You are currently viewing a new version of our website. To view the old version click .
Applied Sciences
  • Article
  • Open Access

16 February 2025

A Spatial–Temporal Adaptive Graph Convolutional Network with Multi-Sensor Signals for Tool Wear Prediction

,
,
and
Institute of Artificial Intelligence & Robotics (IAIR), Key Laboratory of Traffic Safety on Track of Ministry of Education, School of Traffic and Transportation Engineering, Central South University, Changsha 410075, China
*
Author to whom correspondence should be addressed.
This article belongs to the Special Issue Machine Condition Monitoring and Fault Diagnosis: From Theory to Application, 2nd Edition

Abstract

Tool wear monitoring is crucial for optimizing cutting performance, reducing costs, and improving production efficiency. Existing tool wear prediction models usually design integrated models based on a convolutional neural network (CNN) and recurrent neural network (RNN) to extract spatial and temporal features separately. However, the topological structures between multi-sensor networks are ignored, and the ability to extract spatial features is limited. To overcome these limitations, a novel spatial–temporal adaptive graph convolutional network (STAGCN) is proposed to capture spatial–temporal dependencies with multi-sensor signals. First, a simple linear model is used to capture temporal patterns in individual time-series data. Second, a spatial–temporal layer composed of a bidirectional Mamba and an adaptive graph convolution is established to extract degradation features and reflect the dynamic degradation trend using an adaptive graph. Third, multi-scale triple linear attention (MTLA) is used to fuse the extracted multi-scale features across spatial, temporal, and channel dimensions, which can assign different weights adaptively to retain important information and weaken the influence of redundant features. Finally, the fused features are fed into a linear regression layer to estimate the tool wear. Experimental results conducted on the PHM2010 dataset demonstrate the effectiveness of the proposed STAGCN model, achieving a mean absolute error (MAE) of 3.40 μm and a root mean square error (RMSE) of 4.32 μm in the average results across three datasets.

1. Introduction

The cutting tools are the key factors for achieving efficient and high-quality processing, as the condition of the tool directly affects the cutting performance, processing accuracy, and production efficiency during the machining process [1]. Research has shown that machine downtime caused by tool failure accounts for 7 to 20%, and processing costs increased due to tool changes account for 3 to 12% [2,3]. The conventional periodic replacement strategy may lead to premature or delayed tool changes, resulting in a series of issues, including increased costs, downtime, and decreased processing quality. Therefore, real-time tool condition monitoring is critical for reducing costs, minimizing downtime, and improving processing quality.
Tool condition monitoring includes direct and indirect methods [4]. The direct method is to obtain the dimensional changes in the cutting tool with a microscope or surface profiler and use machine vision to monitor tool wear. However, the direct method relies on expensive visual systems, and the optical system has high requirements for the field environment. The indirect method is to observe tool wear using signals of vibration, cutting force, and acoustic emission, having the advantages of easy installation and real-time monitoring. In addition, the indirect method can be transferred across different machining conditions and equipment.

1.1. Literature Review

Early tool wear prediction established a physics-based model based on domain knowledge, which considers various machining conditions, such as the material properties, cutting speed, feed rate, cutting forces, etc. The physics-based model depends on expert knowledge and is often limited by the uncertainty of system dynamics. Since then, finite element simulation-based methods have emerged to overcome the limitations of physics-based models, but they still depend on expert knowledge and demand significant computational resources and time [5,6]. More recently, thriving smart manufacturing incorporates advanced information technologies, which has introduced a tool condition monitoring system. The system can acquire a large amount of processing data for tool wear prediction using machine learning and deep learning [7,8]. The data-driven methods depend on processing data and learning complex relationships in the data by automatically capturing features without physical laws and knowledge.

1.1.1. Machine Learning-Based Methods

Wu et al. proposed a random forest (RF)-based tool wear prediction method using cutting force, vibration, and acoustic emission signals, and four time-domain statistical features were extracted from these signals to train the model [9]. Traini et al. proposed a tool condition monitoring framework with linear regression (LR), Bayesian linear regression (BLR), decision forest (DF), boosted decision trees (BDTs), and artificial neural networks (ANNs), and several time and frequency domain statistical features were used [10]. Xue et al. proposed a tool wear-state recognition algorithm based on wavelet threshold denoising (WTD), variational mode decomposition (VMD), and weighted random forest based on K-nearest neighbors (KWRF) using the triaxial vibration signals of the spindle [11]. WTD and VMD were used to denoise and decompose the original vibration signal; then, the Isomap nonlinear dimensionality reduction algorithm was used to feature dimensionality reduction from twenty types of time, frequency, and time–frequency domain features, and KWRF was used to identify the wear state. The model was tested under different working conditions, which showed good generalization capability and robustness. Karabacak used the ANN, support vector machine (SVM), and Gaussian process regression (GPR) for tool wear estimation with five types of time-domain features and three types of frequency-domain features [12]. In addition, the process information is also input into these machine learning models, which has been shown to improve model prediction performance.

1.1.2. Deep Learning-Based Methods

Machine learning-based methods are often weak in dealing with complex nonlinearities, and the model performance depends on manual feature extraction, which is implemented independently from model building. These characteristics limit the prediction accuracy and generalization of machine learning-based methods under complex conditions [13]. Compared with machine learning-based methods, deep learning methods have great feature engineering capabilities, which make them robust to data variation and capable of modeling complex nonlinear relationships [14]
Cai et al. proposed a hybrid information model that combines process information and temporal features based on a long short-term memory network (LSTM), where the LSTM was used to extract deep features for tool wear prediction [15]. Marani et al. used LSTM for tool flank wear prediction within spindle motor current signals [16]. Liu and Zhu proposed a two-stage approach integrating tool wear-state classification and prediction based on bidirectional LSTM using current signals of spindle motor [17]. Wang et al. proposed a heterogeneous gated recurrent unit (GRU) model integrating bidirectional GRU and unidirectional GRU models, and ten types of time, frequency, and time–frequency domain features were extracted as the input features [18]. Gao et al. proposed a GRU-based tool wear prediction method, where seven types of time-domain features, two types of frequency-domain features, and sixteen wavelet energy values extracted via wavelet packet decomposition were constructed as the input features [19].
Aghazadeh et al. used a convolutional neural network (CNN) for tool wear prediction with a hybrid feature extraction method integrating wavelet time–frequency transformation and spectral subtraction algorithms [20]. Kothuru et al. proposed a CNN-based tool condition monitoring model using the spectrogram features of acoustic emission signals [21]. Huang et al. proposed a deep CNN-based model with multi-domain feature extraction for tool wear prediction [22]. Xu et al. proposed a CNN with a residual block based on dilated convolution for feature extraction from vibration signals, followed by fully connected neural networks for tool wear prediction [23].
By combining the CNN to extract spatial features between signals and the LSTM to extract temporal features in signals, several composite models have been proposed. Liu et al. proposed a parallel residual and stacked bidirectional long short-term memory (Pres-SBiLSTM) network for tool wear monitoring, in which the parallel residual network was used to extract local features, and a stacked bidirectional LSTM was used to extract time features [24]. Chen et al. proposed a holistic–local LSTM to predict tool wear with a CNN for feature extraction, and the experiment showed that this ensemble model performed better than the CNN, LSTM, and bidirectional LSTM [25]. Cheng et al. proposed a parallel structure integrating a CNN and bidirectional LSTM, and before that, the local features were assigned with different weights based on the attention mechanism [26]. Duan et al. proposed a hybrid attention-based parallel model integrating a residual neural network with a convolutional block attention module (CBAM) and bidirectional LSTM with a general attention unit [27].
Recently, graph neural networks (GNNs) are becoming popular to deal with graph-structured data and achieve significant progress in multivariate time-series prediction [28]. Liu et al. proposed a graph convolutional network (GCN) with a spatial–temporal-event cross-attention mechanism to predict precise traffic flow [29]. Yang et al. proposed a dynamic GNN to predict vehicle trajectory, and a vehicle interaction mechanism for dynamic movement was introduced to capture temporal and spatial dependencies among vehicles [30]. Sun et al. proposed a short-term load-forecasting framework based on GNN and temporal convolution module, and the experiments showed that the GNN-based model outperforms three conventional methods and six deep learning methods [31]. Zhao et al. proposed a spatial–temporal graph neural network with a spatial–temporal attention layer for medium-term wind power forecasting [32]. Hu et al. proposed a self-learning dynamic graph neural network, and an evolving adjacency matric was constructed to capture the dynamic relationships between changing feature quantities [33].
Meanwhile, GNNs are increasingly used to process multi-sensor signals in prognostics and health management (PHM), which can quantify the interdependencies between signals and embed them into extracted features [34]. Yang et al. proposed a GNN model integrating a GCN and GRU for bearing remaining useful life (RUL) prediction [35]. Kong et al. proposed a GNN with spatial–temporal feature fusion for turbofan engine RUL prediction, which can simultaneously match information propagation at spatial–temporal dimensions [36]. Zhang and Wu proposed a GNN-based bearing fault diagnosis method with a causality graph between fault signals and health signals [37]. Xu et al. proposed a pre-trained model based on a GNN for tool wear prediction, which was outstanding on small-scale datasets under variable working conditions [38].

