You are currently viewing a new version of our website. To view the old version click .
Applied Sciences
  • Article
  • Open Access

30 December 2024

Analysis of the Matching Media Effects by Microwave Field Distribution Simulations for the Cylindrically Layered Human Arm Model

Faculty of Engineering, Turkish-German University, Sahinkaya Cad. No: 106, 34820 Beykoz, Turkey
This article belongs to the Special Issue Trends and Prospects in Applied Electromagnetics

Abstract

In this study, a method is presented to determine the matching media parameters that maximize the electromagnetic energy penetrating into the human arm modeled as a radially stratified cylinder. In this context, first, the electromagnetic scattering problem related to the layered cylindrical model in question was solved analytically using cylindrical harmonics. Then, based on this solution, a frequency-dependent functional in terms of the electromagnetic parameters of the matching medium was defined, and the parameters that minimize this functional were determined through the graphs of this functional. In this functional, which depends on the permittivity, conductivity and frequency of the matching medium, one parameter was kept constant at every turn while the other two parameters were optimized. The accuracy of the approach was demonstrated by calculating the electric field amplitudes inside and outside the layers for the parameters determined by the proposed method. The numerical results given in this context demonstrate that if a matching medium is used, the penetrating field increases between 1.3 to 13.96 times compared to the case where the matching medium is absent.

1. Introduction

One of the important applications of electromagnetic imaging problems is the detection and imaging of the localized pathological changes in human organs or tissues [,]. In recent years, many studies have been carried out on various parts of human body such as the head, breast, arm, etc., which are non-homogeneous and have frequency-dependent electromagnetic parameters [,,,]. When such structures are placed in free space for imaging purposes, due to their constitutive parameters with high dielectric contrast and loss, there will be a problem with the relative poor penetrating of the incident field into the structure and a considerable part of the field will be reflected back. To overcome this difficulty, one of the measures may be taken is the existence of a background space with appropriate parameters. If the contrast difference between the inhomogeneous structure under examination and the medium in which the structure is placed can be reduced enough, as a result of the usage of an appropriate background medium, better transmission and lesser reflection of the incoming field into the structure will be possible, and the field will interact with the structures to be detected and imaged. These types of media are called as “matching media” and a relatively limited number of studies exist in the literature [,,,,,,,,,,,,] since medical microwave imaging is a new developing technique compared to conventional approaches such as MR, X-ray, etc.
Microwave imaging applications have largely concentrated on the head (brain) [,,,,] and female breast [,,,], but microwave imaging of the arm [,,], limb [] and bone [,] have also drawn interest. The satisfactory imaging quality of the human arm with microwave-based alternative medical technologies requires a background space (matching medium) to directly decrease the reflected field and to transmit the incident field by a sufficient amount at the arm boundary. In recent years, several contributions concerned with microwave imaging of human arm and matching medium have been reported in the literature. For instance, Jofre et al. [] used a microwave tomographic scanner for biomedical applications using deionized water for matching purposes and presented tomographic slices of an in vivo human forearm. In [], the authors outlined a process for an appropriate matching fluid and generated images of a human forearm using an experimental microwave tomography system designed for limb imaging. Gilmore et al. [] presented a pilot study using a microwave tomography system with a matching fluid of deionized water and table salt, and they imaged the forearms of five adult male and female volunteers between the ages of 30 and 48. Amin et al. [] investigated the application of microwave imaging to monitor the in vivo dielectric properties of human bones and, hence, aid in the monitoring of osteoporosis. Alkhodari et al. [] conducted a study to evaluate the use of microwave tomography for imaging human bones with varying parameters, where the authors proposed the use of an ultrasound gel instead of the more traditional glycerin/water solution as a matching medium.
Different studies related to the human arm may also be mentioned. Faktorova et al. [] showed that metamaterial structures can increase the focusation of electromagnetic energy in the human arm to larger deep areas without the undesired radiation of the surrounding area. Azizi et al. [] studied the behavior of an ultra-wideband antenna and tested the antenna in free space, outside and inside of a numerically modeled human arm.
In the literature, there are studies on layered cylindrical structures that can be analytically solved and human arm models built with these structures. The aim of all these models is to reveal the interaction of electromagnetic waves with the relevant structures, that is, to solve a scattering problem. As an example of the analytical solution methods of the stratified cylinders in the literature, one can mention the work of Yeh and Lindgren []. They worked out multilayered cylinders having an arbitrary number of layers, They introduced calculations of the scattering coefficients using successive matrix multiplications. The non-stratified circular cylindrical human arm model implementation can be found in Jensen et al. [], where they used the recursive Green’s function method for the computation of fields scattered by a cylindrical arm model consisting of a circular cylinder representing the muscle and two smaller cylinders representing the bone. The analytical solution presented in this article is quite parallel to that reported by Kai and D’Alessio []. Kai and D’Alessio [] carried out the scattering problem, without matching medium, using a finely stratified cylinder model.
The research reported by Scapaticci et al. [] is closely similar to the presented study, in which a simple planarly stratified structure was analyzed by the transmission line method for a head phantom having human tissue characteristics, and the matching medium parameters were determined. Catapano et al. [] investigated a study on microwave tomography of the female breast by similarly exploiting a simple planarly layered breast model. These cited research groups justified the adoption of a such simplified model by reasoning that the scanning wavelength should be small compared to the size of the body, in order to allow the detectability of small tumors and tissue details.
In this study, a new method has been proposed to determine the background medium parameters, which has the main purpose to minimize the energy loss, that is, to maximize the electromagnetic energy passing inside. In this regard, a five-tissue layered cylindrical arm model is illuminated with a line source located outside the arm structure. This classical electromagnetic scattering problem is solved analytically, and the reflected and transmitted wave amplitude coefficients are obtained. A functional is defined in terms of the reflection coefficients of the cylindrical harmonics in the analytical solution depending on the electromagnetic parameters of the background medium, which is also known as matching medium. The constitutive parameters and operating frequency that minimize the functional will be decisive in the choice of the matching medium with optimum characteristics. Through the image plot of the functional, the parameter pairs that minimize this functional are determined. Using these parameters, comparisons of the scattered and transmitted fields are carried out for the cases with and without the matching medium. Testing the accuracy of the approach is based on observing the amplitude of the field in different regions with the calculated parameters. Thus, the numerical results obtained are verified within themselves and their consistency is demonstrated. The numerical results obtained indicate the success of the method.
The remainder of the paper is organized as follows. The modeling of the human arm is presented in Section 2. Green’s function formulation of the problem is outlined in Section 3. Section 4 discusses minimizing of the reflection coefficient R n . Formulation of the five-layered arm model with an internal object is given in Section 5. Section 6 is devoted to numerical results. Finally, concluding remarks are given in Section 7. Throughout the study, a time factor e i ω t is assumed and omitted.

