Abstract
Cracked rock masses in cold regions are subjected to freeze–thaw cycles over extended periods, resulting in freeze–thaw deformation. The combined effects of freeze–thaw cycling and the depth of cracks significantly influence the stability and durability of underground rock engineering in these regions. In some cold regions with minimal annual rainfall, rock masses are unable to absorb external water during freeze–thaw cycles. As freeze–thaw deformation progresses, the rock transitions naturally from a saturated state to an unsaturated state. To investigate the deformation damage mechanisms and evolution patterns of saturated red sandstone with initial non-penetrating cracks of varying depths (20 mm, 30 mm, 40 mm) under freeze–thaw cycling conditions without external water replenishment and with naturally varying saturation levels, relevant freeze–thaw cycle experiments and strain monitoring were conducted. The results indicate that cracked red sandstone experiences residual strain in each freeze–thaw cycle, which gradually accumulates, leading to irreversible freeze–thaw damage deformation. The cumulative residual strain of the rock specimen after 45 freeze–thaw cycles was 40.69 times greater than the residual strain from the first cycle. Additionally, the freeze–thaw strain characteristic values exhibited a clear correlation with crack depth. These findings provide experimental methods and data references for analyzing the deformation and failure mechanisms of cracked rock induced by freeze–thaw damage in cold regions.
1. Introduction
As transportation networks continue to improve, road and tunnel construction projects are gradually extending into cold regions with harsh climatic conditions [1]. These regions are widely covered by permafrost, which refers to various types of rocks and soils containing ice at or below 0 °C [2,3]. The study of frozen rock has emerged as a more specialized direction from permafrost research. Rocks, as porous media composed of solid skeleton particles and intergranular pores, have structures made up of interconnected solid skeleton particles, with the pores typically filled by one or more fluids [4,5,6]. In cold regions, temperatures often drop below zero, and seasonal changes can cause drastic temperature fluctuations, subjecting rocks to freeze–thaw cycles [7,8,9]. Under cyclic influences of temperature stress and pore ice heave forces, rock skeleton particles experience uneven expansion and contraction, which expands the internal pores, resulting in damage to the macroscopic structure and a decline in mechanical properties [10,11,12]. Freeze–thaw deformation disrupts the original equilibrium state of the rock mass, affecting the stability and durability of underground rock engineering in cold regions [13,14,15].
Many scholars have conducted extensive studies on rock deformation under freeze–thaw cycles. Tian et al. [16] conducted freeze–thaw cycle experiments on cracked red sandstone and found that under freeze–thaw conditions, the cracked red sandstone exhibited frost heave deformation. Jia et al. [17] studied the deformation patterns of rocks with different crack lengths, widths, and lithologies over time and temperature during freeze–thaw cycles, finding that deformation damage was mainly due to cumulative effects from temperature damage, frost heave, and thermal expansion. Kang et al. [18] investigated the deformation characteristics of rocks in low-temperature environments and simulated frost heave deformation in cold-region tunnels. By testing strain characteristics in dry and water-saturated rock specimens under low temperatures, they found that water-saturated specimens exhibited residual strain during contraction, frost heave, thawing, and thermal expansion stages, while dry specimens only displayed linear elasticity. Jia et al. [19] discovered that specimens with 50% and 90% saturation exhibited significant deformation during freeze–thaw cycles. Pei et al. [20] conducted experiments on the strain process of cracked rocks with different lithologies under freeze–thaw cycles, finding differences between saturated and dry states, with freeze–thaw cycle frequency affecting strain values. Xia et al. [21] conducted unidirectional freezing experiments on saturated cracked rock, demonstrating that the frost heave effect caused by cracks differed significantly from that of the rock matrix, with cracked rock masses displaying strong heterogeneous frost heave behavior. Huang et al. [22] developed a new elasto-plastic model to estimate the long-term frost heave and deformation of porous rocks in cold regions under freeze–thaw conditions, considering factors such as pore size, matrix yield stress, and water saturation. Lv et al. [23] proposed a thermo-mechanical coupled elasto-plastic model for porous rocks under freeze–thaw conditions, which can accurately predict the temperature changes and freeze–thaw deformation processes of porous rocks. Most scholars use strain gauge methods for monitoring deformation, as exemplified by Wang et al. [24], who studied the principle of measuring linear expansion coefficients using strain gauges and compared this method with traditional quartz tube dilatometers. Their results showed that strain gauge monitoring is simple, reliable, and accurate.
In summary, numerous scholars have conducted extensive experimental and theoretical studies on the freeze–thaw deformation of cracked rocks, primarily focusing on variables such as crack length, crack width, lithology, and rock saturation. However, most of the existing research has concentrated on either saturated rocks or rocks with constant saturation levels. In practical engineering scenarios, the saturation of rocks during long-term freeze–thaw cycles is not constant. For example, in some cold regions north of the Tropic of Cancer, the autumn and winter climates are characterized by cold, dry conditions, significant diurnal temperature variations, and low annual precipitation [25,26,27]. During freeze–thaw cycles, rocks cannot adequately replenish or absorb external moisture, resulting in the natural transition of rock masses from a saturated state to an unsaturated state as freeze–thaw deformation progresses. Furthermore, the crack planes in cracked engineering rock masses serve as weak failure surfaces, making the rock highly susceptible to failure along these planes under external loads. Additionally, the freeze–thaw deformation of rocks containing cracks has a more severe impact on the stress equilibrium of rock masses, significantly affecting their stability [28,29,30]. However, the current research predominantly focuses on the freeze–thaw deformation of rocks with through-going cracks, with crack length and width being the primary research variables. Studies on rocks containing initial non-penetrating cracks of varying depths remain scarce. The strain characteristic values of rocks during freeze–thaw cycles may exhibit significant differences with increasing crack depth.
Therefore, the research on the deformation characteristics of saturated rocks with initial non-penetrating cracks of varying depths under long-term freeze–thaw cycles, where external water cannot be replenished and saturation changes naturally, remains limited but highly significant. Based on these considerations, this study simulates realistic freeze–thaw cycle conditions to investigate the deformation evolution and damage mechanisms of red sandstone specimens containing initial non-penetrating cracks with depths of 20 mm, 30 mm, and 40 mm under freeze–thaw cycles without external water supplementation. Freeze–thaw cycle experiments and strain monitoring were conducted on red sandstone specimens with different crack depths under isolated freeze–thaw conditions. The deformation behavior of red sandstone with varying crack depths was examined over time and temperature during freeze–thaw cycles. The evolution of freeze–thaw strain characteristic values were also analyzed, alongside the freeze–thaw deformation evolution mechanisms of cracked red sandstone. The experimental results provide valuable data references for understanding the deformation and failure mechanisms of cracked rocks subjected to freeze–thaw damage effects in cold regions. Additionally, the naming conventions for the symbols used in this paper are shown in Appendix A Table A1.
