Last Glacial Maximum Climate and Glacial Scale Affected by the Monsoon Inferred from Reconstructing the Tianchi Area, Changbai Mountains, Eastern China
Abstract
1. Introduction
2. Study Area
3. Materials and Methods
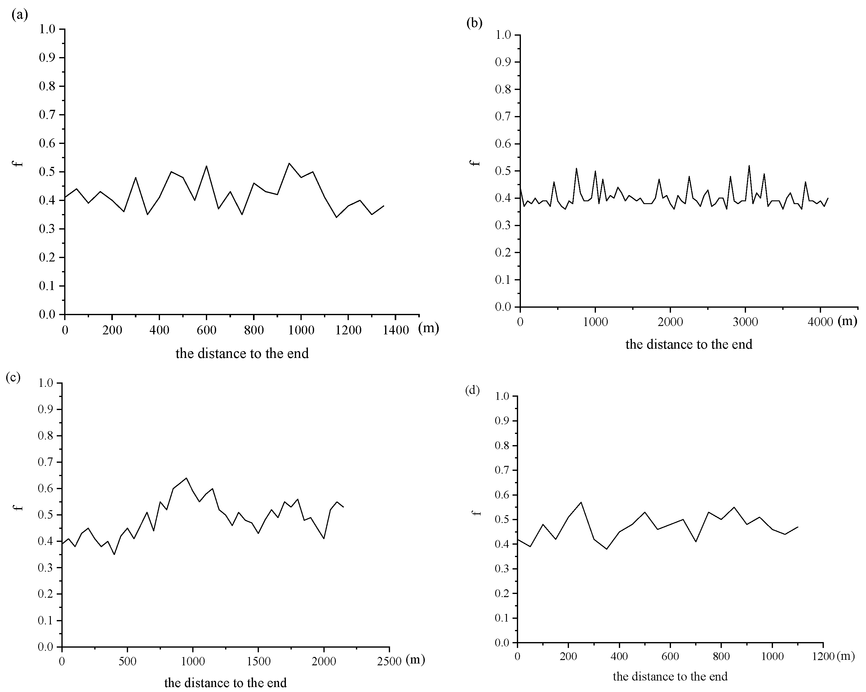
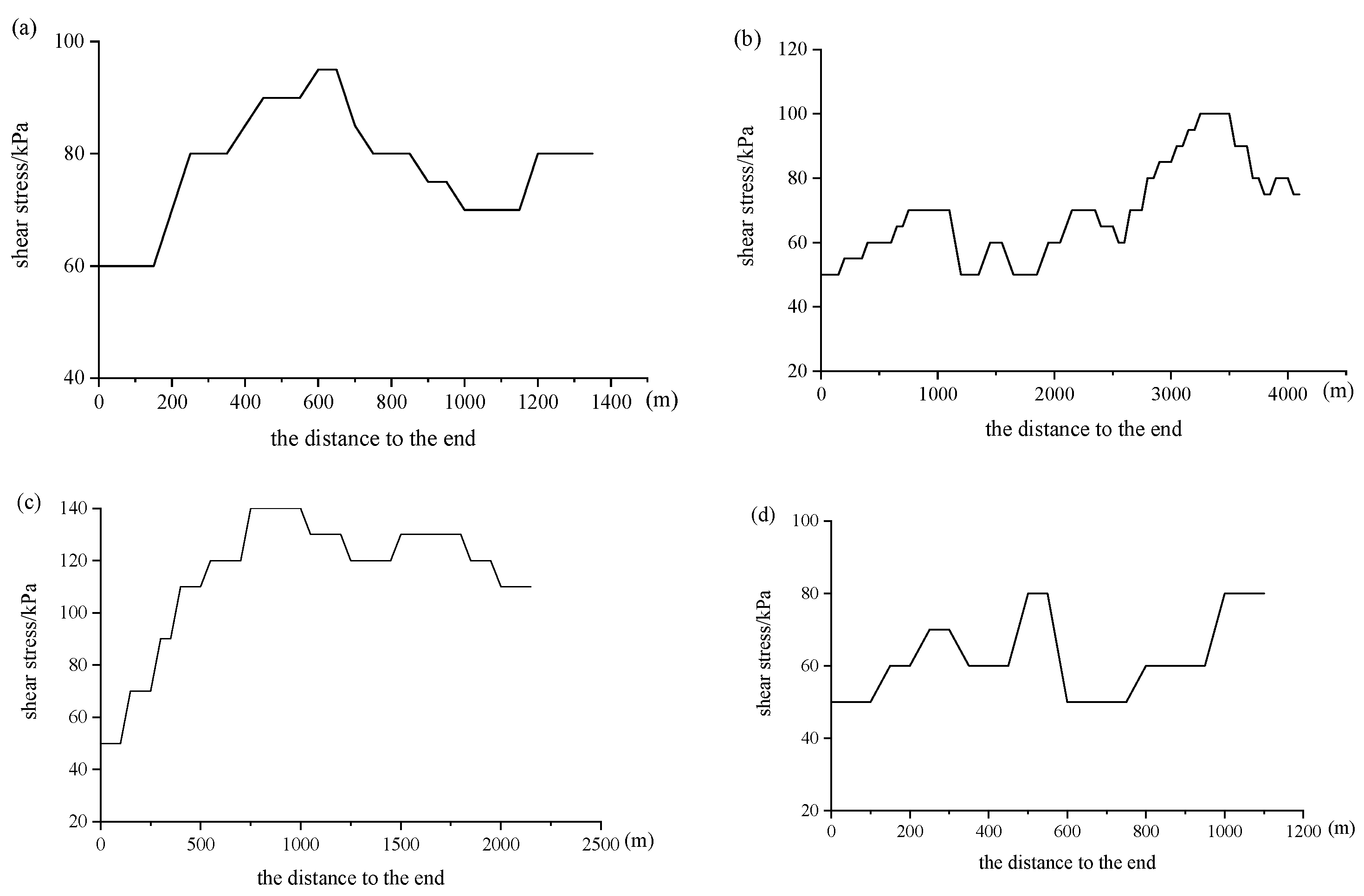
3.1. Quantitative Recovery of Glacier Size
3.2. Determining the ELA
3.2.1. Calculating the ELAm of Modern Glaciers
3.2.2. Calculating the ELAs of Paleoglaciers
3.3. Climatic Reconstruction Models Based on Changes in the ELA
3.3.1. Modeling of P-T Relationships at the ELA (P-T Model)
3.3.2. Temperature Lapse Rate Model (LR Model)
4. Results
4.1. Estimation of Glacier Size
4.2. Height of Glacial ELA
4.2.1. Determining the ELAm of Modern Glaciers in the Tianchi Area
4.2.2. The ELAs of Paleoglaciers during the LGM in the Tianchi Area
4.3. Quantitative Reconstruction and Environmental Characteristics of Paleoclimate in the Tianchi Area
4.3.1. P-T Model Reconstruction
4.3.2. LR Reconstruction Results
5. Discussion
5.1. Environmental Characteristics of the LGM in the Tianchi area
5.2. Driving Factors of Glacier Development during LGM in the Tianchi Area
5.3. LGM Paleoclimatic Comparisons in the Monsoon Area
6. Conclusions
Author Contributions
Funding
Institutional Review Board Statement
Informed Consent Statement
Data Availability Statement
Acknowledgments
Conflicts of Interest
References
- Carrivick, J.L.; Andreassen, L.M.; Nesje, A.; Yde, J.C. A reconstruction of Jostedalsbreen during the Little Ice Age and geometric changes to outlet glaciers since then. Quat. Sci. Rev. 2022, 284, 107501. [Google Scholar] [CrossRef]
- Soheb, M.; Ramanathan, A.; Angchuk, T.; Mandal, A.; Kumar, N.; Lotus, S. Mass-balance observation, reconstruction and sensitivity of Stok glacier, Ladakh region, India, between 1978 and 2019. J. Glaciol. 2020, 66, 627–642. [Google Scholar] [CrossRef]
- Paul, O.J.; Dar, R.A.; Romshoo, S.A. Paleo-glacial and paleo-equilibrium line altitude reconstruction from the Late Quaternary glacier features in the Pir Panjal Range, NW Himalayas. Quat. Int. 2022, 642, 5–16. [Google Scholar] [CrossRef]
- Moore, E.M.; Eaves, S.R.; Norton, K.P.; Mackintosh, A.N.; Anderson, B.M.; Dowling, L.H.; Hidy, A.J. Climate reconstructions for the Last Glacial Maximum from a simple cirque glacier in Fiordland, New Zealand. Quat. Sci. Rev. 2022, 275, 107281. [Google Scholar] [CrossRef]
- Bolibar, J.; Rabatel, A.; Gouttevin, I.; Galiez, C. A deep learning reconstruction of mass balance series for all glaciers in the French Alps: 1967–2015. Earth Syst. Sci. Data 2020, 12, 1973–1983. [Google Scholar] [CrossRef]
