High-Spatial-Resolution Helium Detection and Its Implications for Helium Accumulation Mechanisms
Abstract
1. Introduction
2. Geological Background
3. Methods
3.1. Mud Gas Detection Principle
3.2. Instrument Design
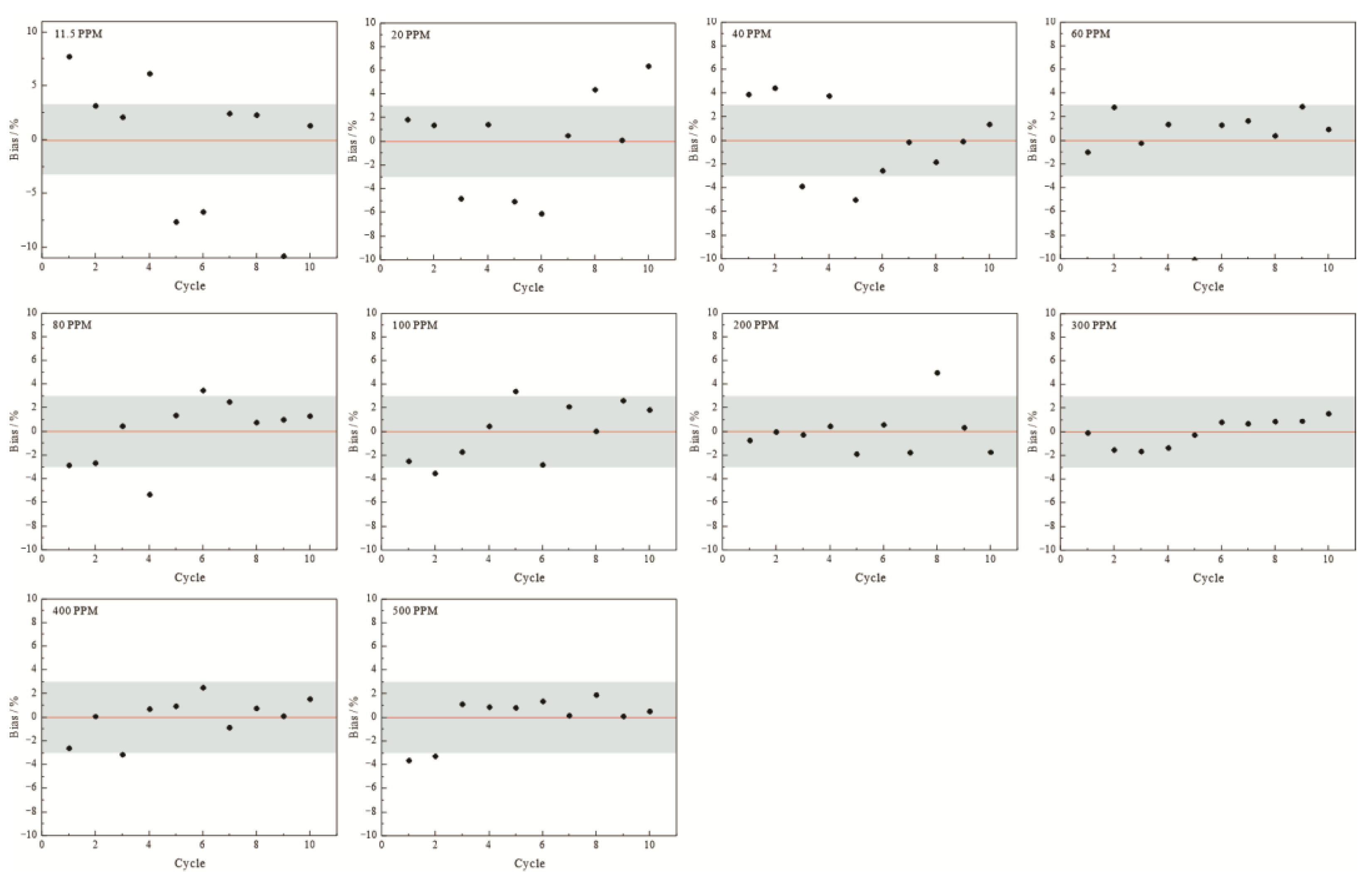
3.3. Instrument Parameter Test
3.4. Air Contamination Calibration
4. Results
5. Discussion
5.1. Inhomogeneity of Helium Distribution
5.2. Implications for the Helium Accumulation Mechanism
6. Conclusions
Supplementary Materials
Author Contributions
Funding
Institutional Review Board Statement
Informed Consent Statement
Data Availability Statement
Acknowledgments
Conflicts of Interest
References
- Anderson, S.T. Economics, helium, and the US Federal helium reserve: Summary and outlook. Nat. Resour. Res. 2018, 27, 455–477. [Google Scholar] [CrossRef]
- Halford, D.T.; Karolytė, R.; Barry, P.H.; Whyte, C.J.; Darrah, T.H.; Cuzella, J.J.; Sonnenberg, S.A.; Ballentine, C.J. High helium reservoirs in the Four Corners area of the Colorado Plateau, USA. Chem. Geol. 2022, 596, 120790. [Google Scholar] [CrossRef]
- Molly, B. 2021b-07-07/2021-12-19. Noble Helium: There’s Going to Be Plenty of Helium Available over the Next Decade [EB/OL]. Available online: https://www.gasworld.com/noble-helium-theres-going-to be-plenty-of-helium-available-over-the-next-decade/2021240.article (accessed on 7 July 2021).