2. Materials and Methods
2.1. Materials
Since red sandstone is widely found in practical engineering projects such as tunnels and foundation pits, and it is prone to disintegration and fragmentation under environmental influences after excavation, its strength significantly decreases when soaked in water. Additionally, red sandstone’s physical and mechanical properties are easily affected by freeze–thaw cycles and wet–dry cycles. Therefore, red sandstone was selected as the test material for this study. The red sandstone specimens used in this experiment were cored from the original rock and then cut and polished to produce standard cylindrical specimens with dimensions of Φ50 mm × 100 mm. All specimens were taken from the same rock block to ensure experimental accuracy and comparability, effectively reducing errors caused by specimen variability.
Considering that open-type cracks significantly impact the stability of underground rock engineering, this study investigated the influence of crack depth on rock deformation. A minimally invasive water jet cutting method was employed to prefabricate non-penetrating open-type cracks in the processed standard rock specimens. On the radial surface of the Φ50 × 100 mm cylindrical rock specimens, a vertical water jet cut was made from the midpoint of the 100 mm height downward, creating a non-penetrating crack with a length of 30 mm, a width of 3 mm, and an inclination angle of 45°. The short edge of the prefabricated crack was designated as the reference point, from which the penetration depth was measured inward. Three different crack depths—20 mm, 30 mm, and 40 mm—were prefabricated, ensuring that the cracks did not fully penetrate the rock specimens. Three specimens of cracked rock for each depth were prepared and divided into three groups for testing to ensure reproducibility. Each group of rock specimens consists of one specimen with a 20 mm crack depth, one with a 30 mm crack depth, and one with a 40 mm crack depth. The dimensions and actual specimens of the rock samples are shown in Figure 1a,b, respectively. The basic physical property parameters of the rock specimens are shown in Table 1. The standard deviation and covariance of these parameters are presented in Table A2. To ensure the reproducibility and clarity of this study, XRD mineral composition analysis was conducted on the red sandstone used in the experiments, revealing the mineral composition of the rock specimens [31,32]. The mineral composition was tested using a Rigaku SmartLab X-ray diffractometer manufactured by Rigaku Corporation, Tokyo, Japan. The step size was 0.02°, with a copper target wavelength of 1.5406 Å. The scanning range was 5° to 80°, and the scanning speed was 10°/min. The measured mineral composition consists of eight minerals: quartz, Albite, Hematite, Calcite, Microcline, Anorthite, Muscovite, and Montmorillonite. The primary elements identified include Fe, Ca, K, Si, Al, Na, O, C, and H. The XRD diffraction pattern of the rock specimen is presented in Figure 1c, and the mineral composition proportions of the rock specimen are shown in Figure 1d.
Figure 1.
Rock specimen: (a) rock specimen dimensions; (b) actual rock specimen; (c) the XRD diffraction pattern of the rock specimen; (d) the mineral composition proportions of the rock specimen.
Table 1.
Basic physical property parameters of the rock specimen.
2.2. Strain Monitoring Method
Most natural rock masses contain initial cracks, and under external loading, the localized area near the crack tip is highly prone to damage or failure. The stress–weak plane of a cracked rock mass is directly related to the orientation of the crack. Therefore, monitoring strain changes around the crack allows for investigating its deformation behavior, which in turn can help assess the freeze–thaw damage in cracked rock masses. To monitor the strain changes around the crack, measurement points were selected on the rock specimen surface at the edges of the crack, in a direction perpendicular to the short edge and parallel to the long edge of the crack. Additionally, two symmetric points were selected as reference measurement points, as shown in Figure 2. Strain gauges were attached at all four measurement points to measure the strain values and monitor the variation patterns. The signal transmitted by the strain gauge was collected using a static resistance strain gauge instrument.
Figure 2.
Arrangement of strain measurement points on the rock specimen.
Due to the significant influence of environmental temperature on the resistance of strain gauges, the resistance of the strain gauge changes with fluctuations in external temperature. The resistance change caused by temperature variations is of the same order of magnitude as that caused by the strain in the specimen, leading to considerable measurement errors, referred to as temperature errors of the strain gauge. This occurs for two reasons: first, the resistance wire of the strain gauge has a certain temperature coefficient, and second, the thermal expansion coefficients of the resistance wire and the test material are different.
Therefore, it is necessary to eliminate the temperature error of the strain gauge to obtain accurate strain values, and the bridge compensation method is a commonly used approach for this purpose. Quartz glass is typically selected as the material for the temperature compensation strain gauge due to its extremely low and stable thermal expansion coefficient, which is an order of magnitude lower than that of typical rock materials, with a thermal expansion coefficient of 5.3 × 10−7 °C−1. The specific procedure is as follows: On the static resistance strain gauge instrument, select the half-bridge circuit configuration. Attach the working strain gauge to the measurement point on the rock specimen and attach the temperature compensation strain gauge to the quartz glass. During testing, place both the temperature compensation strain gauge and the working strain gauge in the same temperature environment, as shown in Figure 3a. Since strain gauges malfunction when exposed to water, waterproofing measures must be applied when attaching the strain gauges, as shown in Figure 3b. The actual working strain gauge and its waterproof treatment are shown in Figure 3c,d, respectively. The actual temperature compensation strain gauge and its waterproof treatment are shown in Figure 3e,f, respectively. The strain gauge model is “BFH120-5AA-D300”, with a sensitivity coefficient of 2.0 ± 1% and an accuracy grade of Class A.

Figure 3.
Bridge compensation method: (a) half-bridge circuit; (b) waterproofing measures for strain gauges; (c) actual working strain gauge; (d) physical working strain gauge with waterproof treatment; (e) actual temperature compensation strain gauge; (f) actual temperature compensation strain gauge with waterproof treatment.
Under half-bridge compensation, the readings from the static resistance strain gauge instrument do not directly represent the actual strain values of the rock specimen. After mathematical calculations, Kang et al. [18] derived the following formula to calculate the actual strain values of the rock specimen, as shown in Equation (1):
where εμ is the measured reading from the static resistance strain gauge instrument; βc is the linear thermal expansion coefficient of quartz glass; and Δt is the temperature change value.
2.3. Freeze–Thaw Cycle Testing Equipment and Method
2.3.1. Freeze–Thaw Cycle Testing Equipment
In this experiment, a self-designed freeze–thaw cycle system was assembled, as shown in Figure 4. Additionally, a water immersion sensor and a smoke alarm were employed as safety protection measures, while a static resistance strain gauge instrument, a temperature logger, and a computer were used for monitoring and data acquisition. The freeze–thaw cycle system primarily includes a numerical control refrigerator, a heater, a polyethylene air duct, a router, WIFI smart sockets, wooden supports, iron weights, a time relay, and an electric push rod. The numerical control refrigerator functions as the cooling device, while the heater is used for heating and ventilation. The WIFI smart socket has a timed automatic switch function, allowing users to set the on/off times via a mobile device app. Two WIFI smart sockets are used to connect the power sources for the refrigerator and the heater, enabling timed control of cooling and heating functions. An electric push rod is installed on the left side of the numerical control refrigerator to enable the opening and closing of the refrigerator door. The push rod is connected to the power supply through a time relay, and the interval for pushing and pulling the refrigerator door can be set on the control panel of the time relay, allowing the push rod to open and close the refrigerator door at set intervals automatically. With this configuration, when the push rod closes the refrigerator door, the refrigerator power is turned on, and the heater remains off, enabling the freezing function. When the push rod opens the refrigerator door, the refrigerator power is turned off, and the heater is activated, enabling the thawing function. This cycle repeats continuously, achieving automatic freeze–thaw cycling. The freeze–thaw cycle testing system underwent multiple trial operation tests, during which no faults occurred. The freezing temperature reached −20 °C (±2 °C), and the melting temperature reached 20 °C (±2 °C), meeting the requirements of the freeze–thaw cycle testing.
