Abstract
Rupture discs, also known as bursting discs, are indispensable components in fluid-operated systems providing effective protection against hazardous over-pressure or partial vacuum. They belong to a special class of safety devices and are found in a variety of technical applications including pressure vessels, piping systems, reactors and boilers. In all application scenarios, rupture discs act as sacrificial parts that have to fail precisely at a predetermined differential pressure, opening a relief flow path for the working fluid. The membrane employed within rupture discs is usually made out of specific metal alloys or different material layers depending on the particular application. However, for many manufacturers of rupture discs, the production process is characterized by a lack of systematic procedures, relying instead on trial and error as well as empirical values. By means of thorough finite-element-based modeling and simulation of the bulge-forming process of rupture discs, including an elastic–plastic material law, large deformation, as well as contact mechanics, it is possible to accurately predict the resulting stress–strain behavior. All simulation results are rigorously validated through corresponding experiments conducted during the bulge-forming process. Therefore, this contribution provides a reliable basis for the parameter set-up during the manufacturing process of rupture discs.
1. Introduction
Rupture discs are frequently employed types of safety equipment in a variety of industrial environments, including process engineering, chemical, petrochemical, automotive and food industries [1,2,3,4]. Serving as pressure relief devices, they safeguard vessels or piping systems from potentially hazardous excessive pressure peaks or partial vacuum during operation. Engineered to function as predetermined failure points, rupture discs are designed to operate within a defined pressure range and burst at a specified pressure value, releasing the fluid at high flow rates. Rupture discs are basically subdivided into three main design categories, namely flat rupture discs, forward acting and reverse acting rupture discs, cf. Figure 1.
Figure 1.
Schematic overview of the three main design categories of rupture discs. (a) Flat rupture disc. (b) Forward acting rupture disc. (c) Reverse acting rupture disc.
Flat rupture discs are inexpensive to manufacture and are particularly suitable for applications with a static or quasi-static load characteristic. They require minimal installation space and predominantly maintain their flat profile throughout pressurization. This type of rupture disc is usually made of work-hardened metals with a stress–strain characteristic of brittle materials to ensure a precise response without significant plastic deformation. The compressive load from pressurization is mainly dissipated by normal and shear stresses before the rupture disc bursts. Examples of flat rupture discs are illustrated in Figure 2.
Figure 2.
Flat rupture discs in multi-layer design with perforations in circumferential direction (a) and radial direction (b). The bottom row shows the closed configuration, while the upper row illustrates the burst/opened state.
Forward acting rupture discs are made exclusively of ductile metals and have a dome shape that is created by an hydraulic or pneumatic bulge-forming process. In the forward acting configuration of rupture discs, the dome faces away from the process to be protected, leading to tensile stresses in the metallic rupture membrane. Therefore, this type of rupture disc is also referred to as a tension-loaded rupture disc and is suitable for a variety of compressible and incompressible fluids. Although flat rupture discs do not have a dome, they are also subjected to tensile stresses when pressurized and are often assigned to the category of forward acting rupture discs. Most forward acting rupture discs are installed in systems with an operation ratio of around 80–85% [5]. This value indicates the ratio of the maximum allowable operating pressure to the lower limit of the bursting pressure of a rupture disc and can therefore be interpreted as the degree of utilization. In the forward acting regime, rupture discs work according to the so-called fail-safe principle, meaning that they can fulfill their safety function even if their are installed vice versa, as the side under pressure responds earlier than the side under tension (provided that no additional vacuum support is installed). Forward acting rupture discs transfer the pressure load mainly into normal stresses within the membrane plane, resulting in a plane stress state. This enhances their ability to withstand deformation, making them especially well-suited for applications that involve cyclic loading regimes. Figure 3 shows an exemplary overview of typical designs of forward acting rupture discs.
Figure 3.
Forward acting rupture discs in multi-layer design with perforations in circumferential direction (a), single-layer design with a cross-shaped notch pattern (b) and multi-layer design with perforations in radial direction (c). The bottom row shows the closed configuration, while the upper row illustrates the burst/opened state.
Reverse acting rupture discs are also dome-shaped, but in contrast to forward acting rupture discs, their dome faces the process to be protected. Pressurization therefore causes compressive stresses in the bursting membrane. Due to the state of compression within the bursting membrane, the bursting mechanism involves a structural–mechanical stability problem in the sense of structural buckling. As the predefined bursting pressure of the rupture disc is reached, the bursting membrane enters a state of structural instability, forcing the dome to reverse back into a forward acting configuration and then burst by a knife blade or multiple cutting edges. To ensure that the reverse acting rupture disc can still open safely during this process, the process medium must provide sufficient expansion energy. As a result, this type of rupture disc is unsuitable for purely incompressible media. However, the good structural behavior of the reverse acting rupture discs provides a very high operating ratio of around 90–95% [5] and favors their creep and fatigue behavior, making such types of rupture discs suitable for use at elevated temperatures and cyclic loading regimes. Figure 4 illustrates two exemplary types of reverse acting rupture discs.
Figure 4.
Reverse acting rupture discs in single-layer design with knives on the back as well as C-shaped pre-notched diaphragm (a) and cutting edges on the back in combination with a non-notched membrane (b). The bottom row shows the intact front, while the upper row illustrates the back side in the burst/opened state.
For all types of ruptures discs, the precise adjustment of the bursting pressure is extremely laborious and depends on a complex interaction of numerous parameters such as diameter, choice of specific material, material thickness, bulge height and curvature, notch geometry (for pre-notched bursting discs) or slotting geometry (for bursting discs with perforations) and thermal treatment. While the diameter and the specific material are often already determined by the piping system and the employed process fluid, respectively, the other parameters need to be set in the bulge-forming process. Due to its complexity, the manufacturing process of rupture discs is still rather unsystematic, relying exclusively on the knowledge of experienced production engineers [6].
