Comparison of Porosity Analysis Based on X-Ray Computed Tomography on Metal Parts Produced by Additive Manufacturing
Abstract
1. Introduction
2. Materials and Methods
2.1. Samples
2.2. XCT Scan and Reconstruction
2.3. Porosity Analysis
3. Results
3.1. Scanned Samples
3.2. Porosity Analysis Approaches
3.2.1. Operator 1—Avizo
3.2.2. Operator 2—Dragonfly
3.2.3. Operator 2—ImageJ/Fiji
3.2.4. Operator 3—IPSDK Explorer
3.2.5. Operator 4—VG Studio Max
3.3. Comparison of Results
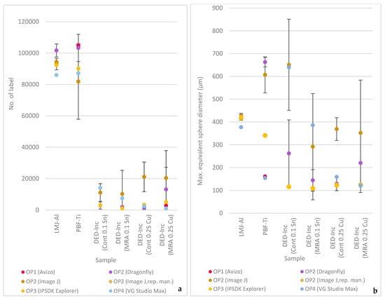
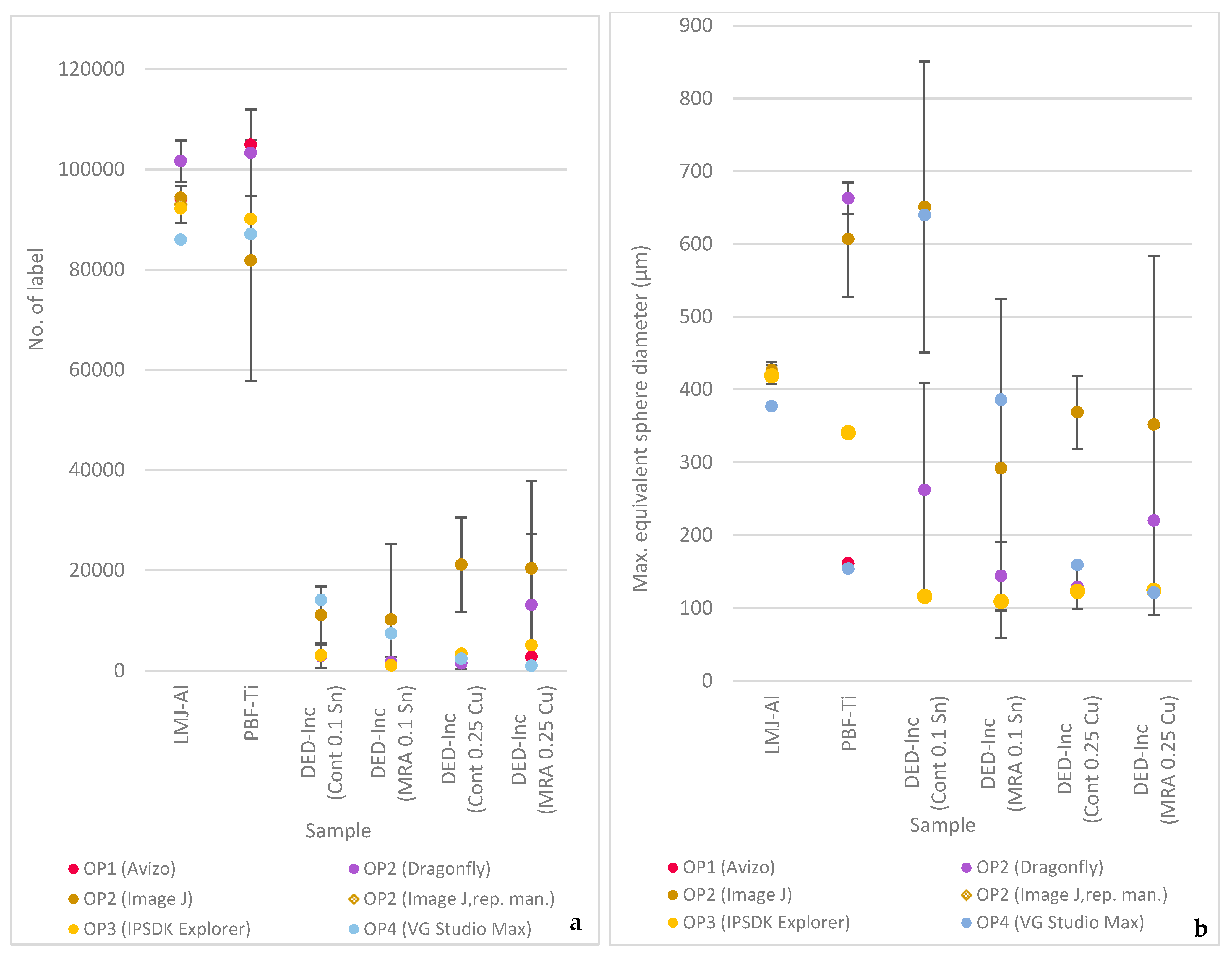
3.3.1. Segmentation
3.3.2. Porosity
3.3.3. Pore Morphology
4. Discussion
5. Conclusions
Author Contributions
Funding
Data Availability Statement
Acknowledgments
Conflicts of Interest
Appendix A
| Segmentation | Porosity (%) |
No. of Labels | ESD (µm) |
Slice Presented | |||||
|---|---|---|---|---|---|---|---|---|---|
| OP/SW | Algorithm | Threshold | Repeat | Mean (±SD) | Max | Mean | |||
| LMJ-Al | OP1 Avizo | Global manual threshold | 1500–6250 | 1.17 | 94,117 | 423 | 36.5 | ||
| OP2 Dragonfly | Global manual threshold | 2864–6187 | 1.12 | 1.21 ± 0.10 | 98,144 | 407 | 35.9 | ||
| 745–6359 | 1.25 | 103,320 | 431 | 36.2 | * | ||||
| 1432–6416 | 1.30 | 105,232 | 436 | 36.2 | |||||
| 630–6416 | 1.30 | 105,232 | 436 | 36.2 | |||||
| 917–6130 | 1.08 | 96,459 | 405 | 35.7 | |||||
| OP 2 ImageJ/Fiji | Global threshold, (Default, Iso based) | 6259–65,535 (m) | 1.18 | 94,376 | 427 | 36.6 | |||
| Global manual threshold | 6090–65,535 (m) | 1.06 | 1.14 ± 0.11 | 90,297 | 415 | 36.2 | |||
| 6146–65,535 (m) | 1.09 | 91,549 | 418 | 36.3 | |||||
| 6372–65,535 (m) | 1.27 | 97,195 | 436 | 36.8 | |||||
| OP3 IPSDK Explorer | Manual | 6171 | 1.11 | 92,249 | 419 | 36.4 | |||
| OP4 VG Studio | VGDefX | 5785.3 | 0.84 | 85,997 | 377 | 34.7 | |||
| PBF-Ti | OP1Avizo | Global manual threshold | 0–31,454 (with border kill) | 0.74 | 104,922 | 161 | 36.0 | ||
| OP2 Dragonfly | Global manual threshold | 943.95–31,460 | 0.85 | 0.73 ± 0.11 | 112,341 | 685 | 36.2 | ||
| 1078.72–31,440.84 | 0.63 | 95,038 | 643 | 34.9 | |||||
| 0.54–31,450 | 0.72 | 102,545 | 662 | 35.6 | * | ||||
