Numerical Simulation and Engineering Application of Temporary Stress Field in Coal Mine Roadway
Abstract
1. Introduction
2. Rapid Tunneling System Area Division
3. Construction of Stress Distribution Model for Temporary Support
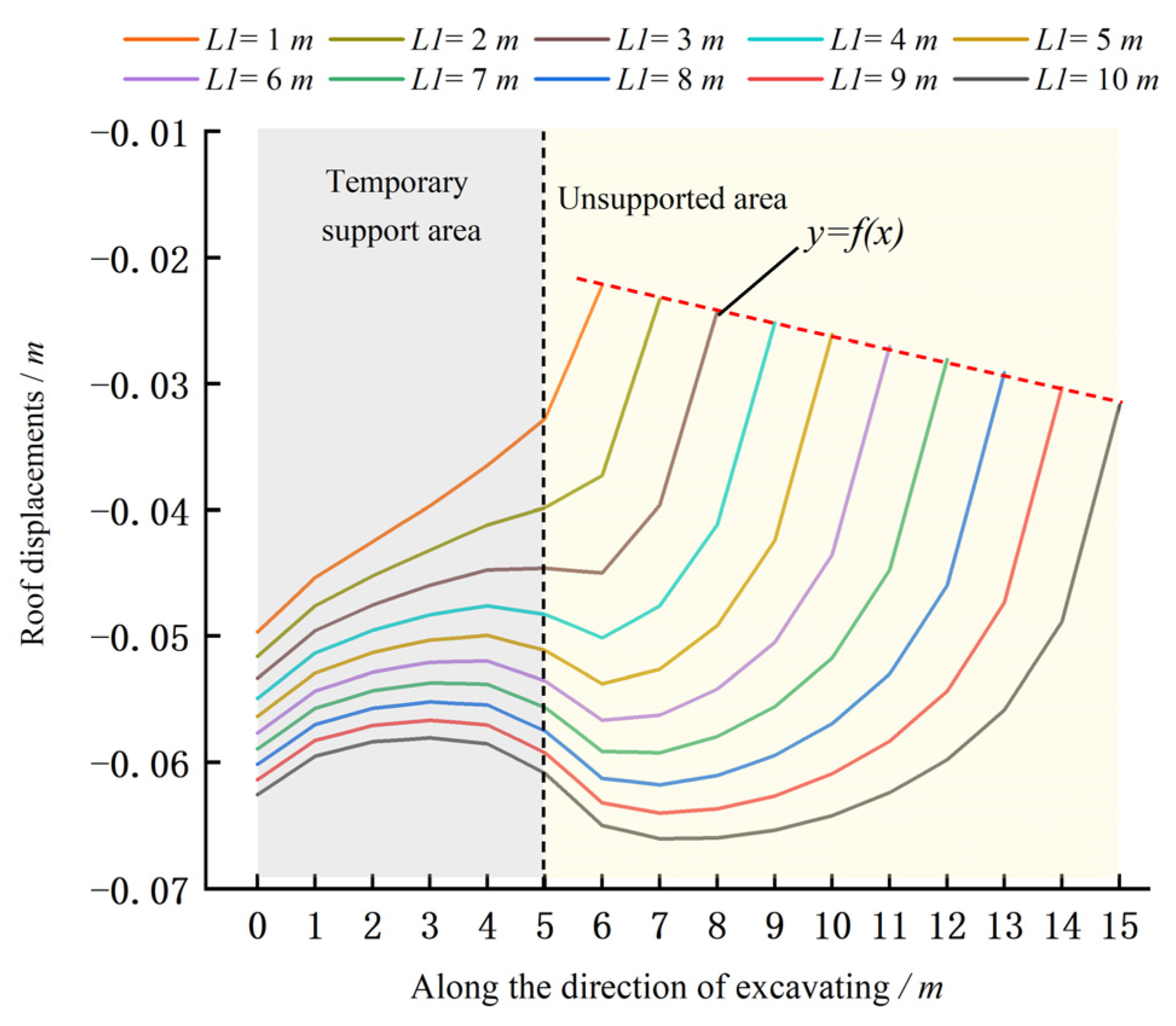
4. Distribution Characteristics of Temporary Support Stress Field in Unsupported Area
5. Analysis of Factors Influencing Stability of Surrounding Rock in Unsupported Areas
6. Field Application of Shield Tunneling Robot System
7. Conclusions
Author Contributions
Funding
Institutional Review Board Statement
Informed Consent Statement
Data Availability Statement
Conflicts of Interest
References
- Zhou, P.; Jiang, Y.F.; Zhou, F.C.; Gong, L.; Qiu, W.G.; Yu, J.W. Stability Evaluation Method and Support Structure Optimization of Weak and Fractured Slate Tunnel. Rock Mech. Rock Eng. 2022, 55, 6425–6444. [Google Scholar] [CrossRef]
- Liu, B.; Wang, Y.X.; Zhao, G.Z.; Yang, B.; Wang, R.R.; Huang, D.X.; Xiang, B. Intelligent decision method for main control parameters of tunnel boring machine based on multi-objective optimization of excavation efficiency and cost. Tunn. Undergr. Space Technol. 2021, 116, 104054. [Google Scholar] [CrossRef]
- Hu, L. Study and application of temporary support technology for fully mechanized mine roadway heading. Coal Sci. Technol. 2008, 36, 9–11. [Google Scholar] [CrossRef]
- Guo, F.; Zhang, N.; Xie, Z.Z.; Han, C.L.; Zhang, C.H.; Yuan, Y.Y.; He, Z.; Liu, J.H. A Three-Dimensional Supporting Technology, Optimization and Inspiration from a Deep Coal Mine in China. Rock Mech. Rock Eng. 2023, 57, 655–677. [Google Scholar] [CrossRef]
- Wang, H.T.; Zhou, C.K.; Bi, Q.Q.; Zhu, H.; Ding, Z.W.; Zhang, C.C. Adaptive Modification of TBM Tunneling in Coal Mine Roadway and Disaster Control Technology for Complex Geological Conditions. Processes 2023, 11, 1389. [Google Scholar] [CrossRef]
- Huang, Q.X.; Liu, Y.W. Ultimate self-stable arch theory in roadway support. J. Min. Saf. Eng. 2014, 31, 354–358. [Google Scholar] [CrossRef]
- Wang, Q.; Pan, R.; Jiang, B.; Li, S.C.; He, M.C.; Sun, H.B.; Wang, L.; Qin, Q.; Yu, H.C.; Luan, Y.C. Study on failure mechanism of roadway with soft rock in deep coal mine and confined concrete support system. Eng. Fail. Anal. 2017, 81, 155–177. [Google Scholar] [CrossRef]
- Pongpanya, P.; Soysouvanh, V.; Sasaoka, T.; Shimada, H. Stability of Underground Coal Mine Roadway Excavated in Soft Rock Mass. Eur. J. Eng. Technol. Res. 2021, 6, 2619–26325. [Google Scholar] [CrossRef]
- Zheng, L.J.; Zuo, Y.J.; Hu, Y.F.; Wu, W. Deformation mechanism and support technology of deep and high-stress soft rock roadway. Adv. Civ. Eng. 2021, 2021, 6634299. [Google Scholar] [CrossRef]
- Wu, B.; Sun, W.T.; Cai, G.W.; Meng, G.W. Reliability analysis of shallow-buried tunnel construction adjacent to karst cave. Comput. Geotech. 2022, 145, 104673. [Google Scholar] [CrossRef]
- Wang, Q.; Jiang, B.; Pan, R.; Li, S.C.; He, M.C.; Sun, H.B.; Qin, Q.; Yu, H.C.; Luan, Y.C. Failure mechanism of surrounding rock with high stress and confined concrete support system. Int. J. Rock Mech. Min. Sci. 2018, 102, 89–100. [Google Scholar] [CrossRef]
