Abstract
Dopamine transporter (DaT) imaging is commonly used for monitoring Parkinson’s disease (PD), where the amount of striatal DaT uptake serves as the PD severity indicator. MRI of the nigral region has recently emerged as a safer and more available alternative. This work introduces a 3D convolutional network-based symmetric regressor for predicting the DaT-uptake amount from nigral MRI patches. Unlike the typical deep networks, the proposed model leverages the lateral symmetry between right and left nigrae by incorporating a paired input–output architecture that concurrently predicts DaT uptakes for both the right and left striata, while employing a symmetric loss that constrains the difference between right-to-left predictions. To improve model reliability, we also propose a symmetric Monte Carlo dropout strategy for providing fruitful uncertainty estimates about the prediction. Evaluated on 734 3D nigral patches, our symmetric regressor demonstrated a improvement in prediction error compared to standard deep-learning models. Furthermore, the reliability was enhanced, resulting in a reduction in the prediction uncertainty interval at a coverage probability for the true DaT-uptake amount. Our findings demonstrate that integrating structural symmetry into model design is a powerful strategy for achieving accurate and reliable predictions for PD severity analysis.
1. Introduction
Parkinson’s disease (PD) is one of the most common neurodegenerative syndromes [], where a progressive loss of dopamine-containing neurons occurs in the midbrain []. Dopamine transporter (DaT) imaging using single photon emission computed tomography (SPECT) can assess the degree of cell loss based on the DaT-uptake amount in the striatum of the midbrain []. Therefore, DaT imaging is widely used for diagnosing and monitoring the severity of PD []. However, SPECT poses the risk of radiance exposure and is not allowed for patients with certain conditions (e.g., pregnancy) where administering radiotracers is not preferred []. Moreover, SPECT is only available in specialized clinics and has a high cost. Recent studies suggested using MRI as a less invasive and readily available alternative imaging method for monitoring PD [,]. In MRI-based assessments, the loss of nigral hyperintensity is generally used for PD diagnosis, as it corresponds well with low DaT uptake. Nonetheless, a quantified severity assessment is not achievable by only manual observation of such intensity. Therefore, a computerized method for predicting the DaT-uptake amount (as measured in SPECT) using the nigral MRI can be substantially useful.
Convolutional neural networks (ConvNets) [,] are widely used in applications on different medical images, including brain MRI [,,,,,], due to their discriminative feature learning ability. Though such medical applications are mainly classification-oriented, some ConvNet-based regressors can also be found that can learn to predict continuous values (severity, volume, etc.) [,]. Such regressors also showed promising results for DaT-uptake prediction []. However, typical deep regressors fail to leverage the strong structural symmetry between the right and left nigrae, generally minimizing the mean squared error (MSE) loss for the individual samples, where the samples are considered independent and identically distributed (i.i.d.). On the contrary, the DaT-uptake amounts in the right and left lateral sides have a high correlation.
In this paper, we propose a symmetric ConvNet regressor for predicting the DaT-uptake amount from the MRI patch covering the nigral region. While the typical regressor follows a one-input-one-output structure with a loss function based on the mean squared error with respect to the known true output, our symmetric model adopts a paired input–output structure. Our regressor takes both the right and left nigral patches, simultaneously generating DaT-uptake predictions for both the right and left striata. Additionally, we employ a symmetric loss that penalizes high differences between right and left predictions, addressing the symmetry between the two nigral regions and the strong correlation between DaT uptakes in the right and left striata. The proposed formulation facilitates explicit knowledge sharing between the two prediction tasks, thereby allowing for enhanced feature learning by leveraging the structural symmetry. Figure 1 illustrates the proposed symmetric regressor model.

Figure 1.
The proposed symmetric regressor and uncertainty estimation model. (top) Both the right and left SBRs are predicted simultaneously. Besides the regular MSE loss regarding the true SBRs, the symmetric loss, i.e., MSE between the right and left predictions, is also enforced. (bottom) Instead of using the standard deviations of the independent predictions of each side, the right-to-left deviation is additionally leveraged to produce the final prediction interval (i.e., uncertainty).
To improve the reliability of the proposed method during clinical use, we also propose a symmetric uncertainty estimation method about the generated predictions based on Monte Carlo (MC) dropout []. In our uncertainty estimation method, we again incorporate the above symmetric relation between the right and left predictions to achieve improved uncertainty estimates. Therefore, our contribution is two-fold:
- We propose a symmetric regressor with a novel loss function for the striatal DaT-uptake prediction, which explicitlyutilizes the lateral symmetry and correlation of the right and left nigral patch inputs and the corresponding DaT-uptake outputs.
- We propose a symmetric MC dropout technique for improved uncertainty estimation, which enhances the reliability of the proposed method.
The code for our proposed method is available on GitHub at https://github.com/awjibon/mri_dat/releases/tag/v1.0.0 (accessed on 12 September 2025).
The remainder of the paper is organized as follows. In Section 2, we discuss the related works and contrastively point out the differences of the current work. Next, we describe our proposed methods in Section 3. Afterward, we present our experimental results and discussion in Section 4 and Section 5. Finally, Section 6 presents our concluding remarks.
2. Related Works
2.1. Standard DaT-Uptake Assessment
The degree of dopaminergic denervation is widely assessed using DaT imaging (i.e., 123I-FP-CIT SPECT) []. The disease progression is determined in terms of the specific binding ratio (SBR), which is obtained by comparing the counts of the striatal regions against the occipital cortex region []. Several works used the SBR for general PD diagnosis and progression tracing. For example, Kuo et al. [] presented an SBR-based analysis for estimating PD progression with a one-year time window. Suwjin et al. [] evaluated a wide range of existing works in their review, which showed that SBR obtained from DaT imaging could successfully detect nigrostriatal dopaminergic cell loss with high accuracy.
Additionally, a wide range of works also indicated the usefulness of SBR for early PD diagnosis. Filippi et al. [] utilized DaT imaging for detecting preclinical dopaminergic loss in PD. Booij et al. [] showed an evident decline in striatal DaT uptake in early and advanced Parkinsonism. Prashanth et al. [] proposed an automatic classification model for classifying early PD based on the SBR.
2.2. DaT-Uptake Prediction Using MRI
Recently, several studies addressed the need for an MRI-based functionality assessment because SPECT imaging has the risk of radiance exposure. Primarily, such studies investigated the use of nigral hyperintensity for PD diagnosis, concluding that the hyperintensity of the nigrosome is usually lost in PD cases. Lehericy et al. [] suggested high-field MRI for PD imaging. Mahlknecht et al. [] examined the hyperintensity of the nigral complex in MRI and used this as a marker for PD diagnosis. Schwarz et al. [] focused on the nigrosome’s appearance in 3T MRI to determine PD. Gao et al. [] also emphasized the importance of nigrosome visualization in 3T MRI. They used the absence of nigrosome as a marker for PD identification. They utilized the susceptibility-weighted imaging (SWI) technique of MRI to enhance the visualization. Reiter et al. [] also used 3T SWI to determine the nigral hyperintensity effectively for PD classification. Cosottini et al. [] compared 3T and 7T SWI to investigate the substantia nigra for identifying PD.
The use case of MRI is not limited to only PD diagnosis. Researchers have also used the nigral status in MRI to correlate with the SBR in SPECT. Bae et al. [] compared the nigral hyperintensity observed in 3T SWI with the SPECT SBR in Parkinsonism. In their later work [], they used a similar SWI-to-SBR comparison approach for idiopathic rapid eye movement disorder. Both of these works revealed good agreement between the SWI observation and the SBR score. Uchida et al. [] used the mean intensity of the manually annotated striatum region in order to correlate with the SBR score. Recently, susceptibility map-weighted imaging (SMWI) [] has been proposed for improving the image quality by providing better contrast in neuroimaging. Nam et al. [] utilized SMWI to enhance the visibility of nigrosome for PD diagnosis, which allowed for better identification of the hyperintensity. Bae et al. [,] also compared SWI and SMWI images of the substantia nigra in Parkinsonism, and concluded that SMWI provides improved quality. We present a summary of the above MRI-based studies in Table 1.