- Dong, G.; Yi, C.; Caffee, M. 10Be dating of boulders on moraines from the last glacial period in the Nyainqentanglha mountains, Tibet. Sci. China Earth Sci. 2013, 57, 221–231. [Google Scholar] [CrossRef]
- Kessler, M.; Anderson, R.; Stock, G. Modeling topographic and climatic control of east-west asymmetry in Sierra Nevada glacier length during the Last Glacial Maximum. J. Geophys. Res. Atmos. 2006, 111, F02002. [Google Scholar] [CrossRef]
- Plummer, M.A.; Phillips, F.M. A 2-D numerical model of snow/ice energy balance and ice flow for paleoclimatic interpretation of glacial geomorphic features. Quat. Sci. Rev. 2003, 22, 1389–1406. [Google Scholar] [CrossRef]
- Rowan, A.; Brocklehurst, S.; Schultz, D.; Plummer, M.; Anderson, L.; Glasser, N. Late Quaternary glacier sensitivity to temperature and precipitation distribution in the Southern Alps of New Zealand. J. Geophys. Res. Earth Surf. 2014, 119, 1064–1081. [Google Scholar] [CrossRef]
- Xiao, R.; Hu, J. Several characteristics of climate and geomorphology in Northeast China since the last glacial period. J. Glac. Geoc. 1988, 2, 125–134. [Google Scholar] [CrossRef]
- Shi, Y. Quaternary Glaciers and Environmental Issues in Eastern China, 1st ed.; Science Press: Beijing, China, 1989; pp. 271–277. [Google Scholar]
- Qiu, S. Research on the ancient glaciers and periglacial landforms of Changbai Mountain. Quat. Res. 1990, 2, 137–145+197–198. [Google Scholar]
- Zhang, W.; Liu, R.; Liu, L. The controlling factors of glaciation during the last glacial period in the East Asian monsoon affected area. Prog. Geo. 2015, 7, 871–882. [Google Scholar] [CrossRef][Green Version]
- Pszonka, J.; Zecova, K.; Wendorff, M. Oligocene turbidite fans of the Dukla Basin: New age data from the calcareous nannofossils and paleoenvironmental conditions (Cergowa beds, Polish–Slovakian borderland). Geol. Carpath. 2019, 70, 311–324. [Google Scholar] [CrossRef]
- Pszonka, J.; Wendorff, M.; Godlewski, P. Sensitivity of marginal basins in recording global icehouse and regional tectonic controls on sedimentation. Example of the Cergowa Basin, (Oligocene) Outer Carpathians. Sediment. Geol. 2023, 444, 106326. [Google Scholar] [CrossRef]
- Wang, S.; Wen, X. The Last Glacial Maximum. Adv. Clim. Chang. Res. 2011, 5, 381–382. [Google Scholar]
- Cui, H.; Cao, G.; Chen, K.; Guo, H.; Jiang, G. Climates since late quaternary glacier advances: Glacier-climate modeling in the Kunlun Pass area, Burhan Budai Shan, northeastern Tibetan Plateau. Quat. Int. 2020, 553, 53–59. [Google Scholar] [CrossRef]