2. Modeling of the Human Arm

It is assumed in this research that the human arm is modeled as a radially stratified cylinder of 50 mm radius. The geometry of the arm model consists of five concentric cylindrical layers, of which thicknesses are 1.5 mm (skin), 8.5 mm (fat), 27.5 mm (muscle), 6 mm (bone) and 6.5 mm (bone marrow) [,,], as shown in Figure 1.
Figure 1. Geometry of the problem with an internal object D .
As it is well known, the electromagnetic properties of human tissues depend generally on frequency and, hence, they are characterized as dispersive media. The constitutive parameters of frequency-dispersive biological tissues are commonly evaluated by a variety of relaxation simulations including Debye and Cole–Cole models. The suitability of the Debye model for fast evaluation of wideband fields was reported in [] by comparing with the Cole–Cole model. Taking into account the dispersive nature of the tissues in the layers of the arm model, their dielectric properties are determined in this study according to the three-pole Debye model expressed by
ϵ r ( ω ) = ϵ + k = 1 3 Δ ϵ k 1 i ω τ k ,
where ω is the angular frequency, ϵ is the high frequency permittivity, Δ ϵ k is the magnitude of the dispersion and τ k is the relaxation time constant. These parameters for five tissues considered in this work are extracted for each tissue from the data set reported in [,] for the frequency range from 100 MHz to 2 GHz and listed in Table 1.
Table 1. Debye parameters of the arm tissues for the frequency range from 100 MHz to 2 GHz [,].