| OP 2 ImageJ/Fiji | Global manual threshold | 31,395–65,535 (m) | 0.31 | 0.53 ± 0.28 | 61,636 | 540 | 31.9 | ||
| 31,458–65,535 (m) | 0.85 | 108,497 | 695 | 36.2 | |||||
| 31,416–65,535 (m) | 0.43 | 75,471 | 586 | 33.3 | * | ||||
| OP3 IPSDK Explorer | 3D top-hat (Closing 12), subtract, manual threshold | ≤ 127 | 1.24 | 119,810 | 168 | 40.3 | |||
| 3D top-hat (Closing 12), subtract, automatic threshold | ≤160 | 0.55 | 90,115 | 341 | 34.4 | ||||
| OP4 VG Studio | VGDefX | 31,432.3 | 0.53 | 87,070 | 154 | 34.4 | |||
| DED-Inc (MRA 0.25 Cu) | OP1 Avizo | Global manual threshold | 0–11,143 (with border kill) | 0.03 | 2830 | 124 | 28.4 | ||
| OP2 Dragonfly | Global manual threshold | 0.93–11,393 | 0.04 | 0.07 ± 0.06 | 8346 | 169 | 23.4 | * | |
| 0.93–11,151 | 0.02 | 2176 | 125 | 28.7 | |||||
| 0.93–11,635 | 0.14 | 28,973 | 367 | 23.0 | |||||
| OP 2 ImageJ/Fiji | Global manual threshold | 10,509–65,535 (m) | 0.01 | 0.12 ± 0.09 | 646 | 114 | 37.4 | ||
| 11,627–65,535 (m) | 0.14 | 26,630 | 364 | 23.0 | * | ||||
| 11,684–65,535 (m) | 0.19 | 33,883 | 578 | 22.9 | |||||
| OP3 IPSDK Explorer | 3D top-hat (Closing 12), subtract, manual threshold | 2623–15,141 | 0.04 | 5126 | 124 | 24.6 | |||
| OP4 VG Studio | VGDefX | 10,920 | 0.02 | 1031 | 121 | 35.3 | |||
References
- Baumgärtner, B.; Hussein, J.; Hausotte, T. Investigation of the Shape and Detectability of Pores with X-Ray Computed Tomography. J. Manuf. Mater. Process. 2023, 7, 103. [Google Scholar] [CrossRef]
- Du Plessis, A.; Sperling, P.; Beerlink, A.; Tshabalala, L.; Hoosain, S.; Mathe, N.; Le Roux, S.G. Standard Method for microCT-Based Additive Manufacturing Quality Control 1: Porosity Analysis. MethodsX 2018, 5, 1102–1110. [Google Scholar] [CrossRef] [PubMed]
- Svetlizky, D.; Das, M.; Zheng, B.; Vyatskikh, A.L.; Bose, S.; Bandyopadhyay, A.; Schoenung, J.M.; Lavernia, E.J.; Eliaz, N. Directed Energy Deposition (DED) Additive Manufacturing: Physical Characteristics, Defects, Challenges and Applications. Mater. Today 2021, 49, 271–295. [Google Scholar] [CrossRef]