- Wang, J.; Cui, H.; Harbor, J.M.; Zheng, L.; Yao, P. Mid-MIS3 climate inferred from reconstructing the Dalijia Shan ice cap, north-eastern Tibetan Plateau. J. Quat. Sci. 2015, 30, 558–568. [Google Scholar] [CrossRef]
- Xu, X.; Wang, L.; Yang, J. Last Glacial Maximum climate inferences from integrated reconstruction of glacier equilibrium-line altitude for the head of the Urumqi River, Tianshan Mountains. Quat. Int. 2010, 218, 3–12. [Google Scholar] [CrossRef]
- Xu, X.; Yi, C. Timing and configuration of the Gongga II glaciation in the Hailuogou valley, eastern Tibetan Plateau: A glacier-climate modeling method. Quat. Int. 2017, 444, 151–156. [Google Scholar] [CrossRef]
- Xu, X.; Pan, B.; Dong, G.; Yi, C.; Glasser, N.F. Last Glacial climate reconstruction by exploring glacier sensitivity to climate on the southeastern slope of the western Nyaiqentanglha Shan, Tibetan Plateau. J. Glaciol. 2017, 63, 361–371. [Google Scholar] [CrossRef]
- Xu, X.; Yao, T.; Xu, B.; Yi, C.; Sun, Y.; Zeng, X.; Dong, G.; Pan, B. Glacial events during the last glacial termination in the Pagele valley, Qiongmu Gangri peak, southern Tibetan Plateau, and their links to oceanic and atmospheric circulation. Quat. Res. 2020, 95, 129–141. [Google Scholar] [CrossRef]
- Xu, X.; Yao, T.; Xu, B.; Zhang, L.; Sun, Y.; Pan, B. Last Glacial Maximum glacier modelling in the Quemuqu Valley, southern Tibetan Plateau, and its climatic implications. Boreas 2020, 49, 286–295. [Google Scholar] [CrossRef]
- Liu, L.; Zhang, H.; Zhang, W.; Chai, L. Global last glacial maximum climate inferred from reconstructing the eryehai valley, mount taibai, qinling mountains, eastern china. Palaeogeogr. Palaeocl. Int. J. Geo-Sci. 2022, 590, 110858. [Google Scholar] [CrossRef]
- Liu, J.; Wang, S. The Formation Age of Changbai Mountain Volcano and Tianchi Lake. Chin. Sci. Bull. 1982, 21, 1312–1315. [Google Scholar]
- Li, B. Interpretation of Aviation Satellite Photos of Glacier Landform in the Baitou Mountain Area. Geol. Rev. 1992, 5, 431–438+485–486. [Google Scholar]
- Zhang, W.; Niu, Y.; Yan, L.; Cui, Z.; Li, C.; Mu, K. Late Pleistocene Glaciation in the Changbai Mountains, Jilin Province. Chin. Sci. Bull. 2008, 15, 1825–1834. [Google Scholar] [CrossRef]
- Li, J. The remains of ancient glaciers during the last glacial period of monsoon Asia. Quat. Res. 1992, 4, 332–340. [Google Scholar]