- Gilfillan, S.M.V.; Ballentine, C.J.; Holland, G.; Blagburn, D.; Lollar, B.S.; Stevens, S.; Martin, S.; Cassidy, M. The noble gas geochemistry of natural CO2 gas reservoirs from the Colorado Plateau and Rocky Mountain provinces, USA. Geochim. Cosmochim. Acta 2008, 72, 1174–1198. [Google Scholar] [CrossRef]
- Merrill, M.D.; Hunt, A.G.; Lohr, C.D. Noble gas geochemistry investigation of high CO2 natural gas at the LaBarge Platform, Wyoming, USA. Energy Procedia 2014, 63, 4186–4190. [Google Scholar] [CrossRef]
- Yakutseni, V.P. World helium resources and the perspectives of helium industry development. Pet. Geol. 2014, 9, 1–22. [Google Scholar] [CrossRef] [PubMed]
- Danabalan, D. Helium: Exploration Methodology for a Strategic Resource; Durham University: Durham, UK, 2017. [Google Scholar]
- Cheng, A.R.; Sherwood Lollar, B.; Gluyas, J.G.; Ballentine, C.J. Primary N2–He gas field formation in intracratonic sedimentary basins. Nature 2023, 615, 94–99. [Google Scholar] [CrossRef] [PubMed]
- Wang, X.F.; Liu, Q.Y.; Liu, W.H.; Li, X.B.; Tao, C.; Li, X.F.; Zhao, D.; Zhang, J.Y.; Zhu, D.Y.; Meng, Q.Q.; et al. Helium accumulation in natural gas systems in Chinese sedimentary basins. Mar. Pet. Geol. 2023, 150, 106155. [Google Scholar] [CrossRef]
- Ballentine, C.J.; Lollar, B.S. Regional groundwater focusing of nitrogen and noble gases into the Hugoton-Panhandle giant gas field, USA. Geochim. Cosmochim. Acta 2002, 66, 2483–2497. [Google Scholar] [CrossRef]
- Brown, A.A. PS Formation of High Helium Gases: A Guide for Explorationists. W. 2010. Available online: https://www.searchanddiscovery.com/pdfz/documents/2010/80115brown/ndx_brown.pdf.html (accessed on 29 October 2010).