1.2. Motivation and Contributions of Paper

Although deep learning-based tool wear prediction methods have made notable progress, there remain critical limitations that need to be addressed. Firstly, manual feature engineering in time, frequency, and time–frequency domains relies on domain knowledge and limits the generalizability of prognostic methods. Secondly, previous models struggle with capturing long-term spatial–temporal dependencies. For example, GRU-based methods result in a mean absolute error (MAE) of 8.5 μm and root mean squared error (RMSE) of 11.4 μm due to their limited ability to model long-range dependencies [15]. Additionally, feature fusion with spatial and temporal dimensions from multi-sensor data is mostly overlooked in previous research. The integrated model combining a GRU and CNN with the attention mechanism can achieve a better prediction accuracy, which results in an MAE of 3.32 μm and RMSE of 5.33 μm [39]. However, it still does not consider the fusion between different dimensions of the sensor data.
To address these limitations, this paper proposes a novel spatial–temporal adaptive graph convolutional network (STAGCN), which integrates an adaptive graph convolution network (AGCN), bidirectional Mamba (Bi-Mamba), and multi-scale triple linear attention (MTLA) to enhance tool wear prediction. Specifically, the AGCN dynamically learns spatial correlations, Bi-Mamba captures long-term temporal dependencies, and MTLA fuses multi-scale features across spatial, temporal, and channel dimensions to extract intricate interactions. The main contributions of this paper are as follows:
  • With the limitation of a predefined graph structure that cannot effectively capture spatial variations, the AGCN is designed for capturing hidden spatial dependencies and improving feature aggregation.
  • To capture temporal dependencies, Bi-Mamba is used to capture both forward and backward contextual information with long-term dependencies, and the channel independence strategy allows for different features to be learned in each channel, which provides a more comprehensive feature representation.
  • To enhance the feature extraction capability while fusing multi-dimensional features, MTLA is designed for capturing multi-level local and global information from multi-scale features, and the attention mechanism can dynamically adjust weights based on input features, focusing on crucial information and improving information utilization efficiency.

1.3. Paper Organization

The paper is organized as follows: Section 2 provides a theoretical basis for the graph convolutional network and state space models. Section 3 presents the proposed model, introducing the key improvement modules. Section 4 describes the datasets, data processing, experiment parameter configurations, and evaluation metrics. Section 5 discusses the results obtained using the proposed method in tool wear prediction. Section 6 provides a comprehensive conclusion.

2. Theoretical Basis

2.1. Graph Convolutional Network

The graph convolutional operation is specialized for graph structure data, which can describe the inter-relationships between nodes with the representation of edges. Unlike traditional CNNs, which operate on grid-like structured data, graph convolution can effectively model complex, non-Euclidean structures such as sensor networks, social networks, and molecular graphs. An undirected graph can be expressed as G = V , E , A , where V is the node set with N nodes, E is the edge set that describes the connectivity between nodes, and A N × N is the weighted adjacent matrix.
The spectral-based GCN denotes convolution operation by using graph Fourier transform, which depends on the eigenvalue decomposition of the normalized Laplacian matrix L of the graph [40]. The normalized Laplacian matrix L can be expressed as:
L = I N D 1 / 2 A D 1 / 2 = U Λ U T
where I N is the identity matrix; D = d i a g j A i j is the degree matrix; U is eigenvectors of the normalized Laplacian matrix L; T represents the transpose operator; and Λ is the diagonal matrix of eigenvalues.
Then, the spectral graph convolution can be defined as:
Z = g θ · x = U g θ Λ U T x
where g θ is a filter in the Fourier domain; θ N is a learnable parameter; x N is the input signal; and · is the graph convolution operator.
This approach allows the convolution operation to capture the global graph structure. However, directly computing U via eigenvalue decomposition is computationally expensive, which suffers from O N 3 complexity. To reduce the computational complexity, the K-order truncated Chebyshev polynomial is used to approximate the filter g θ [41]. The approximation of graph convolution can be formulated as:
Z = g θ · x k = 0 K θ k T k L ˜ x
where L ˜ = 2 / λ max L I N , in which λ max is the largest eigenvalue of L; T k x = 2 X T k 1 x T k 2 x , with T 0 x = 1 and T 1 x = x .
Then, the first-order approximation of Chebyshev polynomials is used to derive the graph convolution operation [42]. The graph convolution can be formulated as:
Z = I N + D 1 / 2 A D 1 / 2 X Θ
where X N × C is the input signal with C input channels; Θ C × F is a learnable parameter matrix; and F is the number of output channels.

2.2. State Space Model

The state space model (SSM) is inspired by the continuous system that maps the input sequence x t L to the output y t K through a hidden state h t N [43], defined as follows:
h t = A h t + B x t y t = C h t
where A N × N is the evolution parameter, and B N × L and C K × N are projection parameters.
The SSM functions as an RNN with fixed lengths that do not grow with the input length, making it efficient for processing long sequences. It provides a powerful framework for modeling dynamic systems by capturing high-order derivatives using only first-order derivatives and vector quantities. This characteristic allows it to represent complex temporal dependencies while maintaining computational efficiency. In essence, an SSM assumes that the next state is a linear combination of previous states and external inputs, while the output is a linear function of the current state and input vector. This linear dynamical system formulation enables stable and interpretable sequence modeling, offering an efficient alternative to traditional recurrent architectures.
Then a discretization rule based on zero-order hold is used to discretize the SSM, defined as follows:
h t = A ¯ h t 1 + B ¯ x t y t = C h t
where A ¯ = exp Δ A , B ¯ = Δ A 1 exp Δ A I Δ B , and Δ is time-scale parameter.
The discretized SSM can be trained in parallel by using global convolution computation and make efficient autoregressive inferences by switching to linear recurrence computation [44].

3. Methodology

3.1. Preliminary

The multi-sensor spatial–temporal graph is defined as G = V , E , A , and the input signals with T time slices can be represented as X = X ( t T + 1 ) , X ( t T + 2 ) , , X ( t ) T × N × C . The task of the proposed STAGCN is to learn mapping between G and the tool wear y t based on the input X. Figure 1 illustrates the overall framework of the STAGCN proposed in this paper. The STAGCN consists of an embedding layer, multiple stacked spatial–temporal layers, and two fully connected layers as the output layer. Each spatial–temporal layer is composed of AGCN for adaptively capturing spatial dependencies, Bi-Mamba for capturing temporal dependencies, and MTLA for effective feature fusion. The details of these components are introduced in the subsequent sections.
Figure 1. The overall framework of the STAGCN. FC layer: fully connected layer; AGCN: adaptive graph convolutional network; MTLA: multi-scale triple linear attention.