- Benn, D.I.; Hulton, N.R. An ExcelTM spreadsheet program for reconstructing the surface profile of former mountain glaciers and ice cap. Comp.Geos. 2010, 36, 605–610. [Google Scholar] [CrossRef]
- Rea, B.R.; Evans, D.J.A. Quantifying climate and glacier mass balance in north Norway during the Younger Dryas. Palaeogeography 2007, 246, 307–330. [Google Scholar] [CrossRef]
- Evans, D.J.; Rea, B.R.; Hansom, J.D. Geomorphology and style of plateau icefield deglaciation in fjord terrains: The example of Troms-Finnmark, north Norway. J. Quat. Sci. 2002, 17, 221–239. [Google Scholar] [CrossRef]
- Locke, W.W. Modeling of icecap glaciation of the northern Rocky Mountains of Montana. Geomorphology 1995, 14, 123–130. [Google Scholar] [CrossRef]
- Schilling, D.H.; Hollin, J.T. Numerical reconstructions of valley glaciers and small ice caps. In The Last Great Ice Sheets; Wiley: Hoboken, NJ, USA, 1981; pp. 207–220. [Google Scholar]
- Nye, J. The mechanics of glacier flow. J. Glac. 1952, 2, 82–93. [Google Scholar] [CrossRef]
- Cuffey, K.M.; Paterson, W.S.B. The Physics of Glaciers, 4th ed.; Elsevier: Boston, MA, USA, 2010. [Google Scholar]
- Veen, C.J. Fundamentals of Glacier Dynamics, 2nd ed.; Balkema: Rotterdam, The Netherlands, 2013. [Google Scholar]
- Pellitero, R.; Rea, B.R.; Spagnolo, M.; Bakke, J.; Ivy-Ochs, S.; Frew, C.R.; Hughes, P.; Ribolini, A.; Lukas, S.; Renssen, H. GlaRe, a GIS tool to reconstruct the 3D surface of palaeoglaciers. Comput. Geosci. 2016, 94, 77–85. [Google Scholar] [CrossRef]
- Protin, M.; Schimmelpfennig, I.; Mugnier, J.L.; Ravanel, L.; Le Roy, M.; Deline, P.; Favier, V.; Buoncristiani, J.F.; Aumaître, G.; Bourlès, D.L.; et al. Climatic reconstruction for the Younger Dryas/Early Holocene transition and the Little Ice Age based on paleo-extents of Argentiére glacier (French Alps). Quat. Sci. Rev. 2019, 221, 105863. [Google Scholar] [CrossRef]
- Sun, Y.; Xu, X.; Zhang, L.; Liu, J.; Zhang, X.; Li, J.; Pan, B. Numerical reconstruction of Three Holocene Glacial Events in Qiangyong Valley, Southern Tibetan Plateau and their implication for Holocene climate changes. Water 2020, 12, 3205. [Google Scholar] [CrossRef]
- Shi, Y.; Huang, R.; Ren, B. Introduction to Glaciers in China, 1st ed.; Science Press: Beijing, China, 1988; p. 143. [Google Scholar]
- Ohmura, A.; Kasser, P.; Funk, M. Climate at the equilibrium line of glaciers. J. Glac. 1992, 38, 397–411. [Google Scholar] [CrossRef]
- Zhang, W.; Liu, B.; Cui, Z.; Li, Y.; Liu, L. Analysis of influencing factors on the equilibrium line of typical mountain glaciers in China. J. Geog. 2014, 07, 958–968. [Google Scholar] [CrossRef]