3. Green’s Function Formulation of the Problem

We consider the two-dimensional electromagnetic scattering problem for a human arm model composed of concentric cylindrical layers of skin, fat, muscle, cortical bone and bone marrow. Figure 1 shows the cross-sectional reference geometry of the cylindrical structure, which is located in the transverse direction. The wavenumber of the background medium is k b . The stratified model is irradiated by a monochromatic electromagnetic wave having the frequency ω excited by an infinitely long line source parallel to the structure. The Green’s function G b ( x , y ) of the structure satisfies the equation
2 G b ( x , y ) + k b 2 G b ( x , y ) = δ ( x y )
and has the solution
G b ( x , y ) = i 4 H 0 ( 1 ) ( k b x y ) ,
which is simply the field of the line source located at an arbitrary point y R 2 outside the structure. Here, H 0 ( 1 ) denotes the zeroth order Hankel function of the first kind and can be replaced by using the addition theorem for Hankel functions as follows []:
H 0 ( 1 ) ( k b | x y | ) = i 4 n = H n ( 1 ) ( k b ρ ) J n ( k b ρ ) e i n ( ϕ ϕ ) , if ρ > ρ n = H n ( 1 ) ( k b ρ ) J n ( k b ρ ) e i n ( ϕ ϕ ) , if 0 < ρ < ρ
where the vectors ρ = ( ρ , ϕ ) and ρ s = ( ρ , ϕ ) denote the observation and the source points, respectively. The line source is assumed to be located outside the cylindrical structure. The zeroth order Hankel function appearing in this expression can adequately be replaced by using the addition theorem for Hankel functions as follows:
H 0 ( 1 ) ( k 1 | x y | ) = n = H n ( 1 ) ( k 1 ρ > ) J n ( k 1 ρ < ) e i n ( ϕ ϕ )
where ρ > = m a x ( ρ , ρ ) and ρ < = m i n ( ρ , ρ ) [].
The line source situated at ρ = ρ 0 , ϕ = ϕ 0 has the current density
J ( ρ , ϕ ) = I 0 ρ 0 δ ( ρ ρ 0 ) δ ( ϕ ϕ 0 ) ,
where I 0 denotes the current strength. In the TM case, the incident electric field generated by the line source has only a x 3 -component, given by
E i ( x ) = u i ( x ) e 3 , x = ( x 1 , x 2 ) R 2
with
u i ( x ) = k b I 0 4 ω ϵ 0 H 0 ( 1 ) ( k b ρ ρ s )
where H 0 ( 1 ) denotes the Hankel function of the first kind with order zero and k b is the wavenumber of the background medium, and the vectors ρ = ( ρ , ϕ ) and ρ s = ( ρ 0 , ϕ 0 ) denote the observation and the source points, respectively. In what follows is the line source assumed to be located outside the cylindrical structure. The Green’s functions in the relevant layers are
G ( ρ , φ , ρ , ϕ ) = i 4 H 0 ( 1 ) ( k b | ρ ρ | ) + n = R n H n ( 1 ) ( k b ρ ) e i n ( ϕ ϕ ) , ρ > r 1
and, for respective indices = 2 , 3 and 4,
G ( ρ , ϕ , ρ , ϕ ) = n = T n H n ( 1 ) ( k ρ ) + S n J n ( k ρ ) e i n ( ϕ ϕ ) , r < ρ < r + 1
and
G ( ρ , ϕ , ρ , ϕ ) = n = T 5 n J n ( k 5 ρ ) e i n ( ϕ ϕ ) , ρ < r 4
The unknown wave amplitude coefficients R n , T 2 n , S 2 n , T 3 n , S 3 n , T 4 n , S 4 n and T 5 n in the above expressions can be obtained by imposing the continuity and the jump conditions
G ( ρ = ρ + 0 , ϕ , ρ , ϕ ) G ( ρ = ρ 0 , ρ , ϕ ) = 0
and
G ρ ( ρ = ρ + 0 , ϕ , ρ , ϕ ) G ρ ( ρ = ρ 0 , ρ , ϕ ) = 1 ρ e i n ϕ
on each layer surface S, respectively, Ref. []. The resulting expressions, when continuity and jump conditions are applied, are as follows:
i 4 J n ( k b r 1 ) H n ( 1 ) ( k 1 ρ ) + R n H n ( 1 ) ( k b r 1 ) = T 1 n H n ( 1 ) ( k 1 r 1 ) + S 1 n J n ( k 1 r 1 )
i 4 J n ( k b r 1 ) H n ( 1 ) ( k 1 ρ ) + R n H n ( 1 ) ( k b r 1 ) = T 1 n H n ( 1 ) ( k 1 r 1 ) + S 1 n J n ( k 1 r 1 )
and, for respective indices = 1 , 2 and 3,
T n H n ( 1 ) ( k r ) + S n J n ( k r ) = T + 1 n H n ( 1 ) ( k + 1 r + 1 ) + S + 1 n J n ( k + 1 r + 1 )
T n H n ( 1 ) ( k r ) + S n J n ( k r ) = T + 1 n H n ( 1 ) ( k + 1 r + 1 ) + S + 1 n J n ( k + 1 r + 1 )
and
T 4 n H n ( 1 ) ( k 4 r 4 ) + S 4 n J n ( k 4 r 4 ) = T 5 n J n ( k 5 r 5 )
T 4 n H n ( 1 ) ( k 4 r 4 ) + S 4 n J n ( k 4 r 4 ) = T 5 n J n ( k 5 r 5 )
where derivatives are considered with respect to the entire argument. The values of the scattered and transmitted wave amplitude coefficients appearing in Equations (14)–(19) will be determined alphanumerically in numerical implementations.