- Armstrong, M.; Mehrabi, H.; Naveed, N. An Overview of Modern Metal Additive Manufacturing Technology. J. Manuf. Process. 2022, 84, 1001–1029. [Google Scholar] [CrossRef]
- Snell, R.; Tammas-Williams, S.; Chechik, L.; Lyle, A.; Hernández-Nava, E.; Boig, C.; Panoutsos, G.; Todd, I. Methods for Rapid Pore Classification in Metal Additive Manufacturing. JOM 2020, 72, 101–109. [Google Scholar] [CrossRef]
- Sola, A.; Nouri, A. Microstructural Porosity in Additive Manufacturing: The Formation and Detection of Pores in Metal Parts Fabricated by Powder Bed Fusion. J. Adv. Manuf. Process. 2019, 1, e10021. [Google Scholar] [CrossRef]
- Zhang, K.; Chen, Y.; Marussi, S.; Fan, X.; Fitzpatrick, M.; Bhagavath, S.; Majkut, M.; Lukic, B.; Jakata, K.; Rack, A.; et al. Pore Evolution Mechanisms during Directed Energy Deposition Additive Manufacturing. Nat. Commun. 2024, 15, 1715. [Google Scholar] [CrossRef]
- Watkins, N.N.; Traxel, K.D.; Wilson-Heid, A.E.; Reeve, T.C.; Silva, C.M.; Jeffries, J.R.; Pascall, A.J. Process-Structure-Property Relationships for Droplet-on-Demand Liquid-Metal-Jetted Parts. Addit. Manuf. 2023, 73, 103709. [Google Scholar] [CrossRef]
- Ansell, T.Y. Current Status of Liquid Metal Printing. J. Manuf. Mater. Process. 2021, 5, 31. [Google Scholar] [CrossRef]
- Traxel, K.D.; Elton, E.S.; Petersen, A.M.; Silva, C.M.; Perron, A.; Jeffries, J.R.; Pascall, A.J. Processing and Microstructure of a Cu-Al-Fe-Mn Alloy via Droplet-on-Demand Additive Manufacturing. Mater. Des. 2024, 237, 112544. [Google Scholar] [CrossRef]
- Kirchebner, B.; Traxel, K.D.; Wilson-Heid, A.E.; Elton, E.S.; Pascall, A.J.; Jeffries, J.R. Molten Metal Jetting for Repairing Aluminum Components. Addit. Manuf. Lett. 2024, 11, 100259. [Google Scholar] [CrossRef]
- Jaques, V.A.J.; Plessis, A.D.; Zemek, M.; Šalplachta, J.; Stubianová, Z.; Zikmund, T.; Kaiser, J. Review of Porosity Uncertainty Estimation Methods in Computed Tomography Dataset. Meas. Sci. Technol. 2021, 32, 122001. [Google Scholar] [CrossRef]
- Heinzl, C.; Amirkhanov, A.; Kastner, J. Processing, Analysis and Visualization of CT Data. In Industrial X-Ray Computed Tomography; Carmignato, S., Dewulf, W., Leach, R., Eds.; Springer International Publishing: Cham, Switzerland, 2018; pp. 99–142. ISBN 978-3-319-59571-9. [Google Scholar]