Table 1.
Existing MRI-based studies on PD diagnosis and monitoring.
The above studies showed MRI to be a potentially effective alternative. However, our work differs from these studies in terms of objective formulation. The primary objective of the above studies was either to diagnose (not monitor) PD or to analyze a binary agreement between the nigral hyperintensity and the SBR. Such studies showed the relation of the presence (or absence) of hyperintensity to the normal (or abnormal) SBR findings. Nonetheless, the assessment of nigral hyperintensity is susceptible to the observer, as it is manually evaluated. Moreover, such a binary assessment is also not helpful for PD monitoring. Manual quantification of the hyperintensity to correlate with the continuous SBR measures is also infeasible. Our work proposes a computational method for quantifying the hyperintensity to predict the exact SBR scores instead of only producing binary decisions.
2.3. Deep-Learning-Based Prediction
ConvNets have been widely used for processing spatial inputs such as X-ray images, MRI volumes, etc. Though such convolutional networks (e.g., VGG [], ResNet []) were originally proposed for natural image analysis in the general computer vision domain, they have also shown promising outcomes in analyzing medical images. Litjens et al. [] presented a comprehensive survey where they included diverse medical image analysis works based on such deep convolutional networks. While such networks are mainly used for classification problems (e.g., determining tumor categories [] and identifying healthy and diseased cases [,,], etc.), ConvNet-based medical applications for predicting continuous values are relatively few. Examples of such continuous-valued outputs include disease severity, fetal head circumference, etc. Aboutalebi et al. presented [] a ConvNet-based model for assessing severity in COVID-19 from X-ray images. Zhang et al. adopted a ConvNet model [] for automatically measuring the fetus’s head circumference in ultrasound images.
Training a ConvNet model for such prediction is generally formulated as a supervised regression problem where the MSE loss between the model prediction and the desired output is minimized [,,,]. In our previous work [], we also applied such a ConvNet regression model for predicting the SBR from SMWI patches of the nigra. However, we only focused on estimating the left striatal SBR based on the left nigral patch. Most regression ConvNets for medical tasks are adopted by the plug-and-play method, where the data points (input images and the corresponding outputs) are considered independent and identically distributed (i.i.d.). However, directly applying such models in the medical domain is not always optimal, as it fails to utilize the underlying data correlation resulting from the anatomy.
In this work, we utilize both the right and left nigral patches to predict SBRs of both the right and left striata. Leveraging the high correlation between the left and right striatal SBRs and the symmetric structure of the two nigrosomes along with their surrounding regions, we propose an improved regression model with a novel loss function (Figure 1). Instead of simply using the independent MSE loss, the difference between right-to-left predictions is also enforced in the proposed loss, acknowledging the high lateral correlation. Moreover, the prediction interval, i.e., uncertainty, is also important for effective and reliable clinical use of any prediction model. In our work, we introduce an uncertainty estimation mechanism based on symmetry to improve model reliability.
3. Materials and Methods
3.1. Data
We collected the dataset for this study from Seoul National University Bundang Hospital, Republic of Korea. Approval of all ethical and experimental procedures and protocols was granted by the Institutional Review Board (IRB) of Seoul National University Bundang Hospital, Republic of Korea (IRB number: B-1610-368-303). Written informed consent was obtained from all study participants.
We aim to predict the striatal SBR values using the 3D nigral patches obtained from SMWI. Each case involves two target SBR values for the right and left striata. Therefore, the right nigral patch is used for predicting the right striatal SBR, and the left nigral patch is used for the SBR of the right striatum. From the original SMWI volume of the brain, a voxels region centered at the nigrosome is handcropped by the physicians to prepare the nigral patch. The above patch size adequately accommodates the substantia nigra, including the nigrosome and red nucleus. Please note that the red nucleus is also affected by PD []. We denote the input nigral patches by and and the target SBRs by and .
3.2. Deep Regressor
Deep regressors with spatial input usually utilize ConvNets, where a series of convolutional blocks is used to extract spatial features. These features are then passed to a fully connected layer to obtain the final prediction. We also use a ConvNet regressor to model our SBR regression function F. Because our input is a 3D patch, we incorporate a 3D ConvNet where 3D convolutional blocks are used using a VGG-style architectural organization. However, we reduce the number of layers to fit our small input dimension. Table 2 presents our proposed VGG network layers.

Table 2.
Proposed VGG architecture for SBR regression.
During training, the model is optimized to minimize the MSE between the model predictions and true SBRs for the training examples. Hence, the loss function L for an input and the corresponding true SBR target y can be expressed as follows:
where is the model prediction for input .
Our problem has two inputs: the right and left nigral patches, and two corresponding outputs: the right and left SBR scores. This can be modeled in two ways: (i) use separate models for the right and left striatal SBR predictions, and (ii) share a single model for both. We adopted the former option in our previous work on left striatal SBR prediction []. Nonetheless, this option ignores any correlation between the right and left data. In this work, we suggest incorporating a shared model. Section 3.3 elaborates on the advantage of this approach. The regression loss function for using such a shared model can be expressed as follows:
where and indicate the right and left nigral patch inputs. In addition, and represent the true SBR scores on the right and left sides, respectively.
3.3. Symmetric Regressor
3.3.1. Identical Input Type
In our symmetric regressor, we utilize the symmetric property of the substantia nigra. Like other paired organs in the human body, the right and left nigrae appear to be mirrored versions of one another. The surrounding structures in the midbrain also follow this symmetry. Therefore, we formulate right and left nigral patches as identical input types by modeling the right nigra as the laterally flipped left nigra. By doing so, we can use a single model for both SBR predictions, where right and left patches can simultaneously be used for training without any distinction.
The above formulation potentially gives a couple of advantages. First, it reduces the number of model parameters because only a single prediction model can be used. Second, training data are increased because both the right and left striatal data can be used simultaneously. Thirdly, it enables improved feature learning by implicit knowledge sharing between the right and left SBR prediction tasks.
3.3.2. Correlated Output
Furthermore, we also argue that the SBR scores of the right and left striata are also connected. Usually, dopaminergic cell loss occurs similarly on both sides. Consequently, a low SBR score on the left striatum is likely to indicate a low SBR score on the right, and vice versa. Empirically, the right and left SBRs gave a high correlation coefficient of based on our data. Figure 2 presents the correlation plot of the right and left SBR values. We propose to enforce an explicit constraint regarding this relation in our symmetric regressor.

