Mechanics and Stability of Force Chain Arch in Excavated Granular Material
Abstract
1. Introduction
2. Particle Flow Photoelastic Experiment Apparatus and Experimental Materials
3. Evolution of Force Chain Networks during the Solid–Fluid Transition Process
4. Analysis of the Forces and Stability of the Solid–Fluid Transition Interface in Bottom Particle Flow
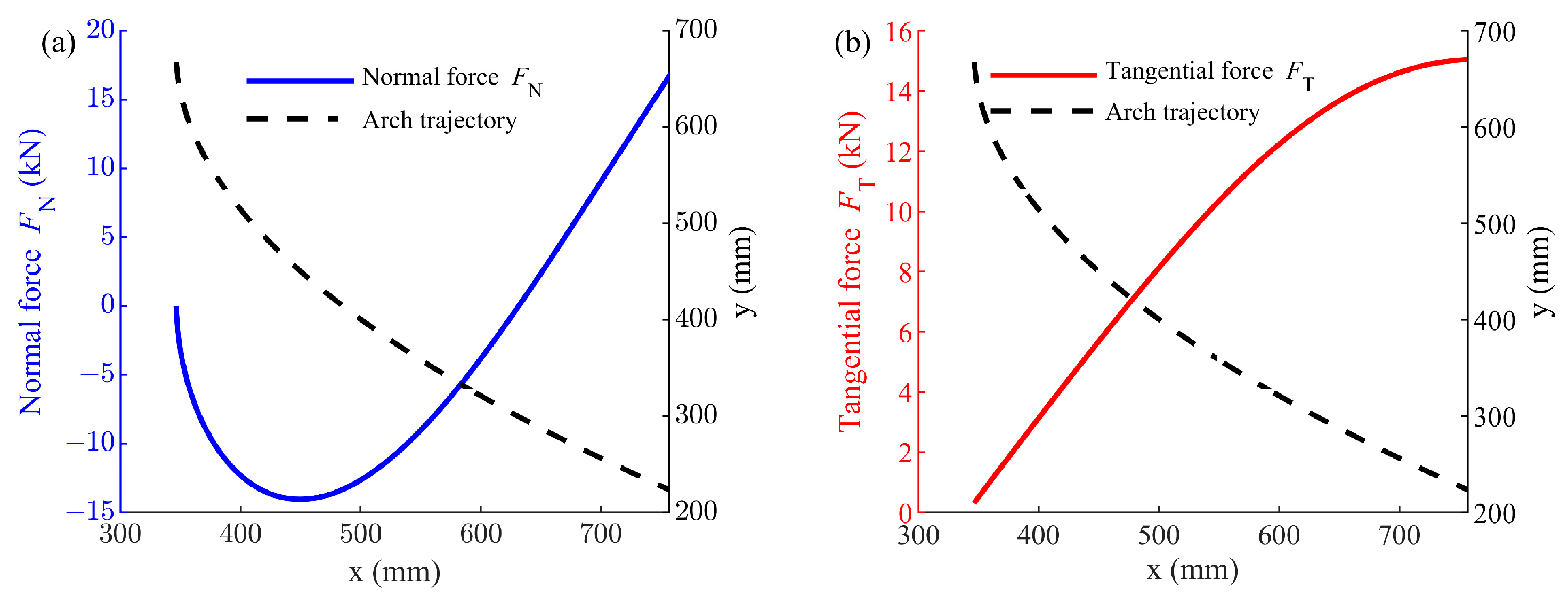
4.1. Force Analysis of the Force Chain Arch Formed by Bottom Particle Flow
4.2. Stability Analysis of the Force Chain Arch Formed by Bottom Particle Flow
- 1.
- Define arch span L = 2l. Based on Equation (8), the force expressions at the arch feet are as follows: when the boundary loads qy and qx are constant, FH is a linear function of the arch height h and quadratic function of the arch span L, while FV is a linear function of the arch span L. If the particle system is disturbed, e.g., by further excavation, causing movement of the particles at the arch feet, the horizontal force and vertical force at the arch feet change, thereby breaking the force chain arch. Continuing downward transfer of the overlying load causes the originally unforced particles under the arch to possibly participate in the formation of a new force chain network, or the particle stress may change. Thus, when the system attains a new equilibrium, the force chain network becomes updated.
- 2.
- When the particle system is subjected to a new stress disturbance, i.e., at least one of the boundary loads qy or qx increases, this causes a change in the forces at various points on the arch, and thus, the breaking of the stress arch and redistribution of the force chain network.
- 2.