- Meierding, T.C. Late Pleistocene glacial equilibrium-line in the Colorado Front Range:A comparison of methods. Quat. Res. 1982, 18, 289–310. [Google Scholar] [CrossRef]
- Manley, G. The late-glacial climate of north-west England. Geol. J. 1961, 2, 188–215. [Google Scholar] [CrossRef]
- Louis, H. Schneegrenze und Schneegrenzbestimmung. Geog. Tas. 1955, 55, 414–418. [Google Scholar]
- Meier, M.F.; Post, A.S. Recent variations in mass net budgets of glaciers in western North America. Int. Assoc. Hydrolog. Sci. 1962, 58, 63–77. [Google Scholar]
- Kern, Z.; László, P. Size specific steady-state accumulation-area ratio: An improvement for equilibrium-line estimation of small palaeoglaciers. Quat. Sci. Rev. 2010, 29, 2781–2787. [Google Scholar] [CrossRef]
- Furbish, D.J.; Andrews, J.T. The use of hypsometry to indicate long-term stability and response of valley glaciers to changes in mass transfer. J. Glac. 1984, 30, 199–211. [Google Scholar] [CrossRef]
- Rea, B.R. Defining modern day area-altitude balance ratios (AABRs) and their use in glacier-climate reconstructions. Quat. Sci. Rev. 2009, 28, 237–248. [Google Scholar] [CrossRef]
- Pellitero, R.; Rea, B.R.; Spagnolo, M.; Bakke, J.; Hughes, P.; Ivy-Ochs, S.; Lukas, S.; Ribolini, A. A GIS tool for automatic calculation of glacier equilibrium-line altitudes. Comput. Geosci. 2015, 82, 55–62. [Google Scholar] [CrossRef]
- Benn, D.I.; Owen, L.A.; Osmaston, H.A.; Seltzer, G.O.; Porter, S.C.; Mark, B. Reconstruction of equilibrium-line altitudes for tropical and sub-tropical glaciers. Quat. Int. 2005, 138–139, 8–21. [Google Scholar] [CrossRef]
- Fu, P.; Heyman, J.; Hattestrand, C.; Stroeven, A.P.; Harbor, J.M. Glacial geomorphology of the Shaluli Shan area, southeastern Tibetan Plateau. J. Maps 2012, 8, 48–55. [Google Scholar] [CrossRef]
- Heyman, J.; Stroeven, A.P.; Caffee, M.W.; Hattestrand, C.; Harbor, J.M.; Li, Y.; Alexanderson, H.; Zhou, L.; Hubbard, A. Palaeoglaciology of Bayan Har Shan, NE Tibetan Plateau: Exposure ages reveal a missing LGM expansion. Quat. Sci. Rev. 2011, 30, 1988–2001. [Google Scholar] [CrossRef]
- Zhou, S.; Wang, J.; Xu, L.; Wang, X.; Colgan, P.M.; Mickelson, D.M. Glacial advances in southeastern Tibet during late Quaternary and their implications for climatic changes. Quat. Int. 2010, 218, 58–66. [Google Scholar] [CrossRef]
- Bendle, J.M.; Glasser, N.F. Palaeoclimatic reconstruction from Lateglacial(Younger Dryas Chronozone)cirque glaciers in Snowdonia, North Wales. Proc. Geol. Assoc. 2012, 123, 130–145. [Google Scholar] [CrossRef]