Figure 2.
R-R plot of our right and left SBRs showing a correlation of 0.93.
3.3.3. Proposed Model
For effectively utilizing the above correlations, we propose a symmetric model that simultaneously takes a pair of inputs (i.e., the right and left nigral patches) and produces a pair of outputs (i.e., the right and left SBRs). Inside this symmetric model, a single ConvNet regressor F processes both inputs in the pair. Formally,
The MSE loss for training the above model could be defined as follows:
which is essentially the same loss function as (2). This indicates the same effect as training with all the right and left data with a single input model. However, the proposed paired input approach is required for our latter addition about the output constraint.
We utilize the output correlation by imposing a constraint that the predicted right and left SBRs should be close to each other. We do so by adding a loss term incorporating the difference between the right and left predictions. Specifically, the proposed loss term is as follows:
where
This clipping is required because the right and left SBRs are still not the same despite being closely related. They still have a small difference that we should consider in this additional loss term. controls the margin, below which the right-to-left difference is ignored. We choose the optimal value for by experiment.
Therefore, our final loss function becomes a weighted sum of the two losses, which can be stated as follows:
3.4. Symmetric Uncertainty in Prediction
The MRI-based SBR prediction is a relatively new problem and has not yet been established as a regular medical practice. Therefore, estimating uncertainty about the predicted SBRs can be crucial for the practical application of the proposed model. Usually, uncertainty in regression is expressed through prediction intervals, which provide a range around the predicted SBR within which the true SBR is likely to fall.
3.4.1. Monte Carlo Dropout
MC dropout [] is a widely used uncertainty estimation technique for deep regressors. The dropout layer is useful for improving generalization and preventing overfitting during training neural networks. The dropout operation indicates randomly dropping some neurons (i.e., randomly setting some neurons to zero). Usually, the dropout layer is only used in training and deactivated during testing. However, the MC dropout technique suggests keeping the dropout layer even in the testing phase.
Due to the active dropout, the model gives a different prediction after each traversal for a single test input. Thus, after n runs, a population of n different prediction results can be obtained for each test case. The prediction interval (i.e., uncertainty in prediction) is then calculated as the standard deviation (SD) of the n prediction results. The wider the SD, the higher the uncertainty.
3.4.2. Symmetric MC Dropout
We also follow the MC dropout-based interval estimation for expressing the uncertainty in SBR prediction. Unlike the usual interval estimation method, we utilize the predictions of both the right and left SBR predictions to determine the interval.
Because our symmetric regressor takes both the right and left nigral patches of a patient and produces the right and left SBRs simultaneously, the MC dropout technique would give two distributions. Let us suppose that we test our symmetric regressor for some input-pair . After n test runs, the observed outputs are . Hence, the SDs of the right and left observations are as follows:
where and are the observation means for the right and left outputs, respectively. The existing MC dropout suggests using these two independent SDs for the corresponding predictions, i.e., indicating the interval/uncertainty about the right SBR and indicating the interval about the left. In our experiment, n was set to 50.
In our uncertainty formulation, we incorporate both predictions for determining the interval about either of the right or left SBR predictions, owing to their correlation as argued before. Similar to the symmetric loss, we consider the pairwise differences of the right and left MC predictions and take their mean as an indication of the prediction interval. Formally, the suggested interval hint is as follows:
Thus, we hypothesize that a large difference in the right and left outputs indicates a probable large uncertainty in the model prediction. Therefore, we inject this uncertainty hint into the original MC intervals to improve model reliability. We define our final prediction intervals as follows:
by combining the symmetric hint into the MC intervals. Here, are chosen empirically from the validation set. Algorithm 1 presents our prediction interval computation method.
Algorithm 1: Symmetric MC prediction interval |
|
4. Results
4.1. Experimental Setting
For experimental evaluation, we acquired 734 nigral patches (right and left combined) of 367 patients (55.33% female; 69.0 ± 9.2 years old) from Seoul National University Bundang Hospital, Republic of Korea. Among the 367 patients, the number of PD patients was 287. Note that this dataset was previously used in Bae et al.’s work []. However, only the left nigral patches were used in their work. The nigral SMWI patch and SPECT SBR information of our dataset are presented in Table 3. The SMWI patches are obtained from a 3T MRI scanner. The detailed protocols of MRI scanning, SMWI image reconstruction, and DaT SPECT imaging are described in []. Two neuroradiologists (with 12 and 22 years of experience) annotated the nigrosome centroids in consensus for cropping the patches. The true SBR scores were automatically obtained from the SPECT images by the DATquant program by GE Healthcare.

Table 3.
Data characteristics.
After preparing the paired dataset, we performed a 70%:15%:15% random split to obtain the training, validation, and testing sets, respectively. The validation set was used to decide model hyperparameters, while the test set was only used in the final evaluation phase. The training session was executed for a maximum of 2000 epochs with a learning rate of 1 × 10−4. To prevent overfitting, an early stopping criterion was enforced where the training was stopped when the validation loss did not improve consecutively for 50 epochs. In the remaining parts of this section, we first show the model dependency on different hyperparameters. Next, we present our evaluation results on the SBR prediction performance. Finally, we evaluate the uncertainty estimated by the proposed symmetric MC method.
4.2. Hyperparameter Dependency
The key hyperparameters in the proposed model are the clipping margin and weight of the symmetric loss. We present the mean absolute error (MAE) of the SBR prediction for different values of and in Figure 3. Please note that the optimal hyperparameters were chosen based on the validation set performance. However, the dependency plots here are presented for the test set.