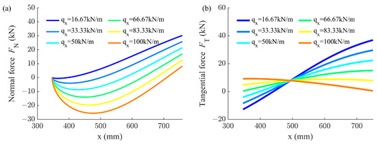
- Keeping the overlying load qy constant and changing the lateral load qx, the normal force, tangential force and their ratio are shown in Figure 7a–c.
- The tangential force at the arch apex and the normal force at the arch foot are calculated for different overlying loads qy and arch spans L. The lateral loads qx required to reach the allowable stress for each position are shown in Figure 8a. The red surface represents the boundary at which tangential tension leads to collapse of the arch apex; the green surface represents normal buckling at the arch foot; and the blue surface represents the boundary for tangential tension at the arch foot. Equation (6) demonstrates that both FN and FT are negatively correlated with qx, indicating that the lateral load is an absolute adverse factor for the equilibrium of the arch. Therefore, the minimum qx values from each surface (Equation (12)) constitute the equilibrium boundary of the arch, as shown in Figure 8b.
- 2.
- For different lateral loads qx and arch spans L, calculations were conducted for the tangential force at the arch apex and the normal force at the arch feet to determine the overlying load qy required for them to attain the allowable stress (Figure 9a). The red surface represents the boundary where tangential tension leads to collapse at the arch apex; the green surface represents normal buckling at the arch foot; and the blue surface illustrates the boundary for tangential tension at the arch feet.
5. Analysis of the Forces and Stability of the Solid–Fluid Transition Interface in Lateral Particle Flow
5.1. Force Analysis of the Force Chain Arch Formed by Lateral Particle Flow
5.2. Stability Analysis of the Force Chain Arch Formed by Lateral Particle Flow
6. Conclusions
- 1.
- Under biaxial compression conditions, the force chain arch formed within the granular medium via particle flow becomes the dividing line for solid–fluid transition. The particle assemblies above the force chain arch are in a stable solid state, still capable of bearing the overlying load, while those below the force chain arch are in a solid–fluid transitional state, experiencing less force. The force chain arch acts as an interface during the transition from solid to fluid in the granular system, separating the quasi-solid stable region from the solid–liquid transitional area. During this process, the force chain arch alters the original direction of load transfer, bearing most of the load transmitted from above and laterally.
- 2.
- The experimental model area is subdivided into grids by combining the results from indoor photoelastic experiments and employing autocorrelation algorithms to identify the main direction of local force chains. The trace line of the solid–fluid transition interface is obtained and fitted, resulting in an equation, which describes the parabolic shape of this interface.
- 3.
- A force and stability analysis is conducted on the fitted solid–fluid transition interface, i.e., the arch-shaped parabola. Under constant boundary load conditions on the solid–fluid transition interface caused by vertical particle flow, if the particle system is disturbed and the particles at the arch foot move, the horizontal force and vertical force at the arch foot change, leading to the disruption and rearrangement of the force chain arch. Under varying boundary load conditions, the arch apex and the arch foot are identified as critical sections.
- 4.
- When the trapdoor is located at the bottom of the model, changes in the overlying load or lateral load can lead to normal buckling and tensile stretching failure at the arch feet, as well as tensile stretching failure at the arch apex.
- 5.
- When the trapdoor is located on the right side of the model, changes in the overlying load adversely affect the normal force at the arch foot and the tangential force at the arch apex. Under different lateral loads, adverse effects on the tangential force at the arch apex and both the normal and tangential forces at the arch foot are observed.