- Zhang, W.; Li, Y.H.; Zhao, F.H.; Han, W.; Li, Y.; Wang, Y.P.; Holland, G.; Zhou, Z. Using noble gases to trace groundwater evolution and assess helium accumulation in Weihe Basin, central China. Geochim. Cosmochim. Acta 2019, 251, 229–246. [Google Scholar] [CrossRef]
- Wang, X.F.; Liu, Q.Y.; Liu, W.H.; Zhang, D.D.; Li, X.F.; Zhao, D. Accumulation mechanism of mantle-derived helium resources in petroliferous basins, eastern China. Sci. China Earth Sci. 2022, 65, 2322–2334. [Google Scholar] [CrossRef]
- Dai, J.X.; Ni, Y.Y.; Qin, S.F.; Huang, S.P.; Gong, D.Y.; Liu, D.; Feng, Z.Q.; Peng, W.L.; Han, W.X.; Fang, C.C. Geochemical characteristics of He and CO2 from the Ordos (cratonic) and Bohaibay (rift) basins in China. Chem. Geol. 2017, 469, 192–213. [Google Scholar] [CrossRef]
- Peng, W.L.; Liu, Q.Y.; Zhang, Y.; Jia, H.C.; Zhu, D.Y.; Meng, Q.Q.; Wu, X.Q.; Deng, S.; Ma, Y.S. The first extra-large helium-rich gas field identified in a tight sandstone of the Dongsheng Gas Field, Ordos Basin, China. Sci. China Earth Sci. 2022, 65, 874–881. [Google Scholar] [CrossRef]
- Aquilina, L.; Brach, M. WELCOM: Evolution of chemical monitoring of drilling fluids and industrial perspectives. SPE Drill. Complet. 1995, 10, 158–164. [Google Scholar] [CrossRef]
- Sanjuan, B.; Pinault, J.L.; Rose, P.; Gerard, A.; Brach, M.; Braibant, G.; Crouzet, C.; Foucher, J.C.; Gautier, A.; Touzelet, S. Geochemical fluid characteristics and main achievements about tracer tests at Soultz-sous-Forêts (France). In Proceedings of the EHDRA Scientific Conference, Soultz-sous-Forêts, France, 15–16 June 2006; p. 13. [Google Scholar]
- Dezayes, C.; Sanjuan, B.; Gal, F.; Lerouge, C. Fluid Geochemistry Monitoring and Fractured Zones Characterization in the GRT1 Borehole (ECOGI Project, Rittershoffen, Alsace, France). Deep Geothermal Days. 2014. Available online: https://www.researchgate.net/publication/278736533_Fluid_geochemistry_monitoring_and_fractured_zones_characterization_in_the_GRT1_borehole_ECOGI_project_Rittershoffen_Alsace_France (accessed on 24 April 2014).
- Carcione, E.; Easow, I.; Chiniwala, B. Alkenes Detection From Drill Bit Metamorphism and Real-Time Geochemical Elemental Analysis on Drill Cuttings Aids Drilling Optimization and Geo-steering in Tight Unconventional Laterals. In Proceedings of the 5th Unconventional Resources Technology Conference, Austin, TX, USA, 24–26 July 2017; American Association of Petroleum Geologists: Tulsa, OK, USA, 2017. [Google Scholar] [CrossRef]
- Magro, G.; Gherardi, F.; Giudetti, G.; Costantino, N.; Carcione, E. DESCRAMBLE Project: Gas Logging While Drilling the Venelle_2 Geothermal Well. In Proceedings of the World Geothermal Congress, Larderello, Italy, 11–12 May 2020; p. 1. [Google Scholar]
- He, F.Q.; Wang, F.B.; Wang, J.; Zou, Y.R.; An, C.; Zhou, X.Y.; Ma, L.B.; Zhao, Y.Q.; Zhang, J.; Liu, D.M.; et al. Helium distribution of Dongsheng gas filed in Ordos Basin and discovery of a super large helium-rich gas field. Pet. Geol. Exp. 2022, 44, 1–10. (In Chinese) [Google Scholar]
- Peng, W.L.; Hu, G.Y.; Huang, S.P.; Fang, C.C.; Liu, D.; Feng, Z.Q.; Han, W.X.; Jiang, R.; Chen, H.J. Natural gas geochemical characteristics and genetic analysis: A case study of the Dongsheng gas field in the Ordos basin of China. J. China Univ. Min. Technol. 2017, 46, 74–84. (In Chinese) [Google Scholar]
