Study on Fluctuating Wind Characteristics and Non-Stationarity at U-Shaped Canyon Bridge Site
Abstract
1. Introduction
2. Wind Field Measurement
3. Analysis of Fluctuating Wind Characteristics
3.1. Non-Stationarity Theory and Analysis Method
3.2. Fitting Results of Wind Speed Distribution
3.3. Characteristics of Fluctuating Wind Under Stationarity Assumption
3.4. Stationarity Tests at Different Heights
3.5. Fluctuating Wind Characteristics of Different Wind Speed Model
4. DWT Reconstruction and Analysis
4.1. DWT Analysis Process and Theory
4.2. DWT Reconstruction Results
4.3. Optimal Decomposition Level for DWT
4.4. Analysis of Non-Stationary Wind Data Using Optimal Decomposition Levels in DWT


5. Conclusions
- (1)
- Wind speed in the canyon area exhibits bimodal distribution characteristics, and the Weibull-Gamma mixed distribution model achieves the best fit, with R2 = 0.998.
- (2)
- Under the stationary hypothesis, the turbulence intensity is mainly distributed in the range of 0.05–0.30 and decreases with the increase in wind speed. The gust factor is mainly distributed in the range of 1.0–2.0, and has a strong linear correlation with turbulence intensity (R2 = 0.85).
- (3)
- Stationarity analysis reveals that the proportion of non-stationary sequences in mountainous areas increases with height. Wavelet decomposition shows that all pulsating wind samples reconstructed at levels greater than nine pass the stationarity test. Further analysis indicates that the extraction of time-varying mean wind is most effective at level 5 decomposition.
- (4)
- The reconstruction results of non-stationary samples indicate that the stationary wind speed model overestimates turbulence intensity under non-stationary conditions but underestimates the turbulence integral scale. This suggests that the stationary model may fail to accurately capture long-term correlations or large-scale structures due to its assumption of stationarity. Therefore, non-stationary analysis is essential for mountainous regions.
- (5)
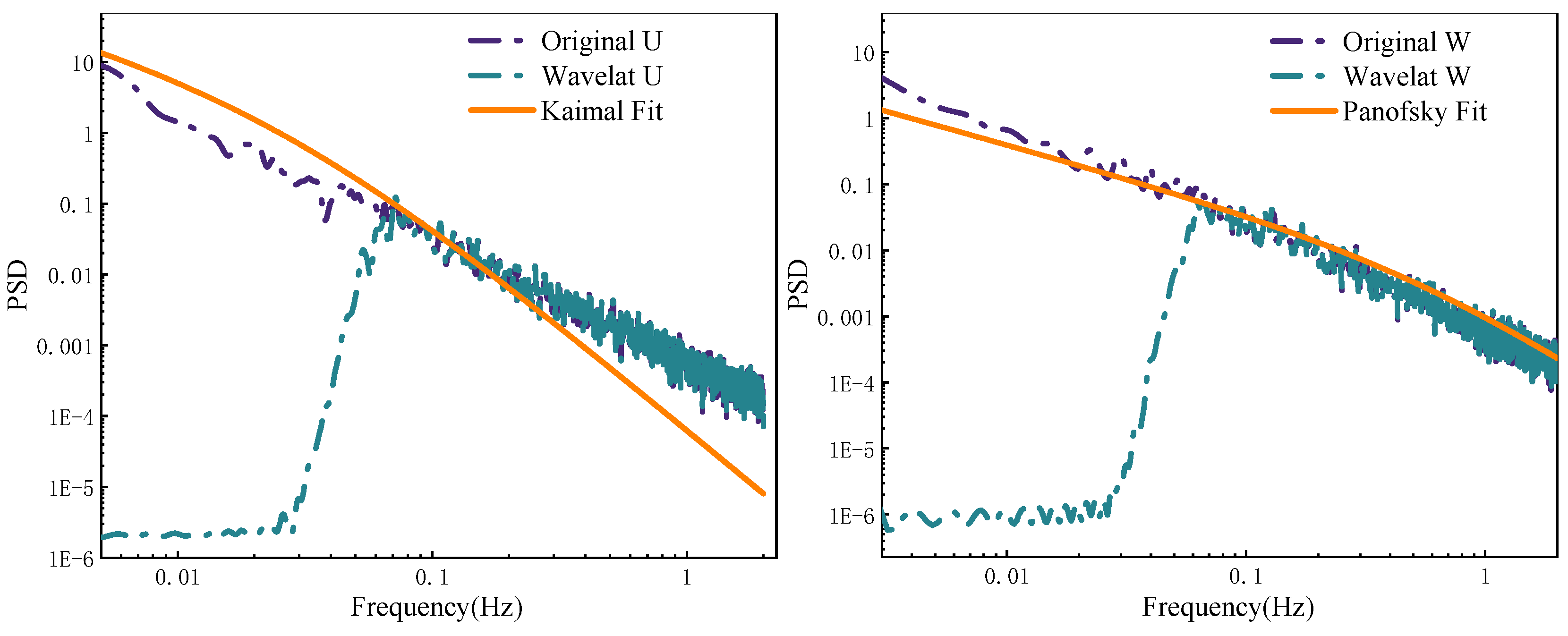
