Abstract
The present study examined the influence of controlled heat injection on the sedimentation of fine particles in a trapezoidal container, aiming to explore the combined effects of the Boycott effect and convection induced by heating. The experimental design incorporates varying initial particle concentrations (1500 ppm and 3000 ppm) and heat injection levels (0 W, 4.5 W, and 9 W imposed power) to analyze sedimentation dynamics, focusing on concentration distribution patterns and clear water production. The findings reveal complex interactions between heat injection and particle concentration. At 1500 ppm, heat injection shows minimal impact on sedimentation due to particle resuspension. However, at 3000 ppm, particularly with a 9 W heat injection, the sedimentation performance improves significantly during the early stages of the process, achieving an average sedimentation rate approximately 40 % higher than without heat injection and an average clear water generation rate nearly four times greater. These clear water generation rates were determined considering water with particle concentrations below 20 % of the initial concentration (300 ppm for 1500 ppm and 600 ppm for 3000 ppm). A further analysis of the column and row data reveals stratification patterns influenced by heat injection, characterized by distinct horizontal and vertical layers. Additionally, the results suggest that wall temperature distributions are largely unaffected by the initial particle concentration, while clear water production and sedimentation efficiency are highly dependent on heat levels and initial particle density. These results highlight the potential of heat-enhanced sedimentation to improve separation processes in industrial systems. Specifically, they provide valuable insights for optimizing the design and efficiency of lamella settlers, commonly used in water treatment and other particulate separation applications. Future studies will explore the combined use of coagulants and flocculants and the application of these findings to real mixtures, such as mine water or wastewater, to further validate and expand their industrial applicability.
1. Introduction
Sedimentation is used in various fields. In medicine, it assists in the analysis of urine sediments, facilitating the diagnosis of kidney disease [1]. In engineering, sedimentation is crucial for the construction of equipment such as settling tanks and lamella sedimentation tanks, used in wastewater treatment and drinking water, among other applications [2,3,4]. The velocity of sedimentation and the resulting quality of the clear fluid are critical, significantly impacting the processing capacity of the settling apparatuses. This underscores the need for ongoing innovation to improve the sedimentation process and its efficacy. Ref. [5] made a significant discovery, noting that the sedimentation of blood cells in an inclined tube occurs faster than in a vertical tube. Subsequently, models were developed to explain this phenomenon, referred to as the Boycott effect. The initial model, designated PNK, sought to provide a physical explanation for the Boycott effect. It was named in reference to the works of [6,7], who aimed to clarify this phenomenon through kinematic analysis. This kinematic model asserts that the sedimentation rate in an inclined receptacle depends on the sedimentation rate in a vertical receptacle, the aspect ratio, and the angle of inclination relative to the horizontal one. Later, dynamic models emerged, including those proposed by [8,9]. These models treat the suspension and sludge layers as a Newtonian fluid. Furthermore, dynamic models addressed the effects of shear stresses on the sludge layer. In addition, refs. [10,11] developed dynamic models that investigated the impact of shear stresses on the sludge layer.
From an industrial perspective, sedimentation has been used in process equipment for several decades. In 1880, ref. [12] emphasized the importance of understanding the mechanisms underlying the sedimentation process. Ref. [13] discusses sedimentation under various proposals aimed at improving the design of sedimentation tanks. The author asserts that the fundamental principle for clarifying a fluid through sedimentation is that each sediment particle descends through the fluid at a rate influenced by its size, weight, and the fluid’s viscosity. This concept parallels Stokes velocity in dynamic models, where studies such as [14,15] consider a correction factor related to particle concentration, commonly referred to as the hindered settling factor. This factor addresses the interactions between particles.
To improve the sedimentation process on the equipment, ref. [16] conducted preliminary tests in 1964 to assess the efficiency of tube configurations for the removal of sludge. The tests indicated that the sludge could be effectively removed by periodically draining the tubes when they were slightly inclined in the direction of flow. The optimal angle of inclination for the removal of the gravity sludge was identified as 5° with respect to the horizontal position, eliminating the need for a mechanical removal of the sludge. Subsequently, ref. [17] presented operational experiences related to water treatment plants. The authors described two primary configurations of sedimentation tubes: (A) essentially horizontal and (B) strongly inclined, both requiring a prior flocculation process and subsequent filtering of the particle-free liquid, referred to as overflow. They concluded that a dedicated sludge removal device was unnecessary for inclined tubes. They suggested that increasing the inclination of the tubes between 45° and 60° would facilitate the continuous gravity drainage of a sedimentable material. In addition, they observed that the efficiency increased as the slope angle increased from 35° to 45° but decreased with increasing angle. This indicates that the angle of the tube is a critical factor in optimizing the efficiency of the equipment.
Some stability issues arise during sedimentation processes where the Boycott effect is applied, particularly at the interface between the particle-free layer and the suspension layer. This phenomenon has been studied by several authors. For instance, ref. [9] observed the mixing between these layers during their experiments with cocurrent, countercurrent, and crossflow feeding. This mixing was attributed to gravity waves developing in the upper part of the channel. One of their key conclusions was that a lamella settler should operate in a way that ensures the suspension layer descends through the channel without expanding. Ref. [18] conducted both theoretical and experimental studies on flow stability in lamella settlers operating under supercritical conditions, aiming to optimize their use in engineering applications. Their analysis indicated that for low angles relative to the horizontal (), instability is primarily driven by an inflection point caused by shear stress. Conversely, at higher angles (), gravity becomes the dominant destabilizing mechanism. Notably, the critical angle between these mechanisms depends on the channel geometry, with a narrower spacing between plates (b) resulting in higher velocities and, thus, greater shear stresses. In addition, refs. [19,20] performed linear stability analyses in batch cells (closed at one end), focusing on the interface between the particle-free layer and the suspension layer. Their models considered the continuity of stresses and velocities at the interface, along with no-slip conditions on the walls. Ref. [20] further demonstrated that very tall and narrow vessels significantly improve sedimentation rates and enhance the stability of inclined settler systems, consistent with earlier findings by [21]. Additional related works are discussed in the review by [22].
Research efforts aim to improve the efficacy of sedimentation processes. For example, refs. [23,24] analyzed the efficacy of sedimentators by investigating the relationship between the concentrations at the inlet and outlet, evaluating various models and considering geometric influences. Modifications to sedimentation tubes have also been proposed, as documented in [25]. These modifications include inclined tubes with square cross sections. Furthermore, the work of [26] presents triangular section modules. Studies such as those by [27] assess the impact of incorporating an arched plate into the settling tank on the overall settling efficiency. Currently, computational fluid dynamics (CFD) techniques are increasingly utilized in simulating and enhancing sedimentation processes. An example of CFD application is found in the work of [28], who simulated modifications to the design of the sedimentation tank inlet by elongating the inclined section and connecting it to a vertical section. Furthermore, ref. [29] used a CFD simulation with two turbulence models in three feeding configurations to evaluate their impact on inclined plate sedimentators. The results were subsequently validated through experimentation. Although many studies use models based on the Navier–Stokes equations, there are works that employed the Lattice Boltzmann Method (LBM), such as the one conducted by [30], who studied the Boycott effect in a cell with different inclination angles and compared it with the predictions of the PNK model, showing good qualitative and quantitative agreements. Similarly, ref. [31] employed 2D CFD-DEM simulations to investigate sedimentation dynamics in inclined cells under various inclination angles. Their study included a comparison with the PNK model, observing the generation of local vortices during the early stages of sedimentation. These simulations, conducted with particles of 2500 in diameter and initial concentrations below 0.1, revealed that local vortices formed at an inclination angle of 30 degrees with respect to the vertical, elongating over time, and eventually transitioning into a single, organized unicellular pattern.