Figure 3.
Dependency on the clipping margin (left) and weight (right) of the symmetric loss. The clipping margin in the left plot is normalized relative to the maximum SBR (6.84) of our dataset. The weight axis in the right plot is on a log scale.
The clipping margin contributes to ignoring small right-to-left differences while computing the symmetric loss. From the resultant plot in Figure 3 (left), it is apparent that a small margin gave a poor performance because it strictly penalized the objective even for the small symmetric differences. On the other hand, a large margin also gave a non-optimal performance because it ignored most of the differences, including the cases where the right-to-left prediction differences were big. With the optimal clipping margin, the loss only ignored (normalized) prediction differences less than while penalizing the objective for larger differences, thus improving the prediction performance.
The symmetric loss weight controls the influence of the symmetric loss over the original regression loss. We present the prediction performance for different weight values in Figure 3 (right). Please note that the weight axis in the plot is presented on a logarithmic scale. In this experiment, we used the optimal clipping margin, i.e., (decided previously). A high weight puts too much focus on the symmetric loss, resulting in a higher MAE. Contrarily, a low weight fails to effectively utilize the symmetric property of our input and output pairs.
4.3. SBR Prediction Performance
Following general continuous-valued prediction problems, we evaluate the proposed regressor based on the MAE and root mean squared error (RMSE) between the model predictions and the true SBR values. Furthermore, we also compare Pearson’s correlation coefficient R, which is a widely used performance measure in the medical field. We present the SBR prediction performance of different regressor models, including ours, in Table 4. We show the improvements made by our propositions in three steps. First, we compare the proposed VGG architecture (-) with the standard VGG-16 [], ResNet-18 [], Vision Transformer (ViT) [], and MobileNetV3 [] architectures. Second, we present the improvements of the paired input–output model (). Finally, we compare the performance of the paired model trained with the symmetric loss ( + ).

Table 4.
SBR prediction performance of the proposed and the standard deep-learning models.
As Table 4 demonstrates, both the VGG-16 and ResNet-18 models, along with the recent ViT and MobileNetV3 architectures, gave a poor prediction performance, resulting in an MAE above . This is because modern networks are designed for deeper feature extraction, and effectively training such networks requires a large amount of training data. On the other hand, our nigral patch input is small, and the number of available training data is also low. Hence, the - network gave a better prediction error and correlation than the widely used VGG-16 and ResNet-18 networks, improving the error to . The paired input–output model gave a further improvement by combining the right and left prediction tasks. The final model trained with the symmetric loss generally outperformed all the other models by dragging the prediction error down to . Thus, compared with the standard deep regression frameworks, the proposed model could give and improvements in prediction error and correlation, respectively.
We also obtained the Bland–Altman plot [] of our regressor model against the standard regressor, as shown in Figure 4. The Bland–Altman plot is an effective way to assess the agreement and bias of model predictions. By incorporating the anatomical symmetry, the width of the limits of agreement became substantially narrower. The mean was also closer to zero, indicating a reduced prediction bias. Furthermore, to validate model agreement across different prediction ranges, we present the calibration plot in Figure 5, by mapping the predicted SBR scores to 25 bins. The predicted values of our model have an improved agreement across various prediction ranges. The plot clearly shows that the proposed regressor follows the perfect calibration line more closely.

Figure 4.
Bland–Altman plot demonstrating the agreement and bias for the predicted and true SBRs. The middle horizontal line indicates the mean difference between the true and predicted SBRs, while the top and bottom lines indicate the limits of agreement.

Figure 5.
Calibration plot indicating model agreement across different prediction ranges. The diagonal line represents a perfectly calibrated model.
We also visually investigated the extracted features by the proposed model to evaluate the discriminative nature of the learned representation of our data. We did so by mapping the extracted features into 2D space using t-SNE []. We plot the resultant 2D features in Figure 6. Each point in this plot is color-graded based on its true SBR value. We also plot the features extracted by the standard regressor for comparison. It is clear from the plots that the proposed model could learn a comparatively more powerful feature representation that is useful for discriminating among different SBR ranges.

Figure 6.
t-SNE visualization of the extracted features by the standard and proposed regressors. Each point is color-graded based on its corresponding true SBR value.
4.4. Explainability Analysis
Additionally, we analyzed the activation maps of the regressors to examine the region of focus responsible for SBR prediction. Among the recent methods, HiResCAM [] is one of the most prevalent methods for obtaining activation maps for deep networks. Compared to the other methods, HiResCAM can generate higher-resolution maps. Nonetheless, HiResCAM, like all the other similar methods, is well-suited for classification tasks, where gradients with respect to a specific class score are used to obtain the responsible region for that specific class. To effectively incorporate HiResCAM in our regression model, we consider two classes of SBRs- high and low. We obtain the score/probability of the high SBR class as the normalized SBR prediction . Moreover, the probability of the low SBR class is obtained by . Thus, the gradients of high SBR probability point to the direction of increased SBR, and the gradients of low SBR score correspond to the decreasing direction of SBR. We distinguish between high and low classes using a normalized SBR threshold of .
Figure 7 presents one example for each of the high and low SBR cases. For the low SBR case, gradients of the low SBR class were backpropagated to obtain the activation maps (Figure 7-top). On the other hand, gradients of the high SBR class were used for the high SBR case (Figure 7-bottom). Generally, the activation maps for high SBR prediction highlighted the nigrosome, parts of the substantia nigra, and parts of the cerebral peduncle. Contrarily, the activation maps for low SBR mainly highlighted the red nucleus region, with a minor focus on parts of the substantia nigra. The low SBR activation maps usually did not show any attention near the nigrosome because the nigrosome hyperintensity is lost in the low SBR cases. This coincides with previous medical research [,] where nigrosome hyperintensity was used as an identifier for normal/abnormal SPECT findings.

Figure 7.
Grad-CAM activation maps of the standard and proposed regressors. (top) Low SBR case. (bottom) High SBR case. Overall, the heatmaps of the proposed method gave stronger attention and coverage of the target regions (e.g., nigrosome, substantia nigra, red nucleus, etc.).
The attention regions looked similar in both the standard and proposed models. However, careful investigation of the maps revealed that the proposed regressor gave stronger and better coverage of the target regions. For example, the low SBR heatmaps of the standard regressor did not or partially include the red nucleus, while the proposed regressor better encompassed the red nucleus region. As a result, the prediction of the proposed method is closer to the true values. We also had similar findings for the high SBR maps, where the proposed method gave stronger attention to the nigrosome and substantia nigra. Moreover, the symmetry of the input pairs is well-represented in the activation maps of the proposed method.
We also acquired the SHAP explanation [], which is one of the most widely used methods for explaining predictions of any model, including regressors. We used the Python 3.8.10 SHAP library to obtain explanations for our model predictions, as shown in Figure 8. Here, we again present two examples of low and high SBR cases. The blue pixels indicate the positive features, increasing the likelihood of the prediction, while the red pixels (negative features) decrease it. As marked with red circles, the proposed model yields a more concentrated and continuous attribution of positive features compared to the relatively scattered pattern seen in the baseline model. In the low SBR case, a denser positive cluster can also be seen near the nigrosome for our prediction, while the baseline regressor model did not have a strong focus in that region (enclosed by black circles).