- Power spectral density analysis demonstrates that wavelet reconstruction effectively removes the low-frequency components of the wind. However, a comparison with classical theoretical spectra reveals a certain degree of deviation between the measured wind spectrum and the theoretical models.
Author Contributions
Funding
Institutional Review Board Statement
Informed Consent Statement
Data Availability Statement
Conflicts of Interest
Abbreviations
| DWT | Discrete wavelet transform |
| ADF | Augmented Dickey–Fuller |
| ACF | Autocorrelation function |
| PACF | Partial autocorrelation function |
| PSD | Power spectral density |
References
- Liao, H.; Jing, H.; Ma, C.; Tao, Q.; Li, Z. Field measurement study on turbulence field by wind tower and Windcube Lidar in mountain valley. J. Wind. Eng. Ind. Aerodyn. 2020, 197, 104090. [Google Scholar] [CrossRef]
- Shen, Z.; Li, J.; Li, R.; Gao, G. Nonuniform wind characteristics and buffeting response of a composite cable-stayed bridge in a trumpet-shaped mountain pass. J. Wind. Eng. Ind. Aerodyn. 2021, 217, 104730. [Google Scholar] [CrossRef]
- Hui, Y.; Tang, Y.; Yang, Q.; Chen, B. A wake-oscillator model for predicting VIV of 4-to-1 rectangular section cylinder. Nonlinear Dyn. 2024, 112, 8985–8999. [Google Scholar] [CrossRef]
- Li, J.; Yang, S.; Hao, J.; Gao, G.; Wang, F.; Bai, H.; Zhao, G.; Li, Y.; Xue, X. Advances and applications of wind engineering in exceptional terrain. J. Traffic Transp. Eng. 2024, 11, 1023–1209. [Google Scholar] [CrossRef]
- Wu, F.; Cui, W.; Zhao, L.; Guo, Z.; Li, Q.; Ge, Y. Field Measurements of Wind Microclimate at the Vehicle Level on a Bridge Deck under Typical Canyon Terrain. J. Bridge Eng. 2023, 28, 04023013. [Google Scholar] [CrossRef]
- Hao, J.; Zhao, S.; Xin, L.; Zhao, X.; Wang, F.; Li, J. Study on wind characteristics of bridge sites in coastal areas of Guang-dong Province based on measured data. J. Vib. Eng. 2024, 1–9. Available online: https://link.cnki.net/urlid/32.1349.tb.20240202.0944.002 (accessed on 15 January 2025). (In Chinese).
