Abstract
Background: We investigated the effect of mental fatigue (MF) on artistic swimmers’ (AS) physiological and cognitive responses and physical and technical AS performance. Methods: Twelve young female ASs completed a free team routine (FT) involving 4 × 4 min trials separated by a 2 min rest in two sessions a week apart. Pre- and post-FT, athletes performed three “boosts” for vertical displacement and a 50 m maximum effort front crawl swim. Before each session, a 30 min MF test (Stroop condition; SC) or an emotionally neutral video (control condition; CC) were implemented in counterbalanced order. Choice reaction time and central executive function tests were applied before and after the completion of both conditions. Technical performance was evaluated by five official judges. Heart rate was continuously recorded, whilst blood lactate was measured before the start and after the second and fourth FT. Rating of perceived exertion (RPE) was recorded after each FT. Results: Technical performance scores during FT were lower in SC than CC (6.82 ± 0.92 vs. 7.17 ± 0.69, p < 0.001, and d = 0.43). The choice reaction time was decreased by 3.4 ± 9.3% in SC but increased 4.4 ± 8.1% in CC (p < 0.05). Central executive function was no different between conditions despite a medium effect size in SC (d = 0.58). The “boost” height was lower in SC compared to CC (70 ± 5 vs. 72 ± 5 cm, p < 0.05, and d = 0.45). Heart rate, RPE, and 50 m time did not differ between conditions (p > 0.05), but blood lactate was higher in the CC compared to SC (5.3 ± 2.6 vs. 4.6 ± 2.9 mmol/l, p < 0.05, and d = 0.25). Conclusion: Mental fatigue may impair technical performance during FT, primarily via cognitive dysfunction, with reduced glycolytic activation as a potential additional factor.
1. Introduction
Artistic swimming (AS) is an esthetic sport that is judged on technical skill, body positioning, synchronicity, and the artistic ability of choreographed movements in water to music []. High levels of aerobic and anaerobic potential are important performance determinants in artistic swimming []. Thus, training in AS routinely involves various repeated high-intensity bouts lasting about 2–4 min that necessitate athletes learning and delivering the choreographed and technical movements required in competition. With regard to the free team (FT) particularly, the high cardiorespiratory and metabolic demands and the increased requirements of synchronization suggest that performance is multifaced and that competitive artistic swimmers should demonstrate, along with excellent physical abilities, exceptional technical skills to achieve high performance during competition.
Although the underlying mechanisms that contribute to performance decrement in artistic swimming are still elusive, it is expected that fatigue in AS training and competition may occur due to disturbances in local (i.e., muscles) and central (i.e., brain) factors. Mental fatigue is a psychobiological state characterized by feelings of tiredness and a lack of energy []. It has been shown that mental fatigue can negatively affect motivation, attention, and the voluntary willingness to resist fatigue, and it is induced by prolonged periods of demanding cognitive activity [,]. Several studies have already documented that mental fatigue increases the development of fatigue in various sports, as it may impair both the physical [,] and technical performance of the athletes [,,]. In swimmers, mental fatigue modestly impaired physical performance, slowing pacing relative to controls and confirming its negative impact on the 1500 m swimming performance without affecting heart rate variability, following a 30 min Stroop task [].
Still, most studies have examined the effects of mental fatigue on the performance of dry-land sports, whereas less evidence exists in aquatic sports [], and no information is currently available in AS. Artistic swimmers must accurately recall the details and technical execution of movements throughout the entire choreography, while simultaneously maintaining synchronization with teammates and accompanying music. This demanding process requires a high level of preparedness and substantial cognitive processing. Empirical observations suggest that athletes may occasionally fail to recall specific segments or even complete figures of their choreography, experiencing what is commonly referred to as a “blackout,” which may be associated with mental fatigue. For this reason, artistic swimmers were chosen as the study population rather than other aquatic athletes.
Namely, the extent to which the implementation of a prolonged mental task (i.e., Stroop test) does affect physiological and cognitive responses and impacts the performance of AS athletes within a subsequent high-intensity choreography remains to be elucidated. Therefore, the purpose of the present study was to assess the influence of mental fatigue on artistic swimmers’ physiological and cognitive responses during the execution of 4 × 4 min free team routine and to identify to what extent it affects both physical and technical aspects of the performance. We hypothesized that, compared to a control condition, the prolonged implementation of a mental task (i.e., Stroop test) prior to the execution of long-interval free team bouts would impair athletes’ physiological and cognitive responses and deteriorate both the physical and technical skills of the participants.