In the past, there have been several attempts to develop analytical as well as numerical approaches for describing the plastic deformation during the bulge-forming process. As early as 1948, Gleyzal studied the plastic deformation of circular diaphragms with edge clamping for small strains by means of local balance equations [7]. These balance equations need to be integrated along the meridian to come up with the stress and strain distribution as well as the overall deformation. However, a comparison with experimental results shows that the assumption of small deformations is disadvantageous for modeling the circular bulging of ductile metals with large plastic deformation capacity. Therefore, Weil and Newmark extended Gleyzal’s model to large plastic deformations and also introduced a criterion for predicting the onset of instability in the pole of the membrane, above which the structure can no longer withstand any further increase in pressure, cf. [8]. However, their algorithm had numerical difficulties around the area of instability, so the solution had to be extrapolated to obtain results above this limitation. In 1964, Woo discretized the axially symmetrical geometry of the membrane into circular ring segments and calculated the material response in the form of stresses and plastic strains in the membrane plane during the pressure increase iteratively from increment to increment and from segment to segment [9]. With this approach, he demonstrated the non-constant curvature along the meridian, which is caused by the influence of the edge restraint. However, all models assume a rigid–plastic material behavior without elastic effects and neglect the bending stiffness for thin membranes. Furthermore, their theories lead to extremely extensive and time-consuming calculations.
More recent approaches make use of finite element methods in order to describe the plastic deformation. Murty and Rao implemented a shell model with edge clamping, including nonlinear material behavior and large deformations for the computer simulation of rupture disc design and the prediction of bursting pressure [10]. They created models in two different FE-codes (Ansys and I-DEAS) and compared their results with experimental references for nickel rupture discs. Inaccurate assumptions, such as the fact that they assumed the achievement of ultimate tensile strength in the membrane pole as a failure criterion, led to some considerable deviations in the results. Jeong et al. employ a finite element model for the structural analysis of superficially grooved rupture discs within the Ansys FE-code [11]. For the material model, uniaxial tensile tests of 316L stainless steel are used with a simple bi-linear fit of the experimental results. The simulation results were not validated by experiments considering the bulge-forming process. Kong et al. provide the most promising approach for modeling the manufacturing process of rupture discs, cf. [12]. The authors model the frictional contact between the membrane and the clamping unit in Abaqus and fit their constitutive model to experimental data from biaxial tensile tests with 316L stainless steel. They investigated the influence of the loading rate as well as the variation in friction on the forming of the bulge. The simulations were validated with experimental observations from a hydro-forming process. However, the modeling of the geometry of the upper clamping tool was greatly simplified by neglecting the bending radius. In addition, the authors did not consider the entire production process of rupture membranes, including the relaxation of the clamping unit, which means that the effects of elastic spring-back as well as the residual stresses introduced into the structure by elastoplastic deformation cannot be analyzed.
All of the above-mentioned approaches have at least one of the following deficits:
- insufficient modeling of the nonlinear material behavior;
- missing or inadequate modeling of the contact zone (incl. bending radius) between the membrane and the clamping tool;
- inadequate discretization of the geometry of the membrane;
- incomplete modeling of the production process: clamping, pre-bulging, unclamping (with elastic spring-back and deformation history);
- incomplete analysis and evaluation of the structural–mechanical relationships;
- lack of experimental validation.
The objective of this manuscript is to close these research gaps and provide comprehensive insight into all relevant aspects of the manufacturing process of pre-bulged rupture discs. For this reason, the present contribution provides a thorough finite element-based approach involving large deformations, nonlinear frictional contact to the clamping devices, the entire production process in terms of clamping, bulging and unclamping as well as an experimentally validated state-of-the-art material model. All simulation results are validated by extensive experiments from an industrial pneumatic bulge-forming setup.
2. Materials and Methods
During the production of forward and reverse acting rupture discs, the bulge-forming process plays an important role. In this process, an initially flat and circular sheet metal blank is formed into a double-curved rupture diaphragm using an aeroforming or comparable forming process. The geometric shape of the resulting meridian of the mainly axisymmetric diaphragm influences the strength and stability behavior of the discs during operation [13]. In addition to the influence on the static nominal bursting pressure, the resistance of the diaphragm to premature response under cyclic loading regimes and the creep resistance at elevated temperatures should be mentioned here as well as the vacuum resistance of forward acting rupture discs. For this reason, knowledge of the behavior during elastoplastic deformation is essential for understanding characteristics of pre-domed rupture discs. This process is therefore analyzed in the following by a detailed numerical model and accompanied by an experimental test program.
2.1. Experimental Implementation of the Bulge-Forming Process and Theoretical Methods for Evaluation
In this research work, rupture discs with a nominal diameter DN of 80 mm with three different initial thicknesses of the circular blanks are investigated. The corresponding main dimensions can be identified with the help of Figure 5 and Table 1. This is a widely used nominal pipe size with disc thicknesses that are frequently encountered in process engineering systems. The same applies to the material used in this study, namely AISI 316L, which is known as EN 1.4404 in Europe. This is discussed in more detail in Section 2.3 when modeling the elastic–plastic material behavior.
Figure 5.
The rupture disc kinematic and geometry in the meridional section before and during the bulge-forming process.
Table 1.
Test matrix for the bursting and pre-bulging tests carried out with six different degrees of bulging on rupture discs with a nominal diameter DN of 80 mm. Pressure values given as gauge pressure to ambient pressure.
The bulge-forming process for the production of rupture discs is usually carried out using a hydraulic workshop press or a clamping device with a screw connection to ensure static equilibrium between the force due to the acting working pressure and the reaction load on the upper clamping device. Within this research project, a Knuth KNWP 60 HM hydraulic press was used to carry out the tests. A sketch of the test setup is shown in Figure 6.
Figure 6.
Schematic sketch of the used test setup for the bursting and pre-bulging tests. 1. Upper crosshead with hydraulic adjustment. 2. Upper clamping device. 3. Rupture disc. 4. Lower clamping device. 5. Lower crosshead. 6. Pressure gauge. 7. Shut-off valve. 8. High-pressure pneumatic energy source.