Figure 8.
SHAP explanations of our model predictions. (top) Low SBR Case. (bottom) High SBR case. The blue pixels (positive features) increase the likelihood of the prediction, while the red pixels (negative features) decrease it. The proposed model yields a more concentrated and continuous attribution of positive features compared to the scattered pattern seen in the baseline model (indicated by the red circles). A denser positive cluster can also be seen near the nigrosome (indicated by the black circles).
4.5. Quality of Uncertainty
Evaluating the uncertainty (i.e., the prediction interval) also plays a significant role in the medical domain. A reliable medical application must have good precision while providing a prediction interval that would include the true SBR with a high probability. One of the most common evaluation measures of the regression uncertainty is the coverage probability (CP) [], i.e., the probability that the true value lies in the specified interval. However, only using this metric is problematic because one can easily ensure a CP using a substantially large interval, despite that interval being useless. Therefore, we consider a second metric called sharpness [], which is defined as 1.0—normalized width of the interval.
The CP and sharpness have a reciprocal relation much like the recall and precision measures in the classification task. At 0% CP, we can ensure a 100% sharpness. As the CP increases, the sharpness decreases. Finally, sharpness reaches 0% when CP = 100%. To effectively evaluate the regression uncertainty, we propose to plot the sharpness-CP curve (similar to the precision-recall curve) and calculate the area under the curve (AUC).
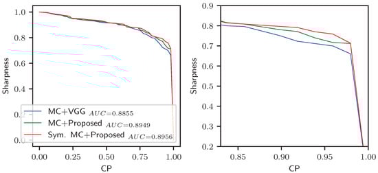
For plotting the curve, we obtain the (sharpness, CP) points by varying the interval from to , given the original interval from the MC dropout. Here, is defined such that the CP reaches . Figure 9 presents the resultant sharpness-CP curves. This figure presents three curves given by the MC intervals of the standard VGG regressor, the MC intervals of the proposed regressor, and our symmetric MC intervals of the proposed regressor.

Figure 9.
Sharpness-CP curves for the prediction intervals of different methods. (Left) Full view. (Right) Zoomed view focusing on the high CP region. Though the curves are not significantly different, substantial improvement is observed at the higher CP region.
Both intervals of the proposed symmetric regressor had a greater AUC than the standard regressor. The interval we proposed using symmetric MC dropout gave a slightly better AUC than the usual MC dropout. For the final regressor, the curves of the symmetric MC and MC intervals seem almost similar, except in a few places. However, the proposed MC is still advantageous because high CP positions are usually required for practical application in medical sites. At high CP (e.g., above 80% CP), the symmetric MC gave intervals with higher sharpness and precision. Table 5 presents the comparison of the prediction intervals for high CP, showing a 5% improvement in interval sharpness at 95% CP.

Table 5.
Prediction uncertainty comparison.
4.6. Computation Time
We estimated the running time for our SBR prediction on a system with a GHz Intel Xeon Silver 4216 processor and a memory of 64 GB. The test system also had an NVIDIA GeForce RTX 3090 GPU with 24 GB memory. The model was implemented using the TensorFlow library in Python. The computation time for predicting both the right and left SBR was about 21 ms only. Please note that the model was traversed 50 times to obtain the prediction uncertainty. Therefore, the computing prediction uncertainty took about s. Such an efficiency could allow physicians to utilize our models effectively.
5. Discussion
5.1. Validity of the Proposed Model
5.1.1. ConvNet Model Selection
As mentioned before, we did not use the standard ConvNet architectures for our ConvNet encoder in the symmetric regressor. Rather, we utilized a smaller version of the VGG-style architecture. From Table 4, we observed that the proposed VGG network (-) gave a lower error than the widely used ResNet-18 [] and VGG-16 [] networks. While ResNet-18 and VGG-16 networks were originally proposed for the ImageNet dataset consisting of 2D natural images, the 3D nigral patch has a much smaller spatial dimension. The proposed network gave improved performance because it had a smaller number of layers, suitable for the small input.
5.1.2. Advantage of the Symmetric Model
Compared with the standard regressor with individual right and left predictors, our paired model performed significantly better. In the paired model, right and left SBRs were predicted simultaneously due to the lateral symmetry and correlation between the right and left nigral patches. As a result, the model was provided with more training data on top of implicit knowledge sharing between the highly correlated right and left prediction tasks. Therefore, it gave a better generalization utilizing the symmetric property. Moreover, the symmetric loss helped train the paired model even more effectively by enforcing an additional constraint based on the output correlation in the pairs. As a result, our final model ( + ) gave a further improvement overall.
The proposed symmetric regressor resulted in an average correlation of (p value ), which is a considerable increase from the standard regressor’s correlation (i.e., , p value ). Please note that this resultant correlation is within the acceptable range in the medical field. The resultant MAE is also improved from to by the proposed method. We compared the results of -, , and + using Student’s t-test, which revealed that the improvements by (w.r.t -) and (w.r.t ) were statistically significant (p value and p value , respectively).
5.2. Comparison with Previous Works
Most of the previous MRI-based SBR prediction works attempted to investigate a binary agreement between the normal/abnormal MRI and SPECT findings. For fruitful comparison, we also obtained such binary decisions from our continuous-valued data. Based on the previous studies [,], we used a threshold of (right), (left) to determine the normal and abnormal SBRs. Thus, we compare our work with the previous MRI-based studies in Table 6. In this table, we present the correlation for the continuous-valued prediction. Moreover, we depict the accuracy, sensitivity, and specificity for the binary decision (i.e., classification of normal and abnormal SBRs).