- Xie, Z.Z.; Zhang, N.; Feng, X.W.; Liang, D.X.; Wei, Q.; Weng, M.Y. Investigation on the evolution and control of surrounding rock fracture under different supporting conditions in deep roadway during excavation period. Int. J. Rock Mech. Min. Sci. 2019, 123, 104122. [Google Scholar] [CrossRef]
- Wang, H.; Jiang, C.; Zheng, P.Q.; Li, N.; Zhan, Y.B. Deformation and failure mechanism of surrounding rocks in crossed-roadway and its support strategy. Eng. Fail. Anal. 2020, 116, 104743. [Google Scholar] [CrossRef]
- Zhai, M.H.; Zhang, D.F.; Hu, S.C.; Ma, C.Y.; Chen, B.; Wang, Z.P. Development of circular forward temporary support system for fully mechanized excavation roadway. Coal Mine Mach. 2023, 44, 58–60. [Google Scholar] [CrossRef]
- Seryakov, V.M.; Krasnovsky, A.A. Stress State of Support System in Temporary Roadway in Unstable Rock Mass. Dokl. Phys. 2022, 67, 600–603. [Google Scholar] [CrossRef]
- Wang, X.L.; Lai, J.X.; Garnes, R.S.; Luo, Y.B. Support System for Tunnelling in Squeezing Ground of Qingling-Daba Mountainous Area: A Case Study from Soft Rock Tunnels. Adv. Civ. Eng. 2019, 2019, 8682535. [Google Scholar] [CrossRef]
- Liu, J.S.; Cheng, F.M.; Guo, X.H.; Lu, Z.L.; Li, Z.X. Hydraulic system design of temporary support for fast excavation of top coal. IOP Conf. Ser. Earth Environ. Sci. 2021, 772, 012053. [Google Scholar] [CrossRef]
- Krauze, K.; Bołoz, Ł.; Mucha, K.; Wydro, T. The mechanized supporting system in tunnelling operations. Tunn. Undergr. Space Technol. 2021, 113, 103929. [Google Scholar] [CrossRef]
- Xue, G.H.; Guan, J.; Cheng, J.J.; Zhang, H.; Ji, W.L.; Jing, X.P.; Wu, M. Design of advance support for deep fully-mechanized heading roadway and its support performance analysis. Coal Sci. Technol. 2018, 46, 15–20. [Google Scholar] [CrossRef]
- Xie, M.; Liu, Z.X.; Lu, J.N.; Mao, J. Development of similar experimental prototype of the advanced support and the experimental study on its coupling mechanics with roof. J. China Coal Soc. 2017, 42, 1319–1324. [Google Scholar]
- Yang, D.H.; Ning, Z.X.; Lyu, Z.H.; Bai, X.T. Application and development on new type walking self moving advance temporary powered support. Coal Sci. Technol. 2015, 43, 112–115. [Google Scholar] [CrossRef]
- Zhan, J.W.; Yang, J.; Bian, W.H.; Zhao, R.D.; Dong, M.Q. Analytical study and engineering application of NPR prestressed bolt is anchored by mechanical-type anchorage and resin. Tunn. Undergr. Space Technol. 2024, 145, 105616. [Google Scholar] [CrossRef]
- Zhang, Y.H.; Li, L.P.; Fan, H.Y.; Chen, G.Q.; Liu, H.L.; Gao, J.Y.; Wang, M.X. An extended 3D discontinuous deformation analysis method considering bolt supports and its application in tunnels. Comput. Geotech. 2024, 169, 106219. [Google Scholar] [CrossRef]
- Silva, C.; Bernaud, D.; Real, M.; Maghous, S. Reliability analysis of bolt-supported tunnels regarded as homogenized structures. Int. J. Numer. Anal. Met. 2023, 47, 2531–2561. [Google Scholar] [CrossRef]
- Wang, J.; Liu, P.; He, M.C.; Tian, H.Z.; Gong, W.L. Mechanical Behaviour of a Deep Soft Rock Large Deformation Roadway Supported by NPR Bolts: A Case Study. Rock Mech. Rock Eng. 2023, 56, 8851–8867. [Google Scholar] [CrossRef]