Parallel plate sedimentators are widely used in the water treatment industry. These devices utilize the Boycott principle for material separation, with a comprehensive review available in the work by [32]. A device known as a reflux classifier employs inclined plates located on a fluidization channel, enabling the equipment to achieve a more expansive range of particle separation. The historical development of this equipment can be discerned primarily in the work of [33,34,35,36,37].
The existing literature contains a number of studies conducted by various authors that examine the phenomenon of natural convection in closed containers due to temperature differences over a range of inclination angles.
The effect of inclination on heat transfer in an open-ended channel was experimentally investigated by [38] for three heating configurations. The heating configurations were as follows: (1) the upper and lower walls were heated, (2) only the upper wall was heated, and (3) only the lower wall was heated. In this study, the authors propose that the mode of heating does not have an impact on the rate of heat transfer. It should be noted that the authors also mention recirculation in the upper part of the channel for Case 2. Their findings suggest that the penetration of this recirculation increases with the aspect ratio and the Rayleigh number (). Moreover, in Case 1, an increase in vortices was observed with increasing . Therefore, the flow field was at least visually considered in their work.
Subsequently, works such as those by [39,40,41] have employed numerical analysis to estimate heat transfer and flow fields in closed containers with varying aspect ratios, inclination angles, and boundary conditions. The results indicate the presence of distinct flow patterns. Ref. [41] observed a single cell flow pattern and observed that the convection strength increases as the aspect ratio increases, i.e., as the container becomes thinner. In contrast, ref. [40] mentions multicellular flow patterns, which disappear as the angle of inclination with respect to the horizontal increases, and are independent of the aspect ratio. Additionally, it states that the flow pattern is highly sensitive to the initial conditions of the flow field and that in some angles of inclination and regions, the phenomenon of hysteresis occurs.
Under the idea of harnessing the Boycott effect and the convection generated by temperature differences, ref. [42] conducted two-dimensional numerical simulations for a heating-assisted sedimentation process. To this end, a rectangular cell measuring 1 m in length and with a separation of 5 cm between the inclined walls was used, with the understanding that the process would operate in a batch mode. They imposed different temperatures on the inclined upper wall above the ambient temperature, generating constant temperature differences , for different particle sizes and concentrations. Their findings indicated that a higher reduces the time required for particles to sediment at the bottom, while the temperature gradient generates particle resuspension, necessitating further investigation into the range of variables that allow for leveraging these effects, i.e., increasing the sedimentation velocity and decreasing resuspension.
The present work assessed the impact of heating on the Boycott effect. To this end, a trapezoidal cell was built, similar to the experimental setup of [43,44].
2. Materials and Methods
The experimental setup primarily allows for the visualization of particle concentration over time inside a trapezoidal cell, which is made primarily of acrylic, with the exception of the inclined surface, which is made of copper. A Peltier element is implemented to heat this surface and generate heat transfer to the cell. The mixture is composed of distilled water and glass particles with a diameter d of 8–12 μm and a density of 2.5 g/cm3. To quantify the particle concentration, the contrast technique is employed by positioning a light screen behind the cell. The images were recorded with a camera at the front, and subsequently a correlation was performed between the light intensity and the particle concentration. In this study, a full factorial experimental design was employed, comprising two variables: particle concentration in volume and initial injected electrical power, with two and three levels, respectively. The specific levels are detailed in Table 1. The following subsections provide a detailed account of the construction of the experimental setup and the methodology used.
Table 1.
Experimental design.
2.1. Experimental Apparatus
Figure 1 shows the experimental setup used in this study. It comprises an acrylic container (cell) containing a mixture of particles with distilled water, a power supply (Tektronix) used to power the Peltier element located in the acrylic cell, a temperature-acquisition system, and an image-acquisition system.
Figure 1.
Experimental setup.
A trapezoidal cell with one face inclined at an angle of 60 degrees with respect to the horizontal was utilized. For the cell construction, we used a transparent acrylic material with a thickness of 12 mm and a copper plate with a thickness of 0.6 mm. The interior dimensions of the cell were as follows: 5 cm in width, 15 cm in length, and 12 cm in height. As illustrated in Figure 2, the cell was equipped with a Peltier element, model TEC1-12706, attached to the inclined copper plate, which allows for heat injection. It should be noted that thermal paste was utilized as a medium between the copper plate and the Peltier element. In addition to the Peltier element, temperature sensors (Pt100 type) were positioned within the cell as follows: S1 and S2 on the inclined wall, S3 and S4 on the bottom wall, and S5 and S6 on the vertical wall. This arrangement enables the temporal recording of temperature at various points. The cell is thermally insulated using 2.8 cm-thick expanded polystyrene. A Raspberry Pi 4 (8GB) records the temperature data from the sensors. Images are acquired using a Nikon D850 camera connected to a computer running Digicam software (version 2.1.6).
Figure 2.
Cell used during the experiments, with the holes used for temperature sensors S1, S2, S3, S4, S5, S6. On the right side, the implementation of the Peltier element is observed.
2.2. Concentration Calibration
To measure particle concentration within the cell, a contrast method based on light attenuation was employed, similar to the approach used by [45]. This method involves introducing a known mass of sedimenting particles into an acrylic cell filled with a known volume of water. The cell is illuminated from the rear, and an image is captured from the front. By analyzing the attenuation of light caused by the particles, a relationship between concentration and light intensity can be established. This process was used for 21 concentration measurements, spanning a range of 0 to 5000 ppm, with each measurement replicated three times. Consequently, the concentration value within the cell was obtained by interpolating the light intensity values between known measurements, given the particle concentration inside the cell and the corresponding light intensity provided by the photograph. An interpolation function was generated and applied to the data obtained from the experimental development for this purpose. Figure 3 illustrates the calibration procedure. In this context, the variable “C” represents the concentration in parts per million (ppm), while the term “” denotes the difference in light intensity observed in each image relative to the reference value established for image 0.
Figure 3.
Calibrationof concentration vs. light intensity (8 bits).
2.3. Development and Data Acquisition
The experimental development was divided into two stages of experiments. In the initial stage of experimentation, a mixture containing 1500 ppm was utilized, and contrast experiments were carried out for the three levels of heat injection (0 W, 4.5 W, and 9 W), with three repetitions in each experiment. In the second stage, the mixture was replaced with a mixture of 3000 ppm, and the experiments were carried out again with three levels of heat injection. The development of each experiment comprises the following steps:
- Preparation of the mixture: For each stage, the cell is filled with 660 mL of distilled water. Subsequently, the amount of 8–12 μm particles is measured to generate a concentration of 1500 ppm or 3000 ppm, as appropriate. The initial mixing of the suspension is performed at the beginning of the experiment to ensure homogeneity. In subsequent experiments, the particles are resuspended following the procedure described in the “Experimental Start” step to maintain consistent conditions.