- Carvalho, L.E.; Sobieranski, A.C.; Von Wangenheim, A. 3D Segmentation Algorithms for Computerized Tomographic Imaging: A Systematic Literature Review. J. Digit. Imaging 2018, 31, 799–850. [Google Scholar] [CrossRef] [PubMed]
- Wang, D.; Han, H.; Sa, B.; Li, K.; Yan, J.; Zhang, J.; Liu, J.; He, Z.; Wang, N.; Yan, M.; et al. A Review and a Statistical Analysis of Porosity in Metals Additively Manufactured by Laser Powder Bed Fusion. Opto-Electron. Adv. 2022, 5, 210058. [Google Scholar] [CrossRef]
- Du Plessis, A.; Le Roux, S.G.; Waller, J.; Sperling, P.; Achilles, N.; Beerlink, A.; Métayer, J.-F.; Sinico, M.; Probst, G.; Dewulf, W.; et al. Laboratory X-Ray Tomography for Metal Additive Manufacturing: Round Robin Test. Addit. Manuf. 2019, 30, 100837. [Google Scholar] [CrossRef]
- Wu, Z.; Patridge, J.P.; Juhasz, M.J.; Ashby, A.; Calta, N.P. Multi-Layer in-Situ Photodiode Assisted Flaw Detection and Fatigue Assessment in Laser Powder Bed Fusion. In Proceedings of the TMS 2025 Annual Meeting & Exhibition (TMS2025), Las Vegas, NV, USA, 23–27 March 2025. [Google Scholar]
- Wedekind, M.; Castillo, S.; Magnor, M. Feature-Sensitive Ring Artifact Correction for Computed Tomography. J. Nondestruct. Eval. 2023, 42, 5. [Google Scholar] [CrossRef]
- Nikon Metrology. X-Tek X-Ray and CT Inspection—Inspect-X 5.2-Getting Started Guide XTM0548-A1.
- Houghton, J.E.; Behnsen, J.; Duller, R.A.; Nichols, T.E.; Worden, R.H. Particle Size Analysis: A Comparison of Laboratory-Based Techniques and Their Application to Geoscience. Sediment. Geol. 2024, 464, 106607. [Google Scholar] [CrossRef]
- JCGM 100:2008; Evaluation of Measurement Data—Guide to the Expression of Uncertainty in Measurement. 2008. [CrossRef]
- Du Plessis, A. Application Note: Dragonfly Basic Automated Porosity Analysis for Additively Manufactured Parts. Available online: https://dragonfly.comet.tech/getmedia/c6d4a904-9ace-46dd-b0a7-08bfe56999b9/DF_Application_Note_Additive_Manufacturing_Automated_Porosity_Analysis.pdf?disposition=attachment (accessed on 23 April 2025).
