Initial Approach to Self-Compacting Concrete with Raw-Crushed Wind-Turbine Blade: Fresh, CFD and Mechanical Analysis
Abstract
1. Introduction
- First, the so-called alternative or sustainable aggregates can be mentioned. Their usually irregular shape causes them to exhibit greater friction with other SCC components when dragged by the cement paste [4,10]. The cement paste of SCC therefore needs to be denser and more compact in order to be able to achieve proper flowability [11]. They also affect the granular skeleton and, in turn, the packing level when fresh [12,13]. Furthermore, each of them has its own peculiarity. For example, recycled concrete aggregate shows high water-absorption levels [14], which, if not compensated for in the mix design, will make SCC insufficiently flowable [15]. Another example is electric arc furnace slag, an aggregate with a high density [16] that requires SCC to have a cement paste with a high proportion of aggregate particles of less than 0.50 mm to reach a sufficient high dragging capacity [17].
- Second, there are alternative binders. They enable the cement content of SCC to be reduced, thus improving its sustainability [18,19]. However, they have different characteristics than ordinary Portland cement, which alter the cement-paste dragging capacity [18]. Some of the most studied examples are ground granulated blast-furnace slag and silica fume. Ground granulated blast-furnace slag has a higher ground fineness than conventional cement (higher specific surface area) [20], which decreases the compactness of the cement paste [21]. This in turn means that a SCC with good performance in the fresh state can only be achieved if the coarse-aggregate content is adjusted, commonly reducing it [22]. Silica fume tends to agglomerate [23], hindering the creation of a workable cement paste [24]. In this case, a proper mixing process that ensures its adequate dispersion is key to achieve self-compactability [25].
- Fibers are the last concrete component to be highlighted. These elements act as a three-dimensional reinforcement in hardened concrete, which increases flexural strength, reduces shrinkage and improves durability by limiting the formation and propagation of cracks [26,27]. However, their impact on the fresh state of the SCC is negative, as they interfere with the movement of the rest of the SCC components, mainly hindering the flow of the coarse aggregate [28]. A sufficiently compact cement paste in the fresh state by a proper amount of fine aggregate and adding an adequate proportion of fibers is key for SCC manufacturing when adding fibers [9,28].