- Preparation of the camera and recording: In order to facilitate the organization and documentation of the experimental data, a folder is created for the storage of the images acquired during the experimental development. The camera parameters and image capture settings are configured and/or reviewed, as detailed in Table 2. The camera is programmed to capture one photo every 5 s; however, the actual interval between captures is approximately 6 s, as verified by the timestamp of the recorded images. In addition, parameters and specific measurements are recorded in a notebook. Notes are also taken regarding any events that may occur during the experimental development.
Table 2. Camera parameters. - Experimental start: At the beginning of each stage, three initial images of the cell with clear water are captured. These images are utilized as a point of reference for subsequent image processing. Subsequently, the requisite quantity of particles is introduced into the cell in order to achieve the desired concentration, as specified for each individual experiment. To ensure a homogeneous mixture, the particles are resuspended using a laboratory spatula. The flat side of the spatula is employed to lift and resuspend particles settled at the bottom of the cell. After this, the mixture is stirred in a circular motion throughout the cell for approximately two minutes to achieve uniformity. To initiate the experiment, the program that records the temperature over time is executed and the initial time of the experiment is noted. Immediately after the completion of the steps mentioned above, image capture begins, and the power source is activated with the parameters previously configured for the experiment. It should also be noted that the time interval between the beginning of the temperature readings and the initiation of image capture is documented.
- End experiment and restart: Upon the completion of the image acquisition process, the power source is deactivated, and the sensors are disconnected. Subsequently, the cell is cooled. To facilitate cooling of the cell, the mixture is stirred, a portable temperature sensor is inserted, and the cell is placed in a refrigerator until it reaches a temperature of 20 °C. Subsequently, the sample is allowed to rest at room temperature for approximately five minutes with the assistance of a fan. Upon completion of a series of experiments, all data are transferred to an external hard drive for subsequent analysis.
2.4. Processing
Python 3.8.17 code was utilized for processing and can be subdivided into the following phases:
- Directory Definition: In this phase, the directories in which the images are stored (previously designated as “exp”) and the directories in which the results are stored are defined.
- Generation of Light Intensity vs. Concentration Function: In this phase, the matrix arrays that previously served as the calibration data set for light intensity and concentration (intensity vs. concentration) are read. Subsequently, an interpolation function f is generated and applied to the data to convert the light intensity values to concentration.
- Pre-processing: In this phase, the images are subjected to a detailed examination, during which the region of interest is identified with the objective of reducing the processing load in subsequent stages. Furthermore, if necessary, the images are rotated. It is important to note that due to the viewing angle of the lens utilized with the camera, the selected region is approximately 3 separated from the interior walls.
- Mask: In this phase, the preprocessed images (matrix arrays) are retrieved, and a matrix of equivalent dimensions but with values of 0 is generated. Subsequently, the region of interest is filled with values of 1 using the cv2.fillpoly function. Finally, the zone is verified by displaying the image with the applied mask.
- Image Processing: In this phase, a function, designated as G, is utilized to facilitate the opening of each image, represented as (), through the implementation of a loop. Subsequently, the average clear water condition, (), is subtracted, and the interpolation function f, is applied to transform the values of light intensity into concentration. Then, the initial concentration condition that was previously processed is subtracted and the result is divided by it, thereby obtaining values relative to this condition. Consequently, the concentration field for each time t is obtained as follows: . Subsequently, the rows and columns are discretized, with the data averaged every ten rows and ten columns. This is then stored in a matrix vector array, with each element of the vector containing a matrix representing the discretized concentration field.
2.5. Post-Processing
In order to facilitate the analysis of the results, we begin by displaying the macro behavior of the experiment, together with the contrast used. Subsequently, the range of values is discretized and displayed in grayscale, thus facilitating the observation of the behavior of the concentration field inside the cell to a certain extent. Subsequently, the mean concentration behavior is analyzed and compared between experiments. Then, a function is generated to evaluate the total clear water generated over time, which is graphed and allows for a comparison between experiments for the two initial concentrations studied. For this purpose, cut-off values of 300 and 600 ppm were used for the initial concentrations of 1500 and 3000 ppm, respectively.
Subsequently, the concentration behavior in terms of columns and rows is analyzed, representing a data compression of a 10 pixel thickness according to the discretization performed (Figure 4). The columns ( and ) are located at distances of and , respectively, from the inner surface of the vertical wall. The rows ( and ) are positioned at depths of and , respectively, from the surface of the mixture. This enables the plotting and comparison of the behavior between experiments for each row and column at different times. Finally, the temperature differences with respect to the ambient temperature are plotted over time for all temperature sensors used on the cell walls.
Figure 4.
(a) Columns and (b) rows used to analyze the concentration inside the cell. The dashed lines represent the columns and rows, where 10 pixels in thickness were averaged in the data.
3. Results
This section presents the results obtained for the studied cases, with a particular focus on the impact of heat injection on the distribution of the concentration field inside the cell. Firstly, a table is provided that lists the parameters obtained from the set of experiments conducted. Subsequently, the unprocessed and processed images are analyzed to visualize the macroscopic behavior of the particle concentration within the cell, facilitating the comparison of the effects of initial concentration and heat injection on the sedimentation process. The temporal evolution of the mean concentration of the mixture is investigated in a range of scenarios. Subsequently, an analysis is conducted on the volume of clear water generated during the sedimentation process, with a threshold concentration value defined at which it is considered clear water. Finally, an analysis is conducted on the spatial columns and rows within the cell, allowing for a more detailed observation of the effect of heat injection in the vertical and horizontal directions of the cell. Furthermore, an examination of the temperature behavior on the cell walls for the aforementioned cases is conducted. A schematic representation of the analyses performed can be observed in Figure 5.
Figure 5.
Analysis of results scheme.
3.1. Conducted Experiments
A total of 18 experiments were carried out to investigate the effect of initial particle concentration and heat injection on the sedimentation process inside a trapezoidal cell. The list of experiments, along with the parameters used and the specific variables recorded (temperature data can be found in Section 3.5), is provided in Table 3.
Table 3.
Record of experiments.
3.2. Effect of Heat on the Mixture Inside the Cell
In accordance with the established methodology, the analysis begins with a visual observation of the impact of heat on the concentration within the cell. Figure 6 illustrates the sedimentation process for the case without heat injection. The upper row of the images illustrates the temporal evolution of the system at an initial concentration of 1500 ppm and for times , , and . The bottom row of the images shows the same process for an initial concentration of 3000 ppm. The illustration of the figure demonstrates that the sedimentation process occurs at a higher rate for the case with an initial concentration of 1500 ppm. However, it is challenging to discern a sedimentation interface. In contrast, for the case with 3000 ppm, the process occurs at a lower rate, yet a distinct layer stratification with varying concentrations can be observed.