- Li, Y.; Hu, P.; Xu, X.; Qiu, J. Wind characteristics at bridge site in a deep-cutting gorge by wind tunnel test. J. Wind. Eng. Ind. Aerodyn. 2017, 160, 30–46. [Google Scholar] [CrossRef]
- Song, J.-L.; Li, J.-W.; Flay, R.G.J.; Pirooz, A.A.S.; Fu, J.-Y. Validation and application of pressure-driven RANS approach for wind parameter predictions in mountainous terrain. J. Wind. Eng. Ind. Aerodyn. 2023, 240, 105483. [Google Scholar] [CrossRef]
- Song, J.-L.; Li, J.-W.; Flay, R.G.J. Field measurements and wind tunnel investigation of wind characteristics at a bridge site in a Y-shaped valley. J. Wind. Eng. Ind. Aerodyn. 2020, 202, 104199. [Google Scholar] [CrossRef]
- He, Y.C.; Chan, P.W.; Li, Q.S. Wind characteristics over different terrains. J. Wind. Eng. Ind. Aerodyn. 2013, 120, 51–69. [Google Scholar] [CrossRef]
- Zhang, J.; Zhang, M.; Li, Y.; Jiang, F.; Wu, L.; Guo, D. Comparison of wind characteristics in different directions of deep-cut gorges based on field measurements. J. Wind. Eng. Ind. Aerodyn. 2021, 212, 104595. [Google Scholar] [CrossRef]
- Ren, W.; Pei, C.; Ma, C.; Li, Z.; Wang, Q.; Chen, F. Field measurement study of wind characteristics at different measuring positions along a bridge in a mountain valley. J. Wind. Eng. Ind. Aerodyn. 2021, 216, 104705. [Google Scholar] [CrossRef]
- Jing, H.; Liao, H.; Ma, C.; Tao, Q.; Jiang, J. Field measurement study of wind characteristics at different measuring positions in a mountainous valley. Exp. Therm. Fluid Sci. 2020, 112, 109991. [Google Scholar] [CrossRef]
- Huang, G.; Jiang, Y.; Peng, L.; Solari, G.; Liao, H.; Li, M. Characteristics of intense winds in mountain area based on field measurement: Focusing on thunderstorm winds. J. Wind. Eng. Ind. Aerodyn. 2019, 190, 166–182. [Google Scholar] [CrossRef]
- Li, Y.; Jiang, F.; Zhang, M.; Dai, Y.; Qin, J.; Zhang, J. Observations of periodic thermally-developed winds beside a bridge region in mountain terrain based on field measurement. J. Wind. Eng. Ind. Aerodyn. 2022, 225, 104996. [Google Scholar] [CrossRef]
- Guo, Z.; Hu, Z.; Ma, T.; Huang, X. Wavelet characterizing the non-stationary features of mountain valley winds both in frequency and time domain. J. Wind. Eng. Ind. Aerodyn. 2023, 243, 105611. [Google Scholar] [CrossRef]
- Niu, H.; Cao, N.; Li, H.; Jiang, D.; Chen, Z. Measurement and Non-Stationary Characteristics Analysis of Near-Ground Wind Fields Below 10 m Height in Hilly Regions. J. Southeast Univ. (Nat. Sci. Ed.) 2024, 54, 836–844. (In Chinese) [Google Scholar]
- Xin, Y.; Liu, Z.; Shao, X.; Lu, S. Non-stationary and non-Gaussian features of mountain terrain measured wind. J. Vib. Shock 2018, 37, 247–252. (In Chinese) [Google Scholar]
- Zhou, W.; Lou, W.; Huang, M.; Liu, J.; Liang, M. Two-year wind field measurements near the ground at a site of the Tibetan Plateau. J. Wind. Eng. Ind. Aerodyn. 2024, 245, 105636. [Google Scholar] [CrossRef]
- Lou, W.; Zhou, W.; Liu, J.; Liang, M.; Cai, K.; Huang, M. Wind Field Measurements in the Tibetan Plateau and Study of Non-Stationary Wind Characteristics. J. Southeast Univ. (Nat. Sci. Ed.) 2023, 53, 575–584. (In Chinese) [Google Scholar]