2. Materials and Methods
2.1. Raw Materials
2.1.1. Conventional Raw Materials
- Three aggregate fractions were considered to reach adequate aggregate-particle packing, thus providing the SCC with a suitable granular skeleton [17]. Furthermore, limestone sand 0/2 mm provided the necessary fine aggregate content to achieve SCC [50]. The appearance of the aggregates is shown in Figure 1. Their chemical and physical properties are detailed in Table 1, and their gradations are depicted in Figure 2.
2.1.2. Raw-Crushed Wind-Turbine Blade (RCWTB)
2.2. SCC Design
2.3. Experimental Tests in the Fresh State
- The slump-flow test (Figure 6a) consisted of allowing the free flow of SCC after putting it into the Abrams cone and carefully lifting it in a vertical direction. The maximum spreading diameter in two perpendicular directions was measured, whose average value is named SCC slump flow. The time that SCC took to reach a slump flow of 500 mm was also recorded (t500 time) [22].
- The 3-bar L-box test (Figure 6b) involved placing SCC in the vertical part of a 90-degree box. After that, a door located at the bottom of the vertical zone was opened, which allowed the concrete to flow through three bars simulating concrete reinforcement. The SCC flowed along the horizontal zone, with the SCC height being measured both at the end of the horizontal zone and before the gate when the SCC flow ended. The quotient between these two heights is named blocking ratio, which is the result of this test [28].
- Finally, the 16-bar J-ring test (Figure 6c) was performed identically to the slump-flow test, but placing a ring in the center of the concrete flow zone whose bars simulated concrete reinforcement. The same values as in the slump-flow test were measured, along with the difference in the height of SCC between the ring’s center and immediately after the bars to evaluate the passing capacity of SCC. This value is referred to as the J-ring blocking ratio.
2.4. CFD-Simulation Approach
2.5. Mechanical Properties
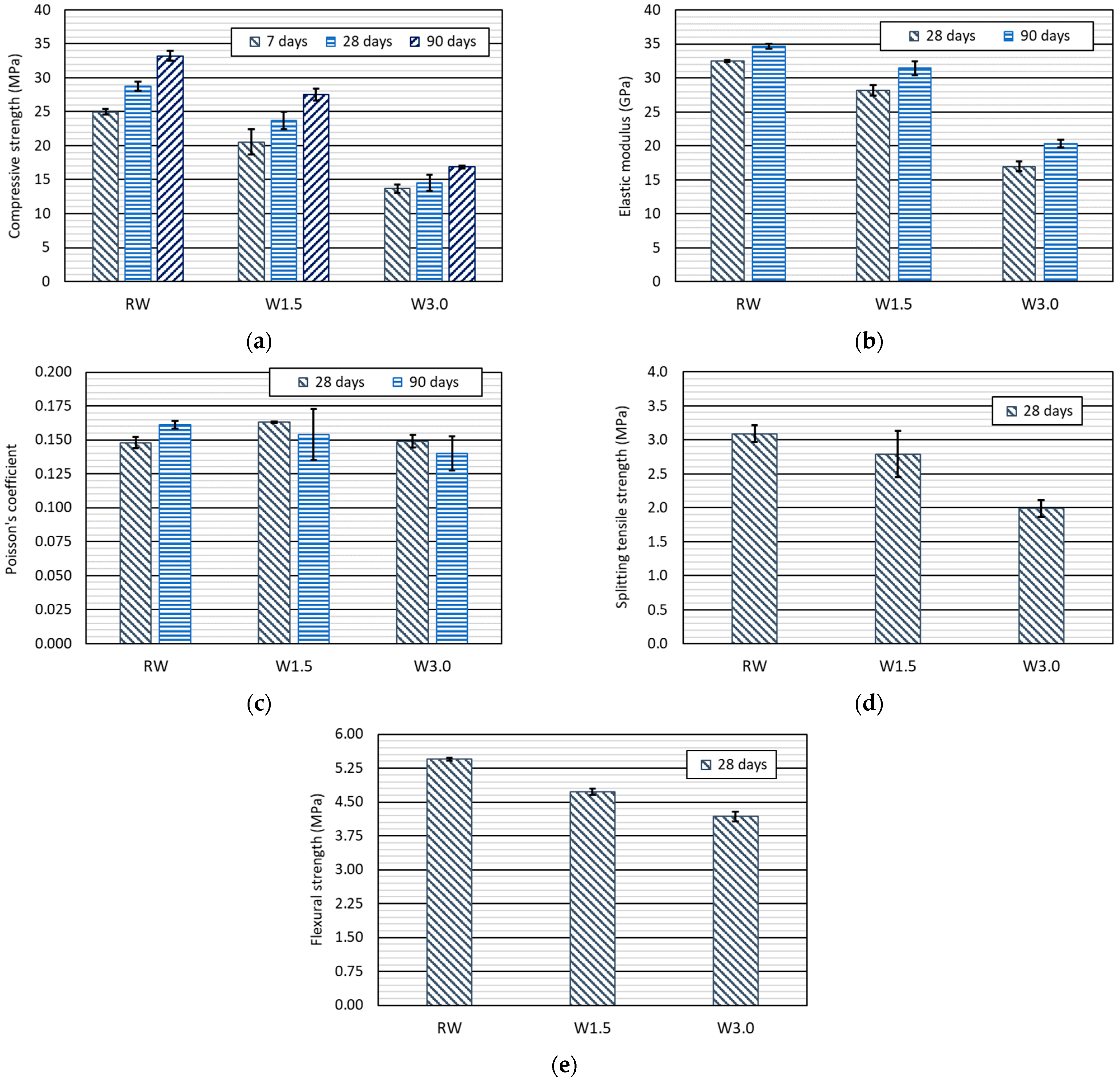
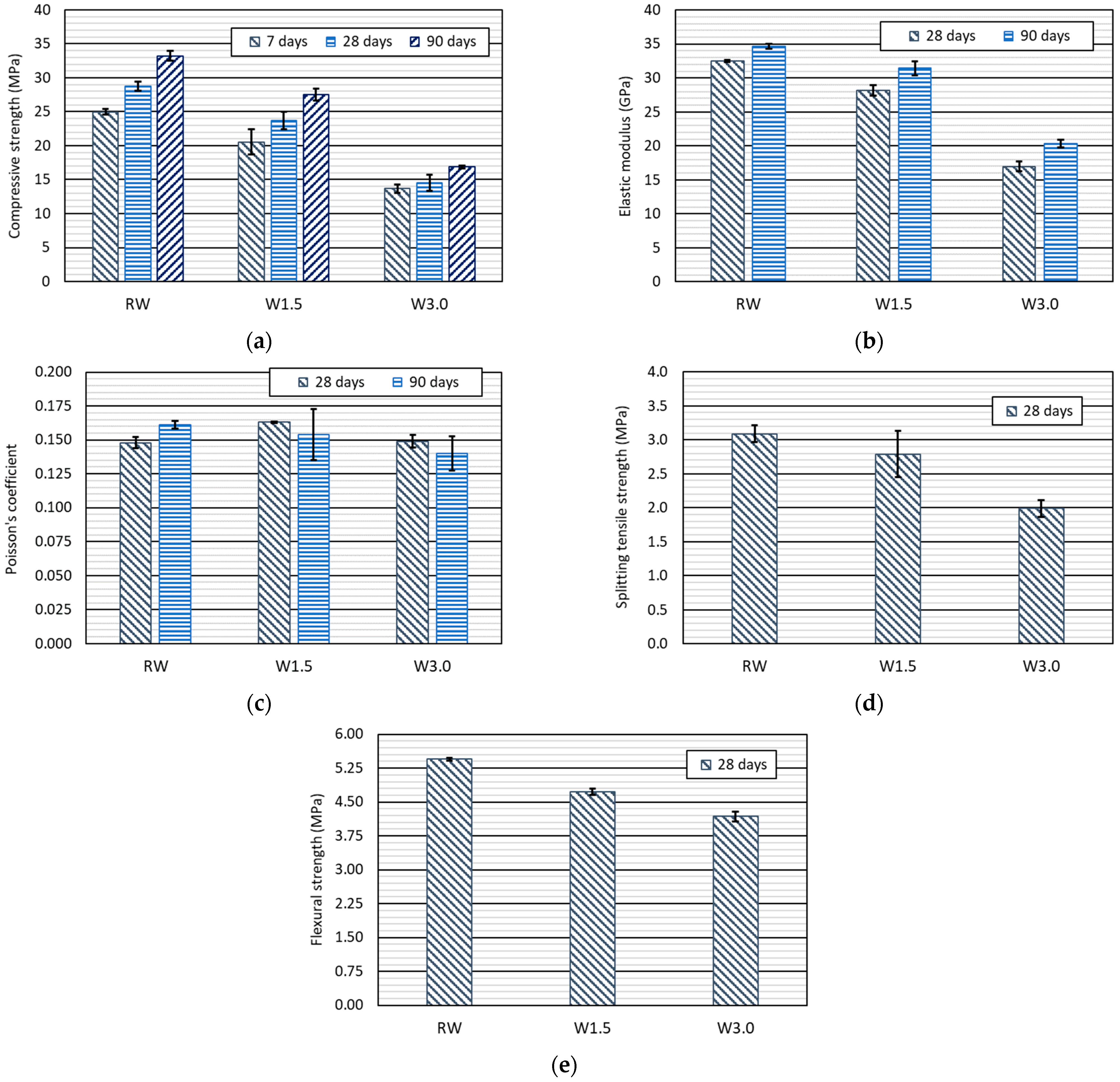
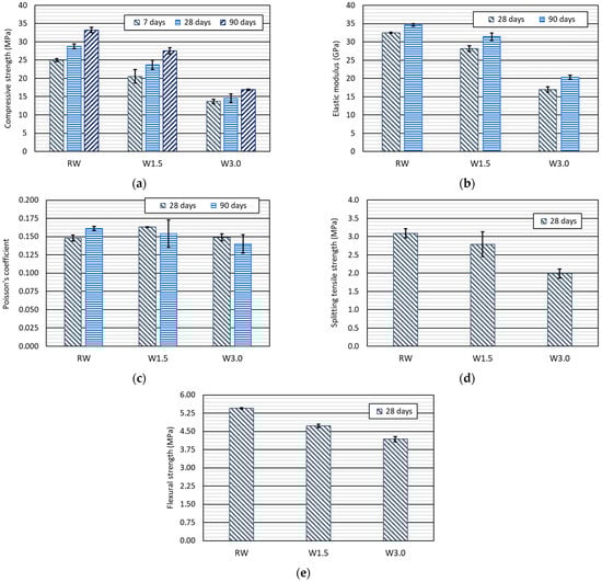
- Compressive strength (EN 12390-3 [66]) at 7, 28 and 90 days in three cylindrical specimens per age.