Table 6.
Comparison with other MRI-based DaT-uptake analysis works.
Among the SBR prediction studies, Uchida et al. [] with their mean striatal intensity approach could achieve a correlation of , while the standard deep regressor of Bae et al. [] gave a correlation of . Following the standard regression approaches, the regressor in [] was trained with the usual regression loss, attempting to minimize the individual sample-wise difference between the predicted and actual SBRs. Our proposed regressor utilizing the pairwise symmetric loss between the right and left SBRs could outperform the standard regressor while utilizing the same dataset as [].
Among the SBR classification studies, the manual identification approach of Bae et al. [] gave an average specificity of . However, the accuracy () and sensitivity () were substantially low. Please note that good sensitivity is important in the medical field as it signifies how many abnormal findings are mistakenly categorized as being normal. The deep regressor of Bae et al. [] gave a well-balanced specificity and sensitivity with an accuracy of . On the other hand, our symmetric regressor gave the highest accuracy (). In our work, the average sensitivity and specificity were and , thus resulting in a significantly better SBR classification performance (p value , as revealed with McNemar’s test).
5.3. Uncertainty Analysis
Based on the sharpness-CP curve in Figure 9, we comparatively analyze the uncertainty of the regressor models in Table 5. We present our discussion on this in two steps. First, we compare the uncertainty between the standard regressor and the proposed symmetric regressor. Then, we present the advantage of the symmetric MC uncertainty estimation method over the typical MC method. We base our comparison on the sharpness (i.e., precision) and coverage (i.e., recall) measures as mentioned earlier in Section 4.5. Besides presenting the optimal sharpness and coverage, we also compare the sharpness at high coverage (see Table 5). Specifically, we selected the point of coverage, which is the most commonly used confidence rate.
From Table 5, we can see that the prediction intervals of the proposed regressor had higher optimal sharpness and coverage compared with the standard regressor. The average normalized width of the standard regressor’s prediction interval was with an probability of covering the true SBR within it. On the other hand, the symmetric regressor’s interval width was with an coverage probability. The higher certainty and precision of the proposed regressor were also prominent at the coverage.
The interval estimated by the symmetric MC dropout method had an optimal width of with a coverage of , which is only slightly improved from the typical MC method. However, the improved and sharper estimation of the interval is prominent at higher coverage. For example, at coverage, the symmetric MC method gave an average interval of width , which is a notable improvement from the standard MC interval width of . Therefore, the symmetric regressor coupled with the symmetric MC uncertainty can be used in clinical sites more reliably.
5.4. Limitations and Future Directions
Despite substantial improvements in MRI-based SBR prediction, we can identify two potential limitations of the current study. The previous MRI-based prediction works also suffer from similar limitations. First, the present method operates on nigral patches. Thus, it requires manual cropping or volume-of-interest annotation of the nigral region from the brain MR volume. Therefore, we plan to extend the problem scope to a fully automated end-to-end prediction in our future work.
Second, SBR calculation is a useful imaging-based method that highly corresponds to the actual PD severity scale (graded by neurologists). Since MRI-based assessment studies (including ours) have shown fruitful results, studying direct correlation with the PD severity scale could also be effective in the long run, besides learning to predict the SBR. Hence, we plan to update our model to simultaneously predict SBR and the PD severity scale in our future study.
6. Conclusions
We proposed a symmetric regressor for predicting SBR in DaT SPECT based on the nigral MRI patch. Unlike the typical regressors, the symmetric regressor uses a paired input–output model, which simultaneously predicts both the right and left SBRs while using an additional symmetric loss that enforces the closeness of right and left SBRs. This facilitated an improved model training by utilizing the inherent right-to-left correlation (both in the input and output space) given by the symmetric property of the right and left nigrae. Furthermore, we proposed a symmetric MC dropout technique for assessing the interval of uncertainty in SBR prediction. Experimental results revealed significant improvement of the symmetric regressor over the standard deep-learning models in terms of prediction error and correlation with the true SBRs. The learned features of the symmetric regressor were also more powerful and discriminative. Moreover, the regressor had better activation maps with improved attention in the target regions. Finally, the reliability of the predictions was also improved because the resultant prediction interval (i.e., uncertainty range) given by the symmetric MC dropout had substantially higher sharpness at coverage probability for the true DaT update amount. Therefore, the proposed method can potentially be helpful for safer and more reliable MRI-based PD monitoring.
Our method is based on the manually cropped nigral patches, similar to the other existing works. For clinical application, the SBR could be obtained in a semi-automatic fashion, where a radiologist first annotates the nigral region. Then, the cropped region should be passed to our model for SBR prediction. In the future, we plan to extend our method by adding a nigrosome localization module to make the prediction process fully automatic.
Author Contributions
Conceptualization, methodology, W.A.A. and I.D.Y.; software, W.A.A.; validation, Y.J.B.; formal analysis, W.A.A.; investigation, Y.J.B. and I.D.Y.; resources, data curation, Y.J.B.; writing—original draft, W.A.A.; writing—review and editing, Y.J.B. and I.D.Y.; visualization, W.A.A.; supervision, I.D.Y. and Y.J.B.; project administration, I.D.Y.; funding acquisition, I.D.Y. and Y.J.B. All authors have read and agreed to the published version of the manuscript.
Funding
