Calibration Method of PFC3D Micro-Parameters under Impact Load
Abstract
1. Introduction
2. Laboratory Rock Test
2.1. Rock Sample Preparation
2.2. Static Physical and Mechanical Tests and Results
2.3. SHPB Test and Results
3. FLAC3D/PFC3D Numerical Model
3.1. FLAC3D/PFC3D Coupled Theory
3.2. The Establishment of the SHPB Numerical Model
3.3. Impact Pressure Loading
4. Numerical Results and Discussion
4.1. Selection of Particle Micro-Parameters
4.2. Analysis of SJM Micro-Parameters
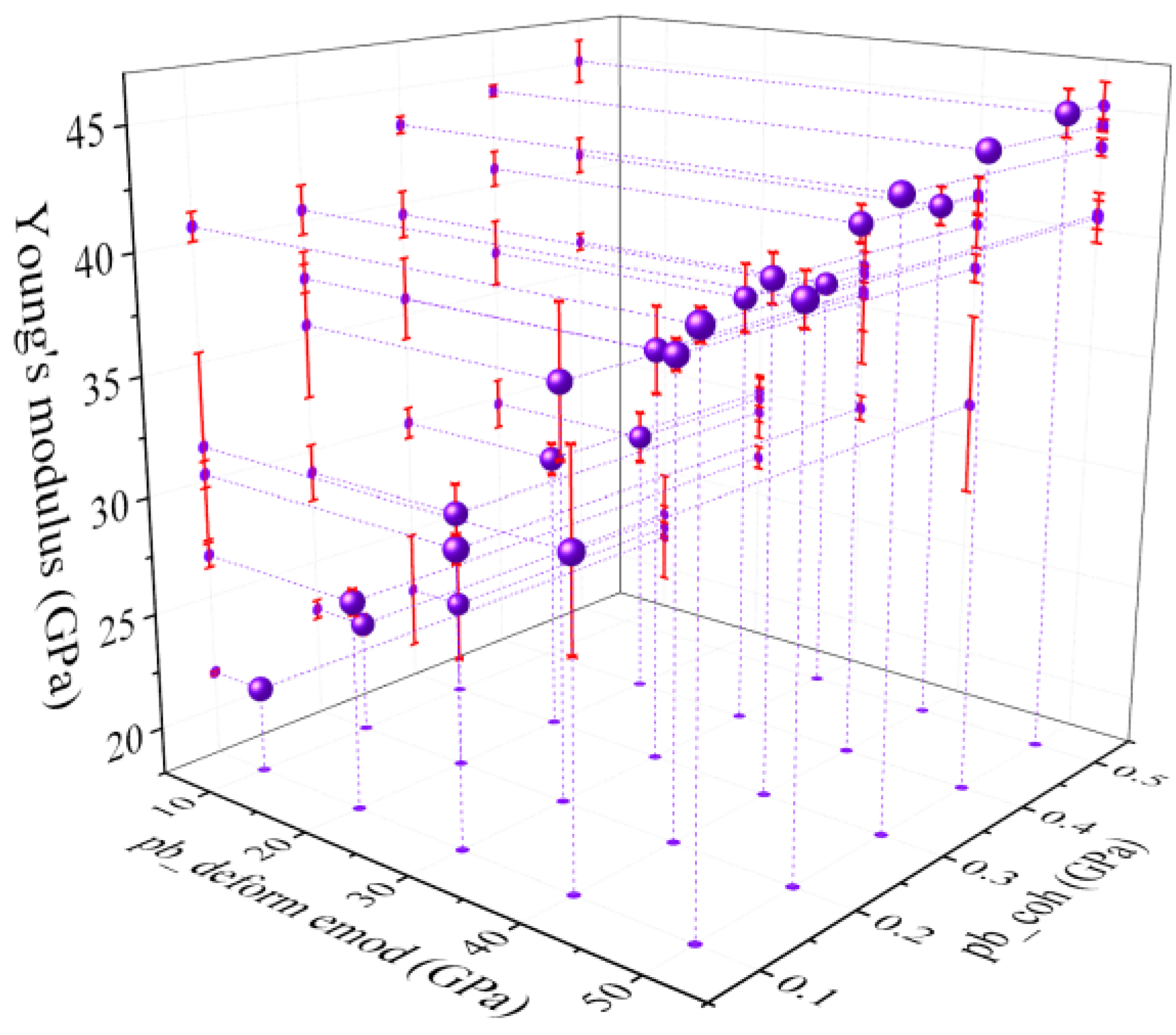
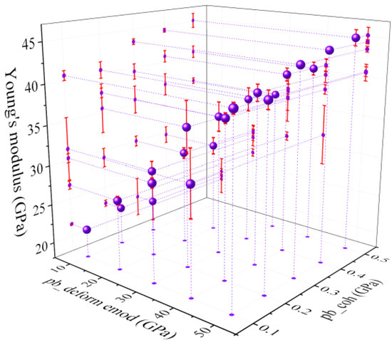
4.3. Micro-Parameters Calibration of Peak Stress and Young’s Modulus
4.4. Micro-Parameters Calibration of Crushing Degree
4.5. Final Calibration of Micro-Parameters
5. Conclusions
- (1)
- Laboratory static physical and mechanical tests and SHPB tests were carried out on limestone samples to determine the macroscopic physical and mechanical parameters of the rock samples. At the same time, based on the SHPB laboratory test and the FLAC3D/PFC3D bridge domain coupling method, a continuous–discontinuous SHPB numerical test model is established.
