Ventilation Strategies to Ensure Thermal Comfort for Users in School Buildings: A Critical Review
Abstract
1. Introduction
2. Materials and Methods
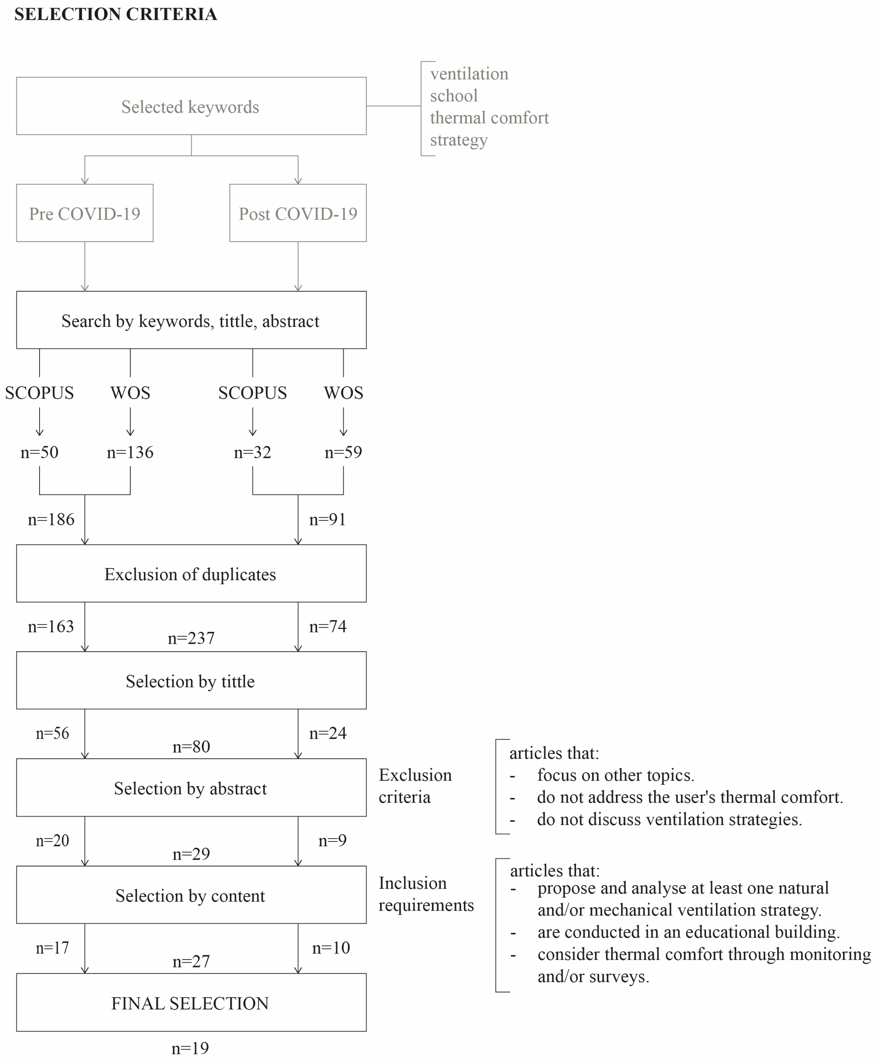
2.1. Search Criteria
- “ventilation” OR “indoor air” OR “air renovation” OR “airflow”
- “school” OR “university” OR “educational building” OR “classroom”
- “thermal comfort” OR “occupant comfort” OR “environmental comfort” OR “indoor comfort” OR “environmental quality”
- “strategy” OR “technique” OR “methodology” OR “model” OR “mode” OR “design”
2.2. Selection Criteria
- propose and analyze at least one natural and/or mechanical ventilation strategy.
- are conducted in an educational building.
- consider thermal comfort through monitoring and/or surveys.
3. Results
3.1. Natural Ventilation Strategies
3.2. Mechanical Ventilation Strategies
3.3. Hybrid Ventilation Strategies
3.4. Protocols Used
4. Discussion
5. Conclusions
Author Contributions
Funding
Institutional Review Board Statement
Informed Consent Statement
Data Availability Statement
Conflicts of Interest
References
- World Health Organization. Ambient (Outdoor) Air Pollution. Available online: https://www.who.int/health-topics/air-pollution#tab=tab_1 (accessed on 23 June 2024).