Figure 6.
Sedimentation process without heat injection. In the top row (a–c), the process evolution is observed at , , and , respectively, for an initial concentration of 1500 ppm. In the bottom row (d–f), the evolution is observed for an initial concentration of 3000 ppm at the same times: , , and .
Figure 7 represents the effect of heat with an imposed initial power of on the concentration inside the cell for an initial concentration of 1500 ppm (upper row) and an initial concentration of 3000 ppm (bottom row). A similar pattern in the concentration field is evident for both initial concentrations. For both concentrations, the formation of a vertical interface is observed at 35 min, with the initial concentration of 1500 ppm exhibiting a thicker interface. Figure 8 depicts the behavior observed for an imposed power of 9 . As illustrated in this figure, a similar pattern is, once again, evident in the behavior of both initial concentrations. Furthermore, the formation of a vertical interface is observed once more.
Figure 7.
Sedimentation process with an initial power of . In the top row (a–c), the process evolution is observed at , , and , respectively, for an initial concentration of 1500 ppm. In the bottom row (d–f), the evolution is observed for an initial concentration of 3000 ppm at the same times: , , and .
Figure 8.
Sedimentation process with an initial power of . In the top row (a–c), the process evolution is observed at , , and , respectively, for an initial concentration of 1500 ppm. In the bottom row (d–f), the evolution is observed for an initial concentration of 3000 ppm at the same times: , , and .
A comparison of Figure 7 and Figure 8 reveals that an increase in the initial imposed power results in the formation of the interface at an earlier time. Furthermore, both generated interfaces are predominantly vertical and horizontal, resulting in the formation of a rectangular zone with a concentration seemingly lower than that of the surrounding regions. In comparison, the process without heat injection results in the formation of a horizontal interface. This discrepancy is probably attributable to the presence of a vertical wall, where the upward flow generated on the inclined wall due to the Boycott effect and heat injection encounters and redirects towards the bottom and right, as clearly observed in Figure 7 and Figure 8. Moreover, at approximately , concentration plumes emerge.
In addition, to facilitate a more detailed examination of the concentration within the cell, the images were processed and the concentration field was discretized. Figure 9, Figure 10 and Figure 11 illustrate the concentration behavior inside the cell, confirming the generation of vertical interfaces for cases with heat injection and the formation of an upward current with some particle resuspension. It is worth mentioning that the white regions in Figure 9c represent concentrations below 500 ppm but do not indicate the complete absence of particles.
Figure 9.
Sedimentation process discretized without heat injection. In the top row (a–c), the process evolution is observed at , , and , respectively, for an initial concentration of 1500 ppm. In the bottom row (d–f), the evolution is observed for an initial concentration of 3000 ppm at the same times: , , and .
Figure 10.
Sedimentation process discretized with an initial power of . In the top row (a–c), the process evolution is observed at , , and , respectively, for an initial concentration of 1500 ppm. In the bottom row (d–f), the evolution is observed for an initial concentration of 3000 ppm at the same times: , , and .
Figure 11.
Sedimentation process discretized with an initial power of . In the top row (a–c), the process evolution is observed at , , and , respectively, for an initial concentration of 1500 ppm. In the bottom row (d–f), the evolution is observed for an initial concentration of 3000 ppm at the same times: , , and .
3.3. Effect of Heat on Average Concentration
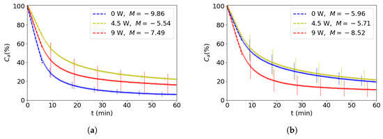
Figure 12 illustrates the impact of heat injection on the average concentration within the cell for cases with initial concentrations of 1500 and 3000 ppm. Additionally, it provides a linear fit for the first 6 min of the sedimentation process, showing the average sedimentation rate M in %/min, where M is negative due to the decreasing concentration over time. In the case of 1500 ppm (a), it can be observed that the suspended average concentration () is lower in the absence of heat injection, with a sedimentation rate of %/min. However, imposing an initial power of 4.5 W resulted in a higher suspended concentration in the cell compared to when 9 W was applied, with sedimentation rates of %/min and %/min, respectively. This suggests that there is a power range where the particle resuspension rate is lower than the sedimentation rate, and another higher power range that generates a greater sedimentation rate compared to the particle resuspension rate. Nonetheless, it is evident that in the absence of heat injection, the resulting concentration field is inferior to that observed in both cases with heat injection. Consequently, there is no discernible advantage to be gained from the injection of heat. In the case of an initial concentration of 3000 ppm (b), it can be observed that the concentration over time is lower for the case where is imposed, with an average sedimentation rate of %/min. In contrast, for the case of , there is no significant difference in terms of average concentration compared to the case without heat injection, where the sedimentation rates are %/min and %/min, respectively. This is consistent with the earlier observation that the concentration distribution differs between processes with and without heat injection.
Figure 12.
Effect of heat on the average concentration inside the cell for an initial concentration of 1500 ppm (a) and an initial concentration of 3000 ppm (b).
Figure 13 illustrates the proportion of concentration below 300 ppm and 600 ppm , representing of the initial concentrations of 1500 ppm (a) and 3000 ppm (b), respectively. In this work, clear water is defined as the portion with concentrations below of the initial concentration. Additionally, a linear fit is applied to the first 12 min of the process, where the slope M represents the average clear water generation rate in %/min, based on the cutoff values of 300 and 600 ppm mentioned above. This analysis aims to evaluate, to some extent, the effect of heat injection on the generation of clear water. Furthermore, the generation of clear water is also plotted using the PNK model, adjusted to the trapezoidal cell used in the experiments, similar to the approach by [44]:
where H is the height of the clear water layer, is the experimentally obtained vertical sedimentation velocity, and X is the base length of the trapezoid. In the graph on the left in Figure 13a, it can be observed that the process without heat injection achieves a higher generation rate of water with a concentration below 300 ppm, at %/min, compared to the processes with a heat injection of 4.5 and 9 W, which generate clear water at rates of 0.42 %/min and 1.45 %/min, respectively. Approximately 40 min is required to achieve 100% of water with a concentration below 300 ppm in the process without heat injection.
Figure 13.
Effect of heat injection on the concentration below 20% of the initial concentration. (a) Initial concentration of 1500 ppm, behavior of concentration below 300 ppm. (b) Initial concentration of 3000 ppm, behavior of concentration below 600 ppm.
It is also noteworthy that the process without heat injection generates a higher amount of clear water compared to the PNK model. This can be explained by the definition used in the analysis, where clear water is considered to have concentrations below 20% of the initial concentration, while the PNK model assumes that clear water has a particle concentration of zero.
On the other hand, in the graph on the right Figure 13b shows that for an initial concentration of 3000 ppm and a clear water cutoff of 600 ppm, the 9 W process achieves the highest clear water generation rate of 3.48 %/min, compared to 0.95 %/min and 1.11 %/min for the processes without heat injection and with 4.5 W, respectively. Additionally, the 9 W process exhibits greater data dispersion.