It is important that the hold-down force is sufficiently high to ensure the required sealing of the working space on the one hand and to provide a sufficient frictional force between the contact partners on the other. This should enable the rupture disc to be guided safely and concentrically during plastic shaping and also prevent unwanted wrinkling. It should be noted that the hold-down force is limited at the top by the yield point of the rupture disc material, as the edge of the rupture disc should not undergo pressure forming. When recording the flow curve (representation of true stress–true plastic strain behavior) by means of a bulge test, this problem is often solved by using a so-called lock bead. However, this is generally not performed in the industrial production of rupture discs, as the local plastic deformation of the edge around the bead can have a negative effect on the sealing behavior during subsequent operation of the rupture disc. Furthermore, unnecessary plastic straightening processes on a safety-relevant component should be avoided. The hydraulic adjustment was set in such a way that an average contact pressure of around 120 MPa was achieved in the contact zone between the edge of the rupture disc and the clamping device. This corresponds to around 40% of the yield stress of the rupture disc material and leads to a hold-down force of around 600 kN, which must be provided by the cylinder force . This configuration led to consistently very good forming results and was therefore used to ensure comparability of the results across the entire test program. For the sake of completeness, it should be mentioned that in an experimental–iterative process for the rupture disc parameters investigated in this work, a contact pressure of around 60 MPa on average was identified as the lower limit value. This corresponds to a hold-down force of around 300 kN, which the actuating cylinder must provide as a minimum in order to be able to produce all the parameter sets listed in Table 1 with acceptable forming results. The average contact pressure and the resulting hold-down force or cylinder force of the hydraulic adjustment are related to the test setup shown in Figure 5 and Figure 6 via the relationship
where denotes the outer diameter of the clamped metallic disc, is the bulge diameter and R is the bending radius of the upper clamping device. To ensure reproducible pre-bulging and bursting results, which arise not only from the high safety requirements for bursting discs, it is essential that the sheet metal blank to be formed is aligned symmetrically with its forming tool. A special clamping tool was therefore developed for positioning the blank. The upper and lower units of this clamping tool interlock via a fitting seat. The diameter of the fitting bore of the lower clamping device was adapted to the outer disc diameter of the nominal diameter DN 80 mm under investigation. The clamping unit is also arranged centrally to the hydraulic adjustment device via a shim disc in order to guarantee a uniform flow of force. If the material properties of the rupture disc to be manufactured can be considered approximately isotropic (quasi-isotropic) and also homogeneously distributed within the structure, the uniform pressurization during the bulge-forming process will result in an approximately axially symmetrical profile. The mid-surface of this profile can be described mathematically by the rotation of a plane curve around a straight line lying in its plane. This straight line can be regarded as the axis of symmetry z in relation to the present application of the pre-bulging of rupture discs, as it intersects the meridian vertically at its center of gravity at . The geometric situation is illustrated in Figure 5 by a section along the meridian.
The left-hand side shows the reference configuration of the bulge-forming process, in which the constant ambient pressure acts on both sides. If the pressure in the working space between the bursting membrane and the lower clamping device is increased via the supply of a working medium, a differential pressure acting on the membrane is created, which is referred to as p in the following and is to be interpreted as the effective pressure given in MPa. Compressed air, which was available in sufficient quantities using a high-pressure compressor and accumulator, was used as the working medium in the experimental work carried out in this contribution. The effective pressure p acting on the bursting membrane initially produces an approximate elastic indentation of the sample at the beginning of the deformation process. The configuration reacts very sensitively to an increase in pressure in the bulge-forming process depending on the material properties and sample geometry, so that the rate of pressure increase should be selected according to the specific problem. In order to ensure the reproducibility and comparability of the results within the test program and also to minimize time-dependent effects in the flow behavior by means of a quasi-static test procedure, a very low rate of was selected for all samples and this was kept approximately constant via a shut-off valve over the entire duration of the test.
The bulge-forming by elastoplastic deformation is shown on the right-hand side of Figure 5 in terms of the current configuration for an applied working pressure p. Since the material volume can be regarded as constant during plastic deformation, the increase in the sample surface takes place at the expense of its thickness. This results in a variable thickness distribution along the meridian, which decreases steadily towards the apex or pole, respectively. At the apex, even at , the material is stressed by uniform stretching, insofar as it has quasi-isotropic properties. The equi-biaxial stress state is the reason for the global minimum of the specimen thickness to be found there, as the material stress on the bursting membrane reaches its maximum at this position. Please note that the meridional radius of curvature depends on the angle or the current radial distance r from the pole, which is characteristic of the bulge problem. The variability of the radius along r decreases with increasing degree of bulging . The degree of bulging expresses the ratio of the instantaneous effective pressure p to the specific bursting pressure of the diaphragm under consideration. Figure 5 shows the effective disc thickness as a function of the radial distance r with the radius of curvature associated with the section shown. It can also be observed that all material points between the pole and the edge experience a vertical displacement as well as a horizontal displacement in the radial direction. This is illustrated by the trajectory shown in blue. The first insights into the kinematic relationships described above were already gained in the second half of the 1940s through the experimental work of Sachs et al. [14] and by Brown and Sachs [15]. They carried out bulge tests on thin circular samples of aluminium alloys and copper. The reason for this is the fixed clamping of the edge of the sample, which, depending on the Coulomb friction force, counteracts the flow of the material and also induces a bending moment that locally disturbs the membrane stress state. In addition to the material properties and the applied degree of bulging , the magnitude of this disturbance also depends on the ratio of the initial thickness to the bulge diameter and the bending radius R. This effect is extremely important for rupture disc production, as the correct choice enables the most homogeneous possible flow of force during forming and thus minimizes the introduction of pre-damage in this transition zone.