- Sakhno, I.; Sakhno, S. Numerical Studies of Floor Heave Control in Deep Mining Roadways with Soft Rocks by the Rock Bolts Reinforcement Technology. Adv. Mater. Sci. Eng. 2023, 2023, 2756105. [Google Scholar] [CrossRef]
- Luo, S.Z.; Liang, W.Z. Optimization of roadway support schemes with likelihood-based MABAC method. Appl. Soft Comput. 2019, 79, 105887. [Google Scholar] [CrossRef]
- Huat, C.Y.; Armaghani, D.J.; Lai, S.H.; Rasekh, H.; He, X.Z. Simulation of Surface Settlement Induced by Parallel Mechanised Tunnelling. Sustainability 2023, 15, 13265. [Google Scholar] [CrossRef]
- Li, Z.; Xu, H.Y.; Wang, Z.J. Analytical Solution for Interaction between Tunnel Surrounding Rock and Supports in Red Sandstone Stratum. KSCE J. Civ. Eng. 2023, 27, 4993–5007. [Google Scholar] [CrossRef]
- Sun, Z.Y.; Zhang, D.L.; Fang, Q.; Dui, G.S.; Tai, Q.M.; Sun, F.W. Analysis of the interaction between tunnel support and surrounding rock considering pre-reinforcement. Tunn. Undergr. Space Technol. 2021, 115, 104074. [Google Scholar] [CrossRef]
- Zhou, P.; Zhou, F.C.; Lin, J.Y.; Li, J.Y.; Jiang, Y.F.; Wang, Z.J.; Yang, B. Decoupling Analysis of Interaction between Tunnel Surrounding Rock and Support in Xigeda Formation Strata. KSCE J. Civ. Eng. 2021, 25, 4897–4921. [Google Scholar] [CrossRef]
- Shan, R.L.; Wei, Y.H.; Wang, C.H.; Li, Z.L.; Li, Y.Z.; Liu, D.; Zhao, X.P. Research on the Failure Mechanism of Surrounding Rock in a Dynamic Pressure Roadway and Active and Passive Coordinated Support Technology. App. Sci. 2024, 14, 1858. [Google Scholar] [CrossRef]
- Wang, K.Z.; Xiong, Y.; Li, S.; Zhou, X.; Li, Z.K. Deformation Characteristics Analysis of Temporary Support in Unsymmetrical Loading Tunnel Excavation under Composite Support. Symmetry 2023, 15, 830. [Google Scholar] [CrossRef]
- Cheng, X.S.; Ding, K.; Liu, G.N.; Bu, Y.Y. Mechanical Properties of Super-large and Shallow-buried Loess Tunnel with the Prefabricated Temporary Support. Recent Pat. Eng. 2023, 18, 2024. [Google Scholar] [CrossRef]
- Xu, Z.J.; Li, C.; Cao, Y.; Tai, L.H.; Han, J. A case study on new high-strength temporary support technology of extremely soft coal seam roadway. Sci. Rep. 2023, 13, 21333. [Google Scholar] [CrossRef]
- Li, Z.H.; Hu, J.; Zhu, H.X.; Feng, J.L.; He, M.C. Numerical study on the CRLD cable–rock interaction under static pull-out loading using coupled DEM–FDM method. Acta Geotech. 2020, 15, 2137–2158. [Google Scholar] [CrossRef]
- Dai, L.P.; Pan, Y.S.; Wang, A.W. Study of the energy absorption performance of an axial splitting component for anchor bolts under static loading. Tunn. Undergr. Space Technol. 2018, 81, 176–186. [Google Scholar] [CrossRef]
- Zeng, Y.; Huang, B.; Zou, Y.; Bai, Y. Numerical Study on Static and Dynamic Load Response of Temporary Support System for Group Tunnels Excavation. Buildings 2022, 12, 1719. [Google Scholar] [CrossRef]
- Song, D.J.; Li, G.; Liu, J.S. Long-Distance and High-Efficiency Temporary Support Technology in Dynamic Pressure Bearing Area of Gob-Side Entry Retaining. Iran. J. Sci. Technol. Trans. Civ. Eng. 2024, 48, 3521–3533. [Google Scholar] [CrossRef]