- Wang, J.; Jia, H.C.; Tao, C.; Zhao, Y.Q.; An, C.; Ma, L.B.; Sun, X.; Dong, Q.W.; Wang, F.B. Source and enrichment regularity of helium in Dongsheng Gas Field of Hangjinqi area, Ordos Basin. Nat. Gas Geosci. 2023, 34, 566–575. [Google Scholar]
- Ni, C.H.; Zhu, J.H.; Liu, G.X.; Wang, F.B.; Jia, H.C.; Zhang, W.; Wu, Y.L.; Miao, J.J. Re-evaluation of hydrocarbon generation potential of the Upper Paleozoic coal-measure source rocks in the Hangjinqi area of Ordos Basin. Pet. Geol. Exp. 2021, 43, 826–834. [Google Scholar]
- Yang, Z.; He, S.; Zou, C.N.; Li, Q.Y.; Chen, Z.Y. Coupling relationship between reservoir diagenesis and natural gas accumulation of Daniudi Gas Field in North Ordos Basin. Acta Pet. Sin. 2010, 31, 373–378+385. (In Chinese) [Google Scholar]
- Wang, J.H.; Wang, H.B. Analysis of Oil and Gas Preservation Conditions in the Upper Paleozoic in Hangjinqi Area. Inn. Mong. Petrochem. Ind. 2008, 34, 136–137. (In Chinese) [Google Scholar]
- Zhang, W.Q.; Wang, Z.Z.; Hou, X.L.; Xu, F.; Liu, L.; Li, C.L. Influences of caprock sealing capacity on natural gas accumulation: An example from D-12 wellblock of Daniudi gas field in Ordos Basin. Oil Gas Geol. 2011, 32, 880–889. (In Chinese) [Google Scholar]
- Lupton, J. Terrestrial inert gases: Isotopic trace studies and clues to primordial components in the mantle. Annu. Rev. Earth Planet. Sci. Lett. 1983, 11, 371–414. [Google Scholar] [CrossRef]
- Oxburgh, E.R.; O’nions, R.K.; Hill, R.I. Helium isotopes in sedimentary basins. Nature 1986, 324, 632–635. [Google Scholar] [CrossRef]
- Ballentine, C.J.; Mazurek, M.; Gautschi, A. Thermal constraints on crustal rare gas release and migration: Evidence from Alpine fluid inclusions. Geochim. Cosmochim. Acta 1994, 58, 4333–4348. [Google Scholar] [CrossRef]
- Ballentine, C.J.; Burnard, P.G. Production, release and transport of noble gases in the continental crust. Rev. Mineral. Geochem. 2002, 47, 481–538. [Google Scholar] [CrossRef]
- Porcelli, D.; Ballentine, C.J. Models for distribution of terrestrial noble gases and evolution of the atmosphere. Rev. Mineral. Geochem. 2002, 47, 411–480. [Google Scholar] [CrossRef]
- Birner, B.; Severinghaus, J.; Paplawsky, B.; Keeling, R.F. Increasing atmospheric helium due to fossil fuel exploitation. Nat. Geosci. 2002, 15, 346–348. [Google Scholar] [CrossRef]
- Brennwald, M.S.; Schmidt, M.; Oser, J.; Kipfer, R. A portable and autonomous mass spectrometric system for on-site environmental gas analysis. Environ. Sci. Technol. 2016, 50, 13455–13463. [Google Scholar] [CrossRef] [PubMed]
- Yu, C.X.; Wang, J.D.; Huang, Z.J.; Tian, D. Research progress of portable mass spectrometer. Chin. J. Anal. Lab. 2021, 40, 1480–1488. [Google Scholar]
- Schwanethal, J. Minimising 12C3+ interference on 4He+ measurements in a noble gas mass spectrometer. J. Anal. At. Spectrom. 2015, 30, 1400–1404. [Google Scholar] [CrossRef]
- He, H.Y.; Zhu, R.X.; Saxton, J. Noble gas isotopes in corundum and peridotite xenoliths from the eastern North China Craton: Implication for comprehensive refertilization of lithospheric mantle. Phys. Earth Planet. Inter. 2011, 189, 185–191. [Google Scholar] [CrossRef]
- Hites, R.A. Gas chromatography mass spectrometry. Handb. Instrum. Tech. Anal. Chem. 1997, 1, 609–625. [Google Scholar]
- Lan, X.; Thoning, K.W.; Dlugokencky, E.J. Trends in Globally-Averaged CH4, N2O, and SF6 Determined from NOAA Global Monitoring Laboratory Measurements; Version 2023-10. 2022. Available online: https://gml.noaa.gov/ccgg/trends_ch4/ (accessed on 1 October 2023).
