Transient Horizontal Response of a Pipe Pile in Saturated Soil with a Flexible Support at the Pile Head
Abstract
1. Introduction
2. Mathematical Model and Assumptions
- Both the surrounding soil and the pile core soil are homogeneous, isotropic, and modeled as a saturated biphasic elastic medium.
- The pile is modeled as an elastic, uniform cross-section annular shaft, using the Timoshenko beam theory to simulate its behavior. Pile shear deformation is considered, and the pile base is fixed.
- The pile–soil vibrations are assumed to involve small deformations, with perfect contact between the pile and the surrounding soil. The displacement and force at the pile–soil interface are continuous, and the interface is impermeable.
- During the horizontal vibration, the vertical displacement of the soil skeleton and pore fluid is much smaller than the lateral displacement of the pile. The effect of lateral friction along the pile surface is also small and thus neglected in the analysis. This study is limited to the scope of elastic dynamics and does not explore dynamic strength considerations. For simplicity, the effects of strain rate caused by impact loads are excluded from the analysis [25].
3. Formulation and Solution of Governing Equations
3.1. Fundamental Equations
3.2. Boundary Conditions
- (1)
- At an infinite horizontal distance, the soil displacement approaches zero, while at r = 0, the displacement remains finite.
- (2)
- The horizontal displacement of the soil at the base of the rigid foundation is set to zero.
- (3)
- Under the assumption that the vertical displacement of the soil is negligible, the condition of zero surface stress yields the following:
- (1)
- The pile and soil are in full contact, with no slip or separation at the interface.
- (2)
- The pile–soil interface is impermeable.
- (1)
- Boundary Conditions at the Pile Top:
- (2)
- Rigid Support Conditions at the Pile Base:
3.3. The Solution to the Equations for the Surrounding Soil and Core Soil of the Pile
3.4. Solving the Equation of Pile Vibration
4. Parametric Analysis
5. Conclusions
- (1)
- The peak displacement at the pile head increases as the duration of the applied load becomes longer. Core soil inside the tubular pile reduces the peak displacement at the pile head. For piles with small inner diameters, the effect of core soil is minimal and can be ignored, but for larger inner diameters, considering core soil improves the accuracy of the analysis.
- (2)
- When the pile length exceeds a critical value, known as the effective pile length, the displacement at the pile head stabilizes, and the pile can be treated as infinitely long. Pile displacement decreases rapidly with depth and is significantly reduced by increasing the rotational stiffness at the pile head. Strengthening the pile head constraint effectively enhances the horizontal resistance of the pile.
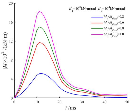
- (3)
- The pile head displacement peaks noticeably later than the impact load’s peak force. This lag becomes increasingly significant as the impact duration shortens. Furthermore, the influence of the soil inside the pile on horizontal impact effects is minimal compared to the surrounding soil.
- (4)
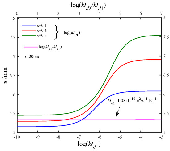
- In both high and low kdi′ regions, the pile head displacement remains nearly constant, forming plateau-like trends. Within the intermediate region, however, displacement increases with kdi′, and the rate of this increase intensifies as soil porosity grows.
- (5)
- The maximum displacement ratio χ and constraint degree λ are largely invariant in regions of extreme rotational stiffness κ (both high and low). However, within the intermediate flexible constraint range, χ declines steadily with increasing κ.
Author Contributions
Funding
Institutional Review Board Statement
Informed Consent Statement
Data Availability Statement
Conflicts of Interest
Nomenclature
| L | The length of the pile |
| A | The cross-sectional area of the pile |
| Ep | The Young’s modulus of the pile |
| Gp | The shear modulus of the pile |
| Ip | The moment of inertia of the pile section |
| r1, r2 | The outer and inner radii of the tubular pile, respectively |
| uri, uθi | The radial and tangential displacements of the solid phase, respectively |
| wri, wθi | The relative radial and tangential displacements of the fluid phase with respect to the solid phase, respectively |