- Zong, Q.; Lv, N.; Wang, H.B.; Duan, J.C. Numerical analysis on dynamic response and damage threshold characterization of deep rock mass under blasting excavation. Front. Mater. 2022, 11, 1329549. [Google Scholar] [CrossRef]
- Liu, X.S.; Song, S.L.; Tan, Y.L.; Fan, D.Y.; Ning, J.G.; Li, X.B.; Yin, Y. Similar simulation study on the deformation and failure of surrounding rock of a large section chamber group under dynamic loading. Int. J. Min. Sci. Technol. 2021, 31, 495–505. [Google Scholar] [CrossRef]
- Kang, H.P. Analysis on types and interaction of stress fields in underground coal mines. J. China Coal Soc. 2008, 33, 1329–1335. [Google Scholar] [CrossRef]
- Li, J.Z.; Kang, H.P.; Gao, F.Q.; Lou, J.F. Analysis of bolt support stress field and bolt support effect under in-situ stress field. J. China Coal Soc. 2020, 45, 99–109. [Google Scholar] [CrossRef]
- Tang, Z.; Wu, Z.W.; Jia, D.W.; Lv, J.G. The Distribution Law of Ground Stress Field in Yingcheng Coal Mine Based on Rhino Surface Modeling. Processes 2024, 12, 668. [Google Scholar] [CrossRef]
- Zhao, Z.H.; Tan, T.L.; Chen, S.J.; Ma, Q.; Gao, X.J. Theoretical analyses of stress field in surrounding rocks of weakly consolidated tunnel in a high-humidity deep environment. Int. J. Rock Mech. Min. 2019, 122, 104064. [Google Scholar] [CrossRef]
- Zhu, G.Q.; Li, S.J.; Li, C.D.; Liu, G.; Zhou, Y.Y. Physical Model Study on Brittle Failure of Pressurized Deep Tunnel with Support System. Rock Mech. Rock Eng. 2023, 56, 9013–9033. [Google Scholar] [CrossRef]
- Mitri, H.S.; Hassani, F.P. Nonlinear finite element analysis of mine roadway arch support systems. Eng. Fract. Mech. 1988, 31, 161–170. [Google Scholar] [CrossRef]
- Guo, L.J.; Tao, Z.G.; He, M.C.; Coli, M. Excavation compensation and bolt support for a deep mine drift. J. Rock Mech. Geotech. Eng. 2024, 16, 3206–3220. [Google Scholar] [CrossRef]
- Wu, S.; Shi, C.; Zhang, C.; Zhang, Y.P.; Li, W.Y. Analytical Solution for the Stress Field in Surrounding Rock of a Near-Fault Tunnel Considering Tectonic Stress Boundary Conditions. Rock Mech. Rock Eng. 2024, 57, 7013–7031. [Google Scholar] [CrossRef]
- Luo, Z.W.; Zhang, R.; Li, R.; Zheng, L.J.; Zhang, Z.L.; Zhang, Z.T.; Xie, J.; Zhang, L.B. Analytical Solution and Factors Influencing the Tunnel Plastic Zone under a Nonuniform Stress Field. Ksce J. Civ. Eng. 2024, 28, 3016–3032. [Google Scholar] [CrossRef]
- Gu, S.C.; Wang, P.; Yang, C.F. Mechanical characteristics and stability analysis of surrounding rock reinforcement in rectangular roadway. Sci. Rep. 2022, 12, 22234. [Google Scholar] [CrossRef] [PubMed]
- Wang, Q.; Xu, S.; Jiang, B.; Zhang, C.; Sun, Z.; Liu, J.X.; Jiao, C.L. Development of multi-functional anchorage support dynamic-static coupling performance test system and its application. Int. J. Min. Sci. Technol. 2024, 34, 339–349. [Google Scholar] [CrossRef]
- Bednarek, Ł.; Małkowski, P.; Niedbalski, Z.; Mucha, K. Steel Arch and Rock Bolt Support in Terms of the Gateroad Stability Maintaining behind the Longwall Face. Appl. Sci. 2024, 14, 3594. [Google Scholar] [CrossRef]
- Majcherczyk, T.; Niedbalski, Z.; Małkowski, P.; Bednarek, ł. Analysis of Yielding Steel Arch Support with Rock Bolts in Mine Roadways Stability Aspect. Acta Mech. Slov. 2014, 18, 38–44. [Google Scholar] [CrossRef]