- Krismanuel, H.; Hairunisa, N. The Effects of Air Pollution on Respiratory Problems: A Systematic Review. Poltekita J. Ilmu Kesehat. 2024, 18, 1–15. [Google Scholar] [CrossRef]
- Brook, R.D.; Franklin, B.; Cascio, W.; Hong, Y.L.; Howard, G.; Lipsett, M.; Luepker, R.; Mittleman, M.; Samet, J.; Smith, S.C.; et al. Air pollution and cardiovascular disease—A statement for healthcare professionals from the expert panel on population and prevention science of the American Heart Association. Circulation 2004, 109, 2655–2671. [Google Scholar] [CrossRef] [PubMed]
- Suzuki, T.; Hidaka, T.; Kumagai, Y.; Yamamoto, M. Environmental pollutants and the immune response. Nat. Immunol. 2020, 21, 1486–1495. [Google Scholar] [CrossRef] [PubMed]
- Calderón-Garcidueñas, L.; Azzarelli, B.; Acuna, H.; Garcia, R.; Gambling, T.M.; Osnaya, N.; Monroy, S.; Tizapantzi, M.R.; Carson, J.L.; Villarreal-Calderon, A.; et al. Air pollution and brain damage. Toxicol Pathol. 2002, 30, 373–389. [Google Scholar] [CrossRef] [PubMed]
- Raju, S.; Siddharthan, T.; McCormack, M.C. Indoor Air Pollution and Respiratory Health. Clin. Chest Med. 2020, 41, 825–843. [Google Scholar] [CrossRef]
- Park, J.; Kim, H.-J.; Lee, C.H.; Lee, H.W. Impact of long-term exposure to ambient air pollution on the incidence of chronic obstructive pulmonary disease: A systematic review and meta-analysis. Environ. Res. 2021, 194, 110703. [Google Scholar] [CrossRef]
- Tahery, N.; Zarea, K.; Cheraghi, M.; Hatamzadeh, N.; Farhadi, M.; Dobaradarn, S.; Mohammadi, M.J. Chronic Obstructive Pulmonary Disease (COPD) and Air Pollution: A Review. Jundishapur J. Chronic Dis. Care 2021, 10, 110273. [Google Scholar] [CrossRef]
- Shahzad, S.; Torres, S.G.; Rijal, H.B.; Nicol, F. Lack of Thermal Comfort Is a Matter of Life and Death: A Systematic Review for Older People. Buildings 2025, 15, 1141. [Google Scholar] [CrossRef]
- Bunker, A.; Wildenhain, J.; Vandenbergh, A.; Henschke, N.; Rocklöv, J.; Hajat, S.; Sauerborn, R. Effects of Air Temperature on Climate-Sensitive Mortality and Morbidity Outcomes in the Elderly; a Systematic Review and Meta-analysis of Epidemiological Evidence. EBioMedicine 2016, 6, 258–268. [Google Scholar] [CrossRef]
- Liu, W.; Wu, Y.; Shi, L.; Li, J.; Wang, Z.; Tian, X. The relationship between thermal comfort, performance, and electroencephalogram during cognitive tests at normal indoor temperatures in summer. Build. Environ. 2024, 257, 111567. [Google Scholar] [CrossRef]
- Singh, M.K.; Ooka, R.; Rijal, H.B.; Kumar, S.; Kumar, A.; Mahapatra, S. Progress in thermal comfort studies in classrooms over last 50 years and way forward. Energy Build. 2019, 188–189, 149–174. [Google Scholar] [CrossRef]
- Midouhas, E.; Kokosi, T.; Flouri, E. Outdoor and indoor air quality and cognitive ability in young children. Environ. Res. 2018, 161, 321–328. [Google Scholar] [CrossRef]
- Bakó-Biró, Z.; Clements-Croome, D.; Kochhar, N.; Awbi, H.; Williams, M. Ventilation rates in schools and pupils’ performance. Build. Environ. 2012, 48, 215–223. [Google Scholar] [CrossRef]
- Mendell, M.J.; Eliseeva, E.A.; Davies, M.M.; Spears, M.; Lobscheid, A.; Fisk, W.J.; Apte, M.G. Association of classroom ventilation with reduced illness absence: A prospective study in California elementary schools. Indoor Air 2013, 23, 515–528. [Google Scholar] [CrossRef] [PubMed]
- Wargocki, P.; Wyon, D.P. Providing better thermal and air quality conditions in school classrooms would be cost-effective. Build. Environ. 2013, 59, 581–589. [Google Scholar] [CrossRef]
- Stabile, L.; Pacitto, A.; Mikszewski, A.; Morawska, L.; Buonanno, G. Ventilation procedures to minimize the airborne transmission of viruses in classrooms. Build. Environ. 2021, 202, 108042. [Google Scholar] [CrossRef] [PubMed]
- Ferrari, S.; Blázquez, T.; Cardelli, R.; Puglisi, G.; Suárez, R.; Mazzarella, L. Ventilation strategies to reduce airborne transmission of viruses in classrooms: A systematic review of scientific literature. Build. Environ. 2022, 222, 109366. [Google Scholar] [CrossRef]
- IPCC—Intergovernmental Panel on Climate Change. Available online: http://www.ipcc.ch/ (accessed on 11 January 2025).
- Santamouris, M.; Kolokotsa, D. On the impact of urban overheating and extreme climatic conditions on housing, energy, comfort and environmental quality of vulnerable population in Europe. Energy Build. 2015, 98, 125–133. [Google Scholar] [CrossRef]
- Stazi, F.; Tomassoni, E.; Di Perna, C. Super-insulated wooden envelopes in Mediterranean climate: Summer overheating, thermal comfort optimization, environmental impact on an Italian case study. Energy Build. 2017, 138, 716–732. [Google Scholar] [CrossRef]
- Parry, M.L.; Canziani, O.F.; Palutikof, J.P.; Van Der Linden, P.J.; Hanson, C.E. IPCC, 2007: Climate Change 2007: Impacts, Adaptation and Vulnerability. Contribution of Working Group II to the Fourth Assessment Report of the Intergovernmental Panel on Climate Change; Cambridge University Press: Cambridge, UK, 2007. [Google Scholar]