- Sun, Z.X.; Li, P.P.; Zhou, S.X. A laboratory observation for gases transport in shale nanochannels: Helium, nitrogen, methane, and helium-methane mixture. Chem. Eng. J. 2023, 472, 144939. [Google Scholar] [CrossRef]
- Liu, Q.Y.; Wu, X.Q.; Jia, H.C.; Ni, C.H.; Zhu, J.H.; Miao, J.J.; Zhu, D.Y.; Meng, Q.Q.; Peng, W.L.; Xu, H.Y. Geochemical characteristics of helium in natural gas from the Daniudi gas field, Ordos Basin, Central China. Front. Earth Sci. 2022, 10, 823308. [Google Scholar] [CrossRef]
- Han, S.B.; Xiang, C.H.; Du, X.; Xie, L.F.; Huang, J.; Wang, C.S. Geochemistry and origins of hydrogen-containing natural gases in deep Songliao basin, China: Insights from continental scientific drilling. Pet. Sci. 2023, 21, 741–751. [Google Scholar] [CrossRef]
- Goebel, E.D.; Coveney, R.M.; Angino, E.E.; Zeller, E.J.; Dreschhoff, G.A.M. Geology, composition, isotopes of naturally occurring rich gas from wells near Junction City, Kans. Oil Gas J. 1984, 82, 215–222. [Google Scholar]
- Guélard, J.; Beaumont, V.; Rouchon, V.; Guyot, F.; Pillot, D.; Jézéquel, D.; Ader, M.; Newell, K.; Deville, E. Natural H2 in Kansas: Deep or shallow origin? Geochem. Geophys. Geosystems 2017, 18, 1841–1865. [Google Scholar] [CrossRef]
- Klein, F.; Grozeva, N.G.; Seewald, J.S. Abiotic methane synthesis and serpentinization in olivine-hosted fluid inclusions. Proc. Natl. Acad. Sci. USA 2019, 116, 17666–17672. [Google Scholar] [CrossRef]
- Klein, F.; Tarnas, J.D.; Bach, W. Abiotic sources of molecular hydrogen on Earth. Elem. Int. Mag. Mineral. Geochem. Petrol. 2020, 16, 19–24. [Google Scholar] [CrossRef]
- Zhang, Z.Y. Characteristics and control factors of gas-water distribution in the Lower Shihezi Formation, northern margin of Ordos Basin. Nat. Gas Technol. Econ. 2021, 15, 1–7. (In Chinese) [Google Scholar]
- Liu, C.Y.; Wang, J.Q.; Zhang, D.D.; Zhao, H.G.; Zhao, J.F.; Huang, L.; Wang, W.Q.; Qin, Y. Genesis of rich hydrocarbon resources and their occurrence and accumulation characteristics in the Ordos Basin. Oil Gas Geol. 2021, 42, 1011–1029. [Google Scholar]
- Yu, H.W. Mechanism of Natural Gas Differential Enrichment in the Transition Zone at the Margin of the Basin: A Case Study on the Hangjinqi Area in the Northern Ordos Basin; China University of Geosciences: Wuhan, China, 2023. [Google Scholar]
- Liu, S.G.; Sun, W.; Zhao, Y.H.; Wang, G.Z.; Song, L.K.; Deng, B.; Liang, F.; Song, J.M. Differential accumulation and distribution of natural gas and its main controlling factors in the Sinian Dengying Fm, Sichuan Basin. Nat. Gas Ind. B 2015, 2, 24–36. [Google Scholar] [CrossRef][Green Version]
- Wang, X.F.; Liu, W.H.; Li, X.B.; Liu, Q.Y.; Tao, C.; Xu, Y.C. Radiogenic helium concentration and isotope variations in crustal gas pools from Sichuan Basin, China. Appl. Geochem. 2020, 117, 104586. [Google Scholar] [CrossRef]
- Seewald, J.S. Organic–inorganic interactions in petroleum-producing sedimentary basins. Nature 2003, 426, 327–333. [Google Scholar] [CrossRef] [PubMed]
- Wang, W.Q.; Liu, C.Y.; Liu, W.H.; Zhao, D.D. Factors influencing hydrogen yield in water radiolysis and implications for hydrocarbon generation: A review. Arab. J. Geosci. 2018, 11, 542. [Google Scholar] [CrossRef]
- Milkov, A.V. Molecular hydrogen in surface and subsurface natural gases: Abundance, origins and ideas for deliberate exploration. Earth-Sci. Rev. 2022, 230, 104063. [Google Scholar] [CrossRef]
- Hand, E. Hidden Hydrogen: Earth May Hold Vast Stores of a Renewable, Carbon-Free Fuel. 2023. Available online: https://www.science.org/content/article/hidden-hydrogen-earth-may-hold-vast-stores-renewable-carbon-free-fuel (accessed on 16 February 2023).