Panknin [16] and Gologranc [17] demonstrated by means of experimental investigations that the application of membrane theory (neglecting of bending and transverse shear stresses) to the bulge problem is permissible as a good approximation if a minimum threshold of the ratio is not undercut and a sufficiently large distance to the clamped edge is maintained. Panknin proposed the ratio , while Gologranc later reduced this to . However, since the bending behavior during elastoplastic deformation also depends on the individual strain hardening of the employed material, it is very questionable whether a criterion based purely on the geometry is sufficient at this point. Nevertheless, all configurations considered here fulfill the more conservative condition according to Panknin (cf. Table 1) and are therefore regarded to be sufficiently flexible and shear-soft, at least in the area of the pole environment.
Membrane theory simplifies the general rotational shell problem in such a way that important structural–mechanical relationships can be formulated using simple analytical methods. This approach is therefore used below to determine the structural stresses in the pole region of interest for pre-bulged bursting discs. Within the membrane theory, the external surface load acting vertically on the shell center surface is transferred purely via stresses parallel to the shell center surface. The arising stress state is comparable to that of the plane stress state. The normal stress of the bursting membrane acting perpendicular to the center surface of the shell or in the thickness direction is determined by the mean value of the external and internal pressure. For bulge-forming, this is and is to be interpreted as the minimum principal stress of the bursting membrane. Since the condition is fulfilled for most pre-bulged rupture discs, their magnitude is considerably smaller than that of the principal stresses parallel to the center surface of the shell. If a sufficiently large distance to the edge is maintained, the relationships known from the membrane theory of thin shells of revolution can be transferred to the bulge problem of many common bursting membrane dimensions. According to Flügge [18] or Girkmann [19], the static equilibrium of forces in the direction of the shell normal leads to the well-known membrane equation
which can be used to describe the stress situation of the membrane pole of an axially symmetrically loaded bursting disc. The stresses and correspond to the principal stresses in the membrane plane, while and represent the associated principal radii of curvature on the differential element with instantaneous thickness t. Different principal curvatures can also occur at the pole if, for example, direction-dependent deformation properties caused by a rolling texture influence the deformation. The stress resultants of a differential element of a bursting membrane under uniform internal pressure p are shown in the principal axis system in Figure 7a.
Figure 7.
Principal membrane stresses in a thin shell of revolution under axisymmetric pressure loading. (a) Central surface of an infinitesimal element cut out of the shell, which is bounded by the two meridional planes and and by the two parallel circles with the corresponding normal angles and . (b) Meridional section through the crown of the shell above the circle of latitude .
To determine the two principal stresses and from Equation (2) under the general consideration of two independent principal curvature semi-diameters and , a further equation is required. This can be found most easily via the static equilibrium of the forces in the vertical z-direction according to Figure 7b [19]. This is
By means of the relationship , the principal stress along the meridional or tangential direction can be determined directly from Equation (3) as
By combining Equations (2) and (4), the missing principal stress in the circumferential or hoop direction can be determined according to
If the material is considered quasi-isotropic and the high symmetry requirements for the experimental setup are met, as in this work, the following identity results exclusively for the two principal radii of curvature for the pole: . This area then changes into the form of a spherical dome, which can be characterized by a uniform biaxial normal stress , which is also invariant to a coordinate transformation. Accordingly, any meridional section leads to a principal axis system in the pole, so that in-plane shear stresses do not exist there. Consequently, the well-known formula for thin-walled, spherical pressure vessels can be derived from Equations (4) and (5)
If a critical stress value is reached in the pole of an undisturbed bursting membrane, the membrane fails. This limit value can be determined by a so-called bursting or bulge test. If the bursting diaphragm consists of a ductile and quasi-isotropic metal, the following procedure can be selected using the von Mises yield condition. If the minimum principal stress acting in the thickness direction is negligibly small, a plane principal stress state is established in the pole. Together with the effective stress (also called equivalent stress), this results in the yield condition
where and are principal stresses. The symbol means that the stresses within the expression on the left-hand side of the equation must equal the right-hand side in order to meet the yield condition. Assuming a spherical pole geometry (quasi-isotropy), the following identity results for the two principal stresses: . Inserting Equation (6) into the yield condition from Equation (7) provides the failure stress
Now, the principal stress acting in the thickness direction is also taken into account under otherwise identical conditions. Then, the effective stress for the general triaxial principal stress state must be established. For the failure stress, this results in
If is now taken into account (as is common for pre-bulged bursting discs), both approaches provide an almost identical result, so that Equation (9) becomes Equation (8). This proves the insignificant influence of on the failure-critical stress of pre-bulged rupture discs.
By exploiting the plastic incompressibility , the principal plastic strains and lying in the surface plane can be used to infer the strain in the thickness direction . Due to the assumed spherical shape in the pole, it holds that . This means that a circular pattern applied to the center of the sheet metal blank before reshaping retains its shape and only increases its initial diameter . To determine the principal plastic strain in the area of the pole, the arc length L of the curved meridian over the measurement circle of the current configuration is required. If the instantaneous diameter of the measurement circle is denoted by d and a spherical pole geometry can be assumed, the logarithmic principal plastic strain is as follows:
The local radius of curvature of a spherical pole geometry (or and for the general case) can be determined very precisely by calculation if the coordinates and (or additionally for the general case and the condition that the coordinate axes coincide with the main axes) of three neighboring points on the circle of curvature are known and their positions are as close together as possible. Then, the geometric relationships resulting from the stretched triangle can be used to determine the local radius of curvature. A more straightforward approach can be taken if it is assumed that the entire bulge shape of the bursting membrane in the meridional section can be approximated by a circular arc. The quality of this approximation increases with increasing degree of bulging . However, it is assumed that the center of curvature is located on the axis of symmetry. In our notation, this is the z-axis. Then, only the bulge diameter and the current polar bulge height h must be known. This results in the simple relationship for the radius of curvature
This expression can be easily derived using Pythagoras’ theorem and the geometric relationships shown in Figure 5. At this point, the equality of the two principal radii of curvature according to is assumed. This applies to the area of the pole for the axially symmetric case. Using the law of logarithmic or true strain and the material incompressibility during plastic deformation, the current sheet thickness t in the pole can finally be determined:
Since the polar sheet thickness t and the polar radius of curvature can be determined by measuring simple geometric quantities, and the effective fluid pressure p acting on the bursting membrane is already known from a pressure gauge, the effective pole stress can be determined. This gives the functional relationship
Taking into account Equations (8), (10) and (12), the failure criterion of an undisturbed forward acting rupture disc made of a ductile and quasi-isotropic metal follows from
If the radius of curvature is determined using the simplified approach according to Equation (11), it can be expressed in terms of the easily measured polar bulge height h. The functional relationship is then
Substituting Equation (11) into Equation (14) finally yields the practical expression
Equations (14) or (16) can be used to experimentally determine the effective stress at the membrane pole. If the influence of the rolling texture cannot be neglected, the direction-dependent principal stresses and according to Equations (4) and (5) can be used to determine the effective stress according to von Mises. It should be noted that the two in-plane principal plastic strains and can then no longer be assumed to be equivalent, but must be determined individually. The same applies to the polar radius of curvature , which then also contains a directional dependency in the form of .