- Lomas, K.J.; Porritt, S.M. Overheating in buildings: Lessons from research. Build. Res. Inf. 2017, 45, 1–18. [Google Scholar] [CrossRef]
- European Parliament and Council of the European Union. Directive (EU) 2018/844 of the European Parliament and of the Council of 30 May 2018 amending Directive 2010/31/EU on the energy performance of buildings and Directive 2012/27/EU on energy efficiency (Text with EEA relevance). Off. J. Eur. Union 2018, L156, 75–91. [Google Scholar]
- Homod, R.Z.; Sahari, K.S.M.; Almurib, H.A. Energy saving by integrated control of natural ventilation and HVAC systems using model guide for comparison. Renew. Energy 2014, 71, 639–650. [Google Scholar] [CrossRef]
- Brambilla, A.; Bonvin, J.; Flourentzou, F.; Jusselme, T. On the Influence of Thermal Mass and Natural Ventilation on Overheating Risk in Offices. Buildings 2018, 8, 47. [Google Scholar] [CrossRef]
- Hampo, C.C.; Schinasi, L.H.; Hoque, S. Surviving indoor heat stress in United States: A comprehensive review exploring the impact of overheating on the thermal comfort, health, and social economic factors of occupants. Heliyon 2024, 10, e25801. [Google Scholar] [CrossRef] [PubMed]
- Stazi, F.; Naspi, F.; D’Orazio, M. Modelling window status in school classrooms. Results from a case study in Italy. Build. Environ. 2017, 111, 24–32. [Google Scholar] [CrossRef]
- Guo, F.; Chen, Z.; Wang, J. Effect of Dynamic Window Opening Behaviors on Indoor Thermal Environment and Energy Consumption in Residential Buildings of Different Chinese Thermal Climate Zones. Buildings 2025, 15, 28. [Google Scholar] [CrossRef]
- Chatzidiakou, L.; Mumovic, D.; Summerfield, A. Is CO2 a good proxy for indoor air quality in classrooms? Part 1: The interrelationships between thermal conditions, CO2 levels, ventilation rates and selected indoor pollutants. Build. Serv. Eng. Res. Technol. 2015, 36, 129–161. [Google Scholar] [CrossRef]
- Hui, P.; Wong, L.; Mui, K. Using Carbon Dioxide Concentration to Assess Indoor Air Quality in Offices. Indoor Built Environ. 2008, 17, 213–219. [Google Scholar] [CrossRef]
- Di Gilio, A.; Palmisani, J.; Pulimeno, M.; Cerino, F.; Cacace, M.; Miani, A.; de Gennaro, G. CO2 concentration monitoring inside educational buildings as a strategic tool to reduce the risk of SARS-CoV-2 airborne transmission. Environ. Res. 2021, 202, 111560. [Google Scholar] [CrossRef]
- Park, S.; Song, D. CO2 concentration as an indicator of indoor ventilation performance to control airborne transmission of SARS-CoV-2. J. Infect. Public Health 2023, 16, 1037–1044. [Google Scholar] [CrossRef]
- ISO 7730:2005; Ergonomics of the Thermal Environment—Analytical Determination and Interpretation of Thermal Comfort Using Calculation of the PMV and PPD Indices and Local Thermal Comfort Criteria. AENOR: Madrid, Spain, 2005.
- Jia, L.-R.; Han, J.; Chen, X.; Li, Q.-Y.; Lee, C.-C.; Fung, Y.-H. Interaction between Thermal Comfort, Indoor Air Quality and Comprehensive Review. Builings 2021, 11, 591. [Google Scholar]
- Bienvenido-Huertas, D.; de la Hoz-Torres, M.L.; Aguilar, A.J.; Tejedor, B.; Sánchez-García, D. Holistic overview of natural ventilation and mixed mode in built environment of warm climate zones and hot seasons. Build. Environ. 2023, 245, 110942. [Google Scholar] [CrossRef]
- de Abreu-Harbich, L.V.; Chaves, V.L.; Brandstetter, M.C.G. Evaluation of strategies that improve the thermal comfort and energy saving of a classroom of an institutional building in a tropical climate. Build. Environ. 2018, 135, 257–268. [Google Scholar] [CrossRef]
- Dhalluin, A.; Limam, K. Comparison of natural and hybrid ventilation strategies used in classrooms in terms of indoor environmental quality, comfort and energy savings. Indoor Built Environ. 2014, 23, 527–542. [Google Scholar] [CrossRef]
- Heracleous, C.; Michael, A. Experimental assessment of the impact of natural ventilation on indoor air quality and thermal comfort conditions of educational buildings in the Eastern Mediterranean region during the heating period. J. Build. Eng. 2019, 26, 100917. [Google Scholar] [CrossRef]
- Heracleous, C.; Michael, A. Thermal comfort models and perception of users in free-running school buildings of East-Mediterranean region. Energy Build. 2020, 215, 109912. [Google Scholar] [CrossRef]
- Chitaru, G.-M.; Istrate, A.; Catalina, T. Numerical analysis of the impact of natural ventilation on the Indoor Air Quality and Thermal Comfort in a classroom. E3S Web Conf. 2019, 111, 01023. [Google Scholar] [CrossRef]
- Morshed, T. An investigation of naturally ventilated teaching spaces with windcathers in secondary school where site is constrained by noise and air pollution. Build. Simul. 2014, 7, 547–561. [Google Scholar] [CrossRef]