| Conc /ppm | 11.5 | 20 | 40 | 60 | 80 | 100 | 200 | 300 | 400 | 500 |
|---|---|---|---|---|---|---|---|---|---|---|
| 216.06 | 489.87 | 1113.44 | 1655.32 | 2227.78 | 2717.81 | 5452.34 | 8128.76 | 10,214.36 | 12,526.37 | |
| 206.94 | 487.52 | 1119.00 | 1718.25 | 2231.40 | 2688.56 | 5489.84 | 8011.93 | 10,496.63 | 12,576.73 | |
| 204.70 | 457.73 | 1029.81 | 1667.75 | 2303.24 | 2739.66 | 5476.91 | 8001.17 | 10,161.67 | 13,143.76 | |
| 212.84 | 488.04 | 1111.86 | 1694.24 | 2170.98 | 2799.83 | 5516.29 | 8029.04 | 10,560.70 | 13,113.57 | |
| 185.18 | 456.76 | 1017.85 | 1503.53 | 2323.41 | 2882.53 | 5388.67 | 8112.97 | 10,586.12 | 13,102.60 | |
| 187.14 | 451.80 | 1043.91 | 1693.03 | 2371.86 | 2708.83 | 5524.52 | 8204.97 | 10,751.64 | 13,173.48 | |
| 205.48 | 483.45 | 1070.14 | 1699.05 | 2349.79 | 2845.90 | 5396.38 | 8191.51 | 10,399.08 | 13,022.04 | |
| 205.15 | 502.19 | 1051.76 | 1677.83 | 2310.09 | 2787.58 | 5766.08 | 8205.77 | 10,571.15 | 13,243.08 | |
| 178.84 | 481.67 | 1070.56 | 1719.30 | 2315.90 | 2859.42 | 5511.45 | 8210.38 | 10,502.72 | 13,010.30 | |
| 203.18 | 511.61 | 1085.95 | 1687.23 | 2322.80 | 2838.35 | 5396.49 | 8263.57 | 10,648.68 | 13,069.48 | |
| STDEV | 11.79 | 18.83 | 34.09 | 59.15 | 59.26 | 65.93 | 103.87 | 89.50 | 175.13 | 232.84 |
| AVERAGE | 200.55 | 481.06 | 1071.43 | 1671.55 | 2292.73 | 2786.85 | 5491.90 | 8136.01 | 10,489.28 | 12,998.14 |
| RSD | 5.88 | 3.91 | 3.18 | 3.54 | 2.58 | 2.37 | 1.89 | 1.10 | 1.67 | 1.79 |
Disclaimer/Publisher’s Note: The statements, opinions and data contained in all publications are solely those of the individual author(s) and contributor(s) and not of MDPI and/or the editor(s). MDPI and/or the editor(s) disclaim responsibility for any injury to people or property resulting from any ideas, methods, instructions or products referred to in the content. |
© 2024 by the authors. Licensee MDPI, Basel, Switzerland. This article is an open access article distributed under the terms and conditions of the Creative Commons Attribution (CC BY) license (https://creativecommons.org/licenses/by/4.0/).
Share and Cite
Lu, C.; Wang, B.; Zhu, D.; Liu, Q.; Zhang, X.; He, H. High-Spatial-Resolution Helium Detection and Its Implications for Helium Accumulation Mechanisms. Appl. Sci. 2024, 14, 3453. https://doi.org/10.3390/app14083453
Lu C, Wang B, Zhu D, Liu Q, Zhang X, He H. High-Spatial-Resolution Helium Detection and Its Implications for Helium Accumulation Mechanisms. Applied Sciences. 2024; 14(8):3453. https://doi.org/10.3390/app14083453
Chicago/Turabian StyleLu, Chao, Bang Wang, Di Zhu, Quanyou Liu, Xuhang Zhang, and Huaiyu He. 2024. "High-Spatial-Resolution Helium Detection and Its Implications for Helium Accumulation Mechanisms" Applied Sciences 14, no. 8: 3453. https://doi.org/10.3390/app14083453
APA StyleLu, C., Wang, B., Zhu, D., Liu, Q., Zhang, X., & He, H. (2024). High-Spatial-Resolution Helium Detection and Its Implications for Helium Accumulation Mechanisms. Applied Sciences, 14(8), 3453. https://doi.org/10.3390/app14083453