- (2)
- Through univariate analysis, the influence between six micro-parameters of the numerical model and the macroscopic physical and mechanical parameters are explored, and the microscopic parameters of SJM to be calibrated are simplified into three types, namely pb_deform emod , pb_coh , and sj_kn . Then, the quantitative relationships between the three micro-parameters and the three macro-physical and mechanical parameters were established by two-factor regression analysis.
- (3)
- The calibration process for the microscopic parameters of SJM under impact load was established, and the quantitative relationship between microscopic and macroscopic parameters was verified according to the SHPB test. The relative error of the macroscopic parameters between the numerical and laboratory tests is less than 5%, which shows that the proposed calibration method is more accurate and reliable than previous methods. At the same time, compared with the traditional calibration method of trial and error, the calibration efficiency of the micro-parameters is improved.
- (4)
- This paper provides a more reliable continuous–discontinuous numerical model for the SHPB test and also provides the calibration process for the model’s microscopic parameters, which supplies a certain reference value for the study of the rock model under impact load. Due to the limited number of experiments conducted in this study, it is necessary to increase this number in the future to fully validate the calibration process.
Author Contributions
Funding
Institutional Review Board Statement
Informed Consent Statement
Data Availability Statement
Acknowledgments
Conflicts of Interest
References
- Castro-Filgueira, U.; Alejano, L.R.; Arzúa, J.; Ivars, D.M. Sensitivity Analysis of the Micro-Parameters Used in a PFC Analysis Towards the Mechanical Properties of Rocks. Procedia Eng. 2017, 191, 488–495. [Google Scholar] [CrossRef]
- Xu, Z.H.; Wang, W.Y.; Lin, P.; Xiong, Y.; Liu, Z.Y.; He, S.J. A parameter calibration method for PFC simulation. Development and a case study of limestone. Geomech. Eng. 2020, 22, 97–108. [Google Scholar]
- Li, Z.; Rao, Q. Quantitative determination of PFC3D microscopic parameters. J. Cent. South Univ. 2021, 28, 911–925. [Google Scholar] [CrossRef]
- Ajamzadeh, M.R.; Sarfarazi, V.; Haeri, H.; Dehghani, H. The effect of micro parameters of PFC software on the model calibration. Smart Struct. Syst. 2018, 22, 643–662. [Google Scholar] [CrossRef]
- Xu, Z.; Wang, Z.; Wang, W.; Lin, P.; Wu, J. An integrated parameter calibration method and sensitivity analysis of microparameters on mechanical behavior of transversely isotropic rocks. Comput. Geotech. 2022, 142, 104573. [Google Scholar] [CrossRef]
- Su, H.; Li, H.; Hu, B.; Yang, J. A research on the macroscopic and mesoscopic parameters of concrete based on an experimental design method. Materials 2021, 14, 1627. [Google Scholar] [CrossRef] [PubMed]
- Shi, C.; Yang, W.; Yang, J.; Chen, X. Calibration of micro-scaled mechanical parameters of granite based on a bonded-particle model with 2D particle flow code. Granul. Matter 2019, 21, 38. [Google Scholar] [CrossRef]
- Yoon, J. Application of experimental design and optimization to PFC model calibration in uniaxial compression simulation. Int. J. Rock Mech. Min. Sci. 2007, 44, 871–889. [Google Scholar] [CrossRef]
- Wu, H.; Dai, B.; Zhao, G.; Chen, Y.; Tian, Y. A Novel Method of Calibrating Micro-Scale Parameters of PFC Model and Experimental Validation. Appl. Sci. 2020, 10, 3221. [Google Scholar] [CrossRef]