- Duarte, R.; Gomes, M.d.G.; Rodrigues, A.M. Classroom ventilation with manual opening of windows: Findings from a two-year-long experimental study of a Portuguese secondary school. Build. Environ. 2017, 124, 118–129. [Google Scholar] [CrossRef]
- Cablé, A.; Hammer, H.L.; Mysen, M. Comparison of Two Ventilation Control Strategies in the First Passive House Standard Norwegian School. Int. J. Vent. 2016, 14, 371–382. [Google Scholar] [CrossRef]
- Calama-González, C.M.; León-Rodríguez, Á.L.; Suárez, R. Indoor Air Quality Assessment: Comparison of Ventilation Scenarios for Retrofitting Classrooms in a Hot Climate. Energies 2019, 12, 4607. [Google Scholar] [CrossRef]
- Rodríguez-Vidal, I.; Otaegi, J.; Armengod, U. Evaluating the Feasibility of Hybrid Ventilation in Educational Spaces: A Simulation Study in the Basque Country Climate. Sci. J. Riga Tech. Univ. Environ. Clim. Technol. 2023, 27, 532–544. [Google Scholar] [CrossRef]
- Miranda, M.; Romero, P.; Valero-Amaro, V.; Arranz, J.; Montero, I. Ventilation conditions and their influence on thermal comfort in examination classrooms in times of COVID-19. A case study in a Spanish area with Mediterranean climate. Int. J. Hyg. Environ. Health 2022, 240, 113910. [Google Scholar] [CrossRef] [PubMed]
- Pollozhani, F.; McLeod, R.S.; Schwarzbauer, C.; Hopfe, C.J. Assessing school ventilation strategies from the perspective of health, environment, and energy. Appl. Energy 2024, 353, 121961. [Google Scholar] [CrossRef]
- Di Perna, C.; Mengaroni, E.; Fuselli, L.; Stazi, A. Ventilation Strategies in School Buildings for Optimization of Air Quality, Energy Consumption and Environmental Comfort in Mediterranean Climates. Int. J. Vent. 2011, 10, 61–78. [Google Scholar] [CrossRef]
- Stabile, L.; Buonanno, G.; Frattolillo, A.; Dell’isola, M. The effect of the ventilation retrofit in a school on CO2, airborne particles, and energy consumptions. Build. Environ. 2019, 156, 1–11. [Google Scholar] [CrossRef]
- Ma’Bdeh, S.N.; Al-Zghoul, A.; Alradaideh, T.; Bataineh, A.; Ahmad, S. Simulation study for natural ventilation retrofitting techniques in educational classrooms—A case study. Heliyon 2020, 6, e05171. [Google Scholar] [CrossRef]
- Ogbuagu, T.-C.C.; Linden, E.; MacCutcheon, D.; Nilsson, E.; Persson, T.; Kabanshi, A. On the Performance of Diffuse Ceiling Ventilation in Classrooms: A Pre-Occupancy Study at a School in Southern Sweden. Sustainability 2023, 15, 2546. [Google Scholar] [CrossRef]
- Hama, S.; Kumar, P.; Tiwari, A.; Wang, Y.; Linden, P.F. The underpinning factors affecting the classroom air quality, thermal comfort and ventilation in 30 classrooms of primary schools in London. Environ. Res. 2023, 236, 116863. [Google Scholar] [CrossRef]
- Miao, S.; Gangolells, M.; Tejedor, B. A Comprehensive Assessment of Indoor Air Quality and Thermal Comfort in Educational Buildings in the Mediterranean Climate. Indoor Air 2023, 2023, 6649829. [Google Scholar] [CrossRef]
- Haddad, S.; Synnefa, A.; Marcos, M.Á.P.; Paolini, R.; Delrue, S.; Prasad, D.; Santamouris, M. On the potential of demand-controlled ventilation system to enhance indoor air quality and thermal condition in Australian school classrooms. Energy Build. 2021, 238, 110838. [Google Scholar] [CrossRef]
- UNE-EN ISO 7730:2006; [Recurso Electrónico]: Ergonomía del Ambiente Térmico. Determinación Analítica e Interpretación del Bienestar Térmico Mediante el Cálculo de los Índices PMV y PPD y los Criterios de Bienestar Térmico Local (ISO 7730:2005). Asociación Española de Normalización y Certificación. AENOR: Madrid, Spain, 2006.
- UNE-EN 16798-1:2020; Energy Performance of Buildings. Ventilation for Buildings. Indoor Environmental Input Parameters for Design and Assessment of Energy Performance of Buildings Addressing Indoor Air Quality, Thermal Environment, Lighting and Acoustics—Module M1-6, Parte 1. AENOR: Madrid, Spain, 2020.








| Causes of discomfort | 6 |
| Changes or study of the building envelope/building retrofitting | 22 |
| Energy use | 8 |
| New simulation models | 2 |
| Air quality analysis | 9 |
| User perception | 1 |
| Search | First Selection by Title | Second Selection by Abstract | Final Selection | ||
|---|---|---|---|---|---|
| SCOPUS | PRE | 50 | 31 | 14 | 13 |
| POST | 19 | 12 | 6 | 7 | |
| WOS | PRE | 113 | 25 | 6 | 4 |
| POST | 55 | 12 | 3 | 3 | |
| Total | 237 | 80 | 29 | 27 |
| Ref | Year | Location (Köppen Climatic Classification) | Type of Building | Season of the Year | Ventilation Strategy |
|---|---|---|---|---|---|
| [37] | 2018 | Goiânia, Brazil (Aw) | University | Summer |
|
| [38] | 2014 | La Rochelle, France (Cfb) | University | Summer Winter |
|
| [39] | 2019 | Nicosia, Cyprus (Bsh) | Secondary school | Winter |
|
| [40] | 2020 | Nicosia, Cyprus (Bsh) | Secondary school | Summer Winter |
|
| [41] | 2019 | Bucharest, Romania (Df) | Secondary school | Summer Winter |
|