- Chen, Y.; Bai, J.B.; Yan, S.; Hao, S.P.; Dao, V.D. A method for computing unsupported roof distance in roadway advancement and its in-situ application. Int. J. Min. Sci. Technol. 2016, 26, 551–556. [Google Scholar] [CrossRef]
- Zhang, J.; Gao, S.S.; He, Y.F.; Yang, T.; Wang, B.; Wang, L.; Pang, H.B.; Peng, B. Study of the roof deformation characteristics of roadway excavation face and unsupported roof distance. Adv. Civ. Eng. 2023, 2023, 9916513. [Google Scholar] [CrossRef]
- Sen, Y.; Hua, X.Z.; Liu, X.; Li, C. Analysis of Stability Factors of Roadway Roof and Determination of Unsupported Roof Distance. Adv. Civ. Eng. 2021, 2021, 2271257. [Google Scholar] [CrossRef]
- Zhou, Z.H.; Xie, Q.M.; Chen, Z.Q.; Yao, Y.K.; Meng, W. Failure mechanism and stability identification of surrounding rock for soft-rock tunnels using long-footage rapid excavation method. Eng. Fail. Anal. 2024, 158, 108038. [Google Scholar] [CrossRef]
- Kumar, M.; Jyoti, D.; Nirmal, K.; Rana, B.; Subhashish, T.; Angad, K. Assessment of roof convergence during driving roadways in underground coal mines by continuous miner. Int. J. Rock Mech. Min. Sci. 2018, 108, 169–178. [Google Scholar] [CrossRef]
- Yan, J.Z.; Su, K.; Zhu, H.Z.; Zhong, D.Q.; He, G.W. Installation time of an initial support for tunnel excavation upon the safety factors of surrounding rock. Appl. Sci. 2020, 10, 5653. [Google Scholar] [CrossRef]
- Zhang, K.; Li, Y.X.; Zhong, D.H.; Meng, X.; Huang, Q.X.; Xu, Y.; Chen, H.Y.; Ma, Y.; Zhang, D.S.; Huang, L.S.; et al. Research and experimental verification of mechanical characteristics of advanced hydraulic support group-anchor coupling support. Chin J. Rock Mech. Eng. 2021, 40, 1428–1443. [Google Scholar]
- Zhang, K.; Li, Y.X.; Feng, L.; Meng, X.J.; Zhong, D.H.; Huang, L.S. Roof deformation characteristics and experimental verification of advanced coupling support system supporting roadway. Energy Sci. Eng. 2022, 10, 2397–2419. [Google Scholar] [CrossRef]
- Zhao, B.C.; Wang, J.B. Study on interval rupture mechanism and support optimization of layered roof. Eng. Fail. Anal. 2022, 141, 106690. [Google Scholar] [CrossRef]
- Bi, Y.W.; Wang, M.X.; Wu, C.; Huang, Y.C. Surrounding rock stability in unsupported roof area and rapid heading technique for deep arch coal roadways under goaf. Minerals 2022, 12, 1329. [Google Scholar] [CrossRef]
- Yang, J.J.; Ge, S.R.; Wang, F.Y.; Luo, W.J.; Zhang, Y.C.; Hu, X.T.; Zhu, T.; Wu, M. Parallel tunneling: Intelligent control and key technologies for tunneling, supporting and anchoring based on ACP theory. J. China Coal Soc. 2021, 46, 2100–2111. [Google Scholar]
- Wang, H.; Wang, J.L.; Zhang, X.F. Theory and technology of efficient roadway advance with driving and bolting integration. J. China Coal Soc. 2020, 45, 2021–2030. [Google Scholar]
- Yu, B.B.; Li, Q.; Zhao, T.D. Deformation extent prediction of roadway roof during non-support period using support vector regression combined with swarm intelligent bionic optimization algorithms. Tunn. Undergr. Space Technol. 2024, 145, 105585. [Google Scholar] [CrossRef]