- Schindelin, J.; Arganda-Carreras, I.; Frise, E.; Kaynig, V.; Longair, M.; Pietzsch, T.; Preibisch, S.; Rueden, S.; Saalfeld, S.; Schmid, B.; et al. Fiji: An open-source platform for biological-image analysis. Nat. Methods 2012, 9, 676–682. [Google Scholar] [CrossRef]
- Ferreira, T.; Rasband, W. ImageJ User Guide ImageJ/Fiji 1.46r 2012. Available online: https://imagej.net/ij/docs/guide/ (accessed on 25 November 2024).
- Doube, M.; Kłosowski, M.M.; Arganda-Carreras, I.; Cordelières, F.P.; Dougherty, R.P.; Jackson, J.S.; Schmid, B.; Hutchinson, J.R.; Shefelbine, S.J. BoneJ: Free and Extensible Bone Image Analysis in ImageJ. Bone 2010, 47, 1076–1079. [Google Scholar] [CrossRef]
- Doube, M. BoneJ Particle Analyser 2004–2025. Available online: https://bonej.org/particles (accessed on 29 November 2024).
- Ledwaba, T.; Steenkamp, C.; Moore, K.; Kouprianoff, D.; Du Plessis, A. X-Ray Computed Tomography-Based Porosity Segmentation in Additive Manufacturing: Comparison of Traditional and AI Approaches. MATEC Web Conf. 2024, 406, 05011. [Google Scholar] [CrossRef]
- Baveye, P.C.; Laba, M.; Otten, W.; Bouckaert, L.; Dello Sterpaio, P.; Goswami, R.R.; Grinev, D.; Houston, A.; Hu, Y.; Liu, J.; et al. Observer-Dependent Variability of the Thresholding Step in the Quantitative Analysis of Soil Images and X-Ray Microtomography Data. Geoderma 2010, 157, 51–63. [Google Scholar] [CrossRef]















| Sample | Voltage (kV) | Current (µA) | Power (W) | Filter (mm) | Acquisition Mode | Exposure Time (s) | Frames per Projection | SOD (mm) | SDD (mm) | Scan Duration (h) |
|---|---|---|---|---|---|---|---|---|---|---|
| LMJ-Al | 200 | 30 | 6 | 1.5 Al | standard | 2 | 4 | 35.4 | 1180.0 | 10.5 |
| PBF-Ti | 220 | 27 | 5.9 | 0.5 Cu | MRA | 4 | 2 | 35.3 | 1175.8 | 14 |
| DED-Inc | 220 | 25 | 5.5 | 0.1 Sn | MRA | 4 | 1 | 35.3 | 1175.8 | 10.5 |
| continuous | 3.5 | |||||||||
| 23 | 5.1 | 0.25 Cu | MRA | 10.5 | ||||||
| continuous | 3.5 |
| LMJ-Al | PBF-Ti | DED-Inc (Cont., 0.1 mm Sn) | |
|---|---|---|---|
| top view | ![]() | ![]() | ![]() |
| lateral view | ![]() | ![]() | ![]() |
| histogramm | ![]() | ![]() | ![]() |
| Cont 0.1 mm Sn | MRA 0.1 mm Sn | Cont 0.25 mm Cu | MRA 0.25 mm Cu | |
|---|---|---|---|---|
| top view | ![]() | ![]() | ![]() | ![]() |
| lateral view | ![]() | ![]() | ![]() | ![]() |
| histogram | ![]() | ![]() | ![]() | ![]() |
| Upper + Lower Otsu | Basic Otsu | Advanced Otsu | Sobel Threshold | Manual | |
|---|---|---|---|---|---|
| Pore 1 | ![]() | ![]() | ![]() | ![]() | ![]() |
| Pore 2 | ![]() | ![]() | ![]() | ![]() | ![]() |
| Porosity | 1.16% | 0.05% | 0.80% | 1.83% | 1.21 ± 0.10% |