- Elastic modulus (EN 12390-13 [67]) at 28 and 90 days in three cylindrical specimens. The same specimens were used at both ages.
- Poisson’s coefficient (EN 12390-13 [67]) at 28 and 90 days in three cylindrical specimens (same specimens as those used for the elastic-modulus test).
- Splitting tensile strength (EN 12390-6 [68]) at 28 days in three cylindrical specimens.
- Flexural strength (EN 12390-5 [69]) at 28 days in three prismatic specimens.
3. Results and Discussion
3.1. Fresh Performance
3.1.1. Slump-Flow Test
3.1.2. 3-Bar L-Box Test
3.1.3. 16-Bar J-Ring Test
3.1.4. Inter-Test Relationships
3.1.5. Statistical Validation
3.2. CFD Simulations
3.2.1. Adjustment of Bingham Equation Through the Slump-Flow Test
- The addition of RCWTB did not affect yield stress (Figure 14a), with all SCC mixes showing a similar value around 120 Pa. Therefore, SCC with contents of this waste up to 3.0% started to freely flow at the same shear stress. This could be expected in view of the t500-time results obtained in the slump-flow and 16-bar J-ring tests, where 1.5% RCWTB did not affect the free flow of SCC at low slump-flow levels (Figure 7b and Figure 10b). This means that the start of SCC free flow always happened under the same initial conditions (yield stress) regardless of the RCWTB content [63].
- However, RCWTB did noticeably affect the value of the SCC plastic viscosity (Figure 14a). The addition of 1.5% RCWTB increased the viscosity by around 3.5 times (116 Pa·s vs. 429 Pa·s), although higher waste amounts did not result in such a large increase, as the viscosity of the W3.0 mix was 517 Pa·s. The GFRP fibers exhibited a hard movement against shear stresses and also increased the solid concentration within SCC, which hindered the flow of the aggregate particles progressively as the slump flow of the SCC increased [9,28]. The same phenomena have been found when adding other fiber types to SCC, their long-term effect being more negative than that at the beginning of the free flow [72]. These effects also caused the stabilization of the apparent viscosity to occur at lower shear rates, as can be noted in Figure 14b.
3.2.2. Simulation of the 3-Bar L-Box Test
3.2.3. Simulation of the 16-Bar J-Ring Test
- On the one hand, there are slump flow and t500 time. The error rate for these results was higher with the RCWTB content. For example, the error rate of the 16-bar J-ring slump flow was 5.1% of the RW mixture and 10.5% for its t500 time, while these values for the W3.0 mix were 22.8% and 32.7%, respectively. Nevertheless, these values were always within adequate limits according to the indications of other studies available in the scientific literature [63,64], thus validating the adjustment of the Bingham equation conducted and the CFD model developed through the results of the slump-flow test. As for the slump-flow test (Figure 15), a more precise relationship of the plastic viscosity with the slump flow (Figure 19a) than with the t500 time (Figure 19b) was found. The plastic viscosity thus enabled us to explain and successfully simulate the free flow of SCC containing RCWTB in the long term regardless of the presence of obstacles simulating concrete reinforcements, which is in line with the trends found in other studies [46].
- On the other hand, the error rates obtained for the blocking ratio were high, in all cases greater than 55%. No clear trend with the RCWTB amount was found, nor a precise relationship with the plastic viscosity (Figure 19c). This property did not depend on the Bingham parameters, and the GFRP fibers may have a much more noticeable influence that could be further explored by other simulation approaches [48] or by considering meshes of lower size [46].
3.2.4. Statistical Validation
3.3. Mechanical Properties
3.3.1. Experimental Results
3.3.2. Statistical Validation
4. Conclusions
- RCWTB decreased the flowability of the SCC under free-flow conditions, reducing slump flow and increasing t500 time. This behavior was independent of the presence (16-bar J-ring test) or not (slump-flow test) of obstacles simulating concrete reinforcement. An amount of 1.5% RCWTB content yielded SCC with proper fresh behavior under free flow, while an amount of 3.0% RCWTB was excessive to obtain SCC with proper flowability in the 16-bar J-ring test.