4. Minimizing of the Reflection Coefficient

In the choice of the matching medium, one of the desired issues is the maximization of the incident wave energy that penetrates into the arm structure. This matter assures the interaction of the transmitted field with the arm tissues, which is of major significance for the microwave imaging purposes. A small value of amplitude reflection coefficient will certainly allow more energy to be transmitted into the tissue model []. In order to determine the lowest value of the reflection coefficient R n , one can start from the radar cross section (RCS) definition. For the case of TM polarized incident plane wave, the bistatic cylinder RCS expression with far scattered field approximation is given by
σ ( ϕ ) = 2 λ 0 π n = R n ( f , ϵ r m m , σ m m ) e i n ( ϕ ϕ 0 ) 2
where ϕ denotes the observation angle []. In this expression, R n is assumed as a function depending on the operating frequency and the constitutive parameters of the matching medium, i.e., relative permittivity and conductivity, respectively. To reduce the total RCS of the cylindrical structure of the arm model, one can define a functional as an integral of the function σ ( ϕ ) with respect to the observation angle ϕ :
F ( f , ϵ r m m , σ m m ) = 0 2 π σ ( ϕ ) d ϕ = 4 λ 0 n = R n ( f , ϵ r m m , σ m m ) 2
While obtaining this functional, taken into account was the multiplication of the open form of the infinite series in Equation (20) by their conjugate. Regarding one of the three parameters, namely, frequency, relative permittivity and conductivity, as constant and the other two as variables at certain intervals, the image plot of the F ( f , ϵ r m m , σ m m ) functional can be easily obtained. The parameter pair that minimizes the functional F ( f , ϵ r m m , σ m m ) obtained from the image plot will be the sought-after solution of the problem.

5. Formulation of the 5-Layered Arm Model with an Internal Object

In order to investigate the differences between scattered and transmitted fields in healthy and unhealthy human arms, an unhealthy arm model with an abnormal region (e.g., bleeding, clot or tumor) is created by placing a dielectric structure D with a rectangular cross-section inside the concentric cylindrical arm model. The configuration is illustrated in Figure 1. Now, assume the unhealthy arm model is illuminated by a line source located outside the inhomogeneities. Let us introduce the field u 0 ( x ) , which would be observed in the absence of the body D . When the contribution of the unhealthy tissue D is denoted by u s ( x ) , the total field u ( x ) can be expressed at any point as the following sum:
u ( x ) = u s ( x ) + u 0 ( x ) .
The
2 u s ( x ) + k b 2 u s ( x ) = k b 2 v ( x ) u ( x ) ,
where the function v ( x ) is the so called object function and defined by
v ( x ) = k 2 ( x ) k b 2 1 , if x D 0 , if x D
In this study, the object D representing the abnormal tissue is placed in the innermost layer of the cylindrical structure; therefore, in numerical implementations, k ( x ) is arranged for a medium with the wave number k 5 , as depicted in Figure 2. The scattering problem under consideration can be formulated equivalently to the problem of solving the Lippman–Schwinger integral equation
u ( x ) = u 0 ( x ) + k b 2 D G ( x , y ) v ( y ) u ( y ) d y , x D
for u, which is a second-kind Fredholm integral equation. The numerical solution of this equation can be obtained by a method of moments ( M o M )-based technique given in []. For the numerical evaluation, the dielectric object D is divided first into M sufficiently small rectangular cells D m , m = 1 , 2 , , M assuming the field u ( x ) constant over each cell. Consequently, the problem can be reduced to the solution of a system of linear equations for the unknown u ( x n ) :
u ( x n ) k 5 2 m = 1 M u ( x m ) C n m = u ( x n ) , n = 1 , 2 , , M
where
C n m = v ( y n ) D m G ( x m , y m ) d y
is substituted. In the implementation of the M o M -based method, the integration of the singular part H 0 ( 1 ) ( k b x n y m ) of the Green’s function over the rectangular cells in D m can be obtained by the equivalent circular cell approach given in [] as follows:
C n m = 1 i 2 [ π k b a H 0 ( 1 ) ( k b a ) + 2 i ] v ( y m ) , n = m i π k b a 2 J 1 ( k b a ) H 0 ( 1 ) ( k b | x n y m | ) v ( y m ) , n m
where a is given by
a = Δ x Δ y / π
denoting the radius of the equivalent circular region where Δ x and Δ y represent the side lengths of a rectangular cell.
Figure 2. Amplitude variation of the functional F ( f , ϵ r m m ) with σ m m = 0 .