- Bowerman, N.D.; Clark, D.H. Holocene glaciation of the central Sierra Nevada, California. Quat. Sci. Rev. 2011, 30, 1067–1085. [Google Scholar] [CrossRef]
- Ramage, J.M.; Smith, J.A.; Rodbell, D.T.; Seltzer, G. Comparing reconstructed Pleistocene equilibrium-line altitudes in the tropical Andes of central Peru. J. Quat. Sci. 2005, 20, 777–778. [Google Scholar] [CrossRef]
- Carr, S.; Coleman, C. An improved technique for the reconstruction of former glacier mass-balance and dynamics. Geomorphology 2007, 92, 76–90. [Google Scholar] [CrossRef]
- Cui, H.; Cao, G.; Chen, K.; Guo, H.; Jiang, G. A review of research on reconstructing ancient climate using glacier landforms on the Qinghai Tibet Plateau and adjacent mountainous areas. J. Glac. Geoc. 2021, 01, 254–262. [Google Scholar] [CrossRef]
- Seltzer, G.O. Climatic interpretation of alpine snowline variations on millennial time scales. Quat. Res. 1994, 41, 154–159. [Google Scholar] [CrossRef]
- Paterson, W.S.B. The sliding velocity of Athabasca Glacier, Canada. J. Glac. 1970, 9, 55–63. [Google Scholar] [CrossRef]
- Su, Z.; Zhao, J.; Zheng, B. Distribution and features of the glaciers’ ELAs and the decrease of ELAs during the Last Glaciation in China. J. Glaciol. Geocryol. 2014, 36, 9–19. [Google Scholar]
- Ohmura, A. Physical basis for the temperature-based melt-index method. J. App. Met. 2001, 40, 753–761. [Google Scholar] [CrossRef]
- Zhang, L. The climate recovery during the last glacial period of the Late Pleistocene in China. J. Beijing Norm. Univ. Nat. Sci. Ed. 1980, 1, 101–118. [Google Scholar]
- Tsukada, M. Vegetation in subtropical Formosa during the pleistocene glaciation and the Holocene. Palaeogeogr. Palaeocl. 1967, 3, 49–64. [Google Scholar] [CrossRef]
- Ono, Y. Last Glacial Paleoclimate Reconstructed from Glacial and Periglacial Landforns in Japan. Geog. Rev. Jap. 1984, 57, 87–100. [Google Scholar] [CrossRef][Green Version]
- Lin, Z.; Lu, R. Interannual meridiona ldisplacement of the East Asian upper-tropospheric jet strea m in summer. Adv. Atmos. Sci. 2005, 22, 199–211. [Google Scholar] [CrossRef]
- Wang, Y.J.; Cheng, H.; Edwards, R.L.; An, Z.S.; Wu, J.Y.; Shen, C.C.; Dorale, A.J. A high resolution absolute dated late pleistocene monsoon record from Hulu Cave, China. Science 2001, 294, 2345–2348. [Google Scholar] [CrossRef] [PubMed]
- Ono, Y.; Naruse, T. Snowline elevation and eolian dust flux in the Japanese islands during isotope stages 2 and 4. Quat. Int. 1997, 37, 45–54. [Google Scholar] [CrossRef]