3.2. Embedding the Time Series

In this study, each single sensor signal is treated as a node within the graph, which needs to integrate time-series signals into node embedding. The linear models have been shown superior performance in capturing the temporal dynamics of the time series [45]. Therefore, a linear model is used to reflect the temporal trend in individual sensor signals. Additionally, a learnable variate embedding matrix ( e n N × C ) and a learnable time embedding matrix ( e t T × C ) are created to enhance the ability to model the spatial–temporal dependencies. In summary, the node embedding x ^ t , n can be calculated as:
x ^ t , n = Linear x t , n + e n + e t T × N × C
where Linear represents a linear layer.

3.3. Adaptive Graph Convolutional Network

A predefined graph is most used in spatial feature extraction for the graph convolution network, and the predefined graph can be constructed by distance or similarity [46,47,48,49]. However, the predefined graph depends on prior knowledge and contains limited spatial dependencies.
To overcome the above limitations, an adaptive graph is used to automatically learn the connectivity relationships between nodes via gradient descent. Inspired by the adaptive graph convolution in Graph WaveNet and adaptive graph convolutional recurrent network (AGCRN) [50,51], a learnable node embedding matrix, E N × d , is proposed, where d represents the node embedding dimension. The adaptive graph can be computed as follows:
A adp = Softmax ReLU E E T
where Softmax (·) normalizes the adjacency matrix of the graph, and ReLU (·) is used to eliminate weak connections.
Based on the adaptive graph, the adaptive graph convolution can be given as follows:
Z AGCN = A adp X W
where X T × N × C is the input multi-sensor signals, and W is the weight matrix.

3.4. Bidirectional Mamba

Long-term dependency modeling in the temporal perception of the node is also very important in time-series prediction tasks. The traditional CNN and RNN have limitations on inference and training speed, and they all lead to overlooking long-term information. In this part, Bi-Mamba with a channel independence strategy is introduced to extract the long-term global features.
Mamba is a modified SSM-based model that introduces parameterized matrices in a data-driven manner and a hardware-aware parallel computing algorithm based on a selective scan of structured state space models [52]. The structured state space model is a variant of the SSM that introduces a high-order polynomial projection operators (HIPPO) matrix to the initialization of evolution parameters in the SSM, which has outstanding capabilities in modeling long-term dependencies [43,53].
Considering the diverse representations of features within several sensor data series in different directions, Bi-Mamba is proposed to capture comprehensive features, as shown in Figure 2. A channel independence strategy is used in the module structure, which has been proven to achieve better performance on datasets with few variables [54].
Figure 2. The architecture of (a) the proposed bidirectional Mamba module and (b) the Mamba block.
The channel independence strategy works on reshaping the input B × T × N batch   size × length × number   of   channels B × N × T × 1 . The batch size becomes B × N and makes each sequence of length T independent from each other, and then the reshaped input is transposed into B × N × 1 × T . Therefore, one Mamba block learns with the input dimension as 1 and token length T, and the other Mamba block learns with the input dimension as T and token length 1, which can learn both global and local context dependencies. In addition, two Mamba blocks are used to model the two inputs from backward directions, which can enhance the ability to extract long-term features in different directions.

3.5. Multi-Scale Triple Linear Attention

Inspired by triplet attention (TA) [55], MTLA is proposed to fuse the features of three dimensions in the sensor data at a deeper level, as shown in Figure 3, and multi-scale learning based on depth-wise convolution is used to further improve the local feature extraction capability.
Figure 3. The architecture of (a) the MTLA module and (b) the linear attention mechanism.
The linear attention can be represented by the following equation [56]:
y = σ W 1 ReLU W 0 g x + W 1 ReLU W 0 δ x x
where σ represents the sigmoid activation function; ReLU represents the rectified linear unit; W 0 and W 1 are weight matrices, the sizes of which are defined to be C × C r and C r × C (take the input x 1 C × T × N as an example), where r is the reduction ratio; represents the Hadamard product; g is the global average pooling (GAP) function written as (take the input x 1 C × T × N as an example):
g x = 1 T × N i = 1 T j = 1 N x i , j
and δ is the global max pooling (GMP) function written as (take the input x 1 C × T × N as an example):
δ x = max T , N x
Let x T × N × C be the input to the MTLA module, where T, N, and C represent the input length, number of nodes, and number of features, respectively. The input is passed to each of the three branches and outputs a refined tensor of the same shape. In the first branch, the input is rotated 90° anti-clockwise along the T-axis and the N-axis, respectively. The rotated tensor x 1 is of the shape C × T × N ; then, x 1 is passed through a depth-wise convolution to capture local spatial information and is denoted as x ^ 1 . The x ^ 1 is then passed through a linear attention model to generate a weighted output, y 1 . Finally, the weighted output is rotated 90° anti-clockwise along the N-axis and the T-axis to retain the original input shape of x.
Similarly, in the second branch, the input is rotated 90° anti-clockwise along the N-axis and the T-axis. The rotated tensor x 2 can be represented with a dimension of N × C × T . Then, x 2 is also passed through the depth-wise convolution and linear attention sequentially to generate the weighted output y 2 and is subsequently rotated 90° anti-clockwise along the T-axis and the N-axis to retain the original input shape of x.
For the final branch, the input is passed through the depth-wise convolution and linear attention sequentially to generate the weighted output y 3 . Then, the refined tensor of shape T × N × C generated by the three branches is aggregated by simple averaging. Summarizing, the MTLA module can be represented by the following equation:
y = 1 3 y ¯ 1 + y ¯ 2 + y 3
where y ¯ 1 and y ¯ 2 represent the 90° clockwise rotation to retain the original input shape T × N × C .

3.6. The STAGCN-Based Tool Wear Prediction Method

The overall process of the STAGCN-based tool wear prediction method is shown in Figure 4. The method is mainly composed of four parts: a data processing module, a time-domain feature construction module, a feature extraction module by spatial–temporal layers, and a prediction module by two fully connected layers.
Figure 4. The process of the tool wear prediction framework based on the STAGCN.

4. Experimental Setup

In this section, the proposed STAGCN is evaluated on the 2010 PHM data challenge dataset (PHM2010 dataset) for tool wear prediction and compared with state-of-the-art methods.

4.1. Dataset Description

The publicly available PHM2010 dataset is acquired from the milling cutter machining experiment, the schematic diagram of the test bench used in the milling experiment is shown in Figure 5 [57]. The data can be accessed through their official website, https://phmsociety.org/phm_competition/2010-phm-society-conference-data-challenge, accessed on 15 February 2024.
Figure 5. The experiment equipment and configuration.
The experiment was processed with one tool on a high-speed Computer Numerical Control (CNC) machine, the milling cutter was a three-flute ball nose cutter, and the workpiece was a stainless-steel block. The milling parameters were 10,400 rpm spindle speed, feed rate of 1555 mm/min, 0.125 mm radial cut depth, and 0.2 mm axial cut depth. A 3-component platform dynamometer, three accelerometers, and an acoustic emission (AE) sensor were mounted to collect the force and vibration in three directions (x direction, y direction, and z direction) and the high-frequency stress wave. All these sensor signals were sampled at a frequency of 50 kHz. An optical microscope was used to measure three flutes’ wear after a complete 108 mm cutting distance. The dataset consists of three sub-datasets of the tool run-to-failure degradation process, and each sub-dataset includes 315 tests. The three run-to-failure sub-datasets are named C1, C4, and C6, which are used in this study. The tool wear measurements are presented in Figure 6, and the average wear value of three cutting edges is selected as the tool wear label in this study.
Figure 6. The tool wear value of three datasets: (a) C1; (b) C4; and (c) C6.