2.2. Experimental Analysis and Evaluation of the Bulge-Forming Process
The bulge-forming process is analyzed within this work up to the onset of bursting of undisturbed sheet metal blanks. Three different sheet thicknesses with the same nominal diameter DN are considered. The material of all samples was taken from the same batch. Bursting tests were first carried out to define the upper limit for the pressure. Five random samples were taken for each thickness and the bursting pressure was arithmetically averaged. With regard to the bursting pressure of each thickness , a test program with six different degrees of bulging was defined in order to be able to subsequently measure the change in the geometric configuration during the bulge-forming process. The different boundary conditions for the series of experiments are summarized in Table 1.
The evolution of the bulge shape as a function of the effective pressure p was realized successively by measuring the samples of all degrees of bulging defined in Table 1. To ensure representative results, five samples per bulging level and initial thickness were also prepared and measured. The procedure can be illustrated using the right-hand side of Figure 8. Starting from the membrane pole, equidistant radial distances mm were defined and projected onto the membrane surface with the degree of bulging after reshaping. These distances were used uniformly for all samples considered in this work and plotted along an imaginary section of the bursting membrane with a meridional plane . The displacements in the z-direction associated with the respective x positions were then determined using a contacting digital height gauge on a measuring plate. In order to detect possible anisotropy effects affecting the kinematics, all height measurements were made for four angular positions evenly distributed around the circumference. The measured values show a very low variability with a maximum relative dispersion of about 1% and are therefore only given as an arithmetic mean. This shows that the assumption of axial symmetry is largely valid for the problem at hand. As the displacements were determined starting from the surface of the measuring plate, on which the sample lays flat in addition to the measuring device itself, the measured values must be reduced by . The results averaged over all measured samples are shown in Table 2 and represent the fraction of vertical displacement caused by plastic deformation. This procedure allows us to track the kinematics of the membrane surface during deformation with simple means until shortly before bursting.
Figure 8.
Definition of the measuring points on the rupture diaphragm for measuring the thickness at a degree of bulging (left side) and the evolution of the bulge shape during the pressure increase (right side).
Table 2.
Measurement results of the vertical bursting membrane displacement during the bulge-forming process due to plastic deformation.
In addition to the bulge shape, knowledge of the thickness profile along the meridian is of great interest. To limit the measurement effort, this was only determined shortly before bursting at 99% of the bursting pressure , which corresponds to a bulging level of . The procedure for this can be illustrated using the left-hand side of Figure 8. Here, the results for each initial thickness at stage correspond to the arithmetic mean of five random samples as well. The entire area between the pole at and the outer edge at mm is considered in order to determine the thickness curve. This should enable a possible reduction in thickness in the edge area due to post-flow processes to be recorded. For this purpose, equidistant measuring points (except in the area of the bending radius) mm were defined and also projected onto the membrane surface after forming. All measuring points are again located along an imaginary section of the bursting membrane with a meridional plane . A digital micrometer with two measuring tips and a resolution of 1 µm was used to measure the wall thickness t at the positions . For this purpose, the samples were previously divided into two halves along the meridional section of the measuring points using a TRUMPF TruLaser Cell 3000 laser cutting machine (cf. Figure 9). The results of the discrete thickness distribution along the meridian are shown in Table 3.
Figure 9.
Shape of a pre-bulged bursting membrane with initial thickness mm at degree of bulging after laser cutting along a meridional plane.
Table 3.
Measurement results of the bursting membrane thickness after bulge forming with a degree of bulging .
Figure 10 gives an impression of the test program carried out. It shows an image that represents all test points in the form of a random sample. Starting from the flat sheet metal blank on the left side of the image, the samples were arranged after the bulge-forming process as a function of the degree of bulging and the initial thickness . The bulging level increases from left to right and the initial sheet thickness increases from top to bottom. The uncontrolled bursting which is characteristic for undisturbed/unnotched membranes can be seen at the right-hand side.
Figure 10.
Overview of a set of specimens from the test series with a nominal diameter DN of 80 mm after bulge forming. Upper row: initial thickness mm. Middle row: initial thickness mm. Lower row: initial thickness mm.
In addition, the logarithmic principal plastic strain acting within the sheet plane of the membrane pole was determined in the test program and the previously described method for determining the strain was applied. The corresponding results are summarized in Table 4.
Table 4.
Measurement and calculation results of the logarithmic principal plastic strain of the pole during the bulge-forming process for bursting membrane with initial thickness mm.