Figure 4.
Freeze–thaw cycle testing system: (1) numerical control refrigerator; (2) polyethylene air duct; (3) heater; (4) router; (5) computer; (6) electric push rod; (7) wooden support; (8) time relay; (9) iron weight; (10) WIFI smart socket; (11) static resistance strain gauge instrument; (12) water immersion sensor; (13) smoke alarm; (14) temperature logger.
2.3.2. Freeze–Thaw Cycle Testing Method
There are generally two methods for saturating rock specimens: the vacuum saturation method and the free immersion method. In this experiment, the vacuum saturation method was not used because the low-pressure environment created by vacuum extraction may cause unnecessary damage to the rock specimens due to tension. Instead, the free immersion method was used to saturate the rock specimens for 48 h.
- (1)
- The rock specimens were placed in an electric oven and baked at 105 °C for 24 h. They were then removed and cooled in a desiccator. A temperature gun was used to measure the surface temperature of the specimens until the surface temperature matched the ambient room temperature.
- (2)
- Using the free immersion method, the rock specimens were placed in a water tank, and water was first added to cover 1/4 of the specimen height. Afterward, every 2 h, water was added to cover 1/2 and then 3/4 of the specimen height. After 6 h, the specimens were fully submerged. After the rock specimens freely absorbed water for 48 h, they were removed, and the surface water was wiped off. Each specimen was then completely wrapped in transparent polyethylene cling film and individually sealed in transparent polyethylene sealing bags to prevent moisture loss during the freeze–thaw cycle tests.
- (3)
- The room temperature was maintained at 20 °C (±2 °C) using an air conditioner. The sealed rock specimens and temperature compensation strain gauges were placed flat in storage baskets inside the numerical control refrigerator, with wooden strips on both sides to prevent the specimens from rolling during the test, as shown in Figure 5. Additionally, the temperature control group specimens were placed upright in the storage baskets to measure temperature changes during the freeze–thaw cycles. Once all the specimens were securely placed, the control software for the static resistance strain gauge was initiated, setting the data acquisition mode to “monitoring” at a frequency of 1 Hz, and the strain gauge was zeroed. Simultaneously, the freeze–thaw cycle system was started. The time relay was set to push and pull the electric push rod at intervals of 4 h, and the target freezing temperature for the numerical control refrigerator was set to −20 °C. The actual operation of the freeze–thaw cycle system was as follows: initially, the numerical control refrigerator was turned on, and the door remained closed, keeping the specimens in a sealed environment at −20 °C (±2 °C) for 4 h. Then, the refrigerator power was automatically turned off, and the refrigerator door was automatically opened by the electric push rod. After 15 min, the heater began operating for 40 min, raising the specimen temperature to 20 °C (±2 °C). The specimens were maintained at 20 °C (±2 °C) for 3 h and 5 min, resulting in a total thawing time of 4 h. Subsequently, the refrigerator power was automatically turned on, and the refrigerator door was automatically closed by the electric push rod, freezing the specimens for another 4 h. This process is repeated cyclically, with each freeze–thaw cycle lasting 8 h. A total of 45 freeze–thaw cycles were conducted, during which strain data were continuously collected. This process was repeated in cycles, with each freeze–thaw cycle lasting 8 h. A total of 45 freeze–thaw cycles were conducted, during which strain and temperature data were continuously collected without interruption.
Figure 5. Freeze–thaw cycle testing.
3. Results
3.1. Strain Variation Pattern of Cracked Red Sandstone Under a Single Freeze–Thaw Cycle
The strain variation in cracked red sandstone under a single freeze–thaw cycle can be used to analyze the deformation pattern in cracked red sandstone under temperature changes. Since the strain variation trends at different points on cracked red sandstone with varying crack depths are generally similar and show no significant differences, this study selects the strain and temperature variation curve at the monitoring point on the long edge of the 20 mm deep cracked red sandstone during the tenth freeze–thaw cycle as a typical representation, as shown in Figure 6. The standard deviation and covariance of the three groups of experimental data for this measurement point are provided in Table A3.
Figure 6.
The strain and temperature variation curve at the monitoring point on the long edge of the 20 mm deep cracked red sandstone during the tenth freeze–thaw cycle.
During the strain collection process of cracked red sandstone in the freeze–thaw cycles, negative strain values indicate contraction deformation of the rock, while positive values represent expansion deformation. As shown in Figure 6, the strain variation trend can be described as follows: during the cooling and freezing process, the strain of cracked red sandstone gradually decreases to a minimum and then stabilizes. During the heating and thawing process, the strain gradually increases to a maximum, after which it decreases and stabilizes, resulting in residual strain. The strain variation process of cracked red sandstone in a single freeze–thaw cycle can be divided into five stages: (1) initial contraction stage; (2) stable contraction stage; (3) continuous contraction stage; (4) thermal expansion stage; and (5) stabilization stage.
- (1)
- Initial Contraction Stage: In this stage, as the surface temperature of the rock gradually decreases from 20 °C, the rock skeleton undergoes contraction deformation. The strain value starts to decrease from the initial residual strain at point A. The initial residual strain is set to 0, as shown in Figure 6.
- (2)
- Stable Contraction Stage: When the temperature of the rock decreases to around 0 °C, the rock’s temperature no longer drops rapidly but stabilizes at approximately 0 °C for about 40 min. This temperature stabilization occurs because the pores within the rock contain a large amount of water, which stores heat before freezing. Since 0 °C is the freezing point of water, the water continues to release heat, keeping the temperature constant. Due to this heat release, the temperature of the rock matrix remains unchanged, and as a result, the rock skeleton ceases to contract further, causing the strain to remain stable during this stage.
- (3)
- Continuous Contraction Stage: As the temperature continues to drop, the rock skeleton undergoes further contraction deformation, and the strain value continues to decrease. When the temperature reaches the lowest point of −20 °C, the strain decreases to its minimum at point B, marking the peak of contraction deformation in the rock. During this period, the small amount of water in the rock pores undergoes a phase change, freezing into ice, which causes a slight increase in volume. The solid ice exerts pressure on the rock skeleton grains, generating a frost heave force inside the rock. However, since the rock skeleton particles in the test specimen are not strongly cemented and are relatively loosely packed, and the amount of ice in the pores is small, the expansion deformation caused by the frost heave force is minor. The expansion caused by this frost heave force is not of the same order of magnitude as the contraction deformation induced by low temperatures, so the strain value continues to show a decreasing trend.