| ρf | The pore water density |
| ρsi | The soil particle density |
| ρi | The bulk density of the soil |
| ni | The porosity |
| λi, Gi | The Lamé constants of the soil skeleton |
| pf | The pore water pressure |
| Kdi, kd1′ | The permeability and dynamic permeability coefficient of the soil, respectively |
| g | The gravitational acceleration |
| ei | The volumetric strain of the soil skeleton |
| αi, Mi | The compressibility coefficients of soil particles and fluid, respectively |
| Ksi, Kfi, Kbi | The bulk moduli of soil particles, fluid, and soil skeleton, respectively |
| u, θ | The horizontal displacement and rotation angle of the pile, respectively |
| κ | The shear correction factor |
| qn1, qn2 | The lateral forces per unit length acting on the pile from the surrounding soil and pile core soil, respectively |
| The Laplace transform of the transient load p(t) applied at the pile head | |
| Pmax | The peak load |
| t0 | The duration of the load application |
| εi | The volumetric strain of the fluid phase |
| υp | Poisson’s ratio |
| Mc | The yield bending moment |
| Pi | The rate of pore pressure change |
| τrθi | The shear stress |
| θc | The rotation angle corresponding to the yield bending moment |
| κ1, κ2 | The initial stiffness and hardening stiffness, respectively |
References
- Rad, M.M.; Ibrahim, S.K. Optimal plastic analysis and design of pile foundations under reliable conditions. Period. Polytech. Civ. Eng. 2021, 65, 761–767. [Google Scholar]
- Rad, M.M. Reliability based analysis and optimum design of laterally loaded piles. Period. Polytech. Civ. Eng. 2017, 61, 491–497. [Google Scholar]
- Zhu, D.; Wang, L.; Wang, Z. Study on pile-soil bonding condition based on transient shock response using piezoceramic sensors. J. Low Freq. Noise Vib. Act. Control. 2024, 43, 358–370. [Google Scholar] [CrossRef]
- Ai, Z.Y.; Wang, X.K.; Ji, W.T. Transient analysis of monopiles embedded in layered saturated soils under vertical excitations. Comput. Geotech. 2023, 155, 105225. [Google Scholar] [CrossRef]
- Li, Y.; Ai, Z.Y. Transient analysis of a fixed-head pile group in multi-layered transversely isotropic media due to horizontal loadings. Comput. Geotech. 2020, 127, 103772. [Google Scholar] [CrossRef]
- Li, Y.; Ai, Z.Y. Horizontal transient response of a pile group partially embedded in multilayered transversely isotropic soils. Acta Geotech. 2021, 16, 335–346. [Google Scholar] [CrossRef]
- Yang, Z.; Zou, X.; Zhou, M.; Huang, L. Effect of the connection mode on the dynamic characteristics of the pile-wheel composite foundation for offshore wind turbines. Comput. Geotech. 2025, 177, 106908. [Google Scholar] [CrossRef]
- Wang, B.; Wang, P.; Zhao, M.; Du, X. Three-dimensional fully coupled analytical solution for a water-pile-saturated soil system under vertical P-wave incident. Appl. Math. Model. 2025, 138, 115825. [Google Scholar] [CrossRef]
- El Naggar, M.H.; Novak, M. Non-linear model for dynamic axial pile response. J. Geotech. Eng. 1994, 120, 308–329. [Google Scholar] [CrossRef]
- El Naggar, M.H.; Novak, M. Nonlinear axial interaction in pile dynamics. J. Geotech. Eng. 1994, 120, 678–696. [Google Scholar] [CrossRef]
- El Naggar, M.H.; Novak, M. Nonlinear lateral interaction in pile dynamics. Soil Dyn. Earthq. Eng. 1995, 14, 141–157. [Google Scholar] [CrossRef]
- Han, Y.C.; Sabin, G.C.W. Impedances for radially inhomogeneous viscoelastic soil media. J. Eng. Mech. 1995, 121, 939–947. [Google Scholar] [CrossRef]
- Han, Y.C. Dynamic vertical response of piles in nonlinear soil. J. Geotech. Geoenviron. Eng. 1997, 123, 710–716. [Google Scholar] [CrossRef]
- Tham, L.G.; Chu, C.K.; Lei, Z.X. Analysis of the transient response of vertically loaded single piles by time-domain BEM. Comput. Geotech. 1996, 19, 117–136. [Google Scholar] [CrossRef]
- Cheung, Y.K.; Tham, L.G.; Lei, Z.X. Transient response of single piles under horizontal excitations. Earthq. Eng. Struct. Dyn. 1995, 24, 1017–1038. [Google Scholar] [CrossRef]
- Nogami, T.; Konagai, K. Time domain axial response of dynamically loaded single piles. J. Eng. Mech. 1986, 112, 1241–1252. [Google Scholar] [CrossRef]
- Novak, M.; Aboul-Ella, F.; Nogami, T. Dynamic soil reactions for plane strain case. J. Eng. Mech. Div. 1978, 104, 953–959. [Google Scholar] [CrossRef]
- Nogami, T.; Konagai, K. Time domain flexural response of dynamically loaded single piles. J. Eng. Mech. 1988, 114, 1512–1525. [Google Scholar] [CrossRef]