- Sun, J.; Wang, S.; Wang, Y.; Zhou, Y.; Lin, Z.; Zhang, Q. The ancient environment of the last glacial period in Northeast China. Quat. Res. 1985, 1, 82–89. [Google Scholar]
- Wolff, E.W.; Chappellaz, J.; Blunier, T.; Rasmussen, S.; Svensson, A. Millennial-scale variability during the last glacial: The ice core record. Quat. Sci. Rev. 2010, 29, 2828–2838. [Google Scholar] [CrossRef]
- Thompson, L.G.; Yao, T.D.; Davis, M.E.; Henderson, K.A.; Mosley-Thompson, E.; Lin, P.N.; Beer, J.; Synal, H.A.; Cole–Dai, J.; Bolzan, J.F. Tropical climate instability: The last glacial cycle from a Qinghai–Tibetan ice core. Science 1997, 276, 1821–1825. [Google Scholar] [CrossRef]
- Yang, W.; Han, Y.; Peng, X.; Ran, Z.Z.; Liu, Q.; Liu, G.N. Paleoglacial and paleoclimate reconstructions during the global last glacial maximum in the Longriba area, eastern Tibetan plateau. J. Mt. Sci. 2021, 18, 307–322. [Google Scholar] [CrossRef]
- Yang, Y.; Yang, W.; Li, Y.; Liu, F.; Xiao, J.; Liu, B.; Li, M.; Liu, G. Reconstruction of palaeoglaciers and palaeoclimate in Zheduo Shan, Eastern Tibetan Plateau, during the Last Glacial Maximum. Quat. Int. 2023, 673, 18–28. [Google Scholar] [CrossRef]
- Tang, Q.; Zhang, W.; Liu, L.; Chai, L.; Li, Y.; Zhang, L.; Sun, B.; Zhang, H. Glacier scale and paleoclimate reconstruction since penultimate glaciation in the Qingshui Valley, Luoji mountain, western sichuan. J. Glaciol. Geocryol. 2021, 43, 1–12. [Google Scholar]
- Xu, X. Climates during Late Quaternary glacier advances: Glacier-climate modeling in the Yingpu Valley, eastern Tibetan Plateau. Quat. Sci. Rev. 2014, 101, 18–27. [Google Scholar] [CrossRef]
- Xu, X.; Glasser, N.F. Glacier sensitivity to equilibrium line altitude and reconstruction for the Last Glacial cycle: Glacier modelingin the Payuwang Valley, western Nyaiqentanggulha Shan, Tibetan Plateau. Palaeogeogr. Palaeocl. 2015, 440, 614–620. [Google Scholar] [CrossRef]









| Cirque Name | 1 | 2 | 3 | 4 | 5 | 6 | 7 | 8 | Mean Value |
|---|---|---|---|---|---|---|---|---|---|
| elevation (m) | 2243 | 2251 | 2237 | 2252 | 2246 | 2257 | 2219 | 2203 | 2239 |
| Meteorological Station | Longitude (°N) | Latitude (°E) | Altitude | Time Span |
|---|---|---|---|---|
| Tianchi meteorological station | 128.05 | 42.01 | 2623 | 1979–2020 |
| Erdao meteorological station | 128.07 | 42.25 | 721.4 | 1979–2020 |
| Changbai meteorological station | 128.11 | 41.25 | 777.8 | 1979–2020 |
| Huadian meteorological station | 126.45 | 42.59 | 264.8 | 1979–2020 |
| Ice Age | Tectonic Correction Value (m) | CF | TSAM | THAR | AAR | AABR | Corrected Mean/m |