4.2. Data Processing

The number of data samples corresponding to each wear label is more than 200,000, and the sampling frequency is 50 kHz and contains invalid data during the tool engage and retract steps. Firstly, these invalid data are deleted, and denoising is implemented to eliminate irrelevant components from the original signal via VMD. The original signal is decomposed into 6 intrinsic mode function (IMF) components via VMD. Then, the uncorrelated IMFs were removed by calculating the Pearson correlation coefficient (PCC) between the IMFs and the original signal, for which the PCC is less than 0.3. The other IMF components are retained to reconstruct the denoised signal. Figure 7a,b show the original vibration signal and the corresponding spectral analysis in the x direction of the C1 dataset. It can be observed that the original signal has more noise information, which shows high-frequency characteristics. Figure 7c,d show the denoised signal and the corresponding spectral analysis. It can be found that the high noise energy in the high-frequency part has been effectively eliminated, retaining the effective information.
Figure 7. The effect of signal denoising: (a) original signal; (b) the spectral analysis of (a); (c) denoised signal; (d) the spectral analysis of (c).
Then, the remaining denoised data are divided into S subsequences using a nonoverlapping sliding window, and the variance, maximum, and minimum of each subsequence are extracted as features, as shown in Figure 8. For example, when the denoised data are divided into 60 subsequences along the time dimension, the processing results of the cutting force signal in the x direction of the C1 dataset are shown in Figure 9.
Figure 8. The schematic diagram of data processing: (a) steady-state cutting segmentation; (b) time-domain feature extraction after signal denoising.
Figure 9. The data processing results of the cutting force signal in the x direction of the C1 dataset: (a) variance; (b) maximum; and (c) minimum.
In addition, all sub-datasets are normalized using z-score normalization to remove the influence of scale differences between multi-sensor time-series data, written as:
x norm i = x i x mean i x std i
where x i represents the i - th column data; x mean i represents the mean value of the i - th column data; x std i represents the standard deviation of the i - th column data; and x norm i represents the i - th column normalized data.
Then the normalized variance, maximum, and minimum are segmented by a sliding time window with a length of T. Three-fold cross-validation is used for three sub-datasets, where two sub-datasets are used as the training set, and the other sub-dataset is used as the testing set, as illustrated in Table 1. Additionally, the training set is divided into training data and validation data according to a ratio of 8:2.
Table 1. The tool wear prediction tasks for the PHM2010 dataset.

4.3. Parameter Configurations

Experiments are executed on a computer equipped with an Intel Core i7-10700F CPU running at 2.9 GHz and an NVIDIA GeForce RTX 3070 GPU with 8 GB of VRAM, which are implemented in Python 3.11 with Pytorch 2.1.2.
The detailed network structure of the STAGCN and its output feature size of each module are listed in Table 2, and there are five spatial–temporal layers stacked. The input size is 32 × 60 × 7 × 3 (i.e., batch size × time window length × number of nodes × number of features). A dropout layer is used to the output of the AGCN to prevent overfitting. Node embedding is initialized randomly, and the embedding dimension is 2. The number of subsequences, S, and time window length, T, are both 60.
Table 2. The detailed structure of the STAGCN.
We choose the Adam optimizer to optimize the model, and a learning rate decay strategy is adopted, which decreases the learning rate by multiplying 0.1 every 20 epochs. The model is trained for 100 epochs, and a grid search is used to select the optimized parameters of learning rate and batch size. The searching space of the learning rate is set to [0.0001, 0.0005, 0.001, 0.005]. The searching space of the batch size is set to [16, 32, 64, 128]. The best parameters of the STAGCN model are selected through the validation set, which is set as shown in Table 3.
Table 3. The detailed hyperparameters.

4.4. Performance Evaluation Metrics

In this paper, the performance evaluation metrics of the proposed model include mean absolute error (MAE) and root mean square error (RMSE). The evaluation metrics can be formulated as:
MAE = 1 n i = 1 n y ^ i y i
RMSE = 1 n i = 1 n y ^ i y i 2
where n is the total testing sample number; y i is the i - th ground-truth wear value; and y ^ i is the i - th predicted wear value.

5. Results and Discussion

In this section, the performance of the proposed STAGCN model in predicting tool wear is evaluated on the PHM2010 dataset. To demonstrate the accuracy and reliability of the proposed model, eleven existing methods are selected as the main baselines, such as convolutional bidirectional LSTM (CBLSTM) [58], time-distributed ConvLSTM (TDConvLSTM) [59], bidirectional LSTM with a particle filter (BLSTM-PF) [60], integrated model based on a parallel convolutional neural network (PCNN), a CNN, deep residual networks (DRNs), LSTM (integrated model) [61], hybrid-information LSTM [15], a transformer-based neural network with self-attention (TBNN) [62], a CNN–transformer neural network (CTNN) [63], holistic-local LSTM (HLLSTM) [25], a hybrid model based on a deep convolutional neural network and stacked LSTM (DCNN-SLSTM) [64], a hybrid model based on a DCNN and multi-channel bidirectional LSTM (DCNN-McBiLSTM) [65], a hybrid model based on bidirectional LSTM, Performer, and residual-skip connections (BiLPReS) [66].

5.1. Prediction of Tool Wear on PHM2010 Dataset

Table 4 demonstrates the performance comparison results of the STAGCN and all baselines on the PHM2010 dataset. To avoid randomness of the results, the final values of two evaluation metrics are the average of five experiments. Based on the results, the following conclusions can be obtained:
Table 4. Performance comparison results of all baselines and the proposed model.
  • Transformer-based models outperform traditional deep learning approaches primarily due to the effectiveness of the attention mechanism. Unlike RNN-based architectures such as GRU and LSTM, which process sequences sequentially and suffer from vanishing gradient issues, transformer-based models dynamically focus on key parts of the input sequence. This flexibility allows them to capture long-range dependencies more effectively, ensuring better modeling of complex temporal patterns in tool wear progression.
  • The STAGCN achieves the best overall performance by integrating an AGCN and Bi-Mamba for spatial–temporal feature extraction. Traditional graph-based models, such as a GCN, rely on a fixed adjacency matrix, which limits their adaptability to dynamically evolving sensor relationships. In contrast, an AGCN enables dynamic learning of sensor dependencies, adjusting the graph topology based on real-time sensor interactions. This adaptability is particularly beneficial in scenarios where sensor measurements are affected by changing cutting conditions and wear patterns.
  • The MTLA mechanism further enhances the STAGCN by refining feature selection across different timescales. Unlike conventional attention mechanisms that primarily focus on individual time steps, MTLA enables hierarchical feature aggregation, ensuring that both short-term fluctuations and long-term degradation trends are effectively captured. This is particularly crucial in predictive maintenance, where wear progression may follow nonlinear trends that require flexible time-dependent modeling.
Furthermore, the predicted tool wear for each task is shown in Figure 10, from which it can be concluded that in the initial and steady wear stages, the estimated wear values are very close to the true wear, and the wear progresses linearly with a relatively low and stable wear rate. In the severe wear stage, although the error significantly increases, the proposed STAGCN can still achieve high prediction accuracy.
Figure 10. The tool wear prediction on the dataset: (a) C1; (b) C4; and (c) C6.
The performance difference between the initial and severe wear stages is mainly due to three factors: (1) The initial wear stage follows a more stable and gradual progression, making it easier for the model to learn consistent patterns, whereas the severe wear stage exhibits rapid and nonlinear deterioration, increasing prediction difficulty. (2) As tool wear intensifies, sensor data become noisier due to increased vibrations and surface roughness, reducing prediction accuracy. (3) Since the training data are primarily composed of early and moderate wear samples, the model must extrapolate in the severe wear stage, leading to higher errors.
Furthermore, to explore the impact of the signal denoising method used in this paper on the model prediction accuracy, an ablation experiment was designed, using the original signal and the denoised signal to predict wear. The model structure remains unchanged regardless of whether the input is the original signal or the denoised signal. The prediction comparison results are shown in Table 5, and the MAE and RMSE analyses indicate that using denoised signals results in better prediction accuracy. The maximum prediction error of the original signal and denoised signal all appear in the C6 dataset. However, compared to the original signal, using a denoised signal reduced the MAE by 34.1% and RMSE by 36.0%. This demonstrates that the high-frequency noise in the original signal negatively affects the model prediction accuracy and proves the effectiveness of the signal denoising method.
Table 5. Effect of signal denoising on model prediction performance.
The numbers of the training samples, the validation samples, the testing samples, the batch size, and the mean training time per epoch of the STAGCN are illustrated in Table 6. The computation time is moderate and acceptable for tool wear prediction tasks.
Table 6. The numbers of the training samples, the validation samples, the testing samples, the batch size, and the mean training time per epoch of the STAGCN.