In this case, the process without heat injection generates less clear water than predicted by the PNK model, which is expected since the PNK model represents the upper limit of sedimentation without heat injection, as previously noted by [46].
To clarify how the PNK model better aligns with the process without heat injection, Figure 14 is presented, where clear water is defined as concentrations below 200 ppm for both initial concentrations of 1500 and 3000 ppm. In the graph (a), it can be observed that clear water generation in the experiment without heat injection behaves similarly to the PNK model and continues to exhibit a higher generation rate compared to the processes with heat injection. On the other hand, in the graph on the right (b), the process with 9 W produces, on average, a larger amount of clear water compared to the other processes, although the PNK model remains superior. Furthermore, for both initial concentrations of 1500 and 3000 ppm, the process with 4.5 W shows a behavior where virtually no clear water is generated below 200 ppm during the duration of the experiment. This could indicate a constant resuspension effect, maintaining the suspension concentration above 200 ppm. This phenomenon requires further detailed study.
Figure 14.
Effect of heat injection on the concentration below 200 ppm. (a) Initial concentration of 1500 ppm, (b) initial concentration of 3000 ppm.
3.4. Impact of Heat on Concentration
This section presents an analysis of the impact of heat injection on the concentration distribution for initial concentrations of 1500 and 3000 ppm. The analysis entails a comprehensive examination of data arranged in columns and rows, as illustrated in Figure 4. These rows and columns represent a condensed form of data, with each section comprising 10 pixels in thickness. The analysis is carried out at three distinct time points: 1, 10, and 35 min from the beginning of the experiment.
3.4.1. Initial Concentration of 1500 ppm
Figure 15 illustrates the impact of heat injection on concentration (concentration normalized to initial concentration) for four columns analyzed ( and ). In column , no significant differences in behavior are observed at the one-minute mark between experiments. However, after , a distinct stratification is evident in heat-injected processes. A higher power input results in a deeper, more homogeneous concentration layer in the upper part of the column. However, this concentration exceeds that of the non-heated process, and a clear horizontal interface is still evident in this column. At , the concentration at the bottom of the cell is comparable between the non-heated and processes, while the non-heated process displays a lower concentration at the top, probably due to increased resuspension in the heat-injected process.

Figure 15.
Effect of heat injection on particle concentration for an initial concentration of 1500 ppm. Columns analyzed are , , , and for three analyzed times from left to right (1, 10, and 35 min).
Column A2 exhibits a pattern similar to that of column A1, displaying elevated concentrations in heat-injected processes. However, after 10 min, it is observed that the concentration for the heat-injected processes is higher for column A2 than for column A1. This observation is consistent with the results presented in Figure 7, Figure 8, Figure 10, and Figure 11, which indicate a horizontal concentration gradient resulting from the upward flow of clear water hitting the vertical wall and propagating towards the inclined wall.
Column demonstrates a distinct contrast between the heat-injected processes and the non-heated process, the latter exhibiting a consistently lower concentration. However, the heat-injected processes show a predominantly homogeneous upper zone.
Finally, column , located below the inclined surface, exhibits a similar trend at 10 and 35 min. It should be noted that in all the columns analyzed, the particle concentrations are higher in the 4.5 W process than in the 9 W process and than in the non-heated process.
Furthermore, Figure 16 shows the concentration behavior for various rows analyzed. For row at a depth of 0.5 from the surface, the heat-injected processes exhibit higher concentrations than the non-heated process, with no notable distinction between 4.5 W and 9 W over time. In row , a concentration gradient is observed at the 10 min mark between the vertical and inclined walls, indicating particle resuspension and the formation of the aforementioned vertical interface. By 35 min, the concentration gradient has decreased in the 9 W process, possibly due to the smaller amount of particles in suspension. However, a residual gradient persists in the 4.5 W process. For rows and , the formation of the clear water interface is not yet observable at the 10 min mark. However, for at , it is evident that this interface has formed in the heat injection processes.

Figure 16.
Effect of heat injection on particle concentration for an initial concentration of 1500 ppm. Rows analyzed are , , , and for three analyzed times from left to right (1, 10, and 35 min).
3.4.2. Initial Concentration of 3000 ppm
Figure 17 illustrates the effect of heat injection on normalized concentration . This is performed for four different columns, labeled , and . Examining column , it is observed that for , there is no significant difference in the concentration behavior for the different power levels. However, for , it is observed that heat-injected processes produce an almost homogeneous high zone with a lower concentration than the non-heated process. In the process of 9 W, a greater depth of homogeneity is observed, consistent with the behavior shown in Figure 10 and Figure 11, where the generation of a vertical and horizontal interface is observed at a higher rate than in the process with an initial concentration of 1500 ppm. At , the concentration along the column is essentially homogeneous for the process, this concentration being lower than the non-heated process in most of the columns analyzed. On the other hand, the case shows an intermediate behavior between the other two processes.
Figure 17.
Effect of heat injection on particle concentration for the case of an initial concentration of 3000 ppm: for the analyzed columns , , , and , for three analyzed times from left to right (1, 10, and 35 min).
An analysis of columns and at 10 min reveals that, for an input power of 9 W, a lower concentration zone persists. In contrast, the concentration along column is higher in the upper zone and virtually identical in the lower zone when comparing the 4.5 W process with the non-heated process. In column , the impact of resuspension is observed to decrease over time, which is likely attributable to the lower amount of particles in suspension.
Furthermore, Figure 18 illustrates the behavior of the different rows analyzed. In , it is observed that process 4.5 W exhibits a higher concentration over time compared to the other two processes, which is likely attributed to resuspension. In , it is observed that for heated processes in , concentration gradients are generated along the cell, indicating the resuspension of the particles by the inclined wall, and also in non-heated processes, resuspension can be seen. In row in 10, the concentration observed for the process of 9 W is lower than that observed for the other processes. At , it is observed that the concentration gradient along the cell is relatively minor for the 9 W process and non-heated process. In contrast, the concentration gradient remains evident for the 4.5 W process. With regard to , a nearly zero gradient is observed for both time points ( and ) along the cell, with the exception of the region in proximity to the slanted wall, where resuspension is evident. As in the previous analysis, the lowest concentration is observed in the 9 W process.
Figure 18.
Effect of heat injection on particle concentration for the case of an initial concentration of 3000 ppm: for the analyzed rows , , , and , for three analyzed times from left to right (1, 10, and 35 min).
3.5. Temperature of the Walls
Figure 19 depicts the temporal evolution of wall temperature relative to ambient temperature (). The formation of temperature stratification is observed between the upper and lower sections of the cell, and this phenomenon is evident in both initial concentration scenarios, 1500 ppm and 3000 ppm, as well as in the power input conditions of 4.5 W and 9 W. As anticipated, the initial concentration of particles has a negligible impact on the temperature distribution. It should be noted that, while stratification occurs, the temperature of the lower wall does not exhibit a substantial increase. At the outset of the experiment, a temperature disparity between the vertical and inclined walls is discernible, particularly in the upper region of the cell. This discrepancy gradually diminishes as the system approaches a state of thermal equilibrium. Furthermore, an estimate of the ratio of particle buoyancy to viscous forces can be obtained by computing the Archimedes number, defined as where and are the fluid and particle densities, respectively, d is the particle diameter, is the dynamic viscosity of the fluid, and g is the gravitational acceleration. The present experimental data yield values on the order of , confirming the predominance of viscous forces.