- The passing ability of SCC was affected differently by RCWTB depending on the type of flow imposed. Thus, this property was not affected under free-flow conditions (16-bar J-ring test). However, any RCWTB content led to a very noticeable decrease of the blocking ratio when flow was imposed in a specific direction (3-bar L-box test). It is thought that the fibers of glass fiber-reinforced polymer (GFRP) present in this waste may have been retained by the bars simulating concrete reinforcement in this test, hindering the passage of SCC.
- Obtaining the Bingham parameters based on the results of the slump-flow test by computational fluid dynamics (CFD) simulations showed that RCWTB did not affect the yield stress of SCC, but it did significantly increase the plastic viscosity. Thus, SCC started to flow freely under the same shear stress regardless of the waste content, but RCWTB did slow down the flow, especially in the long term.
- The CFD simulation based on the Bingham model was valid for free flow, both with and without obstacles simulating concrete reinforcement, obtaining valid differences with the experimental results. This simulation was more suitable for long-term flow, since slump flow was always simulated more accurately than t500 time.
- CFD tools did not allow accurate modeling of the passing ability of SCC, although the plastic viscosity obtained did exhibit a good relationship with the 3-bar L-box blocking ratio. Modeling the effect of the GFRP fibers on SCC flow could improve the accuracy of the simulation.
- The addition of RCWTB worsened all mechanical properties due to the presence of polymer and balsa-wood particles and to the increase of the water/cement ratio with increasing contents of this waste. Moreover, these aspects offset the beneficial effect of stitching the GFRP fibers, which was only relevant in terms of Poisson’s coefficient, which remained constant for all RCWTB content. The mix with 3.0% RCWTB did not exhibit adequate mechanical properties for use in structural elements.
Author Contributions
Funding
Institutional Review Board Statement
Informed Consent Statement
Data Availability Statement
Conflicts of Interest
References
- Okamura, H. Self-compacting high-performance concrete. Concr. Int. 1997, 19, 50–54. [Google Scholar]
- Ghorbani, A.; Maleki, H.; Naderpour, H.; Khatami, S.M.H. Advancing Compressive Strength Prediction in Self-Compacting Concrete via Soft Computing: A Robust Modeling Approach. J. Soft Comput. Civ. Eng. 2024, 8, 126–140. [Google Scholar] [CrossRef]
- Nasr, M.S.; Salman, A.J.; Ghayyib, R.J.; Shubbar, A.; Al-Mamoori, S.; Al-khafaji, Z.; Hashim, T.M.; Hasan, Z.A.; Sadique, M. Effect of Clay Brick Waste Powder on the Fresh and Hardened Properties of Self-Compacting Concrete: State-of-the-Art and Life Cycle Assessment. Energies 2023, 16, 4587. [Google Scholar] [CrossRef]
- Malazdrewicz, S.; Adam Ostrowski, K. Self-compacting concrete with recycled coarse aggregates from concrete construction and demolition waste—Current state-of-the art and perspectives. Constr. Build. Mater. 2023, 370, 130702. [Google Scholar] [CrossRef]
- Revilla-Cuesta, V.; Fiol, F.; Perumal, P.; Ortega-López, V.; Manso, J.M. Using recycled aggregate concrete at a precast-concrete plant: A multi-criteria company-oriented feasibility study. J. Clean. Prod. 2022, 373, 133873. [Google Scholar] [CrossRef]
- Nepomuceno, M.C.S.; Pereira-De-Oliveira, L.A.; Lopes, S.M.R. Methodology for the mix design of self-compacting concrete using different mineral additions in binary blends of powders. Constr. Build. Mater. 2014, 64, 82–94. [Google Scholar] [CrossRef]
- Nepomuceno, M.C.S.; Pereira-De-Oliveira, L.A.; Lopes, S.M.R.; Franco, R.M.C. Maximum coarse aggregate’s volume fraction in self-compacting concrete for different flow restrictions. Constr. Build. Mater. 2016, 113, 851–856. [Google Scholar] [CrossRef]
- Devi, K.; Aggarwal, P.; Saini, B. Admixtures Used in Self-Compacting Concrete: A Review. Iran. J. Sci. Technol. Trans. Civ. Eng. 2020, 44, 377–403. [Google Scholar] [CrossRef]
- Ortega-López, V.; García-Llona, A.; Revilla-Cuesta, V.; Santamaría, A.; San-José, J.T. Fiber-reinforcement and its effects on the mechanical properties of high-workability concretes manufactured with slag as aggregate and binder. J. Build. Eng. 2021, 43, 102548. [Google Scholar] [CrossRef]
- Ahmad, J.; Zhou, Z.; Deifalla, A.F. Self-Compacting Concrete with Partially Substitution of Waste Marble: A Review. Int. J. Concr. Struct. Mater. 2023, 17, 25. [Google Scholar] [CrossRef]
- Pereira-de Oliveira, L.A.; Nepomuceno, M.; Rangel, M. An eco-friendly self-compacting concrete with recycled coarse aggregates. Inf. Constr. 2013, 65, 31–41. [Google Scholar] [CrossRef]
- Kohandelnia, M.; Hosseinpoor, M.; Yahia, A.; Belarbi, R. Multiscale investigation of self-consolidating earthen materials using a novel concrete-equivalent mortar approach. Constr. Build. Mater. 2023, 370, 130700. [Google Scholar] [CrossRef]