7. Discussion
Author Contributions
Funding
Institutional Review Board Statement
Informed Consent Statement
Data Availability Statement
Conflicts of Interest
References
- Al-Naddaf, M.; Han, J.; Xu, C.; Jawad, S. Experimental investigation of soil arching mobilization and degradation under localized surface loading. J. Geotech. Geoenviron. Eng. 2019, 145, 04019114. [Google Scholar] [CrossRef]
- Bi, Z.; Gong, Q.; Guo, P.; Cheng, Q. Experimental study of the evolution of soil arching effect under cyclic loading based on trapdoor test and particle image velocimetry. Can. Geotech. J. 2019, 57, 903–920. [Google Scholar] [CrossRef]
- Qiao, L.; Chen, L.; Dasgupta, G.; Li, Q.; Li, Y. Surface characterization and frictional energy dissipation characteristics of deep granite under high stress conditions. Rock Mech. Rock Eng. 2019, 52, 1577–1589. [Google Scholar] [CrossRef]
- Chen, L.; Qiao, L.; Li, Q. Study on dynamic compaction characteristics of gravelly soils with crushing effect. Soil Dyn. Earthq. Eng. 2019, 120, 158–169. [Google Scholar] [CrossRef]
- Xi, X.; Yin, Z.; Yang, S.; Li, C.Q. Using artificial neural network to predict the fracture properties of the interfacial transition zone of concrete at the meso-scale. Eng. Fract. Mech. 2021, 242, 107488. [Google Scholar] [CrossRef]
- Cui, C. Seismic behavior and reinforcement mechanisms of earth dam and liquefiable foundation system by shaking table tests and numerical simulation. Soil Dyn. Earthq. Eng. 2023, 173, 108083. [Google Scholar] [CrossRef]
- Huang, J.; Zhang, Y.; Ouyang, X.; Xu, G. Lagged settlement in sandy cobble strata and earth pressure on shield tunnel. Math. Biosci. Eng. 2019, 16, 6209–6230. [Google Scholar] [CrossRef]
- Li, P.; Wang, F.; Fan, L.; Wang, H.; Ma, G. Analytical scrutiny of loosening pressure on deep twin-tunnels in rock formations. Tunn. Undergr. Space Technol. Inc. Trenchless Technol. Res. 2019, 83, 373–380. [Google Scholar] [CrossRef]
- Li, P.; Zou, H.; Wang, F.; Xiong, H. An analytical mechanism of limit support pressure on cutting face for deep tunnels in the sand. Comput. Geotech. 2020, 119, 103372. [Google Scholar] [CrossRef]
- Terzaghi, K. Theoretical Soil Mechanics; Wiley: New York, NY, USA, 1943. [Google Scholar] [CrossRef]
- Rodríguez, C.A.; Rodríguez-Pérez, Á.M.; López, R.; Hernández-Torres, J.A.; Caparrós-Mancera, J.J. A Finite Element Method Integrated with Terzaghi’s Principle to Estimate Settlement of a Building Due to Tunnel Construction. Buildings 2023, 13, 1343. [Google Scholar] [CrossRef]
- Chen, F.; Liu, Y.; Wang, Y.; Gu, Y.; Yu, Y.; Sun, J. Deformation and Force chain of Two-Dimensional Granular Systems under Continuous Loading. Materials 2023, 16, 5441. [Google Scholar] [CrossRef]
- Li, Q.; Zhang, Y.; Zhao, Y.; Zhu, Y.; Yan, Y. Study on Stability Discrimination Technology of Stope Arch Structure. Sustainability 2022, 14, 11082. [Google Scholar] [CrossRef]
- Handy, R. The Arch in Soil Arching. J. Geotech. Eng. ASCE 1985, 111, 302–318. [Google Scholar] [CrossRef]
- Wang, W.; Yen, B. Soil arching in slopes. J. Geotech. Eng. Div. 1974, 100, 61–78. [Google Scholar] [CrossRef]
- Kim, K.; Lee, D.; Cho, J.; Jeong, S.; Lee, S. The effect of arching pressure on a vertical circular shaft. Tunn. Undergr. Space Technol. Inc. Trenchless Technol. Res. 2013, 37, 10–21. [Google Scholar] [CrossRef]
- Shabanimashcool, M.; Bērziņš, A. A simplified approach to estimate anchoring capacity of blocky rock mass with pressure arch theory. Rock Mech. Rock Eng. 2023, 56, 7147–7175. [Google Scholar] [CrossRef]
- Li, W.; Zhang, C. Face stability analysis for a shield tunnel in anisotropic sands. Int. J. Geomech. 2020, 20, 04020043. [Google Scholar] [CrossRef]
- Li, W.; Zhang, C.; Zhang, D.; Ye, Z.; Tan, Z. Face stability of shield tunnels considering a kinematically admissible velocity field of soil arching. J. Rock Mech. Geotech. Eng. 2022, 14, 505–526. [Google Scholar] [CrossRef]
- Chevalier, B.; Combe, G.; Villard, P. Experimental and numerical study of the response of granular layer in the trap-door problem. AIP Conf. Proc. 2009, 1145, 649–652. [Google Scholar] [CrossRef]
- Chevalier, B.; Combe, G.; Villard, P. Experimental and discrete element modeling studies of the trapdoor problem: Influence of the macro-mechanical frictional parameters. Acta Geotech. Int. J. Geoengin. 2012, 7, 15–39. [Google Scholar] [CrossRef]