Figure 19.
Behavior of the relative temperature on the walls for: (a) case with an initial concentration of 1500 ppm and with 4.5 W imposed, (b) case with an initial concentration of 1500 ppm and with 9 W imposed, (c) case with an initial concentration of 3000 ppm and with 4.5 W imposed, and (d) case with an initial concentration of 3000 ppm and with 9 W imposed.
4. Discussion
Figure 7 and Figure 8 (at (t = 10 min) and (t = 35 min)) show downward moving Rayleigh–Taylor-like turbidity plumes. This superimposes with the large-scale, thermally convective circulation induced by the inclined wall heating. As a result, a warm, particle-free current intrudes below the turbid suspension, further contributing to the development of the Rayleigh–Taylor instability mechanism. In particular, this instability is not apparent in the areas below the horizontal projection of the inclined face, probably due to the higher concentration and lower vertical gradients in these regions. From an examination of Figure 12 and Figure 13, it can be inferred that the injection of heat into the sedimentation process with an initial concentration of 1500 ppm does not result in an improvement in the sedimentation rate and/or the generation of clear water. This is mainly attributable to the observation of particle resuspension in instances where heat injection was used. This phenomenon was previously documented by [42], who elevated the temperature of the upper wall of a cell to 50 °C and observed increased resuspension in the upper zone at elevated temperatures. This resuspension obfuscates the benefit of the increased velocity of the clear fluid layer ascending along the inclined wall. This phenomenon can be observed by comparing Figure 9, Figure 10 and Figure 11. In another regard, an examination of Figure 12 reveals that imposing a power of 4.5 W results in a higher average concentration than in cases without heat injection and with a power of 9 W. This indicates that a low imposed power may have a detrimental impact on the process. For a power of 9 W, the concentration remains higher than in the case without heat injection but lower than in the case of 4.5 W, indicating that increasing the imposed power should eventually enhance the process. However, preliminary experiments showed that, at higher power levels, a global-scale recirculation was generated, resulting in a unicellular pattern (as observed in [40]), which can facilitate a constant mixing process. It has also been observed that, under certain conditions, a global-scale recirculation pattern can be generated even in processes without heating, as reported by [43]. Other local vortices have also been observed in computational simulations, such as those reported by [30], who noted the appearance of local vortices when the inclination angle was decreased in a parallel-walled cell. Similarly, in [31], it was observed in their 2D CFD-DEM simulations that at the beginning of the sedimentation process (1 s) in a parallel inclined cell, at an angle of 30 degrees with respect to the vertical, local vortices appeared. Over time (5 s), these vortices elongated, and after 10 s, only a single, orderly unicellular pattern was observed. It is worth noting that in their work, particles with diameters of 2500 μm and initial concentrations below 0.1 were modeled.
Table 4 highlights prior studies that utilized trapezoidal geometries in various experimental configurations. However, none of these studies employed mixing parameters comparable to those of the present study. Notably, the study by [8] used a geometry somewhat similar to the present study, but the working fluid differed significantly, making direct comparisons challenging.
Table 4.
Experimental configurations and parameters for studies using trapezoidal geometry.
In the present study, the resuspension carried out by ascending flow was not quantified due to the proximity of the field studied to the walls, which was previously mentioned to be approximately 3 mm. It is important to note that in processes that involve heat injection, vertical stratification is formed. This presents an opportunity to study the effects of physical filtration and/or particle resuspension inhibition on process improvement.
An improvement in clear water production is discernible for the initial concentration of 3000 ppm, particularly in instances where an initial power of 9 W is used, producing an average concentration that is lower than that observed in the absence of heat injection. This can be seen by comparing the average sedimentation rate 8.52 %/min > 5.96 %/min and the average clear water generation rate 3.48 %/min > 0.95 %/min. The application of a 4.5 W power did not result in a significant increase in the mean concentration. In both cases with heat injection, both horizontal stratification and vertical stratification were observed. Upon examination of the concentration field in columns (Figure 15 and Figure 17), it becomes evident that the phenomenon is most pronounced in column . The formation of horizontal stratification is evident in columns and , where the impact of the resuspension is discernible. This phenomenon occurs in cases with initial concentrations of 1500 and 3000 ppm. For both initial concentrations, there is a notable discrepancy in the horizontal interface formation rate for the case of 9 W, which can be observed at the time point of 10 min. Upon analysis by rows, it can be observed that vertical stratification is present, albeit with a smaller gradient than that formed horizontally. This is evident in Figure 16 and Figure 18, particularly in row , and is observed once more at the 10 min mark.
With regard to the wall temperature, Figure 19 reveals that the initial concentration of particles has no significant effect on the wall temperature.
The results indicate that for an initial concentration of 3000 ppm, the generation of clear water with a concentration lower than 600 ppm (20% of the initial concentration) is enhanced when the process is subjected to an initial power of approximately 9 W imposed on the Peltier element. This finding has potential applications in the design of primary sedimentation equipment in water treatment processes.
Although the present results show that heating becomes detrimental at low concentrations, the trend seems to be opposite for the higher-concentration case. It is hypothesized that there are two key flow elements whose relative importance ultimately defines the particle resuspension mechanism within the cell. The first is the acceleration and destabilization of the clear fluid layer, which occurs for the lower concentration case, where the thermally induced natural convection is coupled with the development of the clear fluid layer due to the Boycott effect as (Reyes et al. [32] and references therein) (x is the longitudinal coordinate), and the thermally induced natural convection boundary layer, in the absence of particle suspension, scales as (Currie [47] (as denoted by the similarity scaling in) Chap. 10). The second element that affects the flow structure is the influence of heating on the settling of the particles near the clear fluid boundary layer. Increasing the particle concentration, the impact on the settling velocity is two-fold: first, increasing the concentration tends to decrease the settling velocity and, in the absence of heating, favor a thin, and thus, least stable, clear fluid layer; and second, heating naturally decreases the fluid phase viscosity, thus enhancing the settling velocity. The particular 3000 ppm– 9 W combination appears to show an instance where the effect of heating is strong enough to significantly improve the settling velocity (according to local particulate concentrations near the heated wall, see column in Figure 15 and Figure 17) without causing a particle boundary layer destabilization that increases the turbidity of the clear fluid zone. This is an aspect that needs further investigation and, in particular, a closer look at the flow structure near the heated wall, an aspect which could not be made with present experimental resources. This study offers valuable insights into the interplay between the Boycott effect and heat injection on sedimentation, revealing key trends within a controlled environment. While conducted at a smaller scale with specific particle properties and concentrations, this work establishes a foundational understanding. Future investigations can expand upon these findings by exploring larger systems and broader particle parameters. Furthermore, ongoing efforts to incorporate three-dimensional analyses will enhance the applicability of these results to real-world industrial processes and provide a more comprehensive understanding of sedimentation dynamics, including a detailed characterization of the temperature and velocity fields.