- (4)
- Thermal Expansion Stage: At this stage, the numerical control refrigerator stops cooling, and the door automatically opens. The rock begins to slowly warm under the influence of the ambient room temperature of 20 °C, resulting in minimal strain changes and a relatively stable state. After 15 min, the heater starts operating, causing the temperature to rise rapidly to around 20 °C. The rock skeleton undergoes expansion, and the strain increases rapidly, reaching its maximum at point C. Due to the significant temperature change on the rock surface, the rock skeleton transitions from contraction to expansion, resulting in relatively intense changes.
- (5)
- Stabilization Stage: In this stage, the heater stops running, and the rock’s temperature remains consistent with the room temperature, around 20 °C. The strain slightly decreases until it stabilizes. This occurs for two reasons: On the one hand, the rapid temperature rise in the previous stage caused the rock to absorb a significant amount of heat, leading to a rock skeleton temperature slightly higher than 20 °C. This temperature difference resulted in more intense deformation. As the rock gradually cooled to stabilize at 20 °C under the influence of room temperature, the strain also decreased and stabilized. On the other hand, a small amount of water in the rock pores froze during the previous stage, transitioning from water to ice, which slightly increased its volume and applied mild pressure on the skeleton. Once the ice melted back into the water, its volume decreased, relieving the pressure on the skeleton, which led to contraction deformation. In summary, during this stage, the strain gradually decreases and stabilizes over time. After the thawing phase, the strain value at point D is slightly greater than at the initial point A, indicating that the rock skeleton experienced residual strain after one freeze–thaw cycle. This residual strain manifests as expansion deformation and is a direct indication of freeze–thaw damage in the rock.
3.2. Strain Variation Pattern in Cracked Red Sandstone Under Multiple Freeze–Thaw Cycles
Long-term, repeated freeze–thaw cycles are of great significance in studying freeze–thaw damage to rocks, as they help reveal the damage patterns in rocks in cold regions. After continuous freeze–thaw cycles, the strain variation trends at different points on cracked red sandstone with varying crack depths are generally similar, with no significant differences. In this study, the strain variation curve at the monitoring point on the long edge of the 20 mm deep cracked red sandstone during multiple freeze–thaw cycles is selected as a typical representative, as shown in Figure 7. The standard deviation and covariance of the three groups of experimental data for this measurement point are provided in Table A4. The monitoring period lasted 15 days, during which a total of 45 freeze–thaw cycles were conducted. The maximum and minimum strain values generated in cracked red sandstone during each freeze–thaw cycle are always greater than those from the previous cycle, indicating that significant expansion deformation occurs as the number of freeze–thaw cycles increases. Additionally, the final strain value in each freeze–thaw cycle does not return to the initial value but shows a slight increase, meaning that small residual strains are produced after each cycle. This demonstrates that expansion deformation occurs during every freeze–thaw cycle. The crack’s long-edge monitoring point of the 20 mm depth cracked rock specimen showed an initial strain of 0 at the start of the freeze–thaw cycle. After 45 freeze–thaw cycles, the residual strain reached 529 με, which is 40.69 times the initial residual strain of 13 με, indicating significant expansion deformation of the crack’s long edge during the freeze–thaw process. This confirms that the expansion deformation caused by freeze–thaw cycles is irreversible, indicating plastic deformation. The residual strain from each cycle accumulates, leading to gradually increasing expansion deformation, and the freeze–thaw damage intensifies as the number of cycles increases.
Figure 7.
The strain variation curve at the monitoring point on the long edge of the 20 mm deep specimen.
3.3. Analysis of Strain Characteristic Values of Cracked Red Sandstone Under Multiple Freeze–Thaw Cycles
3.3.1. Definition of Strain Characteristic Values
The strain characteristic values of cracked rock under multiple freeze–thaw cycles mainly include cold contraction amplitude and thermal expansion amplitude. By analyzing the variation patterns in these characteristic values, it is possible to further investigate the effect of crack depth on the long-term freeze–thaw deformation characteristics of cracked rock. The definitions of cold contraction amplitude and thermal expansion amplitude are as follows.
Cold Contraction Amplitude: The absolute difference between the minimum strain value and the initial strain value during the same freeze–thaw cycle. The calculation formula is shown in Equation (2):
where εB is the strain value at point B in Figure 6 and εA is the strain value at point A in Figure 6.
Thermal Expansion Amplitude: The absolute difference between the maximum strain value and the minimum strain value during the same freeze–thaw cycle. The calculation formula is shown in Equation (3):
where εC is the strain value at point C in Figure 6 and εB is the strain value at point B in Figure 6.
3.3.2. Cold Contraction Amplitude Analysis
- Measurement Points on the Short Edge and Long Edge of the Crack
As shown in Figure 8, with the increase in the number of freeze–thaw cycles, the cold contraction amplitudes on both the short and long edges of cracks in the rock specimens with three different crack depths remained relatively stable. The average cold contraction amplitudes for the short edge of cracks with depths of 20 mm, 30 mm, and 40 mm were 854 με, 903 με, and 1379 με, respectively. The average cold contraction amplitude on the short edge of the 40 mm deep crack was 1.61 times that of the 20 mm deep crack and 1.53 times that of the 30 mm deep crack. The average cold contraction amplitudes for the long edge of cracks with depths of 20 mm, 30 mm, and 40 mm were 798 με, 746 με, and 1175 με, respectively. The average cold contraction amplitude on the long edge of the 40 mm deep crack was 1.47 times that of the 20 mm deep crack and 1.58 times that of the 30 mm deep crack. It is clear that the difference in the average cold contraction amplitude on the short edge between the 20 mm and 30 mm deep cracks is relatively small, while the average cold contraction amplitude on the short edge of the 40 mm deep crack is significantly larger than the other two. The same trend is observed for the long edge of the cracks. This phenomenon may be due to the contraction deformation of rock skeleton particles under cold conditions during the freeze–thaw cycle. Since the pre-existing crack lacks part of the rock matrix internally, the surface points of the pre-existing crack have a slightly higher degree of freedom and are less constrained by the surrounding rock matrix. The greater the crack depth, the less constrained the surface points are, resulting in more pronounced deformation.
Figure 8.
(a) Cold contraction amplitude of the crack’s short edge; (b) cold contraction amplitude of the crack’s long edge.
- 2.
- Symmetric Measurement Points on the Short Edge and Long Edge of the Crack
As shown in Figure 9, with the increase in the number of freeze–thaw cycles, the cold contraction amplitudes at the symmetric points on the short edge and long edge of the cracks in the rock specimens with three different crack depths remain largely unchanged. The average cold contraction amplitudes at the symmetric points on the short edge for the cracks with depths of 20 mm, 30 mm, and 40 mm are 959 με, 1067 με, and 763 με, respectively. The 30 mm depth cracked rock specimen shows the largest cold contraction amplitude at the short edge symmetric point, followed by the 20 mm depth specimen, with the 40 mm depth specimen having the smallest amplitude. This indicates that the variation pattern in the cold contraction amplitude at the symmetric points of non-penetrating cracks differs from that of the surface points. For the long edge symmetric points, the average cold contraction amplitudes for the 20 mm, 30 mm, and 40 mm crack depth specimens are 983 με, 688 με, and 1120 με, respectively. The 40 mm depth cracked rock specimen has the largest cold contraction amplitude at the long edge symmetric point, followed by the 20 mm depth specimen, while the 30 mm depth specimen has the smallest amplitude. When examining the relationship between the average cold contraction amplitude and crack depth, the long-edge symmetric points display a reverse correlation compared to the short-edge symmetric points.