Here, only the thin bursting membrane with an initial thickness of mm was considered. As a reference, two measuring circles with diameters of mm and mm were initially applied to the center of the flat sheet metal blank in order to be able to experimentally determine the polar strain at two different support points. A TRUMPF TruMark Station 5000 labeling laser was used for this purpose. Afterwards, the increase in diameter of the two measuring circles was determined at the different degrees of bulging specified in Table 1 during the bulge-forming process. The current diameters d and D of the measuring circles were determined by means of an optical microscope using a digital caliper gauge and arithmetically averaged over five random samples per bulging level . The two measuring circles take on a slightly elliptical shape with increasing working pressure p. The reason for this kind of anisotropy can be found in the rolling texture. The main axis of the ellipse coincides with the rolling direction. The secondary axis is perpendicular to it. This effect becomes macroscopically visible from a degree of bulging of . However, with a maximum relative deviation between the two axes of around 3% at , the influence is rather small, confirming the previously made assumption of quasi-isotropy. The diameters d and D are therefore given as the arithmetic mean of both axes. The measurement method is illustrated in Figure 11. The left-hand side shows the reference configuration (flat sheet metal blank), while the right-hand side shows the current configuration when the bulging level is reached shortly before bursting. To calculate the radius of curvature , the measured values of the polar bulge height h from Table 2 (corresponds to for ) were used and the simplified method with according to Equation (11) was applied. The logarithmic principal plastic strain in the area of the membrane pole can then be determined using Equation (10).
Figure 11.
Method for measuring polar principal plastic strain. (a) Flat sheet metal blank (initial thickness mm) as reference configuration with two measuring circles and at the pole. (b) Current configuration at degree of bulging with slightly elliptical shape of the original measuring circles (dependence of diameter d and D on rolling direction).
2.3. Properties of the Rupture Disc Membrane Material and Modeling of Its Elastic–Plastic Material Behavior
The metallic membrane used for rupture discs is usually referred to as a bursting membrane. The primary material for bursting membranes is typically produced in a cold rolling process in order to guarantee the high tolerance requirements. In this process, the strip is rolled down to the required final thickness in several rolling passes at room temperature. The grains are aligned in the rolling direction, which, depending on the degree of deformation and chemical composition of the rolled material, can lead to a directional dependence of the deformation properties on the angle relative to the rolling direction (plane anisotropy). At the same time, the dislocation density increases as a result of cold forming, which increases the strength of the material on the one hand, but reduces its ductility and formability on the other. As a consequence, the material becomes brittle. For these reasons, the primary material of a bursting membrane must be subjected to heat treatment in the form of recrystallization annealing after cold rolling, at least if it is a pre-bulged membrane. This production step eliminates to a great degree the undesirable properties caused during cold rolling by forming new grains. Therefore, the material considered in this work can be regarded as quasi-isotropic. As already mentioned, this is the stainless, austenitic chromium–nickel–molybdenum steel AISI 316L or EN 1.4404 in annealed condition. This material fulfills a wide range of requirements and is therefore suitable for the use as a bursting membrane in a variety of process engineering systems. In addition to the very good deformation properties required for the pre-bulging process and the resulting resistance to material fatigue, its chemical composition offers excellent protection against corrosion and also allows it to be used at elevated temperatures of up to around 450 °C. The chemical composition of the batch from which the samples considered in this work (initial sheet thicknesses 0.102 mm, 0.343 mm and 0.480 mm) were taken is summarized in Table 5.
Table 5.
Chemical composition of the considered batch of AISI 316L/EN 1.4404 austenitic stainless steel as mass fractions in %.
These and the mechanical properties listed in Table 6 were taken from the test certificates provided by the steel producer. As the mechanical properties depend not only on the chemical composition but also to a large extent on the forming history and the heat treatment process, these must always be considered on a coil-specific basis.
Due to the biaxial stress state, bursting membranes often reach strains during deformation that significantly exceed the uniform elongation of the same material in a uniaxial test. In order to reliably describe the elastoplastic deformation of a bursting membrane numerically up to the bursting pressure , the relationship between true stress and true strain is required for scenarios beyond the limitation given in the uniaxial test setting. The elastic range can simply be represented by the linear relationship between stress and strain according to Hooke’s law. Both variables are known to be linked via the modulus of elasticity E. For the plastic range, a material-specific flow curve is required, which also accurately describes the material behavior beyond the logarithmic uniform strain . This can be obtained up to the logarithmic uniform strain, e.g., from a flat tensile test, and extrapolated to large plastic strains. A number of empirical approaches exist for this purpose. A simple and practicable option is to use the power law according to Hollomon [20], which goes back to the preliminary work of Ludwik [21]. According to this approach, the constitutive law contains two material-specific parameters. These parameters can be interpreted as a scaling factor and strain hardening exponent. The power law is suitable for ductile metals at room temperature. Hollomon’s approach offers the advantage that the flow curve can be constructed approximately using the procedure according to Reihle [22] even if continuous tensile test data are not available. To estimate the two parameters, only the elementary mechanical parameters of a material in the form of the ultimate tensile strength and the uniform elongation are required. However, the disadvantage of this power law is that it is less suitable for high-alloyed, stainless steels and can also tend to overestimate strain hardening in the range of large strains above the logarithmic uniform strain , cf. [23]. Exponential approaches often provide a better approximation quality for describing the saturation behavior as realistically as possible. The approach according to Hockett and Sherby [24] offers a wide range of application and high quality for ductile metals. This reads
In addition to the initial yield stress , the Hockett–Sherby approach explicitly contains a saturation flow stress (steady-state flow stress) for the range of large plastic strains in the form of . Together with the fitting parameters N and m, these must be adapted to the measurement data of a tensile test.
Table 6.
Mechanical properties of the considered batch of annealed AISI 316L/EN 1.4404 austenitic stainless steel as a function of the initial sheet thickness according to the supplier test certificates (upper three rows). The bottom row shows the properties of the reference material that serves as the basis for the employed numerical model according to [25].
Table 6.