2. Materials and Methods
2.1. Participants
The study was carried out with the participation of twelve young female artistic swimmers (age: 17.5 ± 3.7 years, body mass: 56.0 ± 8.0 kg, body stature: 164 ± 3.4 cm, and training experience: 9.42 ± 3.69 years): eight at the highly trained/national level and four at the elite/international level []. Eligibility required qualification for the National Championship in the respective competitive categories, participation in five weekly training sessions of approximately three hours each, and a minimum of three years of experience in artistic swimming. In addition, participants were required to be free from recent injuries and to not be under any medication treatment.
The parents/guardians of the artistic swimmers received written information about the study’s aim and possible risks, and they signed an informed consent form. The institutional review board at the School of Physical Education and Sport Science in the National and Kapodistrian University of Athens approved the experimental procedures (approval no: 1339/15-12-2021), which were in accordance with Helsinki declaration involving human subjects.
2.2. Experimental Overview
The participants completed two familiarization and two experimental sessions. In the first familiarization session, participants performed the “Stroop test” as well as the “Deary Liewald” and “Flanker” cognitive tests. In the second familiarization session, the participants performed 3–4 repeated “boosts”, which is a specific artistic swimming action requiring a rapid headfirst rise out of the water, and a 4 min “free-team” routine was completed for heart rate (S610i; Polar Electro, Kempele, Finland) recordings assurance and to familiarize participants with the equipment.
In the subsequent two sessions, athletes performed in a randomized and counterbalanced order the main experimental trials. Prior to each trial, participants were instructed to sleep for at least 7 h, avoid any physical activity or mentally demanding tasks, and have the same breakfast the day of the testing session. Each athlete was tested at the same time of day in both conditions, between 10:00 and 14:00, a week apart. The participants were unaware of any effect related to each experimental session.
2.3. Experimental Trials
During two experimental trials, performed in a randomized counterbalanced order, all participants completed a Stroop test aiming to induce mental fatigue (Stroop condition; SC) or watched a 30 min emotionally neutral documentary (control condition; CC). Before the start and immediately after the Stroop test or the documentary, cognitive function was assessed using a Deary–Liewald and Flanker cognitive tests. In particular, simple and choice reaction time were assessed using the Deary–Liewald Reaction Time Task [], whereas inhibition and selective attention (central executive function) were assessed using a modified version of the Eriksen Flanker task [].
In both conditions, after completing the second cognitive test, the participants performed a 15 min warm-up including 500 m of swimming, basic positions, transitions, and special movements regularly used in artistic swimming. Following the completion of the warm-up, participants completed a 4 min free team routine, which was repeated four times with a 2 min passive rest in between (4 × 4 min routines). All FTs were performed in groups consisting of three participants. Before and after the 4 × 4 min routine, participants performed 3 “boosts” with a 15 s resting interval between repetitions aiming to reach the highest possible body position. A 50 m front crawl swim of maximum effort was applied immediately after completing the “boosts”.
The rating of perceived exertion (RPE) was indicated once after each of the 4 min routines [], and heart rate was recorded continuously during the 4 × 4 min routines (s610i, Polar electro, Finland). Fingertip blood samples were collected at rest, after the second, and after the fourth 4 min routine and analyzed for blood lactate concentration (Lactate Scout +, SensLab GmbH, Leipzig, Germany). All testing sessions were performed at a water temperature of 27 °C in an indoor 25 m length swimming pool.
2.3.1. Stroop Test
In the SC condition, participants were seated comfortably in a quiet room in front of a laptop screen and used a mouse they regularly used and were accustomed with to complete the Stroop test []. Participants were given the main instruction to respond correctly to as many cards as possible for a period of 30 min and started after an observer signal. Each card included 60 words printed in various colors (red, green, yellow, blue, orange, and black) in a random order. The correct answer was the color the word was written and not the meaning of the word, so the instruction was “Name of the colors of the following words and do not read the words”. There was no option to correct previous answers. Two minutes before the end of the trial, an observer gave a sound alert for participants to complete the task. At the period of 30 min exactly, they all had to press the submission key.
The 30 min incongruent Stroop test is a demanding task commonly used in studies [,,,] to induce subjective feelings of mental fatigue, as it requires sustained attention and response inhibition, aligning with the commands of many sports. Consequently, athletes need to maintain a high level of alertness to prevent lapses in concentration and avoid experiencing boredom.
2.3.2. Assessment of Free Team Routine Performance
To ensure high ecological setting, the 4 × 4 min routines were accompanied by music and videotaped by two high-definition cameras (60 Hz, Casio Ex-F1, Tokyo, Japan), which were located in elevated positions, having pool coverage on the opposite sides of the swimming pool. Offline, the recorded 4 × 4 min routines were evaluated by five official artistic swimming judges for the components of execution (execution, synchronization), artistic impression (choreography, music interpretation, and manner of presentation), and difficulty (movements and synchronization) on a scoring scale from 0 to 10 with increments of 0.1, according to World Aquatics regulations. The total sums each athlete received were judges’ average scores. The 4 × 4 min routines were the same in both SC and CC conditions. All judges assessing the outcome measures were blinded to treatment.