5.2. Ablation Experiment

To demonstrate the importance of different components in the STAGCN, five variants are derived for comparison. The five variants of the STAGCN model are explained in detail:
  • Variant-Base: this model only adopts the AGCN to extract spatial features.
  • Variant-M: this model adds Bi-Mamba based on Variant-Base to extract temporal features.
  • Variant-A: this model adds MTLA based on Variant-Base.
  • Variant-M-A: this model adds Bi-Mamba and MTLA based on Variant-Base.
  • Variant-Preg: this model uses the predefined adjacency matrix based on the PCC for the GCN, which is used to replace the AGCN in the STAGCN.
As shown in Figure 11, the proposed STAGCN has better performance than other variants. Based on the experimental results, the following conclusions can be drawn: (1) The predefined graphs rely on manually set adjacency matrices, which may fail to capture dynamic spatial dependencies in multi-sensor data. In contrast, the AGCN dynamically learns spatial relationships, improving feature aggregation. (2) The performance of the model depends on the extraction of both spatial and temporal features. (3) When MTLA is removed, the performance decreases significantly, which means that MTLA is one of the most important components. This is because MTLA plays a crucial role in multi-scale feature fusion, dynamically adjusting attention weights to capture spatial, temporal, and channel dependencies effectively.
Figure 11. The results of the ablation experiment: (a) MAE; (b)RMSE.

5.3. Performance Evaluation of MTLA

As one of the most important components proposed in this paper, it is necessary to verify the superiority of the MTLA module for feature extraction and fusion. Therefore, this experiment compares the performance of MTLA, TA [55], CBAM [56], the global attention mechanism (GAM) [67], efficient channel attention (ECA) [68], efficient multi-scale attention (EMA) [69], and multi-scale large kernel attention (MLKA) [70] on the C1 dataset. The performance comparison results of MTLA and other attention modules are presented in Table 7.
Table 7. Performance comparison of MTLA and other attention modules.
Based on the experimental results in Table 7, the following conclusions can be drawn: (1) Not all attention modules can improve model accuracy, as these attention modules mostly process both temporal and spatial dimensions through convolution, which is not suitable for time-series prediction. (2) Compared with TA, the multi-scale features capture information at various levels, which allows the model to capture both detailed and global patterns. (3) The proposed MTLA model leads to the best performance, and the fusion of attention across temporal, spatial, and feature dimensions allows the model to flexibly focus on key information in the data, enhancing the richness and accuracy of feature representation and leading to more accurate and stable predictions.

5.4. Hyperparameter Experiments

In this section, the various method-specific hyperparameters are experimented with based on the achieved results. While conducting an ablation experiment on a parameter, other parameters are kept fixed to illustrate the impact of the specific parameter on model performance. These hyperparameter experiments are conducted on the C1 dataset.

5.4.1. Effect of Number of Subsequences

The number of subsequences determines the extracted time-domain features, which are the input features of the model and affect its performance. Figure 12 shows the effect of different numbers of subsequences, and it can be observed that both too-small and too-large numbers of subsequences lead to poor performance. On the one hand, a small number of subsequences means the data contain less wear degradation information. On the other hand, a too-large number of subsequences makes the model difficult to optimize and leads to overfitting. Therefore, data processing with 60 subsequences is executed in this paper.
Figure 12. Impact of the number of subsequences on metrics: (a) MAE; (b) RMSE.

5.4.2. Effect of Node Embedding Dimension

The node embedding dimension is a key parameter in adaptive graph generation and affects the quality of the learned graph structure. Figure 13 shows the effect of different node embedding dimensions, and the STAGCN achieves its best performance when the node embedding dimension is set to two. A large node embedding dimension contains more information but increases the possibility of gradient vanishing or explosion, which affects the stability of training.
Figure 13. Impact of node embedding dimension on metrics: (a) MAE; (b) RMSE.

5.4.3. Effects of Value and Channel Embedding Dimensions

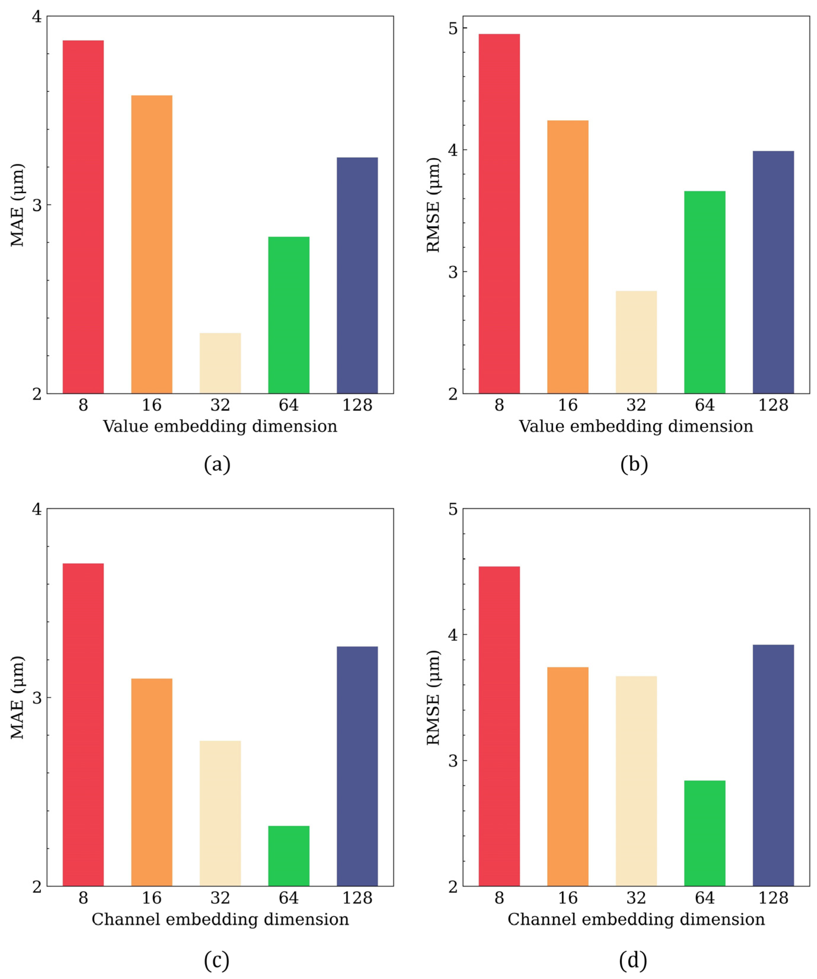
Figure 14 shows the impacts of value and channel embedding dimensions, which provide a larger feature space for subsequent feature extraction, allowing for deeper nonlinear transformations to capture more intricate spatiotemporal relationships. The value and channel embedding dimensions cannot be too large, which can lead to overfitting. Therefore, the best prediction result is achieved when the value and channel embedding dimensions are set to 32 and 64, respectively.
Figure 14. Impacts of value and channel embedding dimensions on metrics: (a) and (b) are the MAE and RMSE of the value embedding dimension, respectively; (c) and (d) are the MAE and RMSE of the channel embedding dimension, respectively.