Figure 9.
(a) Cold contraction amplitude at the symmetric point of the crack’s short edge; (b) cold contraction amplitude at the symmetric point of the crack’s long edge.
3.3.3. Thermal Expansion Amplitude
- Measurement Points on the Short Edge and Long Edge of the Crack
As shown in Figure 10, with the increase in the number of freeze–thaw cycles, the thermal expansion amplitudes on both the short and long sides of the cracks in the rock specimens with three different crack depths remained relatively stable. The average thermal expansion amplitudes for the short edge of the cracks with depths of 20 mm, 30 mm, and 40 mm were 937 με, 1057 με, and 1568 με, respectively. The average thermal expansion amplitude on the short edge of the 40 mm deep crack was 1.67 times that of the 20 mm deep crack and 1.48 times that of the 30 mm deep crack. The average thermal expansion amplitudes for the long edge of the cracks with depths of 20 mm, 30 mm, and 40 mm were 873 με, 1035 με, and 1437 με, respectively. The average thermal expansion amplitude on the long edge of the 40 mm deep crack was 1.65 times that of the 20 mm deep crack and 1.39 times that of the 30 mm deep crack. The deeper the crack, the larger the average thermal expansion amplitude for both the short and long edges. This phenomenon is primarily due to the greater cold contraction deformation in rocks with deeper pre-existing cracks, which leads to a larger recovery deformation when the rock temperature returns to room temperature.
Figure 10.
(a) Thermal expansion amplitude of the crack’s short edge; (b) thermal expansion amplitude of the crack’s long edge.
- 2.
- Symmetric Measurement Points on the Short Edge and Long Edge of the Crack
As shown in Figure 11, with the increase in the number of freeze–thaw cycles, the thermal expansion amplitudes of both the short edge and long edge of the cracks in the rock specimens with three different crack depths show minimal changes. The average thermal expansion amplitudes for the short edge of the cracks with depths of 20 mm, 30 mm, and 40 mm are 1022 με, 1379 με, and 900 με, respectively. The 30 mm depth cracked rock specimen exhibits the largest average thermal expansion amplitude for the short edge, followed by the 20 mm depth specimen, with the 40 mm depth specimen showing the smallest amplitude. This indicates that the thermal expansion amplitude variation pattern at the symmetric points of non-penetrating cracks differs from that of the surface points but is generally consistent with the cold contraction amplitude variation pattern. For the long edge, the average thermal expansion amplitudes for the cracks with depths of 20 mm, 30 mm, and 40 mm are 1055 με, 937 με, and 1287 με, respectively. The 40 mm depth cracked rock specimen has the largest average thermal expansion amplitude at the symmetric point on the long edge, followed by the 20 mm depth specimen, with the 30 mm depth specimen showing the smallest amplitude. Regarding the relationship between average thermal expansion amplitude and crack depth, the long-edge symmetric points exhibit the opposite pattern compared to the short-edge symmetric points. This relationship is consistent with that observed for the cold contraction amplitude.
Figure 11.
(a) Thermal expansion amplitude at the symmetric point of the crack’s short edge; (b) thermal expansion amplitude at the symmetric point of the crack’s long edge.
3.3.4. Comprehensive Comparative Analysis
- (1)
- As shown in Figure 12a, in the 20 mm depth cracked rock specimen, both the average cold contraction amplitude and the average thermal expansion amplitude of the short edge are smaller than those of the symmetric points, and the same applies to the long edge.
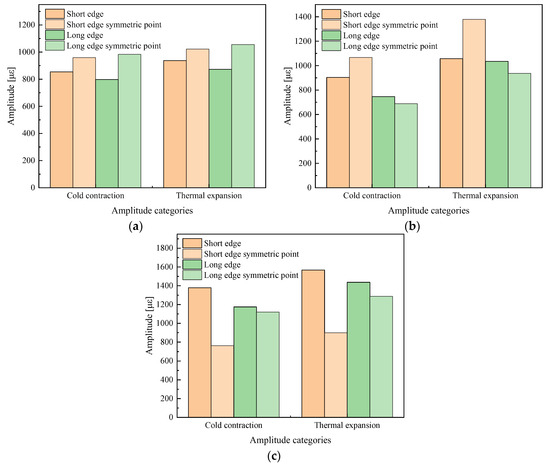
Figure 12. (a) Comparison of strain characteristic values for the 20 mm depth cracked rock specimen; (b) comparison of strain characteristic values for the 30 mm depth cracked rock specimen; (c) comparison of strain characteristic values for the 40 mm depth cracked rock specimen. - (2)
- As shown in Figure 12b, in the 30 mm depth cracked rock specimen, both the average cold contraction amplitude and the average thermal expansion amplitude of the short edge are smaller than those of the symmetric points, but the average cold contraction and thermal expansion amplitudes of the long edge are greater than those of the symmetric points.
- (3)
- As shown in Figure 12c, in the 40 mm depth cracked rock specimen, both the average cold contraction amplitude and the average thermal expansion amplitude of the short edge are greater than those of the symmetric points, and the same applies to the long edge.
In summary, as the depth of the pre-existing crack increases and the depth of the rock matrix at the symmetric points decreases, the average cold contraction and thermal expansion amplitudes of both the short and long edges transition from initially being smaller than those at the symmetric points to ultimately becoming larger than those at the symmetric points. The main reason for this phenomenon may be that as the crack depth increases, the surface points of the pre-existing crack experience less constraint from the surrounding rock matrix. This allows for more pronounced deformation during freeze–thaw cycles. Compared to the constraints at the symmetric points, the degree of freedom at the surface points of the pre-existing crack increases significantly, resulting in the deformation amplitude gradually exceeding that of the symmetric points.
4. Analysis and Discussion
4.1. Analysis of the Micro-Deformation Mechanism of Rock
At different stages of the experiment, a digital microscope was used to observe the microstructures of cracked red sandstone in the dry state, water-saturated state, and after 40 freeze–thaw cycles from two fixed angles, as shown in Figure 13. These microscopic images provide an intuitive representation of the changes in rock skeleton particles during freeze–thaw cycles, highlighting the deformation and damage caused by freeze–thaw action. Additionally, the deformation results revealed by the microscopic images effectively validate the strain data obtained from monitoring experiments.
Figure 13.
Comparison of (a) 300× magnified image of angle 1 in the dry state; (b) 300× magnified image of angle 2 in the dry state; (c) 300× magnified image of angle 1 in the water-saturated state; (d) 300× magnified image of angle 2 in the water-saturated state; (e) 300× magnified image of angle 1 after 40 freeze–thaw cycles; and (f) 300× magnified image of angle 2 after 40 freeze–thaw cycles.