2.3.3. Assessment of “Boost” Performance
Each “boost” (Figure 1) was recorded with a video camera placed vertically, 5 m away in front of the athlete (60 Hz, Casio Ex-F1, Tokyo, Japan). The height of each boost was calculated by 2 independent observers using a free available software (Kinovea 0.7.10). The average of the three “boosts” performed before and after the 4 × 4 min routines was used for the analysis.

Figure 1.
Boost with Eggbeater Kick and Double Arms at the highest point outside the water surface.
2.4. Statistical Analysis
Prior to main data analysis, preliminary testing of normality was conducted for all measured variables (Kolmogorov–Smirnov test). Data analysis included the application of two-way analyses of variance (2 × 2 ANOVA) for repeated measures (condition × time) to examine potential differences between conditions and repetitions for performance in the 4 × 4 min routines, “boosts”, lactate concentrations, and RPEs, as well as cognitive tests’ variables, i.e., simple task, choice task, and Flanker effect. A Tukey post hoc test was used to examine differences between repetitions when a significant interaction was observed. Pearson correlation coefficient was used to calculate correlation between variables. Moreover, to investigate potential differences between SC and CC in 50 m front crawl test, a paired sample T-test was computed. Effect size was calculated and was considered small if the absolute value of Cohen’s d was less than 0.20, medium if it was between 0.20 and 0.50, and large if it was greater than 0.80 []. Data were analyzed using SPSS software, version 25. The significance level was set at p < 0.05.
3. Results
3.1. Team Performance in the 4 × 4 min Routine
The overall score achieved during the free team performance routines was lower in SC compared to the CC condition (F1,11 = 20.419, p < 0.001). Regardless of the condition, performance declined in the third and fourth compared to the first 4 min bout (F3,33 = 10.647, p < 0.001), and it was higher in the CC compared to SC in each 4 min bout (F3,33 = 4.054, p = 0.015, Figure 2).

Figure 2.
Team performance of each 4 min routine in the experimental conditions. #: p < 0.05 between conditions. The open white bars and gray bars indicate the Stroop (SC) and control (CC) conditions, respectively. The dots indicate individual values.
3.2. Boost and 50 m Tests Performance
“Boost” height was lower in the SC compared to CC (70 ± 5 vs. 72 ± 5 cm, p = 0.031, and d = 0.45). In addition, the boost height was lower at post compared to pre-routine values, regardless of condition and without observing the interaction (SC, pre: 71 ± 6, post: 69 ± 5 cm; CC, pre: 74 ± 5, post: 71 ± 5; and p = 0.031, d = 0.49). Nonetheless, the 50 m sprint time following the 4 × 4 min routine was similar between the CC and SC (CC: 38.96 ± 2.77 vs. SC: 39.05 ± 2.43 s, t11 = −0.451, and p = 0.661).
3.3. Psychophysiological Responses
Heart rate was similar between conditions, and no differences were observed among bouts (p > 0.05, Table 1). Accordingly, the RPE was similar between conditions, but it was increased in the third and fourth compared to the first 4 min bout independent of the condition (Table 1).

Table 1.
Heart rate response and rating of perceived exertion (RPE) during the 4 × 4 min team performance routine.