5.4.4. Effect of State Expansion Factor of Mambas

The SSM state expansion factor is a crucial parameter of Mamba. Figure 15 demonstrates the effectiveness of the state expansion factor, where the higher state expansion factor raises the hidden state dimension, which allows the model to encode features in a higher-dimensional space. Meanwhile, a higher state expansion factor leads to increased computational complexity and overfitting, while the model may learn unnecessary noise or irrelevant features. Therefore, the best prediction result is achieved when the state expansion factor is set to 32.
Figure 15. Impact of state expansion factor on metrics: (a) MAE; (b) RMSE.

5.4.5. Effect of Number of Spatial–Temporal Layers

Figure 16 shows the impact of the number of spatial–temporal layers. With more layers, the model can learn increasingly complex dependencies, as each layer extracts higher-level features from the previous layer. Meanwhile, as the number of spatial–temporal layers grows, each layer introduces more parameters and processing demands and raises the risk of gradient vanishing or explosion. Therefore, the best prediction result is achieved when the number of spatial–temporal layers is set to five.
Figure 16. Impact of the number of spatial–temporal layers on metrics: (a) MAE; (b) RMSE.

5.4.6. Effect of Different Optimizers

Figure 17 shows the impact of different optimizers, and the results suggest that adaptive optimizers (Adam, AdamW, and NAdam) generally outperform traditional gradient-based optimizers (SGD and Adagrad). The Adam optimizer combines momentum and adaptive learning rates, which help stabilize training and improve convergence. AdamW performed slightly worse than Adam but still achieved competitive results. Nadam uses the Nesterov momentum does not significantly enhance the performance in this task. SGD and Adagrad have a lower performance. Therefore, the best prediction result is achieved using the Adam optimizer.
Figure 17. Impact of different optimizers on metrics: (a) MAE; (b) RMSE.

6. Conclusions

In this paper, a tool wear prediction method named STAGCN is proposed. The model can capture intricate spatial–temporal dependencies and enhance feature expressiveness. By leveraging the Bi-Mamba model, the proposed method captures temporal dependencies in both forward and backward directions, enhancing the ability to understand long-term patterns in tool wear degradation. The AGCN effectively captures the dynamic relationships between sensor nodes, adjusting node embeddings based on wear stage evolution over time. Additionally, MTLA enables the model to focus on critical features at different temporal, spatial, and channel scales, improving robustness and interpretability.
The experimental results demonstrate that the STAGCN outperforms traditional approaches in both accuracy and generalization, making it a valuable tool for predictive maintenance by potentially reducing machine downtime and extending tool lifespan. However, challenges remain in severe wear stages, where increased sensor noise, nonlinear wear progression, and extrapolation limitations reduce prediction reliability. Beyond performance, real-world deployment feasibility is a key consideration. Implementing the STAGCN on industrial machines and edge-computing environments requires balancing computational efficiency with predictive accuracy. Future research can address these issues by integrating advanced noise reduction techniques, developing domain adaptation or transfer learning strategies to enhance model robustness in extreme wear conditions, and exploring uncertainty quantification methods to improve reliability. Additionally, incorporating contextual factors such as tool material properties and cutting conditions could further enhance prediction accuracy. Finally, optimizing computational efficiency remains crucial for real-time deployment in industrial settings.

Author Contributions

Conceptualization, Y.X. and H.L.; methodology, Y.X.; software, Y.X. and Y.L.; validation, Y.X., G.Z. and Y.L.; formal analysis, Y.X. and G.Z.; investigation, Y.X. and G.Z.; resources, Y.X., G.Z. and Y.L.; data curation, Y.X.; writing—original draft preparation, Y.X.; writing—review and editing, Y.X., Y.L. and H.L.; visualization, Y.X.; supervision, H.L.; project administration, Y.X. All authors have read and agreed to the published version of the manuscript.

Funding

This research received no external funding.

Institutional Review Board Statement

Not applicable.

Data Availability Statement

The original data presented in the study are openly available at https://phmsociety.org/phm_competition/2010-phm-society-conference-data-challenge, accessed on 15 February 2024.

Conflicts of Interest

The authors declare no conflicts of interest.