Mechanical properties of the considered batch of annealed AISI 316L/EN 1.4404 austenitic stainless steel as a function of the initial sheet thickness according to the supplier test certificates (upper three rows). The bottom row shows the properties of the reference material that serves as the basis for the employed numerical model according to [25].
| Initial Thickness | Young’s Modulus E | Poisson’s Ratio | Yield Strength | Ultimate Tensile Strength | Total Elongation at Fracture |
|---|---|---|---|---|---|
| 0.102 mm | - | - | 322 MPa | 678 MPa | 0.63 |
| 0.343 mm | 302 MPa | 623 MPa | 0.56 | ||
| 0.480 mm | 270 MPa | 612 MPa | 0.57 | ||
| 1.2 mm | 194 GPa | 0.33 | ∼339 MPa | ∼650 MPa | - |
In the literature, there are currently very few convincing studies in which the flow behavior of a cold-rolled and annealed AISI 316L or EN 1.4404 with low thickness values has been analyzed. One promising experimental work was published by Mamros et al. [25]. The authors investigated the anisotropic flow behavior of 1.2 mm thick sheets of the required material with a comparable manufacturing process. In addition to uniaxial flat tensile tests, they also carried out hydraulic bulge tests at room temperature and under quasi-static conditions in order to be able to characterize the hardening behavior for strains above the logarithmic uniform strain. To mathematically describe the flow behavior and to extrapolate the flow curve, the measured data from the tensile test were adapted to the Hocket and Sherby approach using a parameter fit and the approximation quality was verified by comparing it with the results of the bulge test. The model parameters presented by Mamros et al. are listed in Table 7.
Table 7.
Fitting parameters for the Hockett and Sherby flow curve model according to reference [25]: AISI 316L/EN 1.4404 in annealed condition.
The yield strength and the ultimate tensile strength were extracted from the reference by Mamros et al. in order to classify and check the transferability to the primary membrane materials considered in this work. The corresponding values of and can also be found alongside the elastic constants E and in Table 6. A comparison of the strength characteristics indicates that the plastic behavior of the reference material with a thickness of 1.2 mm corresponds most closely to that of the thinnest bursting membrane with a thickness of mm. Since both the experienced degree of deformation of the flat products in the rolling process and the boundary conditions of the annealing process are unknown, this can be regarded as quite a realistic starting point for the bulge-forming process. Due to the scientific lack in the current literature and the fact that the flow curve model developed by Mamros et al. is an experimentally validated reference, it is used as the basis for the simulations to be carried out in this contribution. The employed flow curve is shown in Figure 12. This model was implemented for the numerical simulation of all three bursting membrane thicknesses as part of the present work. Together with the elastic constants E and from Table 6 and the assumption of isotropic material behavior, the constitutive law is thus fully defined.
Figure 12.
True stress–true plastic strain curve (also called flow curve) for annealed AISI 316L/EN 1.4404: Hockett–Sherby approximation using the parameters from Table 7.
Due to the assumption of isotropic material behavior, the yield condition according to von Mises, which is widely used in the field of ductile metals, is employed in the simulation. Here, yielding occurs when the effective stress corresponds to the current one-dimensional yield or flow stress according to Equation (17). The relationship for the yield function f is then
To calculate the effective stress of the generally multiaxial stress state, the three principal stresses of the Cauchy stress tensor are used. Further information on the employed numerical implementation in the finite element software MSC Marc/Mentat 2023.3 can be found in the user manual [26]. As the bursting membrane is only loaded monotonically (no cylic loading with stress reversal) during bulge forming, the easy-to-use isotropic hardening model is employed to modify the von Mises yield surface during plastic deformation. Here, the shape of this surface is determined by the initial yield surface and its size changes as the hardening parameter changes. The yield surface expands equally in all directions during plastic deformation without any distortion in shape or translation of the yield surface center. Further information can also be found in the user manual [26].
2.4. Finite Element Model
The simulation model presented below is based on the commercial finite element software MSC Marc/Mentat. All simulations were carried out in program version 2023.3. Further details on the modeling technique described below and its numerical implementation in the software can be found in the user manual [26,27]. The mesh was generated externally using the commercial software MSC Apex 2023.3 and then imported into Marc/Mentat.
In view of the quasi-static test procedure presented in Section 2.1 and Section 2.2, time-dependent effects were not taken into account in the numerical simulation. Accordingly, a static analysis was chosen and the dependence of the flow stress was considered exclusively on the true plastic strain and its effective value for the multi-dimensional case. The simulations were carried out until the experimentally determined bursting pressures were reached. The very ductile material achieves large plastic strains, which are paired with large displacements. Therefore, the kinematics of deformation and the description of motion are described by an updated Lagrangian formulation. Furthermore, a finite strain formulation with additive decomposition of the strain increments into an elastic and plastic part is used.
To reduce the computational effort, the symmetrical geometry of the bursting membrane was utilized and the bulge problem was modelled as a quarter model. The geometry of the bursting membrane was discretized using three-dimensional hexahedral elements in order to adequately address the constraints regarding the bending influence of the edge clamping described in Section 2.1 and to be able to show the distribution of the bending stress over the specimen thickness. Linear elements with eight nodes in an isoparametric formulation and full integration were used for this purpose. To take into account the bending behavior, the bursting membrane was resolved with eight elements over the thickness. The O-grid mesh shown in Figure 13 and Figure 14 was generated in order to discretize the circular disc as structured as possible and in high quality despite the quadrilateral elements (or hexahedral elements). A primary radial alignment with a homogeneous transition to the center of the circle can be seen. The deviation from the ideal element (Jacobi determinant) could thus be significantly minimized compared to a pure radial mesh.
Figure 13.
Finite element model with mesh and definition of the contact bodies.
Figure 14.
Finite element mesh details. (a) Top view of the circular disc center. (b) Side view of the clamping situation in the area of the bending radius.
The deformable bursting membrane is in contact with the clamping devices during the bulge-forming process. This contact was described using the nonlinear node-to-segment contact algorithm established in Marc/Mentat. Here, the contact status between the contacting bodies is updated at each iteration step. An individual stress-based separation criterion was used as the problem-specific separation criterion. Both clamping devices are modelled as rigid bodies. The geometric body formulation for these two tools reduces the computational effort and avoids numerical difficulties due to very large differences in the modulus of elasticity of the contact bodies. The state of friction between the contact bodies is modeled using the well-known Coulomb friction model. The transition between stick and slip is described in this model with a bilinear step function. A value of 0.1 is used as the coefficient of friction corresponding to a contact of unlubricated metallic surfaces with low roughness.