The red sandstone specimens in the dry state, water-saturated state, and after 40 freeze–thaw cycles exhibit an overall reddish-brown color with uniform particle distribution. In the dry state, the bonding between particles via white debris-like cementing material is clearly visible, with small intergranular pores forming a porous structure. In the water-saturated state, the rock pores are fully filled with water molecules. Comparing microscopic images after 40 freeze–thaw cycles with the initial dried state reveals significant changes. Under the effects of frost heaving forces and thermal expansion and contraction of skeleton particles, the debris-like cementing material sustained considerable damage, leading to a reduction in cementing material. The original pores expanded, the newly formed pores became more numerous, and the remaining skeleton particles were more clearly revealed.
Rock, as a porous medium composed of solid skeleton grains and intergranular pores, has a structure formed by interconnected solid skeleton grains. The pores are usually filled with one or more fluids. The previous literature has clarified that rock deformation is caused by the deformation of skeleton grains and changes in their arrangement [33]. This manifests in two forms, “body deformation” and “structural deformation”, as shown in Figure 14. The actual deformation of the rock is a combination of these two basic types of deformation, and the total strain is the algebraic sum of the body strain and structural strain. The descriptions of body and structural deformation in rocks are as follows:
Figure 14.
Micro-deformation of rock.
- (1)
- Body Deformation: This refers to the overall deformation caused by the deformation of the skeleton grains themselves, which is classified as elastic deformation. During this process, changes in the stress within the skeleton grains lead to changes in their volume, but the arrangement of the skeleton grains remains unchanged. Therefore, the body stress (σs) determines the body deformation of the rock.
- (2)
- Structural Deformation: This refers to the overall deformation caused by changes in the arrangement of the skeleton grains, which is classified as plastic deformation. During this process, changes in the contact stress between the skeleton grains result in relative displacement between them, altering the arrangement of the skeleton grains, though the volume of the grains themselves does not change. Therefore, the contact stress (σc) between the skeleton grains determines the structural deformation of the rock.
4.2. Discussion
In this experiment, the results of strain variation in cracked rock under freeze–thaw cycles indicate that rock skeleton particles undergo thermal expansion and contraction during the freeze–thaw process. After each freeze–thaw cycle, residual strain and expansion deformation, i.e., plastic deformation, occur. The residual strain accumulates with each cycle, leading to a gradual increase in the overall expansion deformation of the rock as the number of freeze–thaw cycles increases. In summary, the freeze–thaw deformation evolution mechanism of the cracked red sandstone in this experiment can be concluded in the following three points:
- (1)
- Thermal Expansion and Contraction of Skeleton Particles: The rock skeleton particles undergo thermal expansion and contraction during freeze–thaw cycles, resulting in body deformation. Since the skeleton particles are not perfectly elastic, a portion of residual strain remains after each cycle of expansion and contraction. This residual strain constitutes only part of the total residual strain for each freeze–thaw cycle.
- (2)
- Frost Heave Force Due to Water Molecules in Rock Pores: The presence of water molecules in the rock pores leads to approximately 9% volume expansion when the water freezes. If the rock constrains this expansion, a frost heave force is generated [34,35,36]. This frost heave force affects the contact stress between surrounding skeleton particles, altering their arrangement and causing structural deformation.
- (3)
- Damage to Cementing Materials: In red sandstone, cementing materials bond the surrounding particles together. These materials, being chemical precipitates, are prone to damage from physical and chemical actions. During freeze–thaw cycles, the cementing materials themselves undergo thermal expansion and contraction, and they are also subjected to external influences such as the compressive effect of expanding skeleton particles, the frost heave force of ice, and the dissolution effects of water molecules. As a result, some of the cementing material gradually breaks down and disappears during the freeze–thaw process. The space it originally occupied transforms into intergranular pores, leading to a significant change in the stress state of the surrounding rock skeleton particles. The contact stress between the particles changes, altering their arrangement and causing structural deformation of the rock.
Additionally, it is worth noting that during the freeze–thaw cycles in this experiment, some of the cementing materials were damaged and disappeared. After the space they originally occupied developed into intergranular pores, the porosity of the rock increased. Since the rock specimens in this experiment were kept in a sealed environment without external water replenishment, the water content of the specimens could not fully fill these newly formed intergranular pores, causing the specimens to become unsaturated. Based on the results of this experiment, the strain variation in the cracked rock and the changes in the strain characteristic values under multiple freeze–thaw cycles did not show significant changes in the later stages of the experiment, and the patterns were largely similar to those observed in the earlier stages. Further research on this issue will be conducted.
5. Conclusions
The present study investigates the deformation behavior of red sandstone with cracks at different depths during freeze–thaw cycles, focusing on the variations in deformation with time and temperature. The freezing–thawing deformation evolution mechanism of cracked red sandstone is analyzed. The main findings are as follows:
- (1)
- The strain variation process of cracked red sandstone during a single freeze–thaw cycle can be roughly divided into five stages: initial contraction stage, stable contraction stage, continuous contraction stage, thermal expansion stage, and stabilization stage. The strain variation trend can be described as follows: during the cooling and freezing process, the strain in the cracked red sandstone gradually decreases to a minimum value and then stabilizes. During the heating and thawing process, the strain gradually increases to a maximum value, after which it decreases and stabilizes, resulting in residual strain.
- (2)
- The damage to cracked red sandstone worsens during multiple freeze–thaw cycles. Residual strain, representing plastic deformation, is generated in each freeze–thaw cycle. As the number of freeze–thaw cycles increases, residual strain accumulates, leading to significant expansion deformation and irreversible freeze–thaw damage. The cumulative residual strain of the rock specimen after 45 freeze–thaw cycles was 40.69 times greater than the residual strain from the first cycle. This expansion deformation is severe, manifesting as the extension, increase, and interconnection of rock pores and microcracks.
- (3)
- The freeze–thaw strain characteristic values of cracked red sandstone include cold contraction amplitude and thermal expansion amplitude, and these values are clearly correlated with crack depth. For the monitoring point on the long edge of the 40 mm depth cracked rock specimen, the average cold contraction amplitude and average thermal expansion amplitude are 1.47 times and 1.65 times those of the 20 mm depth cracked rock specimen, respectively. During freeze–thaw cycles, the rock skeleton particles contract due to the cold. Since the pre-existing crack lacks part of the rock matrix internally, the points at the surface of the pre-existing crack have a slightly higher degree of freedom and are less constrained by the surrounding rock matrix. The deeper the crack, the less constraint at the surface, resulting in more pronounced deformation.
- (4)
- The freeze–thaw deformation evolution mechanism of cracked red sandstone can be summarized into three points: (i) body deformation caused by the thermal expansion and contraction of rock skeleton particles; (ii) structural deformation caused by frost heave force; and (iii) structural deformation caused by damage to the cementing materials. This freeze–thaw deformation mechanism provides a valuable reference for the study of the stability and durability of underground rock engineering in cold regions.
This study presents a monitoring method for freeze–thaw deformation, which can be applied to the deformation monitoring of rock underground engineering in cold regions. Additionally, the results of this research provide data references and a mechanistic basis for freeze–thaw damage and deformation in practical underground engineering projects in cold regions.