- Yao, Y.Q.; Wang, H.Z.; Liu, H.L.; Li, G.D. Deformation Characteristics and Destabilization Mechanisms of the Surrounding Rock of Near-Vertical Coal–Rock Interbedded Roadway. Appl. Sci. 2023, 13, 8397. [Google Scholar] [CrossRef]
- Shang, Y.Q.; Kong, D.Z.; Pu, S.J.; Xiong, Y.; Li, Q.; Cheng, Z.B. Study on Failure Characteristics and Control Technology of Roadway Surrounding Rock under Repeated Mining in Close-Distance Coal Seam. Mathematics 2022, 10, 2166. [Google Scholar] [CrossRef]
- Wu, Y.H.; Liu, X.S.; Tan, Y.L.; Wang, W.; Li, X.B.; Wang, X. Mechanism of bolt breakage in deep mining roadway under dynamic load and advanced strengthening support technology. Eng. Fail. Anal. 2024, 161, 108252. [Google Scholar] [CrossRef]
- Li, D.Q. A new analytical model for stress distribution in the rock bolt under axial loading. Int. J. Rock Mech. Min. 2024, 176, 105690. [Google Scholar] [CrossRef]
- Xie, S.R.; Li, H.; Chen, D.D.; Feng, S.H.; Yang, J.H.; Ma, X.; Jiang, Z.S.; Xing, S.K. Research on the Control Technology and Key Parameters of External Anchor-Internal Unloading of Surrounding Rock During Gob-Side Entry Driving Under Severe Mining of 1000-m-Deep Mine. Rock Mech. Rock Eng. 2024, 54, 2913–2932. [Google Scholar] [CrossRef]
- Fu, M.X.; Liu, S.W.; Huang, S.S.; Jia, H.S. Resin Flow Characteristics and Anchoring Performance of Resin-Anchored Bolts in Soft and Broken Surrounding Rock. Rock Mech. Rock Eng. 2023, 57, 1579–1601. [Google Scholar] [CrossRef]
- Greig, K.; John, H. Performance of Conventional and Energy-Absorbing Self-Drilling Hollow Core Rockbolts Under Controlled Laboratory Conditions. Rock Mech. Rock Eng. 2023, 56, 4363–4378. [Google Scholar]
- Lei, M.Y.; Zhang, X.H.; Dong, Z.; Wan, J.C.; Zhang, C.; Zhang, G.M. Locating Anchor Drilling Holes Based on Binocular Vision in Coal Mine Roadways. Mathematics 2023, 11, 4365. [Google Scholar] [CrossRef]
- Sun, C.; Chen, D.X.; Wang, L.G.; Wu, L. Quantitative evaluation of the constraint effect and stability of tunnel lining support. Tunn. Undergr. Space Technol. 2021, 112, 103920. [Google Scholar] [CrossRef]
- Wang, R.J.; Li, C.; Xu, J.H.; Pan, L.J. Development and verification of large deformation model considering stiffness deterioration and shear dilation effect in FLAC3D. Int. J. Min. Sci. Technol. 2018, 28, 959–967. [Google Scholar] [CrossRef]
- Pan, W.P.; Li, H.B.; Hua, X.Z.; Liu, B.; Li, C. Research on grouting reinforcement technology of fault crossing roadway in fully mechanized mining face with large dip angle. Bull. Eng. Geol. Environ. 2024, 83, 216. [Google Scholar] [CrossRef]
- Xiao, T.M.; He, M.C.; Qiao, Y.F.; Cai, W.Q.; Jiang, Y.J.; Zhu, H.H. A novel implementation method of GZZ-based constitutive model into FLAC3D. Tunn. Undergr. Space Technol. 2024, 145, 105601. [Google Scholar] [CrossRef]
- Wang, D.J.; Li, R.; Cheng, J.M.; Zheng, W.X.; Shen, Y.; Zhao, S.H.; Wu, M. Research on the calculation model and control method of initial supporting force for temporary support in the underground excavation roadway of coal mine. Axioms 2023, 12, 948. [Google Scholar] [CrossRef]
- Jin, H.W.; Huang, S.Y.; Zhou, J.; Ma, S.; Xiao, Q. Study on Stress Field Topology Characterization and Stability of Roadway Surrounding Rock. Arab. J. Geosci. 2022, 15, 484. [Google Scholar] [CrossRef]