- Zou, Q.; Lin, B. Modeling the relationship between macro-and meso-parameters of coal using a combined optimization method. Environ. Earth Sci. 2017, 76, 479. [Google Scholar] [CrossRef]
- Tatone, B.S.; Grasselli, G. A calibration procedure for two-dimensional laboratory-scale hybrid finite–discrete element simulations. Int. J. Rock Mech. Min. Sci. 2015, 75, 56–72. [Google Scholar] [CrossRef]
- Cheng, K.; Wang, Y.; Yang, Q.; Mo, Y.; Guo, Y. Determination of microscopic parameters of quartz sand through tri-axial test using the discrete element method. Comput. Geotech. 2017, 92, 22–40. [Google Scholar] [CrossRef]
- Zhao, Y.; Zhao, G.-F.; Jiang, Y.; Elsworth, D.; Huang, Y. Effects of bedding on the dynamic indirect tensile strength of coal: Laboratory experiments and numerical simulation. Int. J. Coal Geol. 2014, 132, 81–93. [Google Scholar] [CrossRef]
- Ai, D.; Zhao, Y.; Wang, Q.; Li, C. Crack propagation and dynamic properties of coal under SHPB impact loading: Experimental investigation and numerical simulation. Theor. Appl. Fract. Mech. 2019, 105, 102393. [Google Scholar] [CrossRef]
- Kong, X.; Wang, E.; Li, S.; Lin, H.; Zhang, Z.; Ju, Y. Dynamic mechanical characteristics and fracture mechanism of gas-bearing coal based on SHPB experiments. Theor. Appl. Fract. Mech. 2019, 105, 102395. [Google Scholar] [CrossRef]
- Li, J.C.; Rong, L.F.; Li, H.B.; Hong, S.N. An SHPB Test Study on Stress Wave Energy Attenuation in Jointed Rock Masses. Rock Mech. Rock Eng. 2019, 52, 403–420. [Google Scholar] [CrossRef]
- Li, C.; Wang, Q.; Lyu, P. Study on electromagnetic radiation and mechanical characteristics of coal during an SHPB test. J. Geophys. Eng. 2016, 13, 391–398. [Google Scholar] [CrossRef]
- Gong, F.; Jia, H.; Zhang, Z.; Hu, J.; Luo, S. Energy Dissipation and Particle Size Distribution of Granite under Different Incident Energies in SHPB Compression Tests. Shock Vib. 2020, 2020, 8899355. [Google Scholar] [CrossRef]
- Guo Ren, H.; Zhang, L.; Long, Z.; Wu, X.; Wang, H. Research of an SHPB Device in Two-by-Two Form for Impact Experiments of Concrete-Like Heterogeneous Materials. Acta Mech. Solida Sin. 2021, 34, 561–581. [Google Scholar] [CrossRef]
- Li, D.; Han, Z.; Sun, X.; Zhou, T.; Li, X. Dynamic Mechanical Properties and Fracturing Behavior of Marble Specimens Containing Single and Double Flaws in SHPB Tests. Rock Mech. Rock Eng. 2019, 52, 1623–1643. [Google Scholar] [CrossRef]
- Ping, Q.; Fang, Z.; Ma, D.; Zhang, H. Coupled Static-Dynamic Tensile Mechanical Properties and Energy Dissipation Characteristic of Limestone Specimen in SHPB Tests. Adv. Civ. Eng. 2020, 2020, 7172928. [Google Scholar] [CrossRef]
- Qiu, J.; Li, D.; Li, X.; Zhou, Z. Dynamic Fracturing Behavior of Layered Rock with Different Inclination Angles in SHPB Tests. Shock Vib. 2017, 2017, 7687802. [Google Scholar] [CrossRef]
- Wang, T.; Song, Z.; Yang, J.; Zhang, Q.; Cheng, Y. A Study of the Dynamic Characteristics of Red Sandstone Residual Soils Based on SHPB Tests. KSCE J. Civ. Eng. 2021, 25, 1705–1717. [Google Scholar] [CrossRef]
- Yang, Z.; Fan, C.; Lan, T.; Li, S.; Wang, G.; Luo, M.; Zhang, H. Dynamic Mechanical and Microstructural Properties of Outburst-Prone Coal Based on Compressive SHPB Tests. Energies 2019, 12, 4236. [Google Scholar] [CrossRef]
- Ping, Q.; Ma, Q.Y.; Yuan, P. Energy dissipation analysis of stone specimens in shpb tensile test. Caikuang Yu Anquan Gongcheng Xuebao/J. Min. Saf. Eng. 2013, 30, 401–407. [Google Scholar]