- Kohandelnia, M.; Hosseinpoor, M.; Yahia, A.; Belarbi, R. New insight on rheology of self-consolidating earth concrete (SCEC). Powder Technol. 2023, 424, 118561. [Google Scholar] [CrossRef]
- Caracol, C.; Kravchanka, L.; Bravo, M.; de Brito, J.; Agrela, F.; Rosales, J. Recycled aggregate concrete using seawater: Optimizing concrete’s sustainability. J. Build. Eng. 2024, 97, 110841. [Google Scholar] [CrossRef]
- Faleschini, F.; Jiménez, C.; Barra, M.; Aponte, D.; Vázquez, E.; Pellegrino, C. Rheology of fresh concretes with recycled aggregates. Constr. Build. Mater. 2014, 73, 407–416. [Google Scholar] [CrossRef]
- Brand, A.S.; Fanijo, E.O. A review of the influence of steel furnace slag type on the properties of cementitious composites. Appl. Sci. 2020, 10, 8210. [Google Scholar] [CrossRef]
- Santamaría, A.; Orbe, A.; Losañez, M.M.; Skaf, M.; Ortega-Lopez, V.; González, J.J. Self-compacting concrete incorporating electric arc-furnace steelmaking slag as aggregate. Mater. Des. 2017, 115, 179–193. [Google Scholar] [CrossRef]
- Tran, T.Q.; Kim, Y.S.; Dang, L.C.; Do, T.M. A state-of-the-art review on the utilization of new green binders in the production of controlled low-strength materials. Constr. Build. Mater. 2023, 393, 132078. [Google Scholar] [CrossRef]
- Busari, A.A.; Akinmusuru, J.O.; Dahunsi, B.I. Review of sustainability in self-compacting concrete: The use of waste and mineral additives as supplementary cementitious materials and aggregates. Port. Electrochim. Acta 2018, 36, 147–162. [Google Scholar] [CrossRef]
- Kushefati, W.H.; Abubakar, A.B.; Farhan, K.Z. Influence of fineness modulus of fine aggregates on mechanical and thermal resistance properties of alkali-activated slag composites. Innov. Infrastruct. Solut. 2024, 9, 268. [Google Scholar] [CrossRef]
- Metla, M.N.A.; Amin, M.N.; Rizwan, S.A.; Khan, K. Self-consolidating paste systems using ground granulated blast furnace slag and limestone powder mineral admixtures. Case Stud. Constr. Mater. 2024, 20, e03316. [Google Scholar] [CrossRef]
- Revilla-Cuesta, V.; Skaf, M.; Santamaría, A.; Hernández-Bagaces, J.J.; Ortega-López, V. Temporal flowability evolution of slag-based self-compacting concrete with recycled concrete aggregate. J. Clean. Prod. 2021, 299, 126890. [Google Scholar] [CrossRef]
- Pedro, D.; de Brito, J.; Evangelista, L. Evaluation of high-performance concrete with recycled aggregates: Use of densified silica fume as cement replacement. Constr. Build. Mater. 2017, 147, 803–814. [Google Scholar] [CrossRef]
- Akbulut, Z.F.; Yavuz, D.; Tawfik, T.A.; Smarzewski, P.; Guler, S. Examining the Workability, Mechanical, and Thermal Characteristics of Eco-Friendly, Structural Self-Compacting Lightweight Concrete Enhanced with Fly Ash and Silica Fume. Materials 2024, 17, 3504. [Google Scholar] [CrossRef] [PubMed]
- Aruchamy, V.; Subramaniyan, Y.; Viswanathan, R.; Manoharan, A. Improving durability and mechanical features of silica fume and waste glass powder in eco-friendly self-compacting concrete. Rev. Mater. 2024, 29, e20240072. [Google Scholar] [CrossRef]
- Manso-Morato, J.; Hurtado-Alonso, N.; Revilla-Cuesta, V.; Skaf, M.; Ortega-López, V. Fiber-Reinforced concrete and its life cycle assessment: A systematic review. J. Build. Eng. 2024, 94, 110062. [Google Scholar] [CrossRef]
- Sonar, K.; Sathe, S. Exploring fiber reinforcements in concrete and its challenges: A comprehensive review. Multiscale Multidiscip. Model. Exp. Des. 2024, 7, 3099–3131. [Google Scholar] [CrossRef]
- Ahmad, J.; Zhou, Z.; Deifalla, A.F. Steel Fiber Reinforced Self-Compacting Concrete: A Comprehensive Review. Int. J. Concr. Struct. Mater. 2023, 17, 51. [Google Scholar] [CrossRef]
- Thomas, L.; Ramachandra, M. Advanced materials for wind turbine blade—A Review. Mater. Today Proc. 2018, 5, 2635–2640. [Google Scholar] [CrossRef]
- Rani, M.; Choudhary, P.; Krishnan, V.; Zafar, S. A review on recycling and reuse methods for carbon fiber/glass fiber composites waste from wind turbine blades. Compos. Part B Eng. 2021, 215, 108768. [Google Scholar] [CrossRef]
- Joustra, J.; Flipsen, B.; Balkenende, R. Structural reuse of wind turbine blades through segmentation. Compos. Part C Open Access 2021, 5, 100137. [Google Scholar] [CrossRef]
- Liu, P.; Barlow, C.Y. Wind turbine blade waste in 2050. Waste Manag. 2017, 62, 229–240. [Google Scholar] [CrossRef] [PubMed]
- Baturkin, D.; Masmoudi, R.; Tagnit-Hamou, A.; Metiche, S.; Massicotte, L. Feasibility Study on the Recycling of FRP Materials from Wind Turbine Blades in Concrete. Lect. Notes Civ. Eng. 2022, 198, 1729–1742. [Google Scholar] [CrossRef]
- Yazdanbakhsh, A.; Bank, L.C.; Rieder, K.A.; Tian, Y.; Chen, C. Concrete with discrete slender elements from mechanically recycled wind turbine blades. Resour. Conserv. Recycl. 2018, 128, 11–21. [Google Scholar] [CrossRef]
- Wei, Y.; Hadigheh, S.A. Development of an innovative hybrid thermo-chemical recycling method for CFRP waste recovery. Compos. Part B Eng. 2023, 260, 110786. [Google Scholar] [CrossRef]