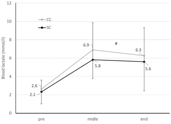
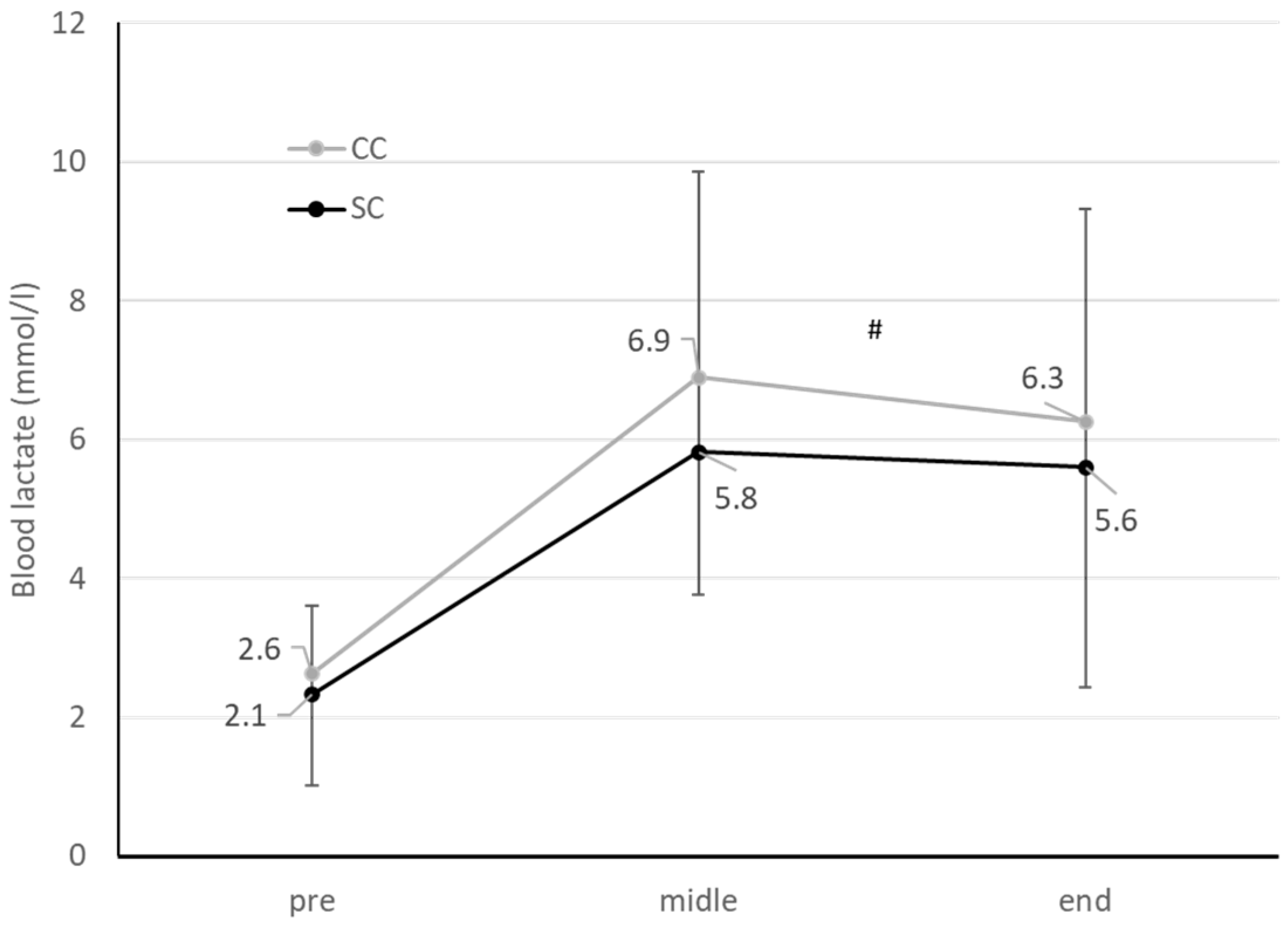
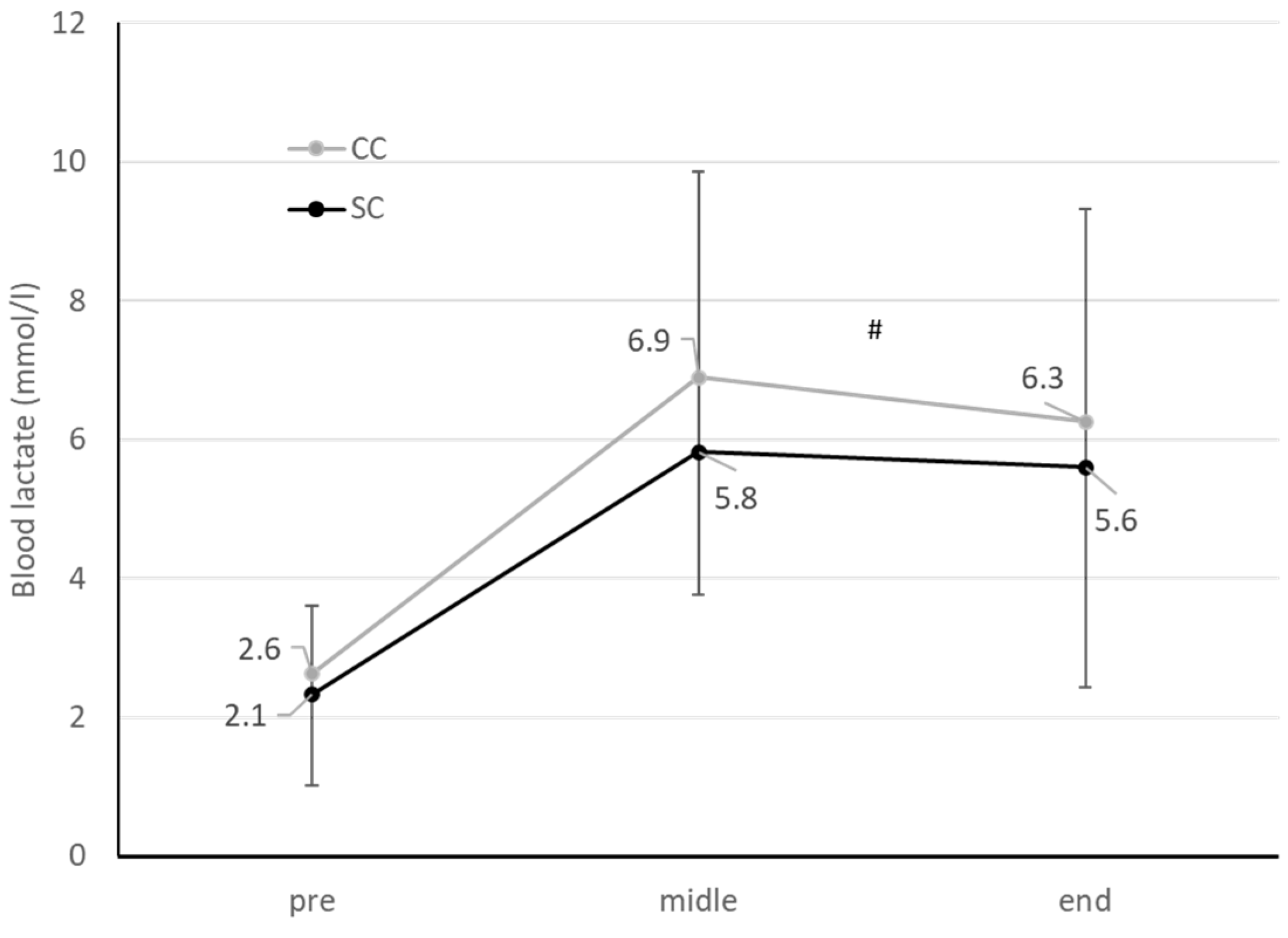
Nonetheless, blood lactate was lower in the SC compared to CC (F1,11 = 6.629, p = 0.026, and d = 0.25, Figure 3). Regardless of the condition, the blood lactate concentration was higher following the second and the fourth bout compared to the pre-routine values.

Figure 3.
Blood lactate concertation during the 4 × 4 min routine in the experimental conditions. #: p < 0.05 between conditions.
3.4. Cognitive Tests
Both the Deary–Liewald and the Flanker cognitive tests were no different between conditions (Table 2). However, an interaction was observed in the reaction time, as it was expressed by the choice task, so that it was increased in the SC and decreased in the CC (F1,11 = 8.167, p = 0.016, Table 2).

Table 2.
Cognitive test values before and after the two experimental conditions.
Moreover, the free team performance change from the first to the fourth bout was correlated with the pre to post difference in incompatible and Flanker tests, indicating an inhibitory effect on the central executive function (r = 0.508 and r = 0.486, respectively, p < 0.05, Figure 4).

Figure 4.
Correlation between % change in the first versus the fourth 4 min routine in team performance 4 × 4 min routines with incompatible response differences between pre- and post-Stroop test.
4. Discussion
The present study investigated, in an ecological setting, the influence of mental fatigue on artistic swimmers’ physiological responses during the execution of a 4 × 4 min free team routine and examined to what extent it affects cognitive responses, as well as the physical and technical aspects of the performance. The main findings are summarized as follows: (i) Both free team routine scores and boost height were deteriorated by mental fatigue; (ii) although blood lactate was lower in the mental fatigue condition, heart rate and RPE values were similar between conditions; and (iii) choice reaction time (Deary test) was increased and central executive function (Flanker test) was deteriorated following the implementation of the mental fatigue task.
Free team routines in artistic swimming consist of elements artistically strung together and choreographed to music []. Although both high physical abilities and technical skills are required for performance in artistic swimming [], the specific skills typically evaluated by external judges during competition (i.e., synchronization, movements, choreography, and music interpretation) might be considered mostly technical rather than physical. Accordingly, ref. [] suggested that in-water jumping ability is likely more dependent on the technical skills of an athlete.
In the present study, the implementation of a 30 min Stroop test prior to the execution of a free team routine induced lower performance scores in free team routines and concomitantly decreased the jumping height in a “boost test” compared to the control condition, albeit the 50 m swim time was unaltered. With regard to technical skills, our findings are consistent with previous reports from various sports and contexts indicating that technical skills are negatively affected by mental fatigue [,]. For instance, ref. [] reported that accuracy in sport-specific skills was significantly impaired following the implementation of a Stroop test compared to the control condition.