- Stacul, S.; Squeglia, N. Simplified assessment of pile-head kinematic demand in layered soil. Soil Dyn. Earthq. Eng. 2020, 130, 105975. [Google Scholar] [CrossRef]
- Mokwa, R.L.; Duncan, J.M. Rotational restraint of pile caps during lateral loading. J. Geotech. Geoenviron. Eng. ASCE 2003, 129, 829–837. [Google Scholar] [CrossRef]
- Catal, H.H. Free vibration of semi-rigid connected and partially embedded piles with the effects of the bending moment, axial and shear force. Eng. Struct. 2006, 28, 1911–1918. [Google Scholar] [CrossRef]
- Sadek, M.; Shahrour, I. Influence of the head and tip connection on the seismic performance of micropiles. Soil Dyn. Earthq. Eng. 2006, 26, 461–468. [Google Scholar] [CrossRef]
- Jiang, L.; Kong, L.; Lin, G.; CHEN, Y. Simplified method of laterally loaded single piles with partial pile head fixity. Eng. Mech. 2014, 31, 63–69. [Google Scholar]
- Yang, Z.; Wu, W.; Liu, H.; Zhang, Y.; Liang, R. Flexible support of a pile embedded in unsaturated soil under Rayleigh waves. Earthq. Eng. Struct. Dyn. 2023, 52, 226–247. [Google Scholar] [CrossRef]
- Li, Y.; Sun, X.; Wu, M. Dynamic response analysis of bridge pier under vehicle collision. Sci. Technol. Eng. 2021, 21, 2471–2478. [Google Scholar]
- Biot, M.A. Theory of propagation of elastic waves in a fluid-saturated porous solid.I. Low-frequency range. J. Acoust. Soc. Am. 1956, 28, 168–178. [Google Scholar] [CrossRef]
- Chen, Y.; Wang, H. Analysis on lateral dynamic response of a pile with the method of reverberation ray matrix. Chin. J. Geotechnocal Eng. 2002, 24, 271–275. [Google Scholar]
- Rong, C.; Hai-Tao, Z.; Song-Tao, X.; He-Sheng, T.; Yuan-Gong, W. Analysis on transverse impact response of an unrestrained Timoshenko beam. Appl. Math. Mech. 2004, 25, 1195–1202. [Google Scholar] [CrossRef]
- Shang, S.; Yu, J.; Wang, H.; Ren, H. Horizontal vibration of piles in saturated soil. Chin. J. Geotech. Eng. 2007, 11, 1696–1702. [Google Scholar]
- Kishi, N.; Chen, W.F.; Goto, Y.; Matsuoka, K.G. Applicability of three-parameter power model to structural analysis of flexibly jointed frames. Mech. Comput. 1991, 20, 238–242. [Google Scholar]
- Ding, X.; Liu, H.; Kong, G.; Zheng, C. Time-domain analysis of velo city waves in a pipe pile due to a transient point load. Comput. Geotech. 2014, 58, 101–116. [Google Scholar] [CrossRef]
- Crump, K.S. Numerical inversion of Laplace transforms using a Fourier series approximation. J. ACM 1976, 23, 89–96. [Google Scholar] [CrossRef]
- Chang, X.M.; Gao, F.; Lu, Z.T.; Long, L.L.; Zhang, J.; Geng, X. A study on lateral transient vibration of large diameter piles considering pile-soil interaction. Soil Dyn. Earthq. Eng. 2016, 90, 211–220. [Google Scholar] [CrossRef]
- Poulos, H.G.; Davis, E.H. Pile Foundation Analysis and Design; Wiley: New York, NY, USA, 1980. [Google Scholar]

















Disclaimer/Publisher’s Note: The statements, opinions and data contained in all publications are solely those of the individual author(s) and contributor(s) and not of MDPI and/or the editor(s). MDPI and/or the editor(s) disclaim responsibility for any injury to people or property resulting from any ideas, methods, instructions or products referred to in the content. |
© 2025 by the authors. Licensee MDPI, Basel, Switzerland. This article is an open access article distributed under the terms and conditions of the Creative Commons Attribution (CC BY) license (https://creativecommons.org/licenses/by/4.0/).
Share and Cite
Su, A.; Zhang, M.; Shang, W.; Wang, Q. Transient Horizontal Response of a Pipe Pile in Saturated Soil with a Flexible Support at the Pile Head. Appl. Sci. 2025, 15, 682. https://doi.org/10.3390/app15020682
Su A, Zhang M, Shang W, Wang Q. Transient Horizontal Response of a Pipe Pile in Saturated Soil with a Flexible Support at the Pile Head. Applied Sciences. 2025; 15(2):682. https://doi.org/10.3390/app15020682
Chicago/Turabian StyleSu, Ao, Min Zhang, Wei Shang, and Qiqi Wang. 2025. "Transient Horizontal Response of a Pipe Pile in Saturated Soil with a Flexible Support at the Pile Head" Applied Sciences 15, no. 2: 682. https://doi.org/10.3390/app15020682
APA StyleSu, A., Zhang, M., Shang, W., & Wang, Q. (2025). Transient Horizontal Response of a Pipe Pile in Saturated Soil with a Flexible Support at the Pile Head. Applied Sciences, 15(2), 682. https://doi.org/10.3390/app15020682