- Fonte, R.; Xydis, G. Wind turbine blade recycling: An evaluation of the European market potential for recycled composite materials. J. Environ. Manag. 2021, 287, 112269. [Google Scholar] [CrossRef]
- Wei, Y.; Hadigheh, S.A. Enhancing carbon fibre recovery through optimised thermal recycling: Kinetic analysis and operational parameter investigation. Mater. Today Sustain. 2024, 25, 100661. [Google Scholar] [CrossRef]
- Tao, S.; Zhang, C.; Feijóo, A.; Kim, V. Wind farm repowering optimization: A techno-economic-aesthetic approach. IET. Renew. Power Gener. 2023, 17, 2137–2147. [Google Scholar] [CrossRef]
- Xu, G.T.; Liu, M.J.; Xiang, Y.; Fu, B. Valorization of macro fibers recycled from decommissioned turbine blades as discrete reinforcement in concrete. J. Clean. Prod. 2022, 379, 134550. [Google Scholar] [CrossRef]
- Revilla-Cuesta, V.; Skaf, M.; Ortega-López, V.; Manso, J.M. Raw-crushed wind-turbine blade: Waste characterization and suitability for use in concrete production. Resour. Conserv. Recycl. 2023, 198, 107160. [Google Scholar] [CrossRef]
- Revilla-Cuesta, V.; Manso-Morato, J.; Hurtado-Alonso, N.; Skaf, M.; Ortega-López, V. Mechanical and environmental advantages of the revaluation of raw-crushed wind-turbine blades as a concrete component. J. Build. Eng. 2024, 82, 108383. [Google Scholar] [CrossRef]
- Pinto, H.; Nepomuceno, M.; Bernardo, L.; Oliveira, L. Experimental evaluation of the potential use of waste recycled concrete fine aggregates to produce self-compacting concrete. AIP Conf. Proc. 2023, 2928, 080033. [Google Scholar] [CrossRef]
- Roussel, N. Understanding the Rheology of Concrete; Elsevier Ltd.: Amsterdam, The Netherlands, 2011; pp. 1–364. [Google Scholar] [CrossRef]
- Tavangar, T.; Hosseinpoor, M.; Yahia, A.; Khayat, K.H. Computational investigation of concrete pipe flow: Critical review. ACI Mater. J. 2021, 118, 203–215. [Google Scholar] [CrossRef]
- Thrane, L.; Bras, A.; Bakker, P.; Brameshuber, W.; Cazacliu, B.; Ferrara, L.; Feys, D.; Geiker, M.; Gram, A.; Grünewald, S.; et al. Computational fluid dynamics. RILEM State Art Rep. 2014, 15, 25–63. [Google Scholar] [CrossRef]
- Orbe, A.; Losada, R.; Rojí, E.; Cuadrado, J.; Maturana, A. The prediction of bending strengths in SFRSCC using Computational Fluid Dynamics (CFD). Constr. Build. Mater. 2014, 66, 587–596. [Google Scholar] [CrossRef]
- Kulasegaram, S.; Karihaloo, B.L. Fibre-reinforced, self-compacting concrete flow modelled by smooth particle hydrodynamics. Proc. Inst. Civ. Eng. Eng. Comput. Mech. 2013, 166, 22–31. [Google Scholar] [CrossRef]
- Bi, J.; Zhao, Y.; Guan, J.; Huo, L.; Qiao, H.; Yuan, L. Three-dimensional modeling of the distribution and orientation of steel fibers during the flow of self-compacting concrete. Struct. Concr. 2019, 20, 1722–1733. [Google Scholar] [CrossRef]
- EN 197-1; Cement—Part 1: Composition, Specifications and Conformity Criteria for Common Cements. European Committee for Standardization: Brussels, Belgium, 2011.
- Zhang, X.; Zhang, C.; Bi, M.; Yang, H.; Sun, H.; Mu, R. Optimization of Mix Proportion of Self-compacting Concrete Based on Single Fluid Model. KSCE J. Civ. Eng. 2022, 26, 1282–1294. [Google Scholar] [CrossRef]
- EN 933-1; Tests for Geometrical Properties of Aggregates—Part 1: Determination of Particle Size Distribution—Sieving Method. European Committee for Standardization: Brussels, Belgium, 2012.
- EN 933-8; Tests for Geometrical Properties of Aggregates—Part 8: Assessment of Fines—Sand Equivalent Test. European Committee for Standardization: Brussels, Belgium, 2016.
- EN 1097-6; Tests for Mechanical and Physical Properties of Aggregates—Part 6: Determination of Particle Density and Water Absorption. European Committee for Standardization: Brussels, Belgium, 2014.
- EN 933-3; Tests for Geometrical Properties of Aggregates—Part 3: Determination of Particle Shape—Flakiness Index. European Committee for Standardization: Brussels, Belgium, 2012.
- EN 1744-1; Tests for Chemical Properties of Aggregates—Part 1: Chemical Analysis. European Committee for Standardization: Brussels, Belgium, 2013.
- Islam, M.J.; Shahjalal, M.; Haque, N.M.A. Mechanical and durability properties of concrete with recycled polypropylene waste plastic as a partial replacement of coarse aggregate. J. Build. Eng. 2022, 54, 104597. [Google Scholar] [CrossRef]
- EN 206; Concrete—Specification, Performance, Production and Conformity. European Committee for Standardization: Brussels, Belgium, 2021.
- EN 12350-8; Testing Fresh Concrete—Part 8: Self-Compacting Concrete—Slump-Flow Test. European Committee for Standardization: Brussels, Belgium, 2020.
- EN 12350-10; Testing Fresh Concrete—Part 10: Self-Compacting Concrete—L Box Test. European Committee for Standardization: Brussels, Belgium, 2011.
- EN 12350-12; Testing Fresh Concrete—Part 12: Self-Compacting Concrete—J-Ring Test. European Committee for Standardization: Brussels, Belgium, 2011.
