Employing Fuzzy Adaptive and Event-Triggered Approaches to Achieve Formation Control of Nonholonomic Mobile Robots Under Complete State Constraints
Abstract
1. Introduction
- (1)
- By utilizing FLSs to estimate the unknown nonlinear functions, and constructing the barrier Lyapunov functions, this paper develops a fuzzy adaptive formation control approach within the adaptive backstepping control design framework. Although the work in [9,21,22] investigated the fuzzy adaptive formation control problems of NMRSs, their methods do not consider full-state constraints. Such formation control methods do not constrain the state of the robot within a reasonable range.
- (2)
- In [24,25,26], authors investigated the fuzzy adaptive formation control problems of NMRs. These methods cannot decrease the unnecessary waste of resources resulting from the update of the controller signal when considering complete state constraints. Therefore, this paper designs an event-triggering mechanism to avoid unnecessary waste of resources. In Table 1, a comparison of different control algorithms is presented.
2. Problem Formulation
2.1. System Descriptions
2.2. Graph Theory
2.3. FLSs
- (1)
- All the closed-loop signals are semi-globally uniformly ultimately bounded (SGUUB).
- (2)
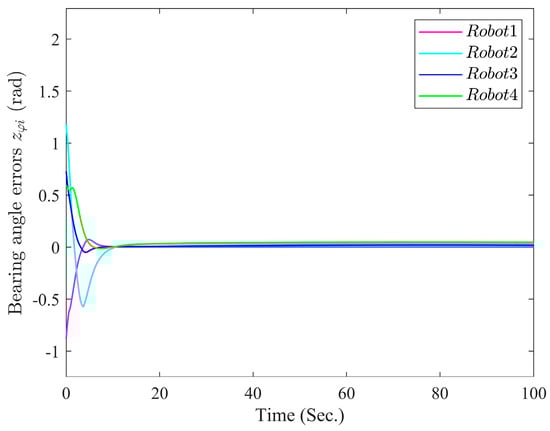
- All robots will follow the leader by keeping a desired formation pattern, i.e., the angle and relative distance errors converge asymptotically to zero without violating the angle and relative distance constraints.
3. Fuzzy Adaptive Formation Control Design
3.1. ET Formation Controller Design
3.2. Stability Analysis
- (1)
- The multiple underactuated NMRs are stable.
- (2)
- Each follower NMR can track the leader NMR.
- (3)
- The Zeno behavior can be excluded.
3.3. The Exclusion of Zeno Phenomenon
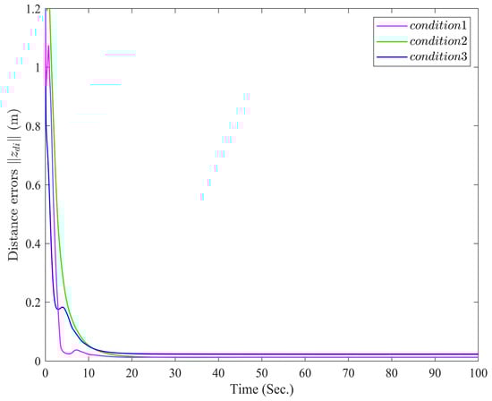
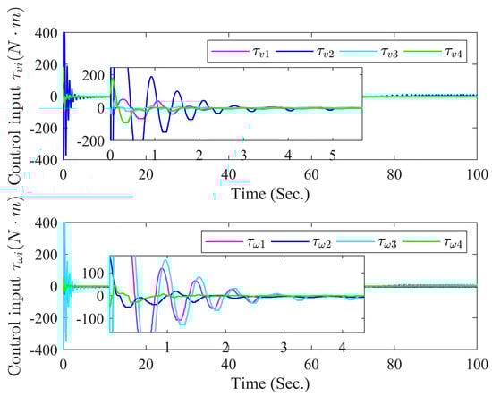
4. Simulation Studies
4.1. Simulation Verification
- (1)
- Each pair of is required to be overlapped.
- (2)
- The whole sequence of fuzzy membership functions is required to cover the universe of discourse of the variable x (the universe of discourse usually chosen as a symmetrical interval about zero).
4.2. Discussions
- Case 1. The Effect of Design Parameters.
- Case 2. The Effect of external interference.