| [42] | 2014 | United Kingdom (Cfb) | Secondary school | Summer |
|
| [43] | 2017 | Lisbon, Portugal (Csa) | Secondary school | Annually |
|
| [44] | 2016 | Drammen, Norway (Dfb) | Educational building | Winter Spring |
|
| [45] | 2019 | Seville, Spain (Csa) | Secondary school | Summer Winter Spring |
|
| [46] | 2023 | Basque Country, Spain (Cfb) | University | Summer Winter Spring |
|
| [47] | 2022 | Extremadura, Spain (Csa) | University | Winter |
|
| [48] | 2024 | Graz, Austria (Cfb) | University | Winter Spring |
|
| [49] | 2011 | Ancona, Italy (Cfa) | Technical School | Winter |
|
| [50] | 2019 | Cassino, Italy (Csa) | Primary School | Winter |
|
| [51] | 2020 | Jordan (Bsk) | University | Summer Winter |
|
| [52] | 2023 | Southern Sweden (Cfb) | Primary School | Summer |
|
| [53] | 2023 | United Kingdom (Cfb) | Educational building | Winter + Spring |
|
| [54] | 2023 | Spain (Csa) | Primary/secondary schools | Summer Winter Spring |
|
| [55] | 2021 | Sydney (Cfa) | Secondary school | Winter Spring |
|
| NV | 1. User-dependent natural ventilation: operation relies entirely on occupant behavior; users decide when to manually open or close windows, without a specific pattern. V: No need for automation systems or technical maintenance. D: High uncertainty in performance; can be ineffective during extreme weather or when users misjudge the need for ventilation. | ||
![]() | 1.a. With permanently open windows: windows remain open continuously, regardless of outdoor conditions or occupancy levels. | ||
![]() | 1.b. With irregular window opening patterns: windows are opened sporadically, based on the user’s perception (e.g., feeling warm or detecting odors). | ||
![]() | 2. User-dependent natural ventilation according to established window opening patterns: users follow predefined window opening schedules or rules, based on time of day. V: Greater predictability and potentially improved performance if users are educated. D: Still relies on consistent user behavior; may not respond in real time to changing conditions. | ||
| 3. User-independent natural ventilation with parameter control through sensors: ventilation is automatically triggered based on indoor environmental parameters. V: Reliable performance; responsive to real-time indoor air quality; reduces reliance on occupant behavior. D: Requires sensor calibration and maintenance; may have higher initial installation costs. | |||
![]() | 3.a. CO2 sensors: ventilation activates when indoor CO2 levels exceed a threshold, indicating occupancy and air quality deterioration. | ||
![]() | 3.b. Temperature sensors: ventilation responds to indoor temperature levels to maintain thermal comfort. | ||
| 4. User-independent natural ventilation based on wind and thermal gradient: utilizes natural forces such as wind pressure and stack effect to drive airflow through building openings or passive devices. V: Energy-free operation; can be highly effective if well-designed. D: Highly climate-dependent; performance varies with external conditions; complex to design for year-round effectiveness. | |||
![]() | 4.a. Windcatcher: architectural elements (typically towers) capture wind and channel it into indoor spaces, facilitating cross or downward airflow. | ||
![]() | 4.b. Stack ventilation: warm indoor air rises and exits through high-level openings, drawing in cooler outside air through lower openings. | ||
| MV | ![]() | 5. Mechanical ventilation with constant airflow: a mechanical system provides a fixed rate of air exchange regardless of occupancy or indoor conditions. V: Predictable air exchange; simple to design and operate. D: Energy-intensive; may lead to over- or under-ventilation depending on actual needs; no adaptability. | |
![]() | 6. Mechanical ventilation with variable airflow based on CO2 or temperature sensors: ventilation rate is modulated in response to sensor data (e.g., CO2 concentration or temperature), providing air only as needed. V: Optimizes energy use; improves indoor air quality dynamically; aligns with demand-controlled principles. D: More complex systems; requires sensor maintenance; potential delays in system response. | ||
| HV | ![]() | 7. Hybrid ventilation: hybrid ventilation refers to systems where natural and mechanical ventilation operate concurrently. In this setup, mechanical ventilation functions with its own dedicated air intake and exhaust, providing a controlled airflow and defined air change rate, while at the same time, windows may be opened—either manually by occupants or automatically by a control system. V: Adaptable to a wide range of climates and building uses. D: Higher system complexity. |
| Climate Grouping | Köppen Climatic Classification | Number of Analyzed Articles |
|---|---|---|
| Tropical | Aw, Cfa | 3 |
| Semi-arid | Bsh, Bsk | 3 |
| Oceanic | Cfb | 6 |
| Mediterranean | Csa | 5 |