- EFNARC. Specifications and Guidelines for Self-Compacting Concrete; EFNARC: Surrey, UK, 2002. [Google Scholar]
- Flow3D Software. 2024. Available online: https://www.flow3d.com/products/flow-3d/ (accessed on 22 October 2024).
- Karakurt, C.; Çelik, A.O.; Yılmazer, C.; Kiriççi, V.; Özyaşar, E. CFD simulations of self-compacting concrete with discrete phase modeling. Constr. Build. Mater. 2018, 186, 20–30. [Google Scholar] [CrossRef]
- Baluch, M.H.; Rahman, M.K.; Mukhtar, F.; Malik, M.A. A 2-D computational fluid dynamics simulation of slump flow and L-box test on SCC using ANSYS/FLUENT. In Proceedings of the Annual Conference—Canadian Society for Civil Engineering, Ottawa, ON, Canada, 14–17 June 2011; Volume 2, pp. 1331–1338. [Google Scholar]
- EN 12390-2; Testing Hardened Concrete—Part 2: Making and Curing Specimens for Strength Tests. European Committee for Standardization: Brussels, Belgium, 2020.
- EN 12390-3; Testing Hardened Concrete—Part 3: Compressive Strength of Test Specimens. European Committee for Standardization: Brussels, Belgium, 2020.
- EN 12390-13; Testing Hardened Concrete—Part 13: Determination of Secant Modulus of Elasticity in Compression. European Committee for Standardization: Brussels, Belgium, 2022.
- EN 12390-6; Testing Hardened Concrete—Part 6: Tensile Splitting Strength of Test Specimens. European Committee for Standardization: Brussels, Belgium, 2024.
- EN 12390-5; Testing Hardened Concrete—Part 5: Flexural Strength of Test Specimens. European Committee for Standardization: Brussels, Belgium, 2020.
- Jang, E.S.; Kang, C.W. Porosity analysis of three types of balsa (Ochroma pyramidale) wood depending on density. J. Wood Sci. 2022, 68, 31. [Google Scholar] [CrossRef]
- EN 12350-11; Testing Fresh Concrete—Part 11: Self-Compacting Concrete—Sieve Segregation Test. European Committee for Standardization: Brussels, Belgium, 2010.
- Bentegri, I.; Boukendakdji, O.; Kadri, E.H.; Ngo, T.T.; Soualhi, H. Rheological and tribological behaviors of polypropylene fiber reinforced concrete. Constr. Build. Mater. 2020, 261, 119962. [Google Scholar] [CrossRef]
- Revilla-Cuesta, V.; Skaf, M.; Ortega-López, V.; Manso, J.M. Multi-parametric flowability classification of self-compacting concrete containing sustainable raw materials: An approach to real applications. J. Build. Eng. 2023, 63, 105524. [Google Scholar] [CrossRef]
- Cantero, B.; Bravo, M.; de Brito, J.; Sáez del Bosque, I.F.; Medina, C. Mechanical behaviour of structural concrete with ground recycled concrete cement and mixed recycled aggregate. J. Clean. Prod. 2020, 275, 122913. [Google Scholar] [CrossRef]
- Revilla-Cuesta, V.; Serrano-López, R.; Espinosa, A.B.; Ortega-López, V.; Skaf, M. Analyzing the Relationship between Compressive Strength and Modulus of Elasticity in Concrete with Ladle Furnace Slag. Buildings 2023, 13, 3100. [Google Scholar] [CrossRef]
- Trento, D.; Faleschini, F.; Revilla-Cuesta, V.; Ortega-López, V. Improving the early-age behavior of concrete containing coarse recycled aggregate with raw-crushed wind-turbine blade. J. Build. Eng. 2024, 92, 109815. [Google Scholar] [CrossRef]
- CEN EN 1992-1-1:2010; EC-2 Eurocode 2: Design of Concrete Structures. Part 1-1: General Rules and Rules for Buildings. CEN European Committee for Standardization: Brussels, Belgium, 2010.
- Ouchi, M.; Hibino, M.; Okamura, H. Effect of superplasticizer on self-compactability of fresh concrete. Transp. Res. Rec. 1996, 1574, 37–40. [Google Scholar] [CrossRef]




















| Property | Standard | Siliceous 4/12 mm | Siliceous 0/4 mm | Limestone 0/2 mm |
|---|---|---|---|---|
| Fine content (%) | EN 933-1 [51] | 0.3 | 1.5 | 2.0 |
| Equivalent sand (%) | EN 933-8 [52] | - | 77 | 79 |
| Saturated-surface-dry density (Mg/m3) | EN 1097-6 [53] | 2.66 | 2.65 | 2.64 |
| Water absorption (% wt.) | EN 1097-6 | 0.66 | 0.74 | 0.52 |
| Flakiness index (% wt.) | EN 933-3 [54] | 4.5 | - | - |
| Water soluble chloride content (% wt.) | EN 1744-1 [55] | 0.00 | 0.00 | 0.01 |
| Sulfur content (% wt.) | EN 1744-1 | 0.00 | 0.01 | 0.01 |
| Acid soluble sulfates (% wt.) | EN 1744-1 | 0.01 | 0.01 | 0.02 |
| Light pollutants (%wt.) | EN 1744-1 | 0.00 | 0.00 | 0.01 |
| Component | Comparative Composition | kg/m3 Composition | ||||
|---|---|---|---|---|---|---|
| RW | W1.5 | W3.0 | RW | W1.5 | W3.0 | |
| Cement | 320 | 320 | 320 | 318.8 | 305.1 | 293.9 |