In addition, ref. [] showed that youth soccer players, who engaged in a Stroop test prior to a sport-specific skill test, experienced reduced quality of movements, lower rates of accurate passes, and a larger number of control errors with mental fatigue compared to the control condition. Accordingly, a decreased performance in cognitive tasks has also been reported in mentally fatigued individuals performing skilled tasks []. In support of this, we currently showed that both choice reaction time and central executive function (inhibition and selective attention) were decayed in the mental fatigue condition. Importantly, we also demonstrated an increase in the reaction time following the SC compared to CC. Moreover, independent of conditions, a significant positive association was observed between performance changes in free team routines (i.e., change from the first to the last bout, which was correlated with the respective changes in incompatible and Flanker tests). This likely indicates an inhibitory effect on central executive function and that athletes who showed a greater decrement in performance from the first to the last 4 min bout were those with a greater inhibitory effect and likely greater mental fatigue. It has been suggested that mental fatigue may induce impairments in basic motor skills [], primarily due to the fact that mental fatigue decreases attention [], as well as anticipation [,]. Of note, a reduction in attention and anticipation is also crucial for performance and likely more susceptible to mental fatigue in dynamic sporting environments; ref. [] explores this issue, such as in artistic swimming, where sustained attention and anticipation are required during in-water choreography. Therefore, we assume that the cognitive function deterioration (i.e., choice reaction time and central executive function) contributed to performance decay, likely due to the greater mental effort required to sustain attention and inhibit natural responses during the preceding Stroop test.
Regardless of the experimental condition, we showed high heart rate responses throughout the long-interval artistic swimming efforts as well as increased metabolic demands, as reflected on blood lactate values. The present heart rate values are similar to those reported in swimming and water polo performances implementing long-interval swim efforts []. Nonetheless, the blood lactate values presently reported are lower compared to those previously reported in long-interval swimming [], thus indicating that both aerobic and anaerobic metabolism contribute to energy provision in long-interval artistic swimming efforts, but aerobic metabolism is likely more predominant. It was further demonstrated that both heart rate values and the perception of effort responses were similar between experimental conditions, albeit the lower blood lactate concentration in the mental fatigue condition.
Previous studies in dry-land sports have reported conflicting results concerning the psychophysiological responses following mental fatigue. Badin et al. [] showed lower heart rate values and higher RPE responses in soccer, whereas others have demonstrated unchanged heart rate and blood lactate values [] but higher RPE responses after the implementation of a Stroop test []. There are probably two reasons related to the mode and intensity of the exercise protocol explaining this discrepancy. In the present study, participants executed 4 min long-interval, high-intensity artistic swimming efforts, whereas previous studies required prolonged submaximal running. It appears that the high physiological (mostly cardiovascular) demands of the current study did not allow us to detect differences between experimental conditions in terms of heart rate and RPE. The lower blood lactate values, however, observed in the mental fatigue condition, likely suggest a diminished potential of anaerobic metabolism activation, likely induced by impaired central executive function. More research, however, is warranted to investigate this further.
The negative effect of mental fatigue on physical performance has been mostly documented in prolonged, submaximal efforts []. In contrast, we currently observed that the 50 m maximal swim time remained unaltered between conditions, thus suggesting that mental fatigue has a negligeable effect on short-term maximal swimming performance. This aligns with previous reports indicating that the implementation of a Stroop test has no effect on subsequent maximal anaerobic exercise [,].
A limitation of the present study was the specialized sample, comprising eight highly trained national-level and four elite international-level athletes, which may partly explain the variability observed in the findings. Moreover, the magnitude of change observed in the Flanker effect is likely influenced by the characteristics of the sample, including factors such as training experience, performance level, and individual differences in cognitive control. Heart rate measurements were completed during the testing session only but not during the Stroop test, which could have helped in better explaining our findings.
5. Conclusions
The present findings indicate that mental fatigue reduces technical performance in high-intensity artistic swimming efforts, mostly due to impaired cognitive function. A potential connection between mental fatigue and overall performance cannot be excluded. Reduced glycolytic activation may also represent a potential exploratory factor; however, this warrants future investigation. Coaches in artistic swimming should be aware that technical performances may be compromised when athletes train under mental stress. Consequently, strategies aimed at mitigating mental fatigue should be considered.
Author Contributions
Conceptualization, S.N., A.G.T., and P.G.B.; methodology, S.N., A.G.T., and P.G.B.; software, S.N., A.G.T., and P.G.B.; validation, S.N., A.G.T., and P.G.B.; formal analysis, S.N., A.G.T., and P.G.B.; investigation, S.N., A.G.T., P.G.B., E.S., and L.K.; resources, S.N., A.G.T., and P.G.B.; data curation, S.N., A.G.T., and P.G.B.; writing—original draft preparation, S.N., A.G.T., and P.G.B.; writing—review and editing, S.N., A.G.T., and P.G.B.; visualization, S.N., A.G.T., and P.G.B.; supervision, S.N., A.G.T., and P.G.B.; project administration, S.N., A.G.T., and P.G.B. All authors have read and agreed to the published version of the manuscript.