6. Results and Discussion

The numerical results are based on the computations of the analytically formulated scattered and transmitted fields for a radially stratified cylindrical human arm model outlined in the previous sections. The human arm model is illuminated by a line source located at the point ( x 1 , x 2 ) = ( 0.13 ,   0 ) m at a single frequency. The scattered field outside the arm model is calculated on a circle of radius 0.3 m and inside the arm model on a circle of radius 0.025 m. An unhealthy arm model having bleeding or a tumor is simulated with an object D representing the abnormal region placed on the origin in the innermost layer. The object D is assumed to have a square cross-section and its wave number is taken as 1.5 times the wave number of the innermost layer, i.e., k o b j = 1.5 k 5 . The added object is chosen of the size 1 × 1 cm and it is divided into 10 × 10 cells. The first three examples are devoted to the analysis of the background, which is, in our study, taken as the matching medium, by taking into account its constitutive parameters, namely, its permittivity and conductivity, and the frequency of the source. Here, as a basic approach in our computations, one of the three parameters is supposed to be constant, and the amplitude variation of the functional F ( f , ϵ r mm , σ mm ) depending on the other two parameters, which are defined on the appropriate ranges, is depicted as an image plot. Points selected from the relevant colored regions in the image plot will indicate the lowest and the highest amplitude values of the functional. To accurately simulate the electrical properties of the human arm tissues at the frequencies from 100 MHz to 2 GHz, the data generated using the three-pole Debye equation provided in Equation (1) are employed in numerical calculations.

6.1. Analysis for Frequency and Permittivity (Conductivity Is Fixed)

In the first example, the conductivity of the matching medium is taken as σ mm = 0 . The image plot depicted in Figure 2 represents the amplitude variation of the functional F ( f , ϵ r mm ) as a function of the frequency and relative permittivity of the matching medium.
The frequency is varying in the range from 0.2 to 2 GHz and the relative permittivity from 1 to 50, respectively. The points in the yellow-colored regions of the image plot display the frequency and the relative permittivity pairs that correspond to the highest reflected field coefficient values, while the darker blue-colored regions of the image plot comply with ( f , ϵ r mm ) pairs and appropriate the lowest reflected field values. As labeled on Figure 2, two pairs with values ( f , ϵ r mm ) = ( 1.7   GHz ,   5.9 ) from the yellow-colored region and ( f , ϵ r mm ) = ( 0.5   GHz ,   3.45 ) from the darker blue-colored region are arbitrarily chosen and they comply with respective highest and lowest amplitude values of the functional F ( f , ϵ r mm ) . In order to illustrate the matching medium effect in terms of the penetrated field, two different background spaces regarding the values from Figure 2 are taken into account. Figure 3 shows graphically the amplitude changes of the total transmitted electric field versus observation angle in the innermost layer of the arm structure along a horizontal line through the origin depending on the respective matching medium parameters.
Figure 3. Comparison of the total transmitted field amplitude variations along the line x 2 = 0 in the innermost layer of the model for the ( f , ϵ r mm ) pairs.
It is evident from Figure 3 that the presence of the matching medium owning appropriate parameters from Figure 2 has increased the amplitude of the penetrating electric field in the arm structure. To be able to give a more quantitative measure for the correspondence of two curves, as how close one curve is to the other curve, one of the possibilities is the comparison of the areas under these curves. When the definite integrals of the curves shown in Figure 3 are evaluated via the trapezoid method, the ratio of the areas under the curves gives the value 13.96 , which indicates that the considerable part of the energy penetrates into the arm structure. Figure 4 shows the amplitude variation of the scattered field by the internal object placed in the innermost layer of the arm model in the presence and absence of the matching medium.
Figure 4. Total scattered field computed outside and inside the arm model having an internal object in presence and absence of the matching medium at f = 0.5 GHz .
The scattered electric field | E s | is calculated outside the arm model on a circle of radius 0.3 m and inside the arm model on a circle of radius 0.025 m . The amplitude changes versus observation angle are plotted in Figure 4 adapting the values of the pair ( f , ϵ r mm ) = ( 0.5 GHz ,   3.45 ) in the presence and ( f , ϵ r mm ) = ( 0.5 GHz ,   1 ) in the absence of the matching medium, both values from Figure 2. As can be seen from Figure 4, the scattered field changes differ for different background spaces. In this example, when the dielectric permittivity of the matching medium increases, the scattered field amplitude decreases and, hence, the amount of the energy penetrating into the arm structure becomes larger.