- Costa, Y.; Zornberg, J.; Bueno, B.; Costa, C. Failure mechanisms in sand over a deep active trapdoor. J. Geotech. Geoenviron. Eng. 2009, 135, 1741–1753. [Google Scholar] [CrossRef]
- Cui, C.; Wang, W.; Jin, F.; Huang, D. Discrete-element modeling of cemented granular material using mixed-mode cohesive zone model. J. Mater. Civ. Eng. 2020, 32, 04020031. [Google Scholar] [CrossRef]
- Iglesia, G.; Einstein, H.; Whitman, R. Investigation of soil arching with centrifuge tests. J. Geotech. Geoenviron. Eng. 2014, 140, 04013005. [Google Scholar] [CrossRef]
- Rui, R.; Van Tol, A.F.; Xia, Y.; Van Eekelen, S.; Hu, G. Investigation of soil-arching development in dense sand by 2D model tests. Geotech. Test. J. 2016, 39, 415–430. [Google Scholar] [CrossRef]
- Van Eekelen, S.; Bezuijen, A.; Lodder, H.; Van Tol, A. Model experiments on piled embankments. Part II. Geotext. Geomembr. 2012, 32, 82–94. [Google Scholar] [CrossRef]
- Van Eekelen, S.; Bezuijen, A.; Lodder, H.; Van Tol, A. An analytical model of arching in piled embankments. Geotext. Geomembr. 2013, 39, 78–102. [Google Scholar] [CrossRef]
- Bi, D.; Zhang, J.; Chakraborty, B.; Behringer, R. Jamming by shear. Nature 2011, 480, 355. [Google Scholar] [CrossRef]
- Behringer, R.; Chakraborty, B. The physics of jamming for granular materials: A review. Rep. Prog. Phys. 2019, 82, 12601. [Google Scholar] [CrossRef]
- Wang, M.; Wang, D.; Socolar, J.; Zheng, H.; Behringer, R. Jamming by shear in a dilating granular system. Granul. Matter 2019, 21, 102. [Google Scholar] [CrossRef]
- Wang, J.A.; Pang, W.D.; Liang, C.; Han, X. Photoelastic Experiment Apparatus of Aggregates with Bilateral Flowing. Chinese Patent CN204556449U, 12 August 2015. [Google Scholar]
- He, M.; Zhao, J.; Deng, B.; Zhang, Z. Effect of layered joints on rockburst in deep tunnels. Int. J. Coal Sci. Technol. 2022, 9, 21. [Google Scholar] [CrossRef]
- Wu, S.; Han, L.; Cheng, Z.; Zhang, X.; Cheng, H. Study on the limit equilibrium slice method considering characteristics of inter-slice normal forces distribution: The improved Spencer method. Environ. Earth Sci. 2019, 78, 1–18. [Google Scholar] [CrossRef]
- Wang, M.; Wang, J.-A.; Li, F.; Liang, C.; Yang, L. Arching of force chains in excavated granular material. Front. Earth Sci. 2024, 11, 1322038. [Google Scholar] [CrossRef]
- Zhang, J.; Zheng, Y.; Sun, J.; Qi, D. Flow prediction in spatiotemporal networks based on multitask deep learning. IEEE Trans. Knowl. Data Eng. 2020, 32, 468–478. [Google Scholar] [CrossRef]
- Wang, J.; Yang, L.; Li, F.; Wang, C. Force chains in top coal caving mining. Int. J. Rock Mech. Min. Sci. 2020, 127, 104218. [Google Scholar] [CrossRef]
















| Actual Length | Model Length | Actual Pressure | Model Pressure | Length Ratio | Pressure Ratio | Density Ratio |
|---|---|---|---|---|---|---|
| 100 m | 760 mm | 12.5 MPa | 0.20 kN | 130 | 140 | 1.1 |
Disclaimer/Publisher’s Note: The statements, opinions and data contained in all publications are solely those of the individual author(s) and contributor(s) and not of MDPI and/or the editor(s). MDPI and/or the editor(s) disclaim responsibility for any injury to people or property resulting from any ideas, methods, instructions or products referred to in the content. |
© 2024 by the authors. Licensee MDPI, Basel, Switzerland. This article is an open access article distributed under the terms and conditions of the Creative Commons Attribution (CC BY) license (https://creativecommons.org/licenses/by/4.0/).
Share and Cite
Wang, M.; Zheng, J.; Xue, S. Mechanics and Stability of Force Chain Arch in Excavated Granular Material. Appl. Sci. 2024, 14, 2485. https://doi.org/10.3390/app14062485
Wang M, Zheng J, Xue S. Mechanics and Stability of Force Chain Arch in Excavated Granular Material. Applied Sciences. 2024; 14(6):2485. https://doi.org/10.3390/app14062485
Chicago/Turabian StyleWang, Meimei, Jianwei Zheng, and Shanshan Xue. 2024. "Mechanics and Stability of Force Chain Arch in Excavated Granular Material" Applied Sciences 14, no. 6: 2485. https://doi.org/10.3390/app14062485
APA StyleWang, M., Zheng, J., & Xue, S. (2024). Mechanics and Stability of Force Chain Arch in Excavated Granular Material. Applied Sciences, 14(6), 2485. https://doi.org/10.3390/app14062485