Funding
This research received no external funding.
Institutional Review Board Statement
The study was conducted in accordance with the Declaration of Helsinki and approved by the Ethics Committee of School of Physical Education and Sports Science (approval number: 1339/15-12-2021).
Informed Consent Statement
Informed consent was obtained from all subjects involved in the study.
Data Availability Statement
Data could be available upon reasonable request to the corresponding author.
Conflicts of Interest
The authors declare no conflicts of interest.
References
- Mountjoy, M. The basics of synchronized swimming and its injuries. Clin. Sports Med. 1999, 18 (Suppl. S2), 321–336. [Google Scholar] [CrossRef] [PubMed]
- Robertson, S.; Benardot, D.; Mountjoy, M. Nutritional recommendations for synchronized swimming. Int. J. Sport Nutr. Exerc. Metab. 2014, 24 (Suppl. S4), 404–413. [Google Scholar] [CrossRef] [PubMed]
- Marcora, S.M.; Staiano, W.; Manning, V. Mental fatigue impairs physical performance in humans. J. Appl. Physiol. 2009, 106 (Suppl. S3), 857–864. [Google Scholar] [CrossRef] [PubMed]
- Boksem, M.A.; Meijman, T.F.; Lorist, M.M. Effects of mental fatigue on attention: An ERP study. Brain Res. Cogn. 2005, 25 (Suppl. S1), 107–116. [Google Scholar] [CrossRef]
- Lorist, M.M.; Boksem, M.A.; Ridderinkhof, K.R. Impaired cognitive control and reduced cingulate activity during mental fatigue. Brain Res. Cogn. 2005, 24 (Suppl. S2), 199–205. [Google Scholar] [CrossRef]
- Van Cutsem, J.; Marcora, S.M.; De Pauw, K.; Bailey, S.P.; Meeusen, R.; Roelands, B. The effects of mental fatigue on physical performance: A systematic review. Sports Med. 2017, 47 (Suppl. S8), 1569–1588. [Google Scholar] [CrossRef]
- Habay, J.; Van Cutsem, J.; Verschueren, J.; De Bock, S.; Proost, M.; De Wachter, J.; Tassignon, B.; Meeusen, R.; Roelands, B. Mental fatigue and sport-specific psychomotor performance: A systematic review. Sports Med. 2021, 51 (Suppl. S7), 1527–1548. [Google Scholar] [CrossRef]
- Moreira, A.; Aoki, M.S.; Franchini, É.; Da Silva Machado, D.G.; Paludo, A.C.; Okano, A.H. Mental fatigue impairs technical performance and alters neuroendocrine and autonomic responses in elite young basketball players. Physiol. Behav. 2018, 196, 112–118. [Google Scholar] [CrossRef]
- Smith, M.R.; Coutts, A.J.; Merlini, M.; Deprez, D.; Lenoir, M.; Marcora, S.M. Mental fatigue impairs Soccer-Specific physical and technical performance. Med. Sci. Sports Exerc. 2016, 48 (Suppl. S2), 267–276. [Google Scholar] [CrossRef]
- Penna, E.M.; Filho, E.; Wanner, S.P.; Campos, B.T.; Quinan, G.R.; Mendes, T.T.; Smith, M.R.; Prado, L.S. Mental fatigue impairs physical performance in young swimmers. Pediatr. Exerc. Sci. 2017, 30 (Suppl. S2), 208–215. [Google Scholar] [CrossRef]
- McKay, A.K.A.; Stellingwerff, T.; Smith, E.S.; Martin, D.T.; Mujika, I.; Goosey-Tolfrey, V.L.; Sheppard, J.; Burke, L.M. Defining Training and Performance Caliber: A Participant Classification Framework. Int. J. Sports Physiol. Perfor. 2022, 17, 317–331. [Google Scholar] [CrossRef] [PubMed]
- Deary, I.J.; Liewald, D.; Nissan, J. A free, easy-to-use, computer-based simple and four-choice reaction time programme: The Deary-Liewald reaction time task. Behav. Res. Methods. 2011, 43 (Suppl. S1), 258–268. [Google Scholar] [CrossRef] [PubMed]
- Eriksen, C.W. The flankers task and response competition: A useful tool for investigating a variety of cognitive problems. In Visual Selective Attention; Bundesen, C., Shibuya, H., Eds.; Lawrence Erlbaum Associates Inc: Mahwah, NJ, USA, 1995; pp. 101–118. [Google Scholar]
- Borg, G. Perceived exertion as an indicator of somatic stress. Scand J. Rehabil. Med. 1970, 2 (Suppl. S2), 92–98. [Google Scholar] [CrossRef] [PubMed]