6.2. Analysis for Frequency and Conductivity (Permittivity Is Fixed)

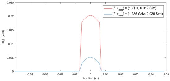
In the second example, the relative permittivity of the background medium is chosen as ϵ r mm = 40 . Figure 5 represents the image plot of the amplitude variation of the functional F ( f , σ mm ) as a function of the frequency and conductivity of the matching medium, where the frequency is altering in a range from 0.8 to 2 GHz and the conductivity from 0.01 to 0.03 S/m.
Figure 5. Amplitude variation of the functional F ( f , σ mm ) with ϵ r mm = 40 .
As can be seen from Figure 5, two pairs with values ( f , σ mm ) = ( 1.375 GHz ,   0.028 S / m ) from the yellow-colored region and ( f , σ mm ) = ( 1 GHz ,   0.012 S / m ) from the darker blue-colored region are chosen. These pairs are the corresponding respective highest and lowest amplitude values of the functional F ( f , σ mm ) .
Figure 6 represents the amplitude changes of the transmitted electric field in the innermost layer of the arm structure along the line x 2 = 0 depending on the respective matching medium parameters taken from Figure 5. The ratio of the areas under the curves plotted in Figure 6 yields in 4.67 , from which one can conclude that a noticeable part of the field energy can enter the arm construct. The scattered electric field by the internal object located in the innermost layer of the arm structure is computed on the observation circles of radii 0.3 m and 0.025 m . The amplitude variations versus observation angle are depicted in Figure 7 using the pair ( f , σ mm ) = ( 1 GHz ,   0.012 S / m ) from Figure 5, with ϵ r mm = 40 in the presence and ϵ r mm = 1 in the absence of the matching medium, respectively.
Figure 6. Comparison of the total transmitted field amplitude variations along the line x 2 = 0 in the innermost layer of the model for the ( f , σ mm ) pairs.
Figure 7. Total scattered field computed outside and inside the arm model having an internal object in presence and absence of the matching medium at f = 1 GHz .
It is observed from Figure 7 that the scattered field changes both inside and outside the arm model vary for different background spaces.

6.3. Analysis for Permittivity and Conductivity (Frequency Is Fixed)

The final numerical example is devoted to the case where the amplitude variation of the functional F ( ϵ r mm , σ mm ) depends on the relative permittivity and conductivity parameters of the matching medium, which is illustrated in Figure 8.
Figure 8. Amplitude variation of the functional F ( ϵ r mm , σ mm ) with f = 0.1 GHz .
This image plot is obtained by assuming a constant frequency f = 0.1 GHz . The relative permittivity is varying in the range from 1 to 50 and the conductivity from 0.01 S / m to 0.03 S / m , respectively. As labeled in Figure 8, two pairs reading ( ϵ r mm , σ mm ) = ( 45 ,   0.028 S / m ) from the yellow-colored region and ( ϵ r mm , σ mm ) = ( 15 ,   0.012 S / m ) from the darker blue-colored region, corresponding to respective highest and lowest amplitude values of the functional F ( ϵ r mm , σ mm ) , are chosen.
Variations of the transmitted electric field in the innermost layer of the arm model along the line x 2 = 0 are calculated using two parameter pairs from the image plot of Figure 8 and represented in Figure 9. The ratio of the areas under the transmittance curves presented in Figure 9 is 1.34 , which demonstrates that the energy penetration into the arm structure is rather poor. Figure 10 shows the amplitude change of the scattered field by the internal object placed in the innermost layer of the arm model in the presence and absence of the matching medium.
Figure 9. Comparison of the total transmitted field amplitude variations along the line x 2 = 0 in the innermost layer of the model for the ( ϵ r mm , σ mm ) pairs.
Figure 10. Total scattered field computed outside and inside the arm model having an internal object in presence and absence of the matching medium at f = 0.1 GHz .
The scattered electric field | E s | is calculated on the observation circles of radii 0.3 m and 0.025 m . The amplitude changes versus observation angle are plotted in Figure 10 adapting the values of the pair ( ϵ r mm , σ mm ) = ( 15 ,   0.012 S / m ) in the presence and ( ϵ r mm , σ mm ) = ( 1 ,   0.012 S / m ) in the absence of the matching medium, both from Figure 8. The scattered field changes both inside and outside the arm model are shown in Figure 10 and they are dissimilar for different background spaces.

7. Conclusions

In this study, which is essentially theoretically based, by exploiting a simplified human arm model, the factors affecting influence and effectiveness of matching media are analyzed. The matching medium design was implemented numerically based on the analytical solution for a five-layered cylindrical human arm model. The numerical results have shown that it is inevitable to use a matching medium so that incident electromagnetic waves sufficiently penetrate and interact with the tissues in question. From the results obtained in the preceding analysis, one can draw some useful consequences. For example, the numerical results may contribute to the development of a microwave tomography device by providing the appropriate range of constitutive parameters and operating frequency. The results obtained have demonstrated the accuracy of the method and approach within itself. Undoubtedly, experimental verification of the results and the method of this study is an important problem.
Although this cylindrical model does not perfectly reflect the real human arm geometry, the advantage of this arm model is that it is suitable for analytical calculations. On the other hand, since this model is suitable for analytical solution, which is easy to implement and capable of producing fast solutions from the computational point of view, it can provide advantages over other existing methods [,]. It should also be mentioned as a final note that the results obtained by the presented approach can be compared by using commercial softwares, which is left as a future study.