5. Conclusions
This study investigated the impact of controlled heat injection on the sedimentation process in a trapezoidal enclosure, with the aim of leveraging the combined effects of heat-induced convection and the Boycott effect to enhance sedimentation efficiency. The injection of 9 W demonstrated a favorable impact on the overall concentration within the cell for the scenario with an initial concentration of 3000 ppm, achieving an early average sedimentation rate of %/min and an average clear water generation rate of %/min. These rates were higher compared to the cases with 4.5 W and without heat. In contrast, for an initial concentration of 1500 ppm, no improvement in total concentration was observed, and the injection of 4.5 W showed no positive effect in any of the cases studied. This outcome was attributed to particle resuspension, highlighting the need for further research to clarify the interaction between thermally altered settling and the influence of the thermal boundary layer on the clear-fluid layer induced by particle settling. The results suggest several potential industrial applications. Heat-enhanced clarification could improve efficiency in processes requiring high rates of particle separation or classification, such as water treatment. Controlled mixing within a vessel is another promising application, particularly in industries involving sediment transport, where it is critical to prevent material deposition in pipelines. Furthermore, precise control of sedimentation rates could support applications that require process stability and regulation. Based on these findings, future research directions include the following: developing a computational model for heat-assisted sedimentation to validate experimental results and further explore the observed dynamics; studying the combined effects of coagulants and flocculants during the process; testing real industrial mixtures, such as mine water or wastewater, to evaluate applicability; incorporating inclined plates to scale up the experiment into a lamella settler; and conducting both batch and continuous experiments. These efforts aim to expand the applicability and deepen the understanding of heat-induced sedimentation dynamics in industrial contexts.
Author Contributions
Conceptualization, F.A. and C.F.I.; Methodology, F.A. and C.F.I.; Software, F.A.; Investigation, F.A.; Resources, C.F.I.; Data curation, F.A.; Writing—original draft, F.A.; Writing—review & editing, C.F.I.; Visualization, F.A.; Supervision, C.F.I.; Funding acquisition, C.F.I. All authors have read and agreed to the published version of the manuscript.
Funding
This research was funded by Scholarship Program/DOCTORADO BECAS CHILE/2019-21190656, and the APC was funded by the Chilean National Agency of Research and Development (ANID) through Fondecyt Project 1211044.
Institutional Review Board Statement
Not applicable.
Informed Consent Statement
Not applicable.
Data Availability Statement
The data presented in this study (e.g., original images) are available on request from the corresponding author. Graphs, curves, and processed results are included in the article.
Acknowledgments
The authors gratefully acknowledge the support from the Department of Mechanical Engineering of the University of Antofagasta; the Department of Mining Engineering of the University of Chile; the Chilean National Agency for Research and Development (ANID) through projects Fondecyt 1211044, Anillo ACT210027, and Fondef ID23I10333; the Vice-rectory of Research and Development Univ. Chile, Project code ENL11/20; and Scholarship Program/DOCTORADO NACIONAL/2019-21190656.The authors also thank Belén Barraza for technical support with the experimental setup. FA thanks Aldo Tamburrino and Yarko Niño for mentoring, guidance, and feedback.
Conflicts of Interest
Author Christian F. Ihle was employed by the company Shimin Engineering. The remaining authors declare that the research was conducted in the absence of any commercial or financial relationships that could be construed as a potential conflict of interest.
References
- Perazella, M.A. The urine sediment as a biomarker of kidney disease. Am. J. Kidney Dis. 2015, 66, 748–755. [Google Scholar] [CrossRef]
- Jover-Smet, M.; Martín-Pascual, J.; Trapote, A. Model of suspended solids removal in the primary sedimentation tanks for the treatment of urban wastewater. Water 2017, 9, 448. [Google Scholar] [CrossRef]
- da Silveira, A.N.; Silva, R.; Rubio, J. Treatment of acid mine drainage (AMD) in South Brazil: Comparative active processes and water reuse. Int. J. Miner. Process. 2009, 93, 103–109. [Google Scholar] [CrossRef]
- Tarpagkou, R.; Pantokratoras, A. The influence of lamellar settler in sedimentation tanks for potable water treatment—A computational fluid dynamic study. Powder Technol. 2014, 268, 139–149. [Google Scholar] [CrossRef]
- Boycott, A.E. Sedimentation of blood corpuscles. Nature 1920, 104, 532. [Google Scholar] [CrossRef]
- Ponder, E. On sedimentation and rouleaux formation-I. Q. J. Exp. Physiol. Transl. Integr. 1925, 15, 235–252. [Google Scholar] [CrossRef]
- Nakamura, H.; Kuroda, K. La propriété spécifique à l’espèce animale pour la stabilité de la suspension des hématies dans les milieux chimiquement et physiquement définis. Keijo J. Med. 1937, 8, 198. [Google Scholar]
- Hill, W.D.; Rothfus, R.R.; Li, K. Boundary-enhanced sedimentation due to settling convection. Int. J. Multiph. Flow 1977, 3, 561–583. [Google Scholar] [CrossRef]
- Probstein, R.F.; Yung, D.; Hicks, R.E. A model for lamella settlers. In Proceedings of the Theory, Practice, and Process Principles for Physical Separations’, Engineering Foundation Conference, Asilomar, CA, USA, 30 October–4 November 1977. [Google Scholar]
- Nir, A.; Acrivos, A. Sedimentation and sediment flow on inclined surfaces. J. Fluid Mech. 1990, 212, 139. [Google Scholar] [CrossRef]
- Kapoor, B.; Acrivos, A. Sedimentation and sediment flow in settling tanks with inclined walls. J. Fluid Mech. 1995, 290, 39. [Google Scholar] [CrossRef]
- Seddon, J.A. Clearing Water by Settlement—Observation and Theory. Assoc. Eng. Soc. 1889, 8, 477–494. [Google Scholar]
- Hazen, A. On sedimentation. Trans. ASCE 1904, 53, 45–71. [Google Scholar] [CrossRef]
- Herbolzheimer, E.; Acrivos, A. Enhanced sedimentation in narrow tilted channels. J. Fluid Mech. 1981, 108, 485. [Google Scholar] [CrossRef]