- Zou, H.R.; Yin, W.L.; Cai, C.C.; Yang, Z.; Li, Y.B.; He, X.D. Numerical Investigation on the Necessity of a Constant Strain Rate Condition According to Material’s Dynamic Response Behavior in the SHPB Test. Exp. Mech. 2019, 59, 427–437. [Google Scholar] [CrossRef]
- Wang, S. Study on Blasting Fragmentation Distribution Law and Blasting Parameters Optimization in Open-Pit Coal Mine. Ph.D. Thesis, China University of Mining and Technology, Xuzhou, China, 2020. (In Chinese) [Google Scholar] [CrossRef]
- Li, M.; Yu, H.; Wang, J.; Yuan, Y.; Chen, J. Bridging Coupled Discrete-continuum Multi-scale Approach for Dynamic Analysis. Eng. Mech. 2013, 32, 92–98. (In Chinese) [Google Scholar] [CrossRef]
- Breugnot, A.; Lambert, S.; Villard, P.; Gotteland, P. A Discrete/continuous Coupled Approach for Modeling Impacts on Cellular Geostructures. Rock Mech. Rock Eng. 2015, 49, 1831–1848. [Google Scholar] [CrossRef]
- Panowicz, R.; Janiszewski, J.; Kochanowski, K. Numerical and Experimental Studies of a Conical Striker Application for the Achievement of a True and Nominal Constant Strain Rate in SHPB Tests. Exp. Mech. 2018, 58, 1325–1330. [Google Scholar] [CrossRef]
- Itasca Consulting Group Inc. PFC3D-Particle Flow Code 3 Dimension; Ver. 4.0; User’s Manual; Itasca Consulting Group Inc.: Minneapolis, MN, USA, 2010. [Google Scholar]

























| Main Ingredients | Quartz | Potassium Feldspar | Dolomite | Calcite | Illite | Other Clay Minerals |
|---|---|---|---|---|---|---|
| % | 0.4 | 0 | 7.8 | 89.5 | 1.2 | 1.1 |
| Group | μ | (GPa) | (GPa) | (GPa) | (GPa/m) | (GPa/m) |
|---|---|---|---|---|---|---|
| (a) | 0.01~0.99 | 25 | 0.52 | 0.32 | 1000 | 1000 |
| (b) | 0.15 | 0.1~200 | 0.52 | 0.32 | 1000 | 1000 |
| (c) | 0.15 | 25 | 1~0.8 | 0.32 | 1000 | 1000 |
| (d) | 0.15 | 25 | 0.52 | 1~0.8 | 1000 | 1000 |
| (e) | 0.15 | 25 | 0.52 | 0.32 | 10~8000 | 1000 |
| (f) | 0.15 | 25 | 0.52 | 0.32 | 1000 | 10~1000 |
| Ball | Value | PBM | Value | SJM | Value |
|---|---|---|---|---|---|
| kn (GPa) | 1.2 | (GPa) | 28.50 | (GPa/m) | 4789.14 |
| kn/ks | 1.5 | (GPa) | 0.36 | (GPa/m) | 4789.14 |
| Rmax (mm) | 10 | (GPa) | 0.36 | sj_coh σc (MPa) | 3 |
| Rmin (mm) | 8 | Kratio / | 1.5 | sj_ten τc (MPa) | 2 |
| ρ (g/cm3) | 2.72 | μ | 0.15 |
Disclaimer/Publisher’s Note: The statements, opinions and data contained in all publications are solely those of the individual author(s) and contributor(s) and not of MDPI and/or the editor(s). MDPI and/or the editor(s) disclaim responsibility for any injury to people or property resulting from any ideas, methods, instructions or products referred to in the content. |
© 2024 by the authors. Licensee MDPI, Basel, Switzerland. This article is an open access article distributed under the terms and conditions of the Creative Commons Attribution (CC BY) license (https://creativecommons.org/licenses/by/4.0/).
Share and Cite
Zhang, Z.; Gao, W.; Kou, Y. Calibration Method of PFC3D Micro-Parameters under Impact Load. Appl. Sci. 2024, 14, 3020. https://doi.org/10.3390/app14073020
Zhang Z, Gao W, Kou Y. Calibration Method of PFC3D Micro-Parameters under Impact Load. Applied Sciences. 2024; 14(7):3020. https://doi.org/10.3390/app14073020
Chicago/Turabian StyleZhang, Zehua, Wenle Gao, and Yuming Kou. 2024. "Calibration Method of PFC3D Micro-Parameters under Impact Load" Applied Sciences 14, no. 7: 3020. https://doi.org/10.3390/app14073020
APA StyleZhang, Z., Gao, W., & Kou, Y. (2024). Calibration Method of PFC3D Micro-Parameters under Impact Load. Applied Sciences, 14(7), 3020. https://doi.org/10.3390/app14073020