- MacLeod, C.M.; MacDonald, P.A. Interdimensional interference in the Stroop effect: Uncovering the cognitive and neural anatomy of attention. Trends Cogn. Sci. 2000, 4 (Suppl. S10), 383–391. [Google Scholar] [CrossRef]
- Filipas, L.; Borghi, S.; Torre, A.L.; Smith, M.R. Effects of mental fatigue on soccer-specific performance in young players. Sci. Med. Footb. 2021, 5, 150–157. [Google Scholar] [CrossRef]
- Pageaux, B.; Lepers, R.; Dietz, K.C.; Marcora, S.M. Response inhibition impairs subsequent self-paced endurance performance. Eur. J. Appl. Physiol. 2014, 114, 1095–1105. [Google Scholar] [CrossRef]
- Cohen, J. Statistical Power Analysis for the Behavioral Sciences, 2nd ed.; L. Erlbaum Associates: Hillsdale, NJ, USA, 1988. [Google Scholar]
- Viana, E.; Bentley, D.J.; Logan-Sprenger, H.M. A physiological overview of the demands, characteristics, and adaptations of highly trained artistic swimmers: A literature review. Sports Med. Open. 2019, 5 (Suppl. S16), 16. [Google Scholar] [CrossRef]
- Platanou, T. On-water and dryland vertical jump in water polo players. J. Sports Med. Phys. Fitness 2005, 45, 26–31. Available online: https://pubmed.ncbi.nlm.nih.gov/16208287 (accessed on 15 October 2025).
- Badin, O.O.; Smith, M.R.; Conte, D.; Coutts, A.J. Mental fatigue: Impairment of technical performance in small-sided soccer games. Int. J. Sports Physiol. Perform. 2016, 11 (Suppl. S8), 1100–1105. [Google Scholar] [CrossRef]
- Duncan, M.J.; Fowler, N.; George, O.; Joyce, S.; Hankey, J. Mental fatigue negatively influences manual dexterity and anticipation timing but not repeated high-intensity exercise performance in trained adults. Res. Sports Med. 2015, 23 (Suppl. S1), 1–13. [Google Scholar] [CrossRef]
- Boksem, M.A.; Meijman, T.F.; Lorist, M.M. Mental fatigue, motivation and action monitoring. Biol. Psychol. 2006, 72 (Suppl. S2), 123–132. [Google Scholar] [CrossRef] [PubMed]
- Lorist, M.M.; Klein, M.; Nieuwenhuis, S.; De Jong, R.; Mulder, G.; Meijman, T.F. Mental fatigue and task control: Planning and preparation. Psychophysiology 2000, 37 (Suppl. S5), 614–625. [Google Scholar] [CrossRef]
- Walsh, V. Is sport the brain’s biggest challenge? Curr. Biol. 2014, 24 (Suppl. S18), R859–R860. [Google Scholar] [CrossRef]
- Botonis, P.G.; Malliaros, I.; Arsoniadis, G.G.; Platanou, T.I.; Toubekis, A.G. High-intensity training in water polo: Swimming versus ball drills. Int. J. Sports Physiol. Perform. 2019, 15 (Suppl. S3), 324–329. [Google Scholar] [CrossRef]
- Smith, M.R.; Marcora, S.M.; Coutts, A.J. Mental fatigue impairs intermittent running performance. Med. Sci. Sports Exerc. 2015, 47 (Suppl. S8), 1682–1690. [Google Scholar] [CrossRef]
- Martin, K.; Thompson, K.G.; Keegan, R.; Ball, N.; Rattray, B. Mental fatigue does not affect maximal anaerobic exercise performance. Eur. J. Appl. Physiol. 2014, 115 (Suppl. S4), 715–725. [Google Scholar] [CrossRef]
- Pageaux, B.; Lepers, R. The effects of mental fatigue on sport-related performance. Prog. Brain Res. 2018, 240, 291–315. [Google Scholar] [CrossRef]
Disclaimer/Publisher’s Note: The statements, opinions and data contained in all publications are solely those of the individual author(s) and contributor(s) and not of MDPI and/or the editor(s). MDPI and/or the editor(s) disclaim responsibility for any injury to people or property resulting from any ideas, methods, instructions or products referred to in the content. |
© 2025 by the authors. Licensee MDPI, Basel, Switzerland. This article is an open access article distributed under the terms and conditions of the Creative Commons Attribution (CC BY) license (https://creativecommons.org/licenses/by/4.0/).