5. Conclusions
Author Contributions
Funding
Institutional Review Board Statement
Informed Consent Statement
Data Availability Statement
Conflicts of Interest
References
- An, L.; Yang, G.H. Collisions-free distributed optimal coordination for multiple Euler-Lagrangian systems. IEEE Trans. Autom. Control 2022, 67, 460–467. [Google Scholar]
- Zhai, J.; Xu, G. A novel non-singular terminal sliding mode trajectory tracking control for robotic manipulators. IEEE Trans. Circuits Syst. II Express Briefs 2020, 68, 391–395. [Google Scholar]
- Hu, Z.; Jin, X. Formation control for an UAV team with environment-aware dynamic constraints. IEEE Trans. Intell. Veh. 2023, 9, 1465–1480. [Google Scholar] [CrossRef]
- Peng, Z.; Wang, J.; Wang, D.; Han, Q. An overview of recent advances in coordinated control of multiple autonomous surface vehicles. IEEE Trans. Ind. Inform. 2020, 17, 732–745. [Google Scholar]
- Wang, Y.; Song, Y. Leader-following control of high-order multiagent systems under directed graphs: Pre-specified finite time approach. Automatica 2018, 87, 113–120. [Google Scholar]
- Lee, G.; Chwa, D. Decentralized behavior-based formation control of multiple robots considering obstacle avoidance. Intell. Serv. Robot. 2016, 11, 127–138. [Google Scholar]
- Benzerrouk, A.; Adouane, L.; Martinet, P. Stable navigation in formation for a multi-robot system based on a constrained virtual structure. Robot. Auton. Syst. 2014, 62, 1806–1815. [Google Scholar]
- Cao, Y.; Yu, W.; Ren, W.; Chen, G. An overview of recent progress in the study of distributed multi-agent coordination. IEEE Trans. Ind. Inform. 2013, 9, 427–438. [Google Scholar]
- Wang, J.; Dong, H.; Chen, F.; Vu, M.T.; Shakibjoo, A.D.; Mohammadzadeh, A. Formation Control of Non-Holonomic Mobile Robots: Predictive Data-Driven Fuzzy Compensator. Mathematics 2023, 11, 1804. [Google Scholar] [CrossRef]
- Li, K.; Fang, X.; Zhao, K.; Song, Y. Angle-constrained adaptive formation control with prescribed performance for multiple nonholonomic mobile robots. IEEE Trans. Ind. Electron. 2024, 1–10. [Google Scholar] [CrossRef]
- Romero, J.; Nuño, E.; Restrepo, E.; Sarras, I. Global consensus-based formation control of nonholonomic mobile robots with time-varying delays and without velocity measurements. IEEE Trans. Autom. Control 2024, 69, 355–362. [Google Scholar] [CrossRef]
- Shao, X.; Li, S.; Zhang, W.; Wu, E.Q. Distance-based elliptical circumnavigation control for non-holonomic robots with event-triggered unknown system dynamics estimators. IEEE Trans. Intell. Transp. Syst. 2023, 24, 3986–3998. [Google Scholar] [CrossRef]
- Wang, W.; Huang, J.; Wen, C. Distributed adaptive control for consensus tracking with application to formation control of nonholonomic mobile robots. Automatica 2014, 50, 1254–1263. [Google Scholar] [CrossRef]
- Min, X.; Baldi, S.; Yu, W. Funnel-based asymptotic control of leader-follower nonholonomic robots subject to formation constraints. IEEE Trans. Control Netw. Syst. 2023, 10, 1313–1325. [Google Scholar] [CrossRef]
- Yoo, S.J.; Park, B.S. Connectivity preservation and collision avoidance in networked nonholonomic multi-robot formation systems: Unified error transformation strategy. Automatica 2019, 103, 274–281. [Google Scholar] [CrossRef]
- Dai, S.L.; Lu, K.; Jin, X. Fixed-time formation control of unicycle-type mobile robots with visibility and performance constraints. IEEE Trans. Ind. Electron. 2021, 68, 12615–12625. [Google Scholar] [CrossRef]
- Li, Y.; Dong, S.; Li, K. Fixed-time command filter fuzzy adaptive formation control for nonholonomic multirobot systems with unknown dead-zones. IEEE Trans. Intell. Transp. Syst. 2024, 25, 17305–17316. [Google Scholar] [CrossRef]
- Li, K.; Li, Y. Adaptive neural network finite-time dynamic surface control for nonlinear systems. IEEE Trans. Neural Netw. Learn. Syst. 2020, 32, 5688–5697. [Google Scholar] [CrossRef]
- Tong, S.; Li, K.; Li, Y. Robust fuzzy adaptive finite-time control for high-order nonlinear systems with unmodeled dynamics. IEEE Trans. Fuzzy Syst. 2021, 29, 1576–1589. [Google Scholar]
- Park, B.S.; Yoo, S.J. Connectivity-maintaining and collision-avoiding performance function approach for robust leader-follower formation control of multiple uncertain underactuated surface vessels. Automatica 2021, 127, 109501. [Google Scholar]