| Continental | Df, Dfb | 2 |
| Air Conditioning | 1 | 2 | 3 | 4 | ||||||
|---|---|---|---|---|---|---|---|---|---|---|
| Climate | Ventilation | Heating | Cooling | a | b | a | b | a | b | |
| Semi-arid | Cross | Yes | No | - | - | [39] (W) | - | - | - | - |
| No | No | - | - | [40] (S) | - | - | - | [51] (S, W) | ||
| Single-sided | Yes | No | - | - | [39] (W) | - | - | - | - | |
| No | No | - | - | [40] (S, W) | - | - | - | - | ||
| Tropical | Cross | Yes | No | - | - | - | - | - | - | - |
| No | No | - | - | - | - | - | [49] (W) | - | ||
| Single-sided | No | Yes | [37] (S) | - | - | - | - | - | - | |
| No | No | [37] (S) | [49] (W) | - | [49] (W) | - | - | - | ||
| Oceanic | Cross | Yes | No | - | [53] (W + SP) | - | - | - | - | - |
| No | No | - | - | - | - | - | [42] (S) | - | ||
| Single-sided | Yes | No | [48] (W) | [53] (W + SP) | [48] (W) | - | [38] (W) | - | - | |
| No | No | [46] (SP) [48] (SP) | [38] (S, W) | [48] (SP) | [46] (SP) | [46] (S, W, SP) [38] (S) | - | - | ||
| Mediterranean | Cross | Yes | No | - | - | - | - | - | - | - |
| No | No | [47] (W) | [43] (Y) | - | [47] (W) | - | - | - | ||
| Single-sided | Yes | No | - | - | - | - | - | - | - | |
| No | No | - | [54] (S, W, SP) | [50] (W) | - | - | - | - | ||
| Continental | Cross | Yes | No | - | - | [41] (W) | - | - | - | - |
| No | No | - | - | [41] (S) | - | - | - | - | ||
| Single-sided | Yes | No | - | - | - | - | - | - | - | |
| No | No | - | - | - | - | - | - | - | ||
| Ventilation | Air Conditioning | Mechanical Ventilation Strategies | ||||
|---|---|---|---|---|---|---|
| Climate | Heat Recovery | Thermal Treatment | Heating | Cooling | 5 | 6 |
| Tropical | No | No | Yes | Yes | [37] (S) | |
| No | No | [55] (W, SP) | ||||
| Yes | No | Yes | No | |||
| No | No | [49] (W) | ||||
| Oceanic | No | No | Yes | No | [48] (W) | |
| No | No | [48] (SP) [52] (S) | [46] (SP) | |||
| Yes | Yes | Yes | No | [48] (W) [53] (W + SP) | ||
| No | No | [48] (SP) | ||||
| Mediterranean | No | No | Yes | No | ||
| No | No | [43] (A) | ||||
| Yes | No | Yes | No | |||
| No | No | [45] (S, W, SP) | [45] (S, W, SP) | |||
| Yes | No | No | [50] (W) | |||
| Continental | No | No | Yes | No | ||
| No | No | [44] (W, SP) | ||||
| Yes | Yes | Yes | No | |||
| No | No | |||||
| Climate | Natural Ventilation | Mechanical Ventilation | AC | Hybrid Ventilation Strategies |
|---|---|---|---|---|
| Oceanic | Cross | Variable | Yes | [38] (S, W) |
| Single-side | Constant | Yes | [53] (W + SP) | |
| No | [46] (S, W, SP) [52] (S) |
| Ventilation Strategy | Ref. | Number of Different Protocols | Detailed Protocols | Occupancy | Monitored (M)/Simulated (S) | Monitored Days | Temp | Humidity | CO2 | |||||||||||
|---|---|---|---|---|---|---|---|---|---|---|---|---|---|---|---|---|---|---|---|---|
| Season | Cross Ventilation | Air Conditioning | Different Window Opening Times Are Tested | Night Ventilation | Different Classes Studied | Different Buildings Studied | Orientation | |||||||||||||
| Yes | No | Yes | No | Yes | No | |||||||||||||||
| 1. User-dependent | a | [37] | 2 | Summer | · | · | · | · | Southeast | 25 | M | 3 | · | · | ||||||
| [46] | 1 | Spring | · | · | · | Northwest | 36 | S | 1 | · | · | · | ||||||||
| [47] | 17 | Winter | · | · | · | · | North | 5 to 40 | M | 18 | · | · | · | |||||||
| [48] | 2 | Winter | · | · | · | Southwest | 20 | S | 1 | · | · | |||||||||
| Spring | · | · | · | Southwest | 20 | S | 1 | · | ||||||||||||
| b | [38] | 2 | Summer | · | · | · | South | 30 | M | 20 | · | · | · | |||||||
| Winter | · | · | · | South | 30 | M | 20 | · | · | · | ||||||||||
| [43] | 2 | Annually | · | · | · | NorthSouth | 25 | M | 550 | · | · | |||||||||
| [49] | 1 | Winter | · | · | · | N/D | 21 | M | 21 | · | ||||||||||
| [53] | 24 | Winter + Spring | · | · | · | · | · | · | N/D | 27 to 33 | M | 81 | · | · | · | |||||
| [54] | 1 | Summer | · | · | · | · | · | N/D | 11 to 28 | M | 150 | · | · | · | ||||||
| 1 | Winter | · | · | · | · | · | N/D | 11 to 28 | M | 150 | · | · | · | |||||||
| 1 | Spring | · | · | · | · | · | N/D | 11 to 28 | M | 150 | · | · | · | |||||||
| 2. User-dependent according to established window opening patterns | [39] | 7 | Winter | · | · | · | · | · | · | · | North + South | 23 to 25 | M | 6/96 | · | · | · | |||
| [40] | 7 | Summer | · | · | · | · | · | · | · | North + South | 23 to 25 | M | 4 | · | · | |||||
| Winter | · | · | · | · | · | North + South | 23 to 25 | M | 7 | · | · | |||||||||
| [41] | 8 | Summer | · | · | · | · | N/D | 13 to 26 | S | N/D | · | · | · | |||||||
| Winter | · | · | · | · | N/D | 13 to 26 | S | N/D | · | · | · | |||||||||
| [48] | 2 | Winter | · | · | · | · | Southwest | 20 | S | 1 | · | · | ||||||||
| Spring | · | · | · | · | Southwest | 20 | S | 1 | · | |||||||||||
| [50] | 2 | Winter | · | · | · | · | East | 25 to 27 | M | 60 | · | · | ||||||||