References

  1. Mohanraj, T.; Shankar, S.; Rajasekar, R.; Sakthivel, N.; Pramanik, A. Tool condition monitoring techniques in milling process—A review. J. Mater. Res. Technol. 2020, 9, 1032–1042. [Google Scholar] [CrossRef]
  2. Vetrichelvan, G.; Sundaram, S.; Kumaran, S.S.; Velmurugan, P. An investigation of tool wear using acoustic emission and genetic algorithm. J. Vib. Control 2015, 21, 3061–3066. [Google Scholar] [CrossRef]
  3. Liu, C.; Wang, G.; Li, Z. Incremental learning for online tool condition monitoring using Ellipsoid ARTMAP network model. Appl. Soft Comput. 2015, 35, 186–198. [Google Scholar] [CrossRef]
  4. Serin, G.; Sener, B.; Ozbayoglu, A.M.; Unver, H.O. Review of tool condition monitoring in machining and opportunities for deep learning. Int. J. Adv. Manuf. Technol. 2020, 109, 953–974. [Google Scholar] [CrossRef]
  5. Liu, Z.; Yue, C.; Li, X.; Liu, X.; Liang, S.Y.; Wang, L. Research on tool wear based on 3D FEM simulation for milling process. J. Manuf. Mater. Process. 2020, 4, 121. [Google Scholar] [CrossRef]
  6. Zhenyu, S.; Xin, L.; Ningmin, D.; Qibiao, Y. Evaluation of tool wear and cutting performance considering effects of dynamic nodes movement based on FEM simulation. Chin. J. Aeronaut. 2021, 34, 140–152. [Google Scholar]
  7. Tran, M.-Q.; Doan, H.-P.; Vu, V.Q.; Vu, L.T. Machine learning and IoT-based approach for tool condition monitoring: A review and future prospects. Measurement 2023, 207, 112351. [Google Scholar] [CrossRef]
  8. Pimenov, D.Y.; Bustillo, A.; Wojciechowski, S.; Sharma, V.S.; Gupta, M.K.; Kuntoğlu, M. Artificial intelligence systems for tool condition monitoring in machining: Analysis and critical review. J. Intell. Manuf. 2023, 34, 2079–2121. [Google Scholar] [CrossRef]
  9. Wu, D.; Jennings, C.; Terpenny, J.; Gao, R.X.; Kumara, S. A comparative study on machine learning algorithms for smart manufacturing: Tool wear prediction using random forests. J. Manuf. Sci. Eng. 2017, 139, 071018. [Google Scholar] [CrossRef]
  10. Traini, E.; Bruno, G.; Lombardi, F. Tool condition monitoring framework for predictive maintenance: A case study on milling process. Int. J. Prod. Res. 2021, 59, 7179–7193. [Google Scholar] [CrossRef]
  11. Xue, Z.; Li, L.; Wu, Y.; Yang, Y.; Wu, W.; Zou, Y.; Chen, N. Study on tool wear state recognition algorithm based on spindle vibration signals collected by homemade tool condition monitoring ring. Measurement 2023, 223, 113787. [Google Scholar] [CrossRef]
  12. Karabacak, Y.E. Intelligent milling tool wear estimation based on machine learning algorithms. J. Mech. Sci. Technol. 2024, 38, 835–850. [Google Scholar] [CrossRef]
  13. Di, Z.; Yuan, D.; Li, D.; Liang, D.; Zhou, X.; Xin, M.; Cao, F.; Lei, T. Tool fault diagnosis method based on multiscale-efficient channel attention network. J. Mech. Eng. 2024, 60, 82–90. [Google Scholar]
  14. Nasir, V.; Sassani, F. A review on deep learning in machining and tool monitoring: Methods, opportunities, and challenges. Int. J. Adv. Manuf. Technol. 2021, 115, 2683–2709. [Google Scholar] [CrossRef]
  15. Cai, W.; Zhang, W.; Hu, X.; Liu, Y. A hybrid information model based on long short-term memory network for tool condition monitoring. J. Intell. Manuf. 2020, 31, 1497–1510. [Google Scholar] [CrossRef]
  16. Marani, M.; Zeinali, M.; Songmene, V.; Mechefske, C.K. Tool wear prediction in high-speed turning of a steel alloy using long short-term memory modelling. Measurement 2021, 177, 109329. [Google Scholar] [CrossRef]
  17. Liu, C.; Zhu, L. A two-stage approach for predicting the remaining useful life of tools using bidirectional long short-term memory. Measurement 2020, 164, 108029. [Google Scholar] [CrossRef]
  18. Wang, J.; Yan, J.; Li, C.; Gao, R.X.; Zhao, R. Deep heterogeneous GRU model for predictive analytics in smart manufacturing: Application to tool wear prediction. Comput. Ind. 2019, 111, 1–14. [Google Scholar] [CrossRef]
  19. Gao, K.; Xu, X.; Jiao, S. Measurement and prediction of wear volume of the tool in nonlinear degradation process based on multi-sensor information fusion. Eng. Fail. Anal. 2022, 136, 106164. [Google Scholar] [CrossRef]
  20. Aghazadeh, F.; Tahan, A.; Thomas, M. Tool condition monitoring using spectral subtraction and convolutional neural networks in milling process. Int. J. Adv. Manuf. Technol. 2018, 98, 3217–3227. [Google Scholar] [CrossRef]
  21. Kothuru, A.; Nooka, S.P.; Liu, R. Application of deep visualization in CNN-based tool condition monitoring for end milling. Procedia Manuf. 2019, 34, 995–1004. [Google Scholar] [CrossRef]
  22. Huang, Z.; Zhu, J.; Lei, J.; Li, X.; Tian, F. Tool wear predicting based on multi-domain feature fusion by deep convolutional neural network in milling operations. J. Intell. Manuf. 2020, 31, 953–966. [Google Scholar] [CrossRef]
  23. Xu, X.; Wang, J.; Ming, W.; Chen, M.; An, Q. In-process tap tool wear monitoring and prediction using a novel model based on deep learning. Int. J. Adv. Manuf. Technol. 2021, 112, 453–466. [Google Scholar] [CrossRef]
  24. Liu, X.; Liu, S.; Li, X.; Zhang, B.; Yue, C.; Liang, S.Y. Intelligent tool wear monitoring based on parallel residual and stacked bidirectional long short-term memory network. J. Manuf. Syst. 2021, 60, 608–619. [Google Scholar] [CrossRef]
  25. Chan, Y.; Kang, T.; Yang, C.; Chang, C.; Huang, S.; Tsai, Y. Tool wear prediction using convolutional bidirectional LSTM networks. J. Supercomput. 2022, 78, 810–832. [Google Scholar] [CrossRef]
  26. Cheng, M.; Jiao, L.; Yan, P.; Jiang, H.; Wang, R.; Qiu, T.; Wang, X. Intelligent tool wear monitoring and multi-step prediction based on deep learning model. J. Manuf. Syst. 2022, 62, 286–300. [Google Scholar] [CrossRef]
  27. Duan, J.; Zhang, X.; Shi, T. A hybrid attention-based paralleled deep learning model for tool wear prediction. Expert Syst. Appl. 2023, 211, 118548. [Google Scholar] [CrossRef]
  28. Chen, J.; Zheng, L.; Hu, Y.; Wang, W.; Zhang, H.; Hu, X. Traffic flow matrix-based graph neural network with attention mechanism for traffic flow prediction. Inf. Fusion 2024, 104, 102146. [Google Scholar] [CrossRef]
  29. Liu, S.; He, M.; Wu, Z.; Peng, L.; Gu, W. Spatial–temporal graph neural network traffic prediction based load balancing with reinforcement learning in cellular networks. Inf. Fusion 2024, 103, 102079. [Google Scholar] [CrossRef]
  30. Yang, M.; Zhang, B.; Wang, T.; Cai, J.; Xaing, W.; Feng, H.; Fang, K. Vehicle Interactive Dynamic Graph Neural Network-Based Trajectory Prediction for Internet of Vehicles. IEEE Internet Things J. 2024, 11, 35777–35790. [Google Scholar] [CrossRef]
  31. Sun, C.; Ning, Y.; Shen, D.; Nie, T. Graph Neural Network-Based Short-Term Load Forecasting with Temporal Convolution. Data Sci. Eng. 2024, 9, 113–132. [Google Scholar] [CrossRef]
  32. Zhao, B.; He, X.; Ran, S.; Zhang, Y.; Cheng, C. Spatial correlation learning based on graph neural network for medium-term wind power forecasting. Energy 2024, 296, 131164. [Google Scholar] [CrossRef]
  33. Hu, Z.; Gao, Y.; Sun, L.; Mae, M.; Imaizumi, T. Self-learning dynamic graph neural network with self-attention based on historical data and future data for multi-task multivariate residential air conditioning forecasting. Appl. Energy 2024, 364, 123156. [Google Scholar] [CrossRef]
  34. Li, T.; Zhou, Z.; Li, S.; Sun, C.; Yan, R.; Chen, X. The emerging graph neural networks for intelligent fault diagnostics and prognostics: A guideline and a benchmark study. Mech. Syst. Signal Process. 2022, 168, 108653. [Google Scholar] [CrossRef]
  35. Yang, X.; Zheng, Y.; Zhang, Y.; Wong, D.S.-H.; Yang, W. Bearing remaining useful life prediction based on regression shapalet and graph neural network. IEEE Trans. Instrum. Meas. 2022, 71, 1–12. [Google Scholar] [CrossRef]
  36. Kong, Z.; Jin, X.; Wang, F.; Xu, Z. Spatio-Temporal Propagation: An Extended Message Passing Graph Neural Network for Remaining Useful Life Prediction. IEEE Sens. J. 2024, 24, 32468–32479. [Google Scholar] [CrossRef]