Author Contributions
Conceptualization, X.H. and G.S.; formal analysis, H.F.; data curation, X.H., C.T. and Z.H.; investigation, P.Y. and Q.Z.; supervision, W.F. and S.Y.; writing—original draft preparation, X.H.; writing—review and editing, G.S.; funding acquisition, G.S. All authors have read and agreed to the published version of the manuscript.
Funding
This work was funded by the National Natural Science Foundation of China (grant number: 51408617), the Scientific Research Project of Hunan Provincial Department of Education (grant number: 22A0189), the General Project of Natural Science Foundation of Hunan Province (grant number: 2024JJ5640), the Hunan Provincial Construction Engineering Science and Technology Research and Development Project (grant number: 23JK162), the Science and Technology Progress and Innovation Plan Project of the Hunan Provincial Department of Transportation (grant number: 202118), and the Science and Technology Project of Henan Provincial Department of Transportation (grant number: 2021-2-12).
Institutional Review Board Statement
Not applicable.
Informed Consent Statement
Not applicable.
Data Availability Statement
All relevant data are contained in the present manuscript.
Conflicts of Interest
The authors declare no conflicts of interest.
Appendix A
Table A1.
List of symbols.
Table A1.
List of symbols.
| Symbol | |
|---|---|
| εμ | The readings measured by the static resistance strain gauge. |
| βc | The coefficient of linear thermal expansion of quartz glass. |
| Δt | The value of temperature variation. |
| εA | The strain value at point A on the strain–time curve for a single freeze–thaw cycle. |
| εB | The strain value at point B on the strain–time curve for a single freeze–thaw cycle. |
| εC | The strain value at point C on the strain–time curve for a single freeze–thaw cycle. |
Table A2.
The standard deviation and covariance of the basic physical property parameters of the rock specimens.
Table A2.
The standard deviation and covariance of the basic physical property parameters of the rock specimens.
| Group * | Saturated Density | Water Absorption | Porosity | ||||||
|---|---|---|---|---|---|---|---|---|---|
| Value [g/cm3] | Standard Deviation [g/cm3] | Covariance [%] | Value [%] | Standard Deviation [%] | Covariance [%] | Value [%] | Standard Deviation [%] | Covariance [%] | |
| A | 2.156 | 0.055 | 2.48 | 6.082 | 0.134 | 2.15 | 13.705 | 0.299 | 2.14 |
| B | 2.264 | 6.349 | 14.295 | ||||||
| C | 2.226 | 6.235 | 13.915 | ||||||
* Taking the cracked rock specimen with a 20 mm crack depth as an example.
Table A3.
The standard deviation and covariance of strain during the first freeze–thaw cycle.
Table A3.
The standard deviation and covariance of strain during the first freeze–thaw cycle.
| Group * | Residual Strain | Cold Contraction Amplitude | Thermal Expansion Amplitude | ||||||
|---|---|---|---|---|---|---|---|---|---|
| Value [με] | Standard Deviation [με] | Covariance [%] | Value [με] | Standard Deviation [με] | Covariance [%] | Value [με] | Standard Deviation [με] | Covariance [%] | |
| A | 13 | 1.528 | 11.46 | 794 | 40.017 | 5.03 | 872 | 47.127 | 5.38 |
| B | 12 | 836 | 925 | ||||||
| C | 15 | 756 | 831 | ||||||
* Taking the crack long-edge monitoring point of the cracked rock specimen with a 20 mm crack depth as an example.
Table A4.
The standard deviation and covariance of strain during multiple freeze–thaw cycles.
Table A4.
The standard deviation and covariance of strain during multiple freeze–thaw cycles.
| Group * | Residual Strain | Average Cold Contraction Amplitude | Average Thermal Expansion Amplitude | ||||||
|---|---|---|---|---|---|---|---|---|---|
| Value [με] | Standard Deviation [με] | Covariance [%] | Value [με] | Standard Deviation [με] | Covariance [%] | Value [με] | Standard Deviation [με] | Covariance [%] | |
| A | 529 | 30.79 | 5.47 | 798 | 42.93 | 5.43 | 873 | 48.676 | 5.52 |
| B | 571 | 830 | 935 | ||||||
| C | 589 | 745 | 839 | ||||||
* Taking the crack long-edge monitoring point of the cracked rock specimen with a 20 mm crack depth as an example.
References
- Xue, Y.; Kong, F.; Yang, W.; Qiu, D.; Ma, X. Main unfavorable geological conditions and engineering geological problems along Sichuan—Tibet railway. Chin. J. Rock Mech. Eng. 2020, 39, 445–468. [Google Scholar]
- Chen, H.; Gao, X.; Wang, Q. Research progress and prospect of frozen soil engineering disasters. Cold Reg. Sci. Technol. 2023, 212, 103901. [Google Scholar] [CrossRef]
- Yun, M.; Ren, J.; Song, Y.; Zhang, L.; Sun, C.; Chang, P.; Cao, X. Fracture Mechanism and Damage Constitutive Model of Freeze–Thaw Fissured Granite Subjected to Fatigue Loading. Appl. Sci. 2024, 14, 6324. [Google Scholar] [CrossRef]
- Ma, W.; Wang, D.Y. Studies on frozen soil mechanics in China in past 50 years and their prospect. Chin. J. Geotech. Eng. 2012, 34, 625–640. [Google Scholar]
- Deprez, M.; De Kock, T.; De Schutter, G.; Cnudde, V. A review on freeze-thaw action and weathering of rocks. Earth Sci. Rev. 2020, 203, 103143. [Google Scholar] [CrossRef]
- Liu, X.; Congress, S.S.C.; Cai, G.; Liu, L.; Liu, S.; Puppala, A.J.; Zhang, W. Development and validation of a method to predict the soil thermal conductivity using thermal piezocone penetration testing (T-CPTU). Can. Geotech. J. 2022, 59, 510–525. [Google Scholar] [CrossRef]
- Maji, V.; Murton, J.B. Micro-computed tomography imaging and probabilistic modelling of rock fracture by freeze-thaw. Earth Surf. Process. Landf. 2020, 45, 666–680. [Google Scholar] [CrossRef]
- Yu, W.; Zhang, T.; Lu, Y.; Han, F.; Zhou, Y.; Hu, D. Engineering risk analysis in cold regions: State of the art and perspectives. Cold Reg. Sci. Technol. 2020, 171, 102963. [Google Scholar] [CrossRef]
- Yang, C.; Zhou, K.; Xiong, X.; Deng, H.; Pan, Z. Experimental investigation on rock mechanical properties and infrared radiation characteristics with freeze-thaw cycle treatment. Cold Reg. Sci. Technol. 2021, 183, 103232. [Google Scholar] [CrossRef]
- Jia, H.; Ding, S.; Zi, F.; Dong, Y.; Shen, Y. Evolution in sandstone pore structures with freeze-thaw cycling and interpretation of damage mechanisms in saturated porous rocks. Catena 2020, 195, 104915. [Google Scholar] [CrossRef]