- Wang, F.Y.; Mao, K.M.; Li, B. Prediction of residual stress fields from surface stress measurements. Int. J. Mech. Sci. 2018, 140, 68–82. [Google Scholar] [CrossRef]
- Fan, T.R.; Wang, J.C.; Wang, Z.H. Analytical Solutions of Elastic Complex Variables for Tunnels with Complicated Shapes Under Geostress Field. Rock Mech. Rock Eng. 2024, 57, 4973–4993. [Google Scholar] [CrossRef]
- Zhao, H.H.; Su, H.J.; Qin, X.F.; Zhang, K.; Jiang, Y.; Wang, W.B. Experiment and Numerical Simulation of Strength and Stress Distribution Behaviors of Anchored Rock Mass in a Roadway. Geofluids 2023, 2023, 93311206. [Google Scholar] [CrossRef]
- Yang, J.W.; Lin, J.; Jiang, P.F. True Triaxial Test and Research into Bolting Support Compensation Stresses for Coal Roadways at Different Depths. Processes 2023, 11, 3071. [Google Scholar] [CrossRef]
- Zhang, K.J.; Zhao, X.; Zhang, Z.Q. Influences of tunnelling parameters in tunnel boring machine on stress and displacement characteristics of surrounding rocks. Tunn. Undergr. Space Technol. 2023, 137, 105129. [Google Scholar] [CrossRef]
- Wang, T.Y.; Liu, H.N.; Kang, M.L.; Zhao, B.C.; Shen, J.X.; Li, Y.C.; Yang, Y.D. Study on the Synergistic Effect of Primary Support and Surrounding Rock of Large Buried Depth Tunnel in Soft and Fractured Strata. Appl. Sci. 2024, 14, 2028. [Google Scholar] [CrossRef]
- Wu, X.Y.; Wang, S.; Gao, E.P.; Chang, L.; Ji, C.X.; Ma, S.J.; Li, T. Failure mechanism and stability control of surrounding rock in mining roadway with gentle slope and close distance. Eng. Fail. Anal. 2023, 152, 107489. [Google Scholar] [CrossRef]
- Li, G.J.; Wang, X.Y.; Bai, J.B.; Wu, B.W.; Wu, W.D. Research on the failure mechanism and control technology of surrounding rock in gob-side entry driving under unstable overlying strata. Eng. Fail. Anal. 2022, 138, 106361. [Google Scholar] [CrossRef]
- Zhang, Z.Q.; Chen, F.F.; He, M.M.; Wang, H. An Analytical Calculation Method for Displacement Criterion on Tunnel Surrounding Rock Mass Stability. Adv. Civ. Eng. 2022, 2022, 2493968. [Google Scholar] [CrossRef]
- Sun, X.M.; Wang, L.; Cui, L.; Zhang, Y.; Jiang, M. Experimental investigation of biaxial compressive mechanical property of NPR anchored rock with different preload forces. Tunn. Undergr. Space Technol. 2024, 146, 105621. [Google Scholar] [CrossRef]
- Sun, X.; Cheng, J.Y.; Wan, Z.J.; Lv, J.K.; Liu, K.C.; Gao, K.D. Analysis of the Support Failure Mechanism Caused by Bolt Pre-Tightening Force Loss. Processes 2024, 12, 113. [Google Scholar] [CrossRef]
- Sun, X.M.; Cui, L.; Zhang, Y.; Wang, L.; Jiang, M. Strength characteristics of rock anchored by NPR bolt with different preloads. J. Mt. Sci. Engl. 2023, 20, 834–844. [Google Scholar] [CrossRef]
- Chu, X.W.; Wu, Y.Z.; Wu, Z.G.; Hao, D.Y.; Feng, Y.L.; Li, W.Z.; Meng, X.Z. Characteristics of roof deformation in excavating face and determination method of reasonable non-support distance. J. Min. Saf. Eng. 2020, 37, 908–917. [Google Scholar]