- Ligęza, P.; Jamróz, P.; Socha, K. Development Trends of Air Flow Velocity Measurement Methods and Devices in Renewable Energy. Energies 2025, 18, 412. [Google Scholar] [CrossRef]
- Jiang, F.; Zhang, M.; Li, Y.; Yan, T.; Zhang, J. Field measurement analysis of wind parameters and nonstationary characteristics in mountainous terrain: Focusing on cooling windstorms. J. Wind. Eng. Ind. Aerodyn. 2022, 230, 105175. [Google Scholar] [CrossRef]
- Tao, T.; Wang, H.; Wu, T. Comparative Study of the Wind Characteristics of a Strong Wind Event Based on Stationary and Nonstationary Models. J. Struct. Eng. 2017, 143, 04016230. [Google Scholar] [CrossRef]
- Mallat, S. Multiresolution approximations and wavelet orthonormal bases of L2(R). Trans. Am. Math. Soc. 1989, 315, 69–88. [Google Scholar]
- Flay, R.G.J.; Stevenson, D.C. Integral length scales in strong winds below 20 m. J. Wind. Eng. Ind. Aerodyn. 1988, 28, 21–30. [Google Scholar] [CrossRef]















| Distribution | Shape Parameter 1 | Scale Parameter 1 | Shape Parameter 2 | Scale Parameter 2 | Weighting Factor of Model 1 | R2 |
|---|---|---|---|---|---|---|
| Weibull | 1.498 | 4.033 | \ | \ | 1 | 0.804 |
| Gamma | 1.699 | 2.28 | \ | \ | 1 | 0.772 |
| Weibull-Weibull | 4.666 | 3.392 | 1.297 | 1.817 | 0.681 | 0.996 |
| Weibull-Gamma | 4.724 | 3.545 | 2.494 | 0.522 | 0.649 | 0.998 |
| Gamma-Gamma | 2.134 | 0.792 | 13.948 | 0.333 | 0.465 | 0.994 |
| Distribution | Probability Density Function (PDF) |
|---|---|
| Weibull | |
| Gamma | |
| Weibull-Weibull | |
| Weibull-Gamma | |
| Gamma-Gamma |
Disclaimer/Publisher’s Note: The statements, opinions and data contained in all publications are solely those of the individual author(s) and contributor(s) and not of MDPI and/or the editor(s). MDPI and/or the editor(s) disclaim responsibility for any injury to people or property resulting from any ideas, methods, instructions or products referred to in the content. |
© 2025 by the authors. Licensee MDPI, Basel, Switzerland. This article is an open access article distributed under the terms and conditions of the Creative Commons Attribution (CC BY) license (https://creativecommons.org/licenses/by/4.0/).
Share and Cite
Sun, Z.; Zou, Z.; Wang, J.; Zhao, X.; Wang, F. Study on Fluctuating Wind Characteristics and Non-Stationarity at U-Shaped Canyon Bridge Site. Appl. Sci. 2025, 15, 1482. https://doi.org/10.3390/app15031482
Sun Z, Zou Z, Wang J, Zhao X, Wang F. Study on Fluctuating Wind Characteristics and Non-Stationarity at U-Shaped Canyon Bridge Site. Applied Sciences. 2025; 15(3):1482. https://doi.org/10.3390/app15031482
Chicago/Turabian StyleSun, Zhe, Zhuoyi Zou, Jiaying Wang, Xue Zhao, and Feng Wang. 2025. "Study on Fluctuating Wind Characteristics and Non-Stationarity at U-Shaped Canyon Bridge Site" Applied Sciences 15, no. 3: 1482. https://doi.org/10.3390/app15031482
APA StyleSun, Z., Zou, Z., Wang, J., Zhao, X., & Wang, F. (2025). Study on Fluctuating Wind Characteristics and Non-Stationarity at U-Shaped Canyon Bridge Site. Applied Sciences, 15(3), 1482. https://doi.org/10.3390/app15031482