Funding

This research received no external funding.

Institutional Review Board Statement

Not applicable.

Data Availability Statement

Data available in a publicly accessible repository.

Conflicts of Interest

The author declares no conflicts of interest.

References

  1. Gilmore, C.; Zakaria, A.; LoVerti, J.; Pistorius, S. A Study of Matching Liquid Fluid Loss in a Biomedical Tomography System. Med. Phys. 2013, 40, 023101. [Google Scholar] [CrossRef]
  2. Lui, H.S.; Fhager, A.; Persson, M. Matching Medium for Biomedical Microwave Imaging. In Proceedings of the Internatinal Symposium on Antennas and Propagation (ISAP), Hobart, Australia, 9–12 November 2015; pp. 569–571, ISBN 978-4-8855-2302-1. [Google Scholar]
  3. Catapano, I.; Donato, L.D.; Crocco, L.; Bucci, O.M.; Morabito, A.F.; Isernia, T.; Massa, R. On quantitative microwave tomography of female breast. Prog. Electromagn. Res. 2009, 97, 75–93. [Google Scholar] [CrossRef]
  4. Scapaticci, R.; Donato, L.D.; Catapano, I.; Crocco, L. A Feasibility Study on Microwave Imaging for Brain Stroke Monitoring. Prog. Electromagn. Res. 2012, 40, 305–324. [Google Scholar] [CrossRef]
  5. Gilmore, C.; Zakaria, A.; Pistorius, S.; LoVerti, J. Microwave Imaging of Human Forearms: Pilot Study and Image Enhancement. Int. J. Biomed. Imaging 2013, 2013, 673027. [Google Scholar] [CrossRef] [PubMed]
  6. Amin, B.; Shahzad, A.; Crocco, L.; Wang, M.; Halloran, M.O.; Gonzalez-Suarez, A.; Elahi, M.A. A Feasibility Study on Microwave Imaging of Bone for Osteoporosis Monitoring. Med. Biol. Eng. Comput. 2021, 59, 925–936. [Google Scholar] [CrossRef] [PubMed]
  7. Jofre, L.; Hawley, M.S.; Broquetas, A.; Reyes, E.D.; Ferrando, M.; Elias-Fuste, A.R. Medical imaging with a microwave tomographic scanner. IEEE Trans. Biomed. Eng. 1990, 37, 303–312. [Google Scholar] [CrossRef]
  8. Meaney, P.M.; Pendergrass, S.A.; Fanning, M.W.; Li, D.; Paulsen, K.D. Importance of using a reduced contrast coupling medium in 2D microwave breast imaging. J. Electromagn. Wave Appl. 2003, 17, 333–355. [Google Scholar] [CrossRef]
  9. Meaney, P.M.; Fox, C.J.; Geimer, S.D.; Paulsen, K.D. Electrical Characterization of Glycerin: Water Mixtures: Implications for Use as a Coupling Medium in Microwave Tomography. IEEE Trans. Microw. Theory Techn. 2017, 65, 1471–1478. [Google Scholar] [CrossRef] [PubMed]
  10. Koutsoupidou, M.; Groumpas, E.; Karanasiou, I.S.; Christopoulou, M.; Nikita, K.; Uzunoglu, N. The Effect of Using a Dielectric Matching Medium in Focused Microwave Radiometry: An Anatomically Detailed Head Model Study. Med. Biol. Eng. Comput. 2017, 56, 809–816. [Google Scholar] [CrossRef] [PubMed]
  11. Lui, H.S.; Fhager, A. On the Matching Medium for Microwave-Based Medical Diagnosis. Biomed. Phys. Eng. Express 2017, 4, 035015. [Google Scholar] [CrossRef]
  12. Lui, H.S.; Fhager, A. On the Matching Medium for Microwave Stroke Diagnosis. Biomed. Phys. Eng. Express 2019, 6, 045020. [Google Scholar] [CrossRef]
  13. Alkhodari, M.; Zakaria, A.; Qaddoumi, N. Monitoring Bone Density Using Microwave Tomography of Human Legs: A Numerical Feasibility Study. Sensors 2021, 21, 7078. [Google Scholar] [CrossRef]
  14. Faktorova, D.; Istenikova, K. Increasing of Microwave Energy Focusing Effectiveness by Using Metamaterial Structures. In Proceedings of the The International Conference on Digital Technologies 2013, Zilina, Slovakia, 29–31 May 2013; pp. 81–83. [Google Scholar] [CrossRef]
  15. Azizi, M.S.N.; Salleh, A.; Othman, A.; Mohamad, N.R.; Aris, N.A.; Abu, M.; Hassan, N.; Ramli, M.H.; Ngelayang, T.B. UWB Rectangular Slotted Microstrip Patch Antenna in Proximity of Human Arm Model. J. Teknol. 2016, 78, 111–115. [Google Scholar]