| Operator (OP)/ Software | LMJ-Al | PBF-Ti | DED-Inc (MRA 0.25 mm Cu) | |
|---|---|---|---|---|
| Pore 1 | Pore 2 | |||
| Original | ![]() | ![]() | ![]() | ![]() |
| OP1 Avizo | ![]() | ![]() | ![]() | ![]() |
| OP2 Dragonfly | ![]() | ![]() | ![]() | ![]() |
| OP2 ImageJ/Fiji | ![]() | ![]() | ![]() | ![]() |
![]() | ![]() | ![]() | ![]() | |
| OP3 ISDK Explorer | ![]() | ![]() | ![]() | ![]() |
| OP 4 VG Studio Max | ![]() | ![]() | ![]() | ![]() |
| LMJ-Al | LMJ-Al (excl. Outlier) | PBF-Ti | PBF-Ti (excl. Outlier) | DED-Inc | ||||
|---|---|---|---|---|---|---|---|---|
| Cont 0.1 Sn | MRA 0.1 Sn | Cont 0.25 Cu | MRA 0.25 Cu | |||||
| Pmean (%) | 1.1 | 1.2 | 0.7 | 0.6 | 0.09 | 0.03 | 0.05 | 0.05 |
| u | 0.14 | 0.04 | 0.27 | 0.11 | 0.07 | 0.02 | 0.04 | 0.04 |
| rel. u | 12.3% | 3.3% | 37.9% | 17.9% | 81.5% | 70% | 88.7% | 71.1% |
| u2 | 0.02 | 0.001 | 0.07 | 0.01 | 0.005 | 0.001 | 0.002 | 0.001 |
Disclaimer/Publisher’s Note: The statements, opinions and data contained in all publications are solely those of the individual author(s) and contributor(s) and not of MDPI and/or the editor(s). MDPI and/or the editor(s) disclaim responsibility for any injury to people or property resulting from any ideas, methods, instructions or products referred to in the content. |
© 2025 by the authors. Licensee MDPI, Basel, Switzerland. This article is an open access article distributed under the terms and conditions of the Creative Commons Attribution (CC BY) license (https://creativecommons.org/licenses/by/4.0/).
Share and Cite
Wilbig, J.; Wilson-Heid, A.E.; Bernard, L.; Baptista, J.; Obaton, A.-F. Comparison of Porosity Analysis Based on X-Ray Computed Tomography on Metal Parts Produced by Additive Manufacturing. Appl. Sci. 2025, 15, 9876. https://doi.org/10.3390/app15189876
Wilbig J, Wilson-Heid AE, Bernard L, Baptista J, Obaton A-F. Comparison of Porosity Analysis Based on X-Ray Computed Tomography on Metal Parts Produced by Additive Manufacturing. Applied Sciences. 2025; 15(18):9876. https://doi.org/10.3390/app15189876
Chicago/Turabian StyleWilbig, Janka, Alexander E. Wilson-Heid, Laurent Bernard, Joseph Baptista, and Anne-Françoise Obaton. 2025. "Comparison of Porosity Analysis Based on X-Ray Computed Tomography on Metal Parts Produced by Additive Manufacturing" Applied Sciences 15, no. 18: 9876. https://doi.org/10.3390/app15189876
APA StyleWilbig, J., Wilson-Heid, A. E., Bernard, L., Baptista, J., & Obaton, A.-F. (2025). Comparison of Porosity Analysis Based on X-Ray Computed Tomography on Metal Parts Produced by Additive Manufacturing. Applied Sciences, 15(18), 9876. https://doi.org/10.3390/app15189876




























