| 3. User-independent with parameter control through sensors | CO2 | [46] | 1 | Spring | · | · | · | Northwest | 36 | S | 1 | · | · | · | ||||||
| [47] | 1 | Winter | · | · | · | North | 33 | M | 18 | · | · | · | ||||||||
| [49] | 1 | Winter | · | · | · | N/D | 21 | M | 21 | · | · | |||||||||
| Temp. | [38] | 2 | Summer | · | · | · | South | 30 | M | 21 | · | · | · | |||||||
| Winter | · | · | · | South | 30 | M | 20 | · | · | · | ||||||||||
| [46] | 3 | Summer | · | · | · | Northwest | 36 | S | 1 | · | · | · | ||||||||
| Winter | · | · | · | Northwest | 36 | S | 1 | · | · | · | ||||||||||
| Spring | · | · | · | Northwest | 36 | S | 1 | · | · | · | ||||||||||
| 4. User-independent using windcatcher | [42] | 1 | Summer | · | · | · | N/D | 32 | S | N/D | ||||||||||
| [49] | 1 | Winter | · | · | · | N/D | 21 | M | 21 | · | ||||||||||
| [51] | 8 | Summer | · | · | · | North | 48 | S | 31 | · | · | · | ||||||||
| Winter | · | · | · | North | 48 | S | 28 | · | · | · | ||||||||||
| Ventilation Strategy | Ref. | Number of Different Protocols | Detailed protocols | Occupancy | Monitored (M)/Simulated (S) | Monitored Days | Temp | Humidity | CO2 | ||||||||||
|---|---|---|---|---|---|---|---|---|---|---|---|---|---|---|---|---|---|---|---|
| Season | Air Conditioning | Airflow | Heat Recovery | Night Ventilation | Different Classes Studied | Different Buildings Studied | Orientation | ||||||||||||
| Yes | No | Yes | No | Yes | No | ||||||||||||||
| 5. Mechanical ventilation with constant airflow | [45] | 6 | Summer | · | 6.5 ACH/6.1 ACH | · | · | Southwest | 21 | S | 15 | ||||||||
| Winter | · | 6.5 ACH/6.1 ACH | · | · | Southwest | 21 | S | 15 | |||||||||||
| Spring | · | 6.5 ACH/6.1 ACH | · | · | Southwest | 21 | S | 15 | |||||||||||
| [48] | 4 | Winter | · | 2.9–4.45 L/s (m2) | · | · | · | Southwest | 20 | S | 1 | · | · | ||||||
| Spring | · | 2.9–4.45 L/s (m2) | · | · | · | Southwest | 20 | S | 1 | · | |||||||||
| [49] | 1 | Winter | · | 134 m3/h | · | N/D | 21 | M | 21 | · | |||||||||
| [52] | 1 | Summer | · | N/D | · | N/D | N/D | M | 31 | · | |||||||||
| [53] | 2 | Winter + Spring | · | N/D | · | · | N/D | 30 | M | 81 | · | · | · | ||||||
| 6. Mechanical ventilation with variable airflow | [37] | 1 | Summer | · | · | · | Southeast | 25 | M | 3 | · | · | |||||||
| [43] | 2 | Year | · | · | · | · | North/South | 25 | M | 550 | · | · | |||||||
| [44] | 3 | Winter | · | · | · | N/D | N/D | M | 1 | · | · | ||||||||
| Spring | · | · | · | N/D | N/D | M | 1 | · | · | ||||||||||
| [45] | 3 | Summer | · | · | · | Southwest | 21 | S | 15 | ||||||||||
| Winter | · | · | · | Southwest | 21 | S | 15 | ||||||||||||
| Spring | · | · | · | Southwest | 21 | S | 15 | ||||||||||||
| [46] | 1 | Spring | · | · | · | Northeast | 36 | S | 1 | · | · | ||||||||
| [50] | 1 | Winter | · | · | · | East | 25–27 | M | 60 | · | · | ||||||||
| [55] | 1 | Winter + Spring | · | · | Northeast | 7–25 | M | 60 | · | · | · | ||||||||
| Ventilation Strategy | Ref. | Number of Different Protocols | Detailed protocols | Occupancy | Monitored (M)/Simulated (S) | Monitored Days | Temp | Humidity | CO2 | ||||||||||||
|---|---|---|---|---|---|---|---|---|---|---|---|---|---|---|---|---|---|---|---|---|---|
| Natural Cross Ventilation | Air Conditioning | Mechanical Ventilation Airflow (m3/h) | Heat Recovery | Night Ventilation | Different Classes Studied | Different Buildings Studied | Orientation | ||||||||||||||
| Season | Yes | No | Yes | No | Yes | No | Yes | No | |||||||||||||
| 7. Hybrid ventilation | [38] | 4 | Summer | · | · | 250 | · | · | · | · | · | South | 30 | M | 20 | · | · | · | |||
| Winter | · | · | · | 250 | · | · | · | · | South | 30 | M | 32 | · | · | · | ||||||
| [46] | 3 | Summer | · | · | 250 | · | · | Northwest | 36 | S | 1 | · | · | · | |||||||
| Winter | · | · | 250 | · | · | Northwest | 36 | S | 1 | · | · | · | |||||||||
| Spring | · | · | 250 | · | · | Northwest | 36 | S | 1 | · | · | · | |||||||||
| [52] | 1 | Summer | · | · | N/D | · | · | N/D | N/D | M | 31 | · | |||||||||
| [53] | 4 | Winter + Spring | · | · | N/D | · | · | · | · | N/D | 31 | M | 81 | · | · | · | |||||
| Ventilation Strategy | Climate | Ref. | Cooling | Occupancy | Monitored (M)/Simulated (S) | Monitored Days | T Average (°C) | T Max (°C) | T Min (°C) | H Average (%) | H Max (%) | H Min (%) | CO2 Average (ppm) | CO2 Max (ppm) | CO2 Min (ppm) |
|---|---|---|---|---|---|---|---|---|---|---|---|---|---|---|---|
| 1a | Tropical | [37] | Yes | 25 | M | 3 | 29.4 | 25.25 | 74 | 49 | |||||
| 1b | Oceanic | [38] | No | 30 | M | 20 | 24.4 | 27.3 | 20.9 | 47 | 73 | 26 | 800 | 1800 | 300 |
| Mediterranean | [54] | No | 11 to 28 | M | 150 | 28.18 | 36.44 | 22.29 | 50.2 | 71.7 | 26.1 | 593 | 4015 | 341 | |
| 2 | Semi-arid | [40] | No | 23 to 25 | M | 4 | 31.6 | 33.7 | 28.5 | 32 | 50 | 19 | |||
| Continental | [41] | No | 13 to 26 | S | N/D | 33.9 | 31.1 | 72 | 57 | 1300 | 875 | ||||