|---|---|---|---|---|---|---|---|
| LGM | 20 | 2239 | 2374 | 2317 | 2324 | 2293 | 2289 |
| Study Site | ∆ELA (m) (Relative to the Modern ELA) | Temperature Decrease (°C) | Precipitation Relative to Modern Value (%) | References |
|---|---|---|---|---|
| Tianchi area | 950 | 6.6–9.2 | 50–80 | This study |
| Taibai Mountain | 1450 | 7.0–9.4 | 60–80 | Liu et al. [22] |
| Longriba Valley | 725 | 6.0–7.0 | 30 | Yang et al. [73] |
| Zheduo Mountain | 535 | 3.0–5.0 | 15 | Yang et al. [74] |
| Gongga Mountain | 750 | 5.3–7.2 | 30–70 | Xu and Yi [18] |
| Luoji Mountain | 920 | 4.0–8.0 | 60–80 | Tang et al. [75] |
| Yingpu Valley | 500 | 4.0–5.9 | 40–80 | Xu [76] |
| Taniantaweng Mountain | 236 | 3.5–5.0 | 10–50 | Sun et al. [39] |
| Payuwang Valley | 340 | 3.3–4.4 | 30–70 | Xu and Glasser [77] |
| Quemuqu Valley | 380 | 3.1–4.3 | 30–70 | Xu et al. [21] |
Disclaimer/Publisher’s Note: The statements, opinions and data contained in all publications are solely those of the individual author(s) and contributor(s) and not of MDPI and/or the editor(s). MDPI and/or the editor(s) disclaim responsibility for any injury to people or property resulting from any ideas, methods, instructions or products referred to in the content. |
© 2024 by the authors. Licensee MDPI, Basel, Switzerland. This article is an open access article distributed under the terms and conditions of the Creative Commons Attribution (CC BY) license (https://creativecommons.org/licenses/by/4.0/).
Share and Cite
Zhao, H.; Zhang, W. Last Glacial Maximum Climate and Glacial Scale Affected by the Monsoon Inferred from Reconstructing the Tianchi Area, Changbai Mountains, Eastern China. Appl. Sci. 2024, 14, 3019. https://doi.org/10.3390/app14073019
Zhao H, Zhang W. Last Glacial Maximum Climate and Glacial Scale Affected by the Monsoon Inferred from Reconstructing the Tianchi Area, Changbai Mountains, Eastern China. Applied Sciences. 2024; 14(7):3019. https://doi.org/10.3390/app14073019
Chicago/Turabian StyleZhao, He, and Wei Zhang. 2024. "Last Glacial Maximum Climate and Glacial Scale Affected by the Monsoon Inferred from Reconstructing the Tianchi Area, Changbai Mountains, Eastern China" Applied Sciences 14, no. 7: 3019. https://doi.org/10.3390/app14073019
APA StyleZhao, H., & Zhang, W. (2024). Last Glacial Maximum Climate and Glacial Scale Affected by the Monsoon Inferred from Reconstructing the Tianchi Area, Changbai Mountains, Eastern China. Applied Sciences, 14(7), 3019. https://doi.org/10.3390/app14073019