  16. Yeh, C.; Lindgren, G. Computing the propagation characteristics of radially stratified fibers: An efficient method. Appl. Opt. 1972, 16, 483–493. [Google Scholar] [CrossRef] [PubMed]
  17. Jensen, M.A.; Freeze, J.D. A recursive Green’s function method for boundary integral analysis of inhomogeneous domains. IEEE Trans. Antennas Propag. 1998, 46, 1810–1816. [Google Scholar] [CrossRef]
  18. Kai, L.; D’Alessio, A. Finely stratified cylinder model for radially inhomogeneous cylinders normally irradiated by electromagnetic plane waves. Appl. Opt. 1995, 34, 5520–5530. [Google Scholar] [CrossRef] [PubMed]
  19. Ito, K.; Hotta, Y. Signal Path Loss Simulation of Human Arm for Galvanic Coupling Intra-Body Communication. J. Adv. Simulat. Sci. Eng. 2016, 3, 29–46. [Google Scholar] [CrossRef]
  20. Song, Y.; Hao, Q.; Zhang, K.; Wang, M.; Chu, Y.; Kang, B. The Simulation Method of the Galvanic Coupling Intrabody Communication with Different Signal Transmission Paths. IEEE Trans. Instrum. Meas. 2011, 60, 1257–1266. [Google Scholar] [CrossRef]
  21. Wegmueller, M.S.; Kuhn, A.; Froehlich, J.; Oberle, M.; Felber, N.; Kuster, N.; Fichtner, W. An Attempt to Model the Human Body as a Communication Channel. IEEE Trans. Biomed. Eng. 2007, 54, 1851–1857. [Google Scholar] [CrossRef] [PubMed]
  22. Cruciani, S.; Santis, V.D.; Feliziani, M.; Maradei, F. Cole-Cole vs. Debye Models for the Assessment of Electromagnetic Fields Inside Biological Tissues Produced by Wide Band EMF Sources. In Proceedings of the IEEE Asia-Pacific Symposium on Electromagnetic Compatibility (APEMC), Singapore, 21–24 May 2012; pp. 685–688. [Google Scholar] [CrossRef]
  23. Lumnitzer, R.; Tanner, A.; Elsherbeni, A.Z. Debye Coefficients for Biological Tissues from 100 MHz to 100 GHz. In Proceedings of the IEEE International Applied Computational Electromagnetics Society Symposium (ACES), Monterey, CA, USA, 22–26 March 2020; pp. 1–2. [Google Scholar] [CrossRef]
  24. Lumnitzer, R. Energy Harvesting Near the Human Body Using Finite-Difference Time-Domain Simulations. Ph.D. Thesis, Colorado School of Mines, Golden, CO, USA, 2023; p. 30421532. [Google Scholar]
  25. Harrington, R.F. Time-Harmonic Electromagnetic Fields; IEEE Press Series on Electromagnetic Wave Theory; IEEE Press: Piscataway, NJ, USA, 2001; ISBN 0-471-20806-X. [Google Scholar]
  26. Dudley, D.G. Mathematical Foundations for Electromagnetic Theory; IEEE Press Series on Electromagnetic Waves; IEEE Press: Piscataway, NJ, USA, 1994; ISBN 0-7803-1022-5. [Google Scholar]
  27. Yelkenci, T. Determination of the Dielectric Coating Parameters to Reduce the Radar Cross-section of the Perfectly Conducting Cylinder. In Proceedings of the 14th International Conference on Electrical and Electronics Engineering (ELECO), Bursa, Turkey, 30 November–2 December 2023. [Google Scholar] [CrossRef]
  28. Richmond, J.H. Scattering by a Dielectric Cylinder of Arbitrary Cross Section Shape. IEEE Trans. Antennas Propag. 1965, 13, 334–341. [Google Scholar] [CrossRef]
Disclaimer/Publisher’s Note: The statements, opinions and data contained in all publications are solely those of the individual author(s) and contributor(s) and not of MDPI and/or the editor(s). MDPI and/or the editor(s) disclaim responsibility for any injury to people or property resulting from any ideas, methods, instructions or products referred to in the content.

Article Metrics

Citations

Article Access Statistics

Multiple requests from the same IP address are counted as one view.