| 3b | Oceanic | [38] | No | 30 | M | 20 | 23.5 | 28.4 | 19.7 | 50 | 76.5 | 30 | 700 | 1420 | 380 |
| Oceanic | [46] | No | 36 | S | 1 | 26.3 | 29.1 | 23.9 | 70 | 88 | 58 | 1079 | 2299 | 400 | |
| 4 | Oceanic | [42] | No | 32 | S | N/D | |||||||||
| Semi-arid | [51] | No | 48 | S | 31 | 33.75 | 64.5 | 23.75 | 459 | ||||||
| 5 | Mediterranean | [45] | No | 21 | S | 15 | |||||||||
| Oceanic | [52] | No | N/D | M | 31 | 23 | |||||||||
| 6 | Tropical | [37] | Yes | 25 | M | 3 | 29 | 25.3 | 71 | 40 | |||||
| Mediterranean | [45] | No | 21 | S | 15 | ||||||||||
| 7 | Oceanic | [38] | No | 30 | M | 20 | 24.95 | 24.35 | 24 | 43.5 | 60.75 | 28.75 | 500 | 965 | 220 |
| Oceanic | [46] | No | 36 | S | 1 | 26 | 28.6 | 23.8 | 41 | 45 | 38 | 688 | 1167 | 400 | |
| Oceanic | [52] | No | N/D | M | 31 | 22.2 |
| Ventilation Strategy | Climate | Ref. | Heating | Occupancy | Monitored (M)/Simulated (S) | Monitored Days | T Average (°C) | T Max (°C) | T Min (°C) | H Average (%) | H Max (%) | H Min (%) | CO2 Average (ppm) | CO2 Max (ppm) | CO2 Min (ppm) |
|---|---|---|---|---|---|---|---|---|---|---|---|---|---|---|---|
| 1a | Mediterranean | [47] | No | 5 to 40 | M | 18 | 16.1 | 17.0 | 15.4 | 56.5 | 59.5 | 54.6 | 539.5 | 607.8 | 479.4 |
| Oceanic | [48] | Yes | 20 | S | 1 | 17 | 15 | 770 | |||||||
| 1b | Oceanic | [38] | No | 30 | M | 20 | 20.5 | 23.9 | 15.5 | 53 | 78 | 26.5 | 1800 | 3000 | 400 |
| Tropical | [49] | No | 21 | M | 21 | 23.16 | 24.82 | 21.96 | |||||||
| Mediterranean | [54] | No | 11 to 28 | M | 150 | 21.24 | 33.41 | 12.52 | 47 | 69.2 | 23.7 | 1194 | 4950 | 348 | |
| 2 | Semi-arid | [39] | Yes | 23 to 25 | M | 6 | 20.6 | 22.3 | 18.2 | 58 | 71 | 45 | 1219 | 2632 | 419 |
| Semi-arid | [40] | No | 23 to 25 | M | 7 | 19.3 | 21.2 | 16.7 | 59 | 68 | 50 | ||||
| Continental | [41] | Yes | 13 to 26 | S | N/D | 21.9 | 17.1 | 36 | 18 | 1200 | 788 | ||||
| Oceanic | [48] | Yes | 20 | S | 1 | 21 | 10 | 1450 | |||||||
| Mediterranean | [50] | No | 25 to 27 | M | 60 | 23.3 | 24.2 | 21.0 | 1408 | 1943 | 645 | ||||
| 3a | Mediterranean | [47] | No | 33 | M | 18 | 11.09 | 13.1 | 8.2 | 44.22 | 48.6 | 39.9 | 606.99 | 808 | 494 |
| Tropical | [49] | No | 21 | M | 21 | 23.41 | 23.91 | 22.19 | 920.95 | ||||||
| 3b | Oceanic | [38] | Yes | 30 | M | 20 | 20.4 | 24.8 | 11 | 55 | 76 | 24.5 | 1100 | 2600 | 400 |
| Oceanic | [46] | No | 36 | S | 1 | 20 | 23.2 | 16.4 | 35 | 49 | 27 | 1091 | 2228 | 400 | |
| 4 | Tropical | [49] | No | 21 | M | 21 | 21.61 | 23.71 | 21.62 | ||||||
| Semi-arid | [51] | No | 48 | S | 28 | 27.5 | 64 | 25.25 | 459 | ||||||
| 5 | Mediterranean | [45] | No | 21 | S | 15 | |||||||||
| Oceanic | [48] | Yes | 20 | S | 1 | 20 | 950 | ||||||||
| Tropical | [49] | No | 21 | M | 21 | 23.74 | 24.91 | 22.04 | |||||||
| 6 | Continental | [44] | No | N/D | M | 1 | 23.3 | 637 | |||||||
| Mediterranean | [45] | No | 21 | S | 15 | ||||||||||
| Mediterranean | [50] | No | 25 to 27 | M | 60 | 21.3 | 22.3 | 20.4 | 1002 | 1072 | 541 | ||||
| 7 | Oceanic | [38] | Yes | 30 | M | 32 | 20.3 | 26.45 | 13.2 | 39.25 | 58 | 21.25 | 775 | 1850 | 400 |
| Oceanic | [46] | No | 36 | S | 1 | 17.9 | 20.7 | 15.1 | 64 | 72 | 58 | 729 | 1158 | 400 |
Disclaimer/Publisher’s Note: The statements, opinions and data contained in all publications are solely those of the individual author(s) and contributor(s) and not of MDPI and/or the editor(s). MDPI and/or the editor(s) disclaim responsibility for any injury to people or property resulting from any ideas, methods, instructions or products referred to in the content. |
© 2025 by the authors. Licensee MDPI, Basel, Switzerland. This article is an open access article distributed under the terms and conditions of the Creative Commons Attribution (CC BY) license (https://creativecommons.org/licenses/by/4.0/).
Share and Cite
Aguilar-Carrasco, M.T.; López-Lovillo, R.M.; Suárez, R.; León-Rodríguez, Á.L. Ventilation Strategies to Ensure Thermal Comfort for Users in School Buildings: A Critical Review. Appl. Sci. 2025, 15, 5449. https://doi.org/10.3390/app15105449
Aguilar-Carrasco MT, López-Lovillo RM, Suárez R, León-Rodríguez ÁL. Ventilation Strategies to Ensure Thermal Comfort for Users in School Buildings: A Critical Review. Applied Sciences. 2025; 15(10):5449. https://doi.org/10.3390/app15105449
Chicago/Turabian StyleAguilar-Carrasco, María Teresa, Remedios María López-Lovillo, Rafael Suárez, and Ángel Luis León-Rodríguez. 2025. "Ventilation Strategies to Ensure Thermal Comfort for Users in School Buildings: A Critical Review" Applied Sciences 15, no. 10: 5449. https://doi.org/10.3390/app15105449
APA StyleAguilar-Carrasco, M. T., López-Lovillo, R. M., Suárez, R., & León-Rodríguez, Á. L. (2025). Ventilation Strategies to Ensure Thermal Comfort for Users in School Buildings: A Critical Review. Applied Sciences, 15(10), 5449. https://doi.org/10.3390/app15105449