| Water | 155 | 185 | 210 | 154.4 | 176.4 | 192.9 |
| Limestone sand 0/2 mm | 680 | 680 | 380 | 677.4 | 648.3 | 624.5 |
| Siliceous sand 0/4 mm | 660 | 660 | 660 | 657.5 | 629.3 | 606.1 |
| Siliceous gravel 4/12 mm | 600 | 600 | 600 | 597.7 | 572.1 | 551.0 |
| Superplasticizers | 6.7 | 6.7 | 6.7 | 6.7 | 6.4 | 6.1 |
| RCWTB | 0.0 | 24.5 | 49.0 | 0.0 | 23.4 | 45.0 |
| Volume (liters) | 1004 | 1049 | 1089 | 1000 | 1000 | 1000 |
| Test | Parameter | Class | Condition |
|---|---|---|---|
| Slump-flow test | Slump flow | SF1 | Slump flow between 550 mm and 650 mm |
| SF2 | Slump flow between 650 mm and 750 mm | ||
| SF3 | Slump flow between 750 mm and 850 mm | ||
| t500 time | VS1 | t500 time lower than 2 s | |
| VS2 | t500 time higher than 2 s | ||
| 3-bar L-box test | Blocking ratio | PA2 | Blocking ratio in a 3-bar L-box test higher than 0.80 |
| 16-bar J-ring test | Slump flow | J-ring SF1 | J-ring slump flow between 550 mm and 650 mm |
| J-ring SF2 | J-ring slump flow between 650 mm and 750 mm | ||
| J-ring SF3 | J-ring slump flow between 750 mm and 850 mm | ||
| t500 time | J-ring VS1 | J-ring t500 time lower than 2 s | |
| J-ring VS2 | J-ring t500 time higher than 2 s | ||
| Blocking ratio | PJ2 | Blocking ratio in a 16-bar J-ring test lower than 10 mm |
| Test | Parameter | p-Value | Pearson’s Correlation | Spearman’s Correlation |
|---|---|---|---|---|
| Slump-flow test | Slump flow | 0.0010 | −0.98 | −0.95 |
| t500 time | 0.0005 | +0.92 | +0.96 | |
| 3-bar L-box test | Blocking ratio | 0.0001 | −1.00 | −0.98 |
| 16-bar J-ring test | Slump flow | 0.0009 | −0.98 | −0.96 |
| t500 time | 0.0005 | +0.91 | +0.93 | |
| Blocking ratio | 0.0603 | −0.46 | −0.48 |
| Mix | Error Rate (%) |
|---|---|
| RW | 20.5 |
| W1.5 | 48.2 |
| W3.0 | 107.4 |
| Mix | Slump Flow | t500 Time | Blocking Ratio |
|---|---|---|---|
| RW | 5.1 | 10.5 | 55.2 |
| W1.5 | 12.7 | 14.5 | 72.1 |
| W3.0 | 22.8 | 32.7 | 62.1 |
| Parameter | p-Value | Pearson’s Correlation | Spearman’s Correlation |
|---|---|---|---|
| Yield stress | 0.0789 | −0.51 | −0.54 |
| Plastic viscosity | 0.0111 | +0.93 | +0.84 |
| Property | Age (Days) | p-Value | Pearson’s Correlation | Spearman’s Correlation |
|---|---|---|---|---|
| Compressive strength | 7 | 0.0030 | −0.92 | −0.95 |
| 28 | 0.0005 | −0.95 | −0.95 | |
| 90 | 0.0000 | −0.97 | −0.95 | |
| Modulus of elasticity | 28 | 0.0000 | −0.96 | −0.95 |
| 90 | 0.0000 | −0.94 | −0.95 | |
| Poisson’s coefficient | 28 | 0.0865 | +0.05 | +0.05 |
| 90 | 0.6696 | −0.34 | −0.51 | |
| Splitting tensile strength | 28 | 0.0404 | −0.77 | −0.74 |
| Flexural strength | 28 | 0.0009 | −0.95 | −0.95 |
Disclaimer/Publisher’s Note: The statements, opinions and data contained in all publications are solely those of the individual author(s) and contributor(s) and not of MDPI and/or the editor(s). MDPI and/or the editor(s) disclaim responsibility for any injury to people or property resulting from any ideas, methods, instructions or products referred to in the content. |
© 2024 by the authors. Licensee MDPI, Basel, Switzerland. This article is an open access article distributed under the terms and conditions of the Creative Commons Attribution (CC BY) license (https://creativecommons.org/licenses/by/4.0/).
Share and Cite
Hernando-Revenga, M.; Revilla-Cuesta, V.; Chica, J.A.; Ortega-López, V.; Manso, J.M. Initial Approach to Self-Compacting Concrete with Raw-Crushed Wind-Turbine Blade: Fresh, CFD and Mechanical Analysis. Appl. Sci. 2024, 14, 9946. https://doi.org/10.3390/app14219946
Hernando-Revenga M, Revilla-Cuesta V, Chica JA, Ortega-López V, Manso JM. Initial Approach to Self-Compacting Concrete with Raw-Crushed Wind-Turbine Blade: Fresh, CFD and Mechanical Analysis. Applied Sciences. 2024; 14(21):9946. https://doi.org/10.3390/app14219946
Chicago/Turabian StyleHernando-Revenga, Manuel, Víctor Revilla-Cuesta, José A. Chica, Vanesa Ortega-López, and Juan M. Manso. 2024. "Initial Approach to Self-Compacting Concrete with Raw-Crushed Wind-Turbine Blade: Fresh, CFD and Mechanical Analysis" Applied Sciences 14, no. 21: 9946. https://doi.org/10.3390/app14219946
APA StyleHernando-Revenga, M., Revilla-Cuesta, V., Chica, J. A., Ortega-López, V., & Manso, J. M. (2024). Initial Approach to Self-Compacting Concrete with Raw-Crushed Wind-Turbine Blade: Fresh, CFD and Mechanical Analysis. Applied Sciences, 14(21), 9946. https://doi.org/10.3390/app14219946