This work was funded in part by Hankuk University of Foreign Studies (HUFS) Basic Research Fund, Republic of Korea (No. 20231140001) and the National Research Foundation of Republic of Korea (NRF) grant funded by the Republic of Korea government (MSIT) (No. 2022R1F1A1064530) and grant No. 02–2023-0011 from the Seoul National University Bundang Hospital Research Fund.
Institutional Review Board Statement
Approval of all ethical and experimental procedures and protocols was granted by the Institutional Review Board (IRB) of Seoul National University Bundang Hospital, Republic of Korea (IRB number: B-1610-368-303).
Informed Consent Statement
Informed consent was obtained from all subjects involved in the study.
Data Availability Statement
The dataset presented in this article is not readily available because all data sharing rights are reserved for the Seoul National University Bundang Hospital (SNUBH). Requests to access the datasets should be directed to the Department of Radiology, SNUBH.
Conflicts of Interest
The authors declare no conflicts of interest.
References
- Bloem, B.R.; Okun, M.S.; Klein, C. Parkinson’s disease. Lancet 2021, 397, 2284–2303. [Google Scholar] [CrossRef]
- Damier, P.; Hirsch, E.; Agid, Y.; Graybiel, A. The substantia nigra of the human brain: II. Patterns of loss of dopamine-containing neurons in Parkinson’s disease. Brain 1999, 122, 1437–1448. [Google Scholar] [CrossRef] [PubMed]
- Wakabayashi, Y.; Takahashi, R.; Kanda, T.; Zeng, F.; Nogami, M.; Ishii, K.; Murakami, T. Semi-quantitative dopamine transporter standardized uptake value in comparison with conventional specific binding ratio in [123I] FP-CIT single-photon emission computed tomography (DaTscan). Neurol. Sci. 2018, 39, 1401–1407. [Google Scholar] [CrossRef]
- Suwijn, S.R.; van Boheemen, C.J.; de Haan, R.J.; Tissingh, G.; Booij, J.; de Bie, R.M. The diagnostic accuracy of dopamine transporter SPECT imaging to detect nigrostriatal cell loss in patients with Parkinson’s disease or clinically uncertain parkinsonism: A systematic review. EJNMMI Res. 2015, 5, 12. [Google Scholar] [CrossRef]
- Akdemir, Ü.Ö.; BORA, H.A.T.; Atay, L.Ö. Dopamine transporter SPECT imaging in Parkinson’s disease and parkinsoniandisorders. Turk. J. Med. Sci. 2021, 51, 400–410. [Google Scholar] [CrossRef]
- Mahlknecht, P.; Krismer, F.; Poewe, W.; Seppi, K. Meta-analysis of dorsolateral nigral hyperintensity on magnetic resonance imaging as a marker for Parkinson’s disease. Mov. Disord. 2017, 32, 619–623. [Google Scholar] [CrossRef]
- Schwarz, S.T.; Afzal, M.; Morgan, P.S.; Bajaj, N.; Gowland, P.A.; Auer, D.P. The ‘swallow tail’appearance of the healthy nigrosome–a new accurate test of Parkinson’s disease: A case-control and retrospective cross-sectional MRI study at 3T. PLoS ONE 2014, 9, e93814. [Google Scholar] [CrossRef]
- Simonyan, K.; Zisserman, A. Very deep convolutional networks for large-scale image recognition. arXiv 2014, arXiv:1409.1556. [Google Scholar]
- He, K.; Zhang, X.; Ren, S.; Sun, J. Deep residual learning for image recognition. In Proceedings of the IEEE Conference on Computer Vision and Pattern Recognition, Las Vegas, NV, USA, 27–30 June 2016; pp. 770–778. [Google Scholar]
- Ashimgaliyev, M.; Matkarimov, B.; Barlybayev, A.; Li, R.Y.M.; Zhumadillayeva, A. Accurate MRI-based brain tumor diagnosis: Integrating segmentation and deep learning approaches. Appl. Sci. 2024, 14, 7281. [Google Scholar] [CrossRef]
- Güler, M.; Namlı, E. Brain tumor detection with deep learning methods’ classifier optimization using medical images. Appl. Sci. 2024, 14, 642. [Google Scholar] [CrossRef]
- Devindi, G.; Dissanayake, D.; Liyanage, S.; Francis, F.; Pavithya, M.; Piyarathne, N.; Hettiarachchi, P.; Rasnayaka, R.; Jayasinghe, R.D.; Ragel, R.G.; et al. Multimodal deep convolutional neural network pipeline for AI-assisted early detection of oral cancer. IEEE Access 2024, 12, 124375–124390. [Google Scholar] [CrossRef]
- Swathi, G.; Altalbe, A.; Kumar, R.P. QuCNet: Quantum-inspired convolutional neural networks for optimized thyroid nodule classification. IEEE Access 2024, 12, 27829–27842. [Google Scholar] [CrossRef]
- Mohsen, H.; El-Dahshan, E.S.A.; El-Horbaty, E.S.M.; Salem, A.B.M. Classification using deep learning neural networks for brain tumors. Future Comput. Inform. J. 2018, 3, 68–71. [Google Scholar]
- Yadav, S.S.; Jadhav, S.M. Deep convolutional neural network based medical image classification for disease diagnosis. J. Big Data 2019, 6, 113. [Google Scholar] [CrossRef]
- Aboutalebi, H.; Pavlova, M.; Shafiee, M.J.; Sabri, A.; Alaref, A.; Wong, A. Covid-net cxr-s: Deep convolutional neural network for severity assessment of COVID-19 cases from chest x-ray images. Diagnostics 2021, 12, 25. [Google Scholar] [CrossRef] [PubMed]
- Zhang, J.; Petitjean, C.; Lopez, P.; Ainouz, S. Direct estimation of fetal head circumference from ultrasound images based on regression CNN. In Proceedings of the Medical Imaging with Deep Learning, Montreal, QC, Canada, 6–8 July 2020; pp. 914–922. [Google Scholar]
- Bae, Y.J.; Choi, B.S.; Kim, J.M.; Ai, W.A.; Yun, I.; Song, Y.S.; Nam, Y.; Cho, S.J.; Kim, J.H. Deep learning regressor model based on nigrosome MRI in Parkinson syndrome effectively predicts striatal dopamine transporter-SPECT uptake. Neuroradiology 2023, 65, 1101–1109. [Google Scholar] [CrossRef]
- Gal, Y.; Ghahramani, Z. Dropout as a bayesian approximation: Representing model uncertainty in deep learning. In Proceedings of the International Conference on Machine Learning, New York, NY, USA, 19–24 June 2016; pp. 1050–1059. [Google Scholar]
- Rahman, M.G.; Islam, M.M.; Tsujikawa, T.; Kiyono, Y.; Okazawa, H. Count-based method for specific binding ratio calculation in [I-123] FP-CIT SPECT analysis. Ann. Nucl. Med. 2019, 33, 14–21. [Google Scholar] [CrossRef]
- Kuo, P.H.; Eshghi, N.; Tinaz, S.; Blumenfeld, H.; Louis, E.D.; Zubal, G. Optimization of parameters for quantitative analysis of 123I-ioflupane SPECT images for monitoring progression of Parkinson disease. J. Nucl. Med. Technol. 2019, 47, 70–74. [Google Scholar] [CrossRef] [PubMed]
- Filippi, L.; Manni, C.; Pierantozzi, M.; Brusa, L.; Danieli, R.; Stanzione, P.; Schillaci, O. 123I-FP-CIT semi-quantitative SPECT detects preclinical bilateral dopaminergic deficit in early Parkinson’s disease with unilateral symptoms. Nucl. Med. Commun. 2005, 26, 421–426. [Google Scholar] [CrossRef]
