| ν | 0.4 | |
| α (K−1) | 5.07 × 10−6 + 1.84 × 10−10T + 5.93 × 10−13T2 − 1.25 × 10−16T3 | |
| C-C heat sink | κ (W·m−1K−1) | −5.65 × 10−7T3 + 1.91 × 10−3T2 − 2.15T + 983 |
| Cp (J·kg−1K−1) | −4.75 × 10−4T2 + 1.95T + 305 | |
| ρ (kg·m−3) | 2050 | |
| E (GPa) | 50 | |
| ν | 0.17 | |
| α (K−1) | 1 × 10−6 | |
| Copper heat sink | κ (W·m−1K−1) | 480.53 − 0.55T + 1.5 × 10−3T2 − 2.39 × 10−6T3 + 2.04 × 10−9T4 − 8.90 × 10−13T5 + 1.56 × 10−16T6 |
| Cp (J·kg−1K−1) | 342.76 + 0.13T + 5.54 × 10−5T2 − 1.97 × 10−7T3 + 1.14 × 10−10T4 | |
| ρ (kg·m−3) | 9039.0 − 0.36T − 9.32 × 10−5T2 | |
| E (GPa) | (1.40 × 1011 − 5.08 × 106T − 1.91 × 105T2 + 290.73T3 − 0.21T4 + 5.39 × 10−5T5) × 10−9 | |
| ν | 0.34 + 2.41 × 10−5T | |
| α (K−1) | 1.83 × 10−5 − 1.58 × 10−9T + 1.91 × 10−12T2 |
| Global Element Size (mm) | Degrees of Freedom | Average First Principal Stress (MPa) |
|---|---|---|
| 1.7~9.45 | 129,106 | 2.6385 |
| 1.26~5.99 | 232,701 | 2.5707 |
| 0.88~4.73 | 377,471 | 2.5346 |
| 0.57~3.15 | 687,296 | 2.5146 |
| 0.32~2.52 | 2,113,021 | 2.5084 |
| Thermoelectric Module | X-Direction Edges of SiGe Legs | Y-Direction Edges of SiGe Legs | Z-Direction Edge of Sige Leg | XY-Plane Surfaces | YZ-Plane Surface (x = 0 mm) | |||||||
|---|---|---|---|---|---|---|---|---|---|---|---|---|
| y = 0 mm | y = 8.5/10 mm | x = 19.5/27.5/ 15.9/22.3 mm | x = 10/14/ 8/11.2 mm | x = 0 mm y = 0 mm | ||||||||
| Cold End | Hot End | Cold End | Hot End | Cold End | Hot End | Cold End | Hot End | P-SiGe | Cold End | Hot End | P-SiGe | |
| A-s0.1-8.5 mm | 14.2 | 9.8 | 104.4 | 52.8 | 23.4 | 8.3 | 13.9 | 26.9 | 1.5 | 9.3 | 6.3 | 3.0 |
| A-s0.5-8.5 mm | 13.5 | 8.2 | 44.3 | 21.4 | 22.2 | 7.7 | 13.4 | 16.5 | 1.4 | 8.8 | 5.2 | 3.0 |
| B-s0.1-8.5 mm | 19.3 | 7.8 | 189.6 | 41.5 | 36.2 | 7.3 | 26.5 | 18.0 | 1.9 | 16.4 | 4.4 | 4.2 |
| B-s0.5-8.5 mm | 17.5 | 6.4 | 81.1 | 17.2 | 34.3 | 6.3 | 25.1 | 8.3 | 1.7 | 15.3 | 3.5 | 4.1 |
| C-s0.1-8.5 mm | 16.7 | 8.3 | 112.2 | 37.2 | 25.6 | 7.1 | 15.5 | 12.5 | 0.8 | 10.2 | 3.5 | 3.2 |
| C-s0.5-8.5 mm | 14.0 | 6.8 | 46.4 | 12.7 | 23.4 | 6.7 | 14.1 | 6.5 | 0.9 | 9.4 | 2.9 | 3.1 |
| A-s0.1-10 mm | 14.4 | 10.0 | 80.7 | 41.6 | 23.3 | 7.9 | 13.3 | 22.3 | 1.4 | 8.6 | 6.0 | 3.5 |
| A-s0.5-10 mm | 13.5 | 10.6 | 44.6 | 20.5 | 21.3 | 7.4 | 12.5 | 14.1 | 1.4 | 8.5 | 4.9 | 3.5 |
| B-s0.1-10 mm | 17.5 | 8.3 | 220.4 | 51.3 | 37.4 | 6.8 | 25.9 | 22.5 | 1.7 | 16.5 | 4.5 | 4.9 |