- Leung, W.F.; Probstein, R.F. Lamella and tube settlers. 1. Model and operation. Ind. & Eng. Chem. Process. Des. Dev. 1983, 22, 58–67. [Google Scholar] [CrossRef]
- Hansen, S.P.; Culp, G.I. Applying shallow depth sedimentation theory. J.-Am. Water Work. Assoc. 1967, 59, 1134–1148. [Google Scholar] [CrossRef]
- Culp, G.; Hansen, S.; Richardson, G. High-Rate Sedimentation in Water Treatment Works. J.-Am. Water Work. Assoc. 1968, 60, 681–698. [Google Scholar] [CrossRef]
- Leung, W.F. Lamella and tube settlers. 2. Flow stability. Ind. & Eng. Chem. Process. Des. Dev. 1983, 22, 68–73. [Google Scholar]
- Herbolzheimer, E. Stability of the flow during sedimentation in inclined channels. Phys. Fluids 1983, 26, 2043–2054. [Google Scholar] [CrossRef]
- Davis, R.H.; Herbolzheimer, E.; Acrivos, A. Wave formation and growth during sedimentation in narrow tilted channels. Phys. Fluids 1983, 26, 2055–2064. [Google Scholar] [CrossRef]
- Acrivos, A.; Davis, R.; Herbolzheimer, E. Enhanced Sedimentation in Vessels Having Inclined Walls. The Boycott Effect. In Theory of Dispersed Multiphase Flow; Elsevier: Amsterdam, The Netherlands, 1983; pp. 81–95. [Google Scholar]
- Davis, R.H.; Acrivos, A. Sedimentation of noncolloidal particles at low Reynolds numbers. Annu. Rev. Fluid Mech. 1985, 17, 91–118. [Google Scholar] [CrossRef]
- Zioło, J. Influence of the system geometry on the sedimentation effectiveness of lamella settlers. Chem. Eng. Sci. 1996, 51, 149–153. [Google Scholar] [CrossRef]
- Bandrowski, J.; Hehlmann, J.; Merta, H.; Zioło, J. Studies of sedimentation in settlers with packing. Chem. Eng. Process. Process. Intensif. 1997, 36, 219–229. [Google Scholar] [CrossRef]
- Bhorkar, M.P.; Bhole, A.G.; Nagarnaik, P.B. Application of Modified Tube Settler to Improve Sedimentation Process. In Urbanization Challenges in Emerging Economies; American Society of Civil Engineers: Reston, VA, USA, 2005. [Google Scholar]
- Sulakhe, S.; Pathak, R. Effective Method for high Rate Sedimentation. J.-Indian Waterworks Assoc. 1993, 25, 67. [Google Scholar]
- Wang, P.; Ye, N.; Han, Y.; He, X. Experimental Study on the Sedimentation Performance of an Arc-Plate Linear Sedimentation Tank. Water 2024, 16, 1075. [Google Scholar] [CrossRef]
- Goula, A.M.; Kostoglou, M.; Karapantsios, T.D.; Zouboulis, A.I. A CFD methodology for the design of sedimentation tanks in potable water treatment: Case study: The influence of a feed flow control baffle. Chem. Eng. J. 2008, 140, 110–121. [Google Scholar] [CrossRef]
- Salem, A.I.; Okoth, G.; Thöming, J. An approach to improve the separation of solid–liquid suspensions in inclined plate settlers: CFD simulation and experimental validation. Water Res. 2011, 45, 3541–3549. [Google Scholar] [CrossRef]
- Xu, Z.J.; Michaelides, E.E. A numerical simulation of the Boycott effect. Chem. Eng. Comm. 2005, 192, 532–549. [Google Scholar] [CrossRef]
- Esipov, D.; Kuranakov, D. 2D CFD-DEM numerical simulation of the sedimentation of circular particles in the rectangular inclined vessel. AIP Conf. Proc. 2023, 2504, 030011. [Google Scholar] [CrossRef]
- Reyes, C.; Apaz, F.; Niño, Y.; Barraza, B.; Arratia, C.; Ihle, C.F. A review on steeply inclined settlers for water clarification. Miner. Eng. 2022, 184, 107639. [Google Scholar] [CrossRef]
- Galvin, K.; Nguyentranlam, G. Influence of parallel inclined plates in a liquid fluidized bed system. Chem. Eng. Sci. 2002, 57, 1231–1234. [Google Scholar] [CrossRef]
- Doroodchi, E.; Fletcher, D.; Galvin, K. Influence of inclined plates on the expansion behaviour of particulate suspensions in a liquid fluidised bed. Chem. Eng. Sci. 2004, 59, 3559–3567. [Google Scholar] [CrossRef]
- Galvin, K.P.; Callen, A.; Zhou, J.; Doroodchi, E. Performance of the reflux classifier for gravity separation at full scale. Miner. Eng. 2005, 18, 19–24. [Google Scholar] [CrossRef]
- Galvin, K.; Zhou, J.; Walton, K. Application of closely spaced inclined channels in gravity separation of fine particles. Miner. Eng. 2010, 23, 326–338. [Google Scholar] [CrossRef]
- Syed, N.; Dickinson, J.; Galvin, K.; Moreno-Atanasio, R. Continuous, dynamic and steady state simulation of the reflux classifier using a segregation-dispersion model. Miner. Eng. 2018, 115, 53–67. [Google Scholar] [CrossRef]
- Azevedo, L.; Sparrow, E. Natural convection in open-ended inclined channels. J. Heat Transf. 1985, 107, 893–901. [Google Scholar] [CrossRef]
- Paolucci, S.; Chenoweth, D. Natural convection in shallow enclosures with differentially heated endwalls. J. Heat Transf. 1988, 110, 625–634. [Google Scholar] [CrossRef]
- Soong, C.; Tzeng, P.; Chiang, D.; Sheu, T. Numerical study on mode-transition of natural convection in differentially heated inclined enclosures. Int. J. Heat Mass Transf. 1996, 39, 2869–2882. [Google Scholar] [CrossRef]
- Rahman, M.; Sharif, M. Numerical study of laminar natural convection in inclined rectangular enclosures of various aspect ratios. Numer. Heat Transf. Part A Appl. 2003, 44, 355–373. [Google Scholar] [CrossRef]
- Reyes, C.; Ihle, C.F.; Apaz, F.; Cisternas, L.A. Heat-Assisted Batch Settling of Mineral Suspensions in Inclined Containers. Minerals 2019, 9, 228. [Google Scholar] [CrossRef]
- Kinosita, K. Sedimentation in tilted vessels. J. Colloid Sci. 1949, 4, 525–536. [Google Scholar] [CrossRef]
- Peacock, T.; Blanchette, F.; Bush, J.W. The stratified Boycott effect. J. Fluid Mech. 2005, 529, 33–49. [Google Scholar] [CrossRef]
- Lavorel, G.; Le Bars, M. Sedimentation of particles in a vigorously convecting fluid. Phys. Rev. E—Stat. Nonlinear Soft Matter Phys. 2009, 80, 046324. [Google Scholar] [CrossRef]
- Acrivos, A.; Herbolzheimer, E. Enhanced sedimentation in settling tanks with inclined walls. J. Fluid Mech. 1979, 92, 435. [Google Scholar] [CrossRef]
- Currie, I.G. Fundamental Mechanics of Fluids; CRC Press: Boca Raton, FL, USA, 1993. [Google Scholar]
Disclaimer/Publisher’s Note: The statements, opinions and data contained in all publications are solely those of the individual author(s) and contributor(s) and not of MDPI and/or the editor(s). MDPI and/or the editor(s) disclaim responsibility for any injury to people or property resulting from any ideas, methods, instructions or products referred to in the content. |
© 2024 by the authors. Licensee MDPI, Basel, Switzerland. This article is an open access article distributed under the terms and conditions of the Creative Commons Attribution (CC BY) license (https://creativecommons.org/licenses/by/4.0/).