- Booij, J.; Tissingh, G.; Boer, G.; Speelman, J.; Stoof, J.; Janssen, A.; Wolters, E.C.; Van Royen, E. [123I] FP-CIT SPECT shows a pronounced decline of striatal dopamine transporter labelling in early and advanced Parkinson’s disease. J. Neurol. Neurosurg. Psychiatry 1997, 62, 133. [Google Scholar] [CrossRef]
- Prashanth, R.; Roy, S.D.; Mandal, P.K.; Ghosh, S. Automatic classification and prediction models for early Parkinson’s disease diagnosis from SPECT imaging. Expert Syst. Appl. 2014, 41, 3333–3342. [Google Scholar] [CrossRef]
- Lehericy, S.; Vaillancourt, D.E.; Seppi, K.; Monchi, O.; Rektorova, I.; Antonini, A.; McKeown, M.J.; Masellis, M.; Berg, D.; Rowe, J.B.; et al. The role of high-field magnetic resonance imaging in parkinsonian disorders: Pushing the boundaries forward. Mov. Disord. 2017, 32, 510–525. [Google Scholar]
- Gao, P.; Zhou, P.Y.; Li, G.; Zhang, G.B.; Wang, P.Q.; Liu, J.Z.; Xu, F.; Yang, F.; Wu, X.X. Visualization of nigrosomes-1 in 3T MR susceptibility weighted imaging and its absence in diagnosing Parkinson’s disease. Eur. Rev. Med. Pharmacol. Sci. 2015, 19, 4603–4609. [Google Scholar] [PubMed]
- Reiter, E.; Mueller, C.; Pinter, B.; Krismer, F.; Scherfler, C.; Esterhammer, R.; Kremser, C.; Schocke, M.; Wenning, G.K.; Poewe, W.; et al. Dorsolateral nigral hyperintensity on 3.0 T susceptibility-weighted imaging in neurodegenerative Parkinsonism. Mov. Disord. 2015, 30, 1068–1076. [Google Scholar] [PubMed]
- Cosottini, M.; Frosini, D.; Pesaresi, I.; Donatelli, G.; Cecchi, P.; Costagli, M.; Biagi, L.; Ceravolo, R.; Bonuccelli, U.; Tosetti, M. Comparison of 3T and 7T susceptibility-weighted angiography of the substantia nigra in diagnosing Parkinson disease. Am. J. Neuroradiol. 2015, 36, 461–466. [Google Scholar] [CrossRef]
- Bae, Y.J.; Kim, J.M.; Kim, E.; Lee, K.M.; Kang, S.Y.; Park, H.S.; Kim, K.J.; Kim, Y.E.; Oh, E.S.; Yun, J.Y.; et al. Loss of nigral hyperintensity on 3 Tesla MRI of parkinsonism: Comparison with 123I-FP-CIT SPECT. Mov. Disord. 2016, 31, 684–692. [Google Scholar] [CrossRef] [PubMed]
- Bae, Y.J.; Kim, J.M.; Kim, K.J.; Kim, E.; Park, H.S.; Kang, S.Y.; Yoon, I.Y.; Lee, J.Y.; Jeon, B.; Kim, S.E. Loss of substantia nigra hyperintensity at 3.0-T MR imaging in idiopathic REM sleep behavior disorder: Comparison with 123I-FP-CIT SPECT. Radiology 2018, 287, 285–293. [Google Scholar]
- Uchida, Y.; Kan, H.; Sakurai, K.; Inui, S.; Kobayashi, S.; Akagawa, Y.; Shibuya, K.; Ueki, Y.; Matsukawa, N. Magnetic susceptibility associates with dopaminergic deficits and cognition in Parkinson’s disease. Mov. Disord. 2020, 35, 1396–1405. [Google Scholar] [CrossRef]
- Gho, S.M.; Liu, C.; Li, W.; Jang, U.; Kim, E.Y.; Hwang, D.; Kim, D.H. Susceptibility map-weighted imaging (SMWI) for neuroimaging. Magn. Reson. Med. 2014, 72, 337–346. [Google Scholar] [CrossRef]
- Nam, Y.; Gho, S.M.; Kim, D.H.; Kim, E.Y.; Lee, J. Imaging of nigrosome 1 in substantia nigra at 3T using multiecho susceptibility map-weighted imaging (SMWI). J. Magn. Reson. Imaging 2017, 46, 528–536. [Google Scholar] [CrossRef]
- Bae, Y.J.; Kim, J.M.; Sohn, C.H.; Choi, J.H.; Choi, B.S.; Song, Y.S.; Nam, Y.; Cho, S.J.; Jeon, B.; Kim, J.H. Imaging the substantia nigra in Parkinson disease and other Parkinsonian syndromes. Radiology 2021, 300, 260–278. [Google Scholar] [CrossRef]
- Bae, Y.; Song, Y.; Kim, J.M.; Choi, B.; Nam, Y.; Choi, J.H.; Lee, W.; Kim, J. Determining the degree of dopaminergic denervation based on the loss of nigral hyperintensity on SMWI in parkinsonism. Am. J. Neuroradiol. 2021, 42, 681–687. [Google Scholar] [CrossRef]
- Litjens, G.; Kooi, T.; Bejnordi, B.E.; Setio, A.A.A.; Ciompi, F.; Ghafoorian, M.; Van Der Laak, J.A.; Van Ginneken, B.; Sánchez, C.I. A survey on deep learning in medical image analysis. Med. Image Anal. 2017, 42, 60–88. [Google Scholar]
- Raj, A.; Shah, N.A.; Tiwari, A.K.; Martini, M.G. Multivariate regression-based convolutional neural network model for fundus image quality assessment. IEEE Access 2020, 8, 57810–57821. [Google Scholar] [CrossRef]
- Rehman, S.U.; Gruhn, V. A sequential VGG16+ CNN-based automated approach with adaptive input for efficient detection of knee osteoarthritis stages. IEEE Access 2024, 12, 62407–62415. [Google Scholar] [CrossRef]
- Rodriguez-Oroz, M.C.; Rodriguez, M.; Leiva, C.; Rodriguez-Palmero, M.; Nieto, J.; Garcia-Garcia, D.; Luis Zubieta, J.; Cardiel, C.; Obeso, J.A. Neuronal activity of the red nucleus in Parkinson’s disease. Mov. Disord. 2008, 23, 908–911. [Google Scholar] [PubMed]
- Dosovitskiy, A.; Beyer, L.; Kolesnikov, A.; Weissenborn, D.; Zhai, X.; Unterthiner, T.; Dehghani, M.; Minderer, M.; Heigold, G.; Gelly, S.; et al. An image is worth 16 × 16 words: Transformers for image recognition at scale. arXiv 2020, arXiv:2010.11929. [Google Scholar]
- Koonce, B. MobileNetV3. In Convolutional Neural Networks with Swift for Tensorflow: Image Recognition and Dataset Categorization; Springer: Berlin/Heidelberg, Germany, 2021; pp. 125–144. [Google Scholar]
- Kaur, P.; Stoltzfus, J.C. Bland–Altman plot: A brief overview. Int. J. Acad. Med. 2017, 3, 110–111. [Google Scholar] [CrossRef]
- Van der Maaten, L.; Hinton, G. Visualizing data using t-SNE. J. Mach. Learn. Res. 2008, 9, 2579–2605. [Google Scholar]
- Draelos, R.L.; Carin, L. Use HiResCAM instead of Grad-CAM for faithful explanations of convolutional neural networks. arXiv 2020, arXiv:2011.08891. [Google Scholar]
- Nohara, Y.; Matsumoto, K.; Soejima, H.; Nakashima, N. Explanation of machine learning models using improved shapley additive explanation. In Proceedings of the 10th ACM International Conference on Bioinformatics, Computational Biology and Health Informatics, Niagara Falls, NY, USA, 7–10 September 2019; p. 546. [Google Scholar]
- Psaros, A.F.; Meng, X.; Zou, Z.; Guo, L.; Karniadakis, G.E. Uncertainty quantification in scientific machine learning: Methods, metrics, and comparisons. J. Comput. Phys. 2023, 477, 111902. [Google Scholar] [CrossRef]
Disclaimer/Publisher’s Note: The statements, opinions and data contained in all publications are solely those of the individual author(s) and contributor(s) and not of MDPI and/or the editor(s). MDPI and/or the editor(s) disclaim responsibility for any injury to people or property resulting from any ideas, methods, instructions or products referred to in the content. |
© 2025 by the authors. Licensee MDPI, Basel, Switzerland. This article is an open access article distributed under the terms and conditions of the Creative Commons Attribution (CC BY) license (https://creativecommons.org/licenses/by/4.0/).