- Liu, T.; Cai, W.; Sheng, Y.; Huang, J. Experimental Study on the Microfabrication and Mechanical Properties of Freeze–Thaw Fractured Sandstone under Cyclic Loading and Unloading Effects. Materials 2024, 17, 2451. [Google Scholar] [CrossRef] [PubMed]
- Liu, L.; Cai, G.; Zhang, J.; Liu, X.; Liu, K. Evaluation of engineering properties and environmental effect of recycled waste tire-sand/soil in geotechnical engineering: A compressive review. Renew. Sustain. Energy Rev. 2020, 126, 109831. [Google Scholar] [CrossRef]
- Feng, Q.; Yang, Z.; Liu, W.; Zhao, W. Experimental study of the anisotropic frost heave characteristics of rock surrounding tunnels in cold regions. J. Cold Reg. Eng. 2021, 35, 04021014. [Google Scholar] [CrossRef]
- Yang, Z.; Xu, J.; Feng, Q.; Liu, W.; He, P.; Fu, S. Elastoplastic analytical solution for the stress and deformation of the surrounding rock in cold region tunnels considering the influence of the temperature field. Int. J. Geomech. 2022, 22, 04022118. [Google Scholar] [CrossRef]
- Yu, Q.; Lei, P.; Dai, Z.; Soltanian, M.R.; Yin, S.; Liu, W.; Xiong, Z. Damage characteristics of limestone under freeze-thaw cycle for tunnels in seasonal frozen areas. Iran. J. Sci. Technol. 2023, 47, 469–477. [Google Scholar] [CrossRef]
- Tian, Z.; Li, Y.; Wang, G.; Ma, H.; Zhang, J.; Bi, Z. Experimental study on frost heaving force and deformation of water saturated red sandstone fractures. Chin. J. Rock Mech. Eng. 2022, 41, 2857–2868. [Google Scholar]
- Jia, P.; Wang, X.; Wang, D. Study on the freeze-thaw deformation characteristics of saturated fractured rocks. Rock Soil Mech. 2023, 44, 345–354. [Google Scholar]
- Kang, Y.; Liu, Q.; Zhao, J.; Zhang, F. Research on frost deformation characteristics of rock and simulation of tunnel frost deformation in cold region. Chin. J. Rock Mech. Eng. 2012, 31, 2518–2526. [Google Scholar]
- Jia, H.; Xiang, W.; Krautblatter, M. Quantifying rock fatigue and decreasing compressive and tensile strength after repeated freeze-thaw cycles. Permafr. Periglac. Process. 2015, 26, 368–377. [Google Scholar] [CrossRef]
- Pei, X.; Meng, M.; Yuan, J.; Wang, D. Freezing-thawing characteristics of fractured rockmass under dry and saturated conditions. Rock Soil Mech. 2017, 38, 1999–2006. [Google Scholar]
- Xia, C.; Lv, Z.; Li, Q.; Huang, J.; Bai, X. Transversely isotropic frost heave of saturated rock under unidirectional freezing condition and induced frost heaving force in cold region tunnels. Cold Reg. Sci. Technol. 2018, 152, 48–58. [Google Scholar] [CrossRef]
- Huang, S.; Lu, Z.; Ye, Z.; Xin, Z. An elastoplastic model of frost deformation for the porous rock under freeze-thaw. Eng. Geol. 2020, 278, 105820. [Google Scholar] [CrossRef]
- Lv, Z.; Luo, S.; Xia, C.; Zeng, X. A Thermal-mechanical coupling elastoplastic model of freeze-thaw deformation for porous rocks. Rock Mech. Rock Eng. 2022, 55, 3195–3212. [Google Scholar] [CrossRef]
- Wang, Z.; Zhao, L.; Tu, Z.; Zhang, Z. Thermal expansion measurement at low temperature using strain gauges. Cryogenics 1999, 1, 18–21. [Google Scholar]
- Zhang, H.; Meng, X.; Yang, G. A study on mechanical properties and damage model of rock subjected to freeze-thaw cycles and confining pressure. Cold Reg. Sci. Technol. 2020, 174, 103056. [Google Scholar] [CrossRef]
- Chen, L.; Li, K.; Song, G.; Zhang, D.; Liu, C. Effect of freeze-thaw cycle on physical and mechanical properties and damage characteristics of sandstone. Sci. Rep. 2021, 11, 12315. [Google Scholar] [CrossRef]
- Zhang, X.; Jin, J.; Liu, X.; Wang, Y.; Li, Y. Study on the Influence of Saturation on Freeze-Thaw Damage Characteristics of Sandstone. Materials 2023, 16, 2309. [Google Scholar] [CrossRef]
- Sun, L.; Tao, S.; Liu, Q. Frost crack propagation and interaction in fissured rocks subjected to freeze-thaw cycles: Experimental and numerical studies. Rock Mech. Rock Eng. 2023, 56, 1077–1097. [Google Scholar] [CrossRef]
- Kang, Z.; Wang, Z.; Shao, L.; Feng, J.; Yao, X. Surface crack evolution patterns in freeze-thaw damage of fissured rock bodies. J. Mt. Sci. 2024, 21, 3094–3107. [Google Scholar] [CrossRef]
- Stępień, P.; Spychał, E. The Use of Thermoporometry in the Study of Frost Resistance of Rocks. Materials 2024, 17, 620. [Google Scholar] [CrossRef]
- Dubale, M.; Vasić, M.V.; Goel, G.; Kalamdhad, A.; Singh, L.B. Utilization of construction and demolition mix waste in the fired brick production: The impact on mechanical properties. Materials 2022, 16, 262. [Google Scholar] [CrossRef] [PubMed]
- Dubale, M.; Vasić, M.V.; Goel, G.; Kalamdhad, A.; Laishram, B. The recycling of demolition roof tile waste as a resource in the manufacturing of fired bricks: A scale-up to the industry. Constr. Build. Mater. 2024, 412, 134727. [Google Scholar] [CrossRef]
- Wu, S.; Li, L.; Zhang, X. Rock Mechanics, 1st ed.; Higher Education Press: Beijing, China, 2021; Volume 14, p. 430. [Google Scholar]
- Lin, H.; Lei, D.; Yong, R.; Jiang, C.; Du, S. Analytical and numerical analysis for frost heaving stress distribution within rock joints under freezing and thawing cycles. Environ. Earth Sci. 2020, 79, 305. [Google Scholar] [CrossRef]
- Qiao, C.; Wang, Y.; Song, Z.; Li, C.; Hou, Z. Experimental study on the evolution characteristics of cyclic frost heaving pressure of saturated fractured granite. Rock Soil Mech. 2021, 42, 6. [Google Scholar]
- Zhang, J.; Wang, G.; Liu, H.; Yang, M.; Ma, C. Characterizing frost heave pressure distribution on rock crack surfaces during freeze-thaw. Eng. Geol. 2023, 324, 107258. [Google Scholar] [CrossRef]
Disclaimer/Publisher’s Note: The statements, opinions and data contained in all publications are solely those of the individual author(s) and contributor(s) and not of MDPI and/or the editor(s). MDPI and/or the editor(s) disclaim responsibility for any injury to people or property resulting from any ideas, methods, instructions or products referred to in the content. |
© 2024 by the authors. Licensee MDPI, Basel, Switzerland. This article is an open access article distributed under the terms and conditions of the Creative Commons Attribution (CC BY) license (https://creativecommons.org/licenses/by/4.0/).