- Dai, S.L.; He, S.; Chen, X.; Jin, X. Adaptive leader-follower formation control of nonholonomic mobile robots with prescribed transient and steady-state performance. IEEE Trans. Ind. Inform. 2020, 16, 3662–3671. [Google Scholar] [CrossRef]
- Kuang, C.; Li, L.; Geng, Q. Formation Control and Collision Avoidance of Nonholonomic Mobile Robots. In Proceedings of the 5th CAA International Conference on Vehicular Control and Intelligence (CVCI), Tianjin, China, 29–31 October 2021; pp. 1–6. [Google Scholar]
- Wang, D.; Pan, S.; Zhou, J.; Pan, Q.; Miao, Z.; Yang, J. Event-triggered integral formation controller for networked nonholonomic mobile robots: Theory and experiment. IEEE Trans. Intell. Transp. Syst. 2023, 24, 14620–14632. [Google Scholar] [CrossRef]
- Xu, Y.; Wang, C.; Cai, X.; Li, Y.; Xu, L. Output-feedback formation tracking control of networked nonholonomic multi-robots with connectivity preservation and collision avoidance. Neurocomputing 2020, 414, 267–277. [Google Scholar] [CrossRef]
- Xiao, H.; Philip-Chen, C.; Lai, G.; Yu, D.; Zhang, Y. Integrated nonholonomic multi-robot consensus tracking formation using neural-network-optimized distributed model predictive control strategy. Neurocomputing 2023, 518, 282–293. [Google Scholar] [CrossRef]
- Wang, L. Adaptive Fuzzy Systems and Control: Design and Stability Analysis; Prentice-Hall: Englewood Cliffs, NJ, USA, 1994. [Google Scholar]
- Li, K.; Li, Y. Adaptive NN optimal consensus fault-tolerant contro for stochastic nonlinear multiagent systems. IEEE Trans. Neural Netw. Learn. Syst. 2023, 34, 947–957. [Google Scholar] [CrossRef]
- Yang, J.; Xiao, F.; TW, T.C. Event-triggered formation tracking control of nonholonomic mobile robots without velocity measurements. Automatica 2020, 112, 108671. [Google Scholar] [CrossRef]











| Controlled Nonlinear NMRs | Event-Triggered Mechanism | State Constraints | First-Order Filter | Unknown Nonlinear Function |
|---|---|---|---|---|
| The proposed control method | √ | √ | √ | √ |
| The control method in [17] | √ | ✕ | √ | √ |
| The control method in [21] | ✕ | ✕ | ✕ | √ |
| The control method in [22] | ✕ | ✕ | ✕ | √ |
| Parameter | Value | Unit | Parameter | Value | Unit |
|---|---|---|---|---|---|
| 0.75 | m | 15.625 | |||
| 0.3 | m | 0.005 | |||
| 0.15 | m | 0.0025 | |||
| 30 | kg | 5 | |||
| 1 | kg | 5 |
| in the Paper | in the Paper | Event Triggering Mechanisms Are Not Considered | Resource Saving Ratio | |
|---|---|---|---|---|
| Robot 1 | 662 | 1608 | 20,000 | 88.65% |
| Robot 1 | 1109 | 1745 | 20,000 | 85.75% |
| Robot 1 | 1196 | 1733 | 20,000 | 85.36% |
| Robot 1 | 212 | 1196 | 20,000 | 92.96% |
| Total times | 3179 | 6282 | 80,000 | 88.17% |
Disclaimer/Publisher’s Note: The statements, opinions and data contained in all publications are solely those of the individual author(s) and contributor(s) and not of MDPI and/or the editor(s). MDPI and/or the editor(s) disclaim responsibility for any injury to people or property resulting from any ideas, methods, instructions or products referred to in the content. |
© 2025 by the authors. Licensee MDPI, Basel, Switzerland. This article is an open access article distributed under the terms and conditions of the Creative Commons Attribution (CC BY) license (https://creativecommons.org/licenses/by/4.0/).
Share and Cite
Wang, K.; Lu, J.; Zhou, H. Employing Fuzzy Adaptive and Event-Triggered Approaches to Achieve Formation Control of Nonholonomic Mobile Robots Under Complete State Constraints. Appl. Sci. 2025, 15, 2827. https://doi.org/10.3390/app15052827
Wang K, Lu J, Zhou H. Employing Fuzzy Adaptive and Event-Triggered Approaches to Achieve Formation Control of Nonholonomic Mobile Robots Under Complete State Constraints. Applied Sciences. 2025; 15(5):2827. https://doi.org/10.3390/app15052827
Chicago/Turabian StyleWang, Kai, Jinnan Lu, and Haodong Zhou. 2025. "Employing Fuzzy Adaptive and Event-Triggered Approaches to Achieve Formation Control of Nonholonomic Mobile Robots Under Complete State Constraints" Applied Sciences 15, no. 5: 2827. https://doi.org/10.3390/app15052827
APA StyleWang, K., Lu, J., & Zhou, H. (2025). Employing Fuzzy Adaptive and Event-Triggered Approaches to Achieve Formation Control of Nonholonomic Mobile Robots Under Complete State Constraints. Applied Sciences, 15(5), 2827. https://doi.org/10.3390/app15052827