- Su, C.; Li, P.; Gong, P.L.; Liu, C. Multifactor analysis of roof deformation and reasonable determination of the unsupported distance of a coal roadway heading face based on response surface method. Energy Sci. Eng. 2023, 11, 2395–2407. [Google Scholar] [CrossRef]
- Wu, K.; Wang, Y.Z.; Zheng, X.M.; Zhao, N.N. A better understanding of tunnel deformable supports: From analytical model to engineering application. Arch. Civ. Mech. Eng. 2024, 24, 114. [Google Scholar] [CrossRef]
- Ding, S.H.; Bai, J.D.; Han, J.L.; Wang, H.X.; Ma, F. Mechanical Characteristics Analysis and Structural Optimization of Key Component of Self-Moving Temporary Support. Appl. Sci. 2022, 12, 10745. [Google Scholar] [CrossRef]
- Chen, J.S.; Hu, C.J.; Ai, Q.C.; Yu, C.G. Design and research of hanging robot support platform in tunneling working face. Coal Mine Mach. 2022, 43, 1–4. [Google Scholar] [CrossRef]
- Ma, H.W.; Wang, P.; Wang, S.B.; Mao, Q.H.; Shi, Z.W.; XIA, J.; Yang, Z.; Xue, X.S.; Wang, C.W. Intelligent parallel cooperative control method of coal mine excavation robot system. J. China Coal Soc. 2021, 46, 2057–2067. [Google Scholar] [CrossRef]
- Ma, H.W.; Wang, S.B.; Mao, Q.H.; Shi, Z.W.; Zhang, X.H.; Yang, Z.; Cao, X.G.; Xue, X.S.; Xia, J.; Wang, C.W. Key common technology of intelligent heading in coal mine roadway. J. China Coal Soc. 2021, 46, 310–320. [Google Scholar]












| Simulation | Area of Section (m2) | L1 (m) | L2 (m) | L3 (m) | F (MPa) | Density Kg m−3 | Shear (MPa) | Bulk (MPa) | Tension (MPa) | Cohesion (MPa) | Friction (MPa) |
|---|---|---|---|---|---|---|---|---|---|---|---|
| A | 6 × 5 | 5 | 0 | 10 | 0 | 1400 | 6000 | 4000 | 0.4 | 2 | 25 |
| B | 6 × 5 | 5 | 5 | 10 | 6 | 1400 | 6000 | 4000 | 0.4 | 2 | 25 |
Disclaimer/Publisher’s Note: The statements, opinions and data contained in all publications are solely those of the individual author(s) and contributor(s) and not of MDPI and/or the editor(s). MDPI and/or the editor(s) disclaim responsibility for any injury to people or property resulting from any ideas, methods, instructions or products referred to in the content. |
© 2024 by the authors. Licensee MDPI, Basel, Switzerland. This article is an open access article distributed under the terms and conditions of the Creative Commons Attribution (CC BY) license (https://creativecommons.org/licenses/by/4.0/).
Share and Cite
Zhang, H.; Ma, H.; Wang, C.; Mao, Q.; Xue, X. Numerical Simulation and Engineering Application of Temporary Stress Field in Coal Mine Roadway. Appl. Sci. 2024, 14, 11420. https://doi.org/10.3390/app142311420
Zhang H, Ma H, Wang C, Mao Q, Xue X. Numerical Simulation and Engineering Application of Temporary Stress Field in Coal Mine Roadway. Applied Sciences. 2024; 14(23):11420. https://doi.org/10.3390/app142311420
Chicago/Turabian StyleZhang, Heng, Hongwei Ma, Chuanwei Wang, Qinghua Mao, and Xusheng Xue. 2024. "Numerical Simulation and Engineering Application of Temporary Stress Field in Coal Mine Roadway" Applied Sciences 14, no. 23: 11420. https://doi.org/10.3390/app142311420
APA StyleZhang, H., Ma, H., Wang, C., Mao, Q., & Xue, X. (2024). Numerical Simulation and Engineering Application of Temporary Stress Field in Coal Mine Roadway. Applied Sciences, 14(23), 11420. https://doi.org/10.3390/app142311420