| B-s0.5-10 mm | 19.1 | 6.6 | 85.2 | 19.4 | 34.9 | 6.7 | 24.8 | 9.6 | 1.6 | 15.6 | 3.5 | 4.9 |
| C-s0.1-10 mm | 17.7 | 8.1 | 97.6 | 31.4 | 25.9 | 7.3 | 14.9 | 10.9 | 0.8 | 9.6 | 3.4 | 3.7 |
| C-s0.5-10 mm | 13.6 | 7.3 | 52.7 | 14.4 | 24.9 | 6.5 | 14.2 | 7.1 | 1.0 | 9.3 | 3.0 | 3.7 |
| Data Sources | ΔT (K) | Legs Height (cm) | Cross-Section (cm2) | Power Density (Wcm−2) |
|---|---|---|---|---|
| Calculated Pout of A-s0.5-10 mm module in this work | 555 | 1 | 5.64 | 1.32 |
| Calculated Pout of SP100 SiGe module [33] | 425~500 | 0.66 | 6.45 | 1.12 |
| Measured Pout of SP100 SiGe module [33] | 500 | 0.66 | 6.45 | 1.43 |
Disclaimer/Publisher’s Note: The statements, opinions and data contained in all publications are solely those of the individual author(s) and contributor(s) and not of MDPI and/or the editor(s). MDPI and/or the editor(s) disclaim responsibility for any injury to people or property resulting from any ideas, methods, instructions or products referred to in the content. |
© 2026 by the authors. Licensee MDPI, Basel, Switzerland. This article is an open access article distributed under the terms and conditions of the Creative Commons Attribution (CC BY) license.
Share and Cite
Liu, Z.; Yan, H.; Li, J.; Chen, X.; Jing, H.; Zhang, Y.; Xiang, Q.; Ma, M. Influence of Structural Parameters on Thermal Stress and Performance of High-Temperature SiGe Thermoelectric Modules. Appl. Sci. 2026, 16, 545. https://doi.org/10.3390/app16010545
Liu Z, Yan H, Li J, Chen X, Jing H, Zhang Y, Xiang Q, Ma M. Influence of Structural Parameters on Thermal Stress and Performance of High-Temperature SiGe Thermoelectric Modules. Applied Sciences. 2026; 16(1):545. https://doi.org/10.3390/app16010545
Chicago/Turabian StyleLiu, Zhenghao, Heng Yan, Jing Li, Xiaoxi Chen, Hang Jing, Yingzeng Zhang, Qingpei Xiang, and Mingyang Ma. 2026. "Influence of Structural Parameters on Thermal Stress and Performance of High-Temperature SiGe Thermoelectric Modules" Applied Sciences 16, no. 1: 545. https://doi.org/10.3390/app16010545
APA StyleLiu, Z., Yan, H., Li, J., Chen, X., Jing, H., Zhang, Y., Xiang, Q., & Ma, M. (2026). Influence of Structural Parameters on Thermal Stress and Performance of High-Temperature SiGe Thermoelectric Modules. Applied Sciences, 16(1), 545. https://doi.org/10.3390/app16010545