  37. Zhang, Z.; Wu, L. Graph neural network-based bearing fault diagnosis using Granger causality test. Expert Syst. Appl. 2024, 242, 122827. [Google Scholar] [CrossRef]
  38. Xu, H.; Yang, X.; Wang, W.; Du, J.; Gao, J. A novel pre-trained model based on graph-labeling graph neural networks for tool wear prediction under variable working conditions. Meas. Sci. Technol. 2023, 34, 125026. [Google Scholar] [CrossRef]
  39. Yang, J.; Wu, J.; Li, X.; Qin, X. Tool wear prediction based on parallel dual-channel adaptive feature fusion. Int. J. Adv. Manuf. Technol. 2023, 128, 145–465. [Google Scholar] [CrossRef]
  40. Bruna, J.; Zaremba, W.; Szlam, A.; LeCun, Y. Spectral networks and locally connected networks on graphs. arXiv 2013, arXiv:1312.6203. [Google Scholar]
  41. Hammond, D.K.; Vandergheynst, P.; Gribonval, R. Wavelets on graphs via spectral graph theory. Appl. Comput. Harmon. Anal. 2011, 30, 129–150. [Google Scholar] [CrossRef]
  42. Kipf, T.N.; Welling, M. Semi-supervised classification with graph convolutional networks. arXiv 2016, arXiv:1609.02907. [Google Scholar]
  43. Gu, A.; Goel, K.; Re, C. Efficiently Modeling Long Sequences with Structured State Spaces. In Proceedings of the International Conference on Learning Representations, Virtual, 25–29 April 2022; pp. 1–27. [Google Scholar]
  44. Gu, A.; Johnson, I.; Goel, K.; Saab, K.; Dao, T.; Rudra, A.; Ré, C. Combining recurrent, convolutional, and continuous-time models with linear state space layers. Adv. Neural Inf. Process. Syst. 2021, 34, 572–585. [Google Scholar]
  45. Zeng, A.; Chen, M.; Zhang, L.; Xu, Q. Are transformers effective for time series forecasting? In Proceedings of the 37th AAAI Conference on Artificial Intelligence, Washington, DC, USA, 7–14 February 2023; pp. 11121–11128. [Google Scholar] [CrossRef]
  46. Wang, L.; Cao, H.; Xu, H.; Liu, H. A gated graph convolutional network with multi-sensor signals for remaining useful life prediction. Knowl.-Based Syst. 2022, 252, 109340. [Google Scholar] [CrossRef]
  47. Li, T.; Zhao, Z.; Sun, C.; Yan, R.; Chen, X. Hierarchical attention graph convolutional network to fuse multi-sensor signals for remaining useful life prediction. Reliab. Eng. Syst. Saf. 2021, 215, 107878. [Google Scholar] [CrossRef]
  48. Wei, Y.; Wu, D.; Terpenny, J. Remaining useful life prediction using graph convolutional attention networks with temporal convolution-aware nested residual connections. Reliab. Eng. Syst. Saf. 2024, 242, 109776. [Google Scholar] [CrossRef]
  49. Song, L.; Jin, Y.; Lin, T.; Zhao, S.; Wei, Z.; Wang, H. Remaining Useful Life Prediction Method Based on the Spatiotemporal Graph and GCN Nested Parallel Route Model. IEEE Trans. Instrum. Meas. 2024, 73, 3511912. [Google Scholar] [CrossRef]
  50. Wu, Z.; Pan, S.; Long, G.; Jiang, J.; Zhang, C. Graph wavenet for deep spatial-temporal graph modeling. In Proceedings of the 28th International Joint Conference on Artificial Intelligence, Macao, China, 10–16 August 2019; pp. 1907–1913. [Google Scholar]
  51. Bai, L.; Yao, L.; Li, C.; Wang, X.; Wang, C. Adaptive graph convolutional recurrent network for traffic forecasting. Adv. Neural Inf. Process. Syst. 2020, 33, 17804–17815. [Google Scholar]
  52. Gu, A.; Dao, T. Mamba: Linear-time sequence modeling with selective state spaces. arXiv 2023, arXiv:2312.00752. [Google Scholar]
  53. Gu, A.; Dao, T.; Ermon, S.; Rudra, A.; Ré, C. Hippo: Recurrent memory with optimal polynomial projections. Adv. Neural Inf. Process. Syst. 2020, 33, 1474–1487. [Google Scholar]
  54. Nie, Y.; Nguyen, N.H.; Sinthong, P.; Kalagnanam, J. A Time Series is Worth 64 Words: Long-term Forecasting with Transformers. In Proceedings of the International Conference on Learning Representations, Kigali, Rwanda, 1–5 May 2023; pp. 1–24. [Google Scholar]
  55. Misra, D.; Nalamada, T.; Arasanipalai, A.U.; Hou, Q. Rotate to attend: Convolutional triplet attention module. In Proceedings of the IEEE/CVF Winter Conference on Applications of Computer Vision, Virtual, 5–9 January 2021; pp. 3139–3148. [Google Scholar]
  56. Woo, S.; Park, J.; Lee, J.-Y.; Kweon, I.S. Cbam: Convolutional block attention module. In Proceedings of the 15th European Conference on Computer Vision (ECCV), Munich, Germany, 8–14 September 2018; pp. 3–19. [Google Scholar]
  57. Li, X.; Lim, B.-S.; Zhou, J.; Huang, S.; Phua, S.-J.; Shaw, K.-C.; Er, M.-J. Fuzzy neural network modelling for tool wear estimation in dry milling operation. In Proceedings of the Annual conference of the PHM society, San Diego, CA, USA, 27 September–1 October 2009; pp. 1–11. [Google Scholar]
  58. Zhao, R.; Yan, R.; Wang, J.; Mao, K. Learning to monitor machine health with convolutional bi-directional LSTM networks. Sensors 2017, 17, 273. [Google Scholar] [CrossRef]
  59. Qiao, H.; Wang, T.; Wang, P.; Qiao, S.; Zhang, L. A time-distributed spatiotemporal feature learning method for machine health monitoring with multi-sensor time series. Sensors 2018, 18, 2932. [Google Scholar] [CrossRef]
  60. Huang, C.; Yin, X.; Huang, H.; Li, Y. An enhanced deep learning-based fusion prognostic method for RUL prediction. IEEE Trans. Reliab. 2019, 69, 1097–1109. [Google Scholar] [CrossRef]
  61. Xu, X.; Tao, Z.; Ming, W.; An, Q.; Chen, M. Intelligent monitoring and diagnostics using a novel integrated model based on deep learning and multi-sensor feature fusion. Measurement 2020, 165, 108086. [Google Scholar] [CrossRef]
  62. Liu, H.; Liu, Z.; Jia, W.; Lin, X.; Zhang, S. A novel transformer-based neural network model for tool wear estimation. Meas. Sci. Technol. 2020, 31, 065106. [Google Scholar] [CrossRef]
  63. Liu, H.; Liu, Z.; Jia, W.; Zhang, D.; Wang, Q.; Tan, J. Tool wear estimation using a CNN-transformer model with semi-supervised learning. Meas. Sci. Technol. 2021, 32, 125010. [Google Scholar] [CrossRef]
  64. Peng, Y.; Song, Q.; Wang, R.; Liu, Z.; Liu, Z. Intelligent recognition of tool wear in milling based on a single sensor signal. Int. J. Adv. Manuf. Technol. 2023, 124, 1077–1093. [Google Scholar] [CrossRef]
  65. Lei, H.; Li, B.; Liu, H.; Xia, K.; Zhao, W. Optimizing tool wear prediction in intelligent manufacturing: A multi-sensor approach enhanced by RealNVP. Meas. Sci. Technol. 2024, 35, 126140. [Google Scholar] [CrossRef]
  66. Si, Z.; Si, S.; Mu, D. Efficient Tool Wear Prediction in Manufacturing: BiLPReS Hybrid Model with Performer Encoder. Arab. J. Sci. Eng. 2024, 49, 15193–15204. [Google Scholar] [CrossRef]
  67. Liu, Y.; Shao, Z.; Hoffmann, N. Global attention mechanism: Retain information to enhance channel-spatial interactions. arXiv 2021, arXiv:2112.05561. [Google Scholar]
  68. Wang, Q.; Wu, B.; Zhu, P.; Li, P.; Zuo, W.; Hu, Q. ECA-Net: Efficient channel attention for deep convolutional neural networks. In Proceedings of the IEEE/CVF Conference on Computer Vision and Pattern Recognition, Seattle, WA, USA, 13–19 June 2020; pp. 11534–11542. [Google Scholar]
  69. Ouyang, D.; He, S.; Zhang, G.; Luo, M.; Guo, H.; Zhan, J.; Huang, Z. Efficient multi-scale attention module with cross-spatial learning. In Proceedings of the 2023 IEEE International Conference on Acoustics, Speech and Signal Processing (ICASSP), Rhodes Island, Greece, 4–10 June 2023; pp. 1–5. [Google Scholar]
  70. Wang, Y.; Li, Y.; Wang, G.; Liu, X. Multi-scale attention network for single image super-resolution. In Proceedings of the IEEE/CVF Conference on Computer Vision and Pattern Recognition, Seattle, WA, USA, 17–21 June 2024; pp. 5950–5960. [Google Scholar]
Disclaimer/Publisher’s Note: The statements, opinions and data contained in all publications are solely those of the individual author(s) and contributor(s) and not of MDPI and/or the editor(s). MDPI and/or the editor(s) disclaim responsibility for any injury to people or property resulting from any ideas, methods, instructions or products referred to in the content.

Article Metrics

Citations

Article Access Statistics

Multiple requests from the same IP address are counted as one view.