The formulation of the boundary conditions for the bulge-forming process is not trivial. For further consideration, it should be noted that the origin of the coordinate system refers to the center of the disc. The symmetry conditions for the quarter model are ensured by fixed displacements for all nodes at the disc edge with and for the nodes at the disc edge with . Therefore, the bursting membrane is supported in its plane at the edges for the entire duration of the simulation. Its vertical node degrees of freedom remain free of displacement boundary conditions so that it can deform unhindered as realistically as possible while the external loads act on it. The lower clamping device is defined as a position-controlled body, whereby its position remains unchanged during the entire simulation period. It thus serves as a support for the bursting membrane. Both bodies are already in contact with each other at the start of the simulation. Unlike the lower clamping tool, the upper tool must necessarily be defined as a load-controlled body, as it is controlled by both displacements and loads during the process under consideration. In order to implement this requirement, a control node is positioned in the center of the model and coupled with the upper contact body. The control node only allows vertical displacement in the z direction. All other displacement and rotational degrees of freedom are set to zero, i.e., . An overview of the boundary conditions affecting the quarter model can be found in Figure 15. Some of these process parameters are time-dependent and therefore change over the course of the bulge-forming process. Therefore, these parameters were scaled during the simulation according to their time sequence, as shown in Figure 16. This time sequence also provides information about the modeling implementation of the individual steps “clamping - pre-bulging - unclamping” of the real process. In this setting, the pre-defined control node is used to initially apply the hold-down force according to the time function via the upper clamping device (see Figure 16). When the target value of 600 kN is reached, this is kept constant for the duration of the forming process. Analogous to the tests, this hold-down force was selected equally for all simulation variants. Due to the contact pressure acting on the top and bottom of the bursting membrane edge, this is supported in a vertical direction and is therefore now completely statically determined. Furthermore, the working pressure can be applied to the bottom face of the bursting membrane in the form of a homogeneous face load. This is also scaled with a time function according to Figure 16. The bursting pressure from Table 1, which is determined experimentally and depends on the initial thickness , is used as the maximum value. The face load is formulated as a so-called follower force in the current configuration. This ensures that the pressure load vectors are always perpendicular to the membrane surface during deformation. Once the corresponding pressure maximum has been reached, it is completely removed again, resulting in an initial elastic recovery. In the last simulation step, the hold-down force applied to the upper clamping device and kept constant up to this point is removed. At the same time, a time-dependent displacement is applied to this load-controlled contact body via its control node, which gradually moves it in the positive z-direction and thus opens the existing contact to the edge of the bursting membrane. The reshaped bursting membrane is then free of external constraints, so that the internal stresses introduced into the structure by the elastoplastic deformation can dissipate until a state of equilibrium is reached. The residual internal stresses thus become visible. With this last step, the entire production sequence of the bulge-forming process, from a flat sheet metal blank to the finished pre-bulged bursting membrane, is described numerically.
Figure 15.
Boundary conditions of the finite element model.
Figure 16.
Scaling functions of the corresponding boundary conditions during the bulge-forming simulation.
3. Results and Discussion
The extensive results of the simulations are presented in the following and complemented by the experimental results from Section 2.2. The bulge-forming process was considered in the simulation for all three initial membrane thicknesses mm of the annealed 316L stainless steel until the individually experimentally determined bursting pressure from Table 1 was reached. The numerical and experimental results are compared at the discrete degrees of bulging , also specified in Table, where is the ratio of the effective pressure p currently acting on the bursting membrane and its individual bursting pressure .
Figure 17 illustrates the vertical displacement of the bursting membrane pole during the bulge-forming process for all three considered thickness levels . According to the set up of the numerical model, the results are shown until the removal of the upper clamping device at normalized time . Pressurization begins at the end of clamping at and continues until individual bursting pressure is reached at (corresponding to the degree of bulging ). All displacement curves start with an abrupt increase in deformation due to the lack of bending stiffness of flat membranes. Then, a phase of monotonous elastoplastic deformation follows. All three curves show an increase in slope that occurs just before the bursting pressure is reached. This is an indication that the strain hardening of the material is less and less able to compensate for the reduction in membrane cross-section with increasing effective pressure p. Then, an elastic recovery takes place when the pressure drop begins at . This shows that the elastic deformation component of the vertical pole displacement is only about 1% for all three thickness levels. It can also be seen that the removal of the hold-down force at the final stage from has no significant effect on the polar displacement .
Figure 17.
Vertical displacement of the bursting membrane pole during the entire simulation or bulge-forming process for the three initial thicknesses considered.
Figure 18 shows the experimental and numerical results for the bulge height h at the membrane pole as a function of the effective pressure p for all three thickness levels , whereby the measurement results were taken from Table 2. The bulge height h represents the final polar height of the rupture disc. That is, only the permanent portion caused by plastic deformation. The graph therefore gives an impression of the expected polar bulge height h at a given effective pressure p. For , the simulation accurately reproduces the experimental results since the constitutive law nicely fits the material properties of the respective membrane material. For the other two thickness levels, the simulation systematically underestimates the polar bulge height h due to the softer material properties of the primary material batches, cf. Table 6. Even if the absolute values of the tests do not exactly match the simulation results, at least the deformation behavior is qualitatively correct. At this point, a softer material model that better accounts for the specific properties of the two coils with thicknesses mm and mm would lead to more accurate simulation results. However, it should be noted that there may also be slight variations in material properties within a coil, which should be taken into account if necessary.
Figure 18.
Bulge height h at the pole of the bursting membrane as a function of the effective pressure p for the three different initial thicknesses considered: validation of the simulation results with the experimentally determined values from Table 2.
During the bulge-forming process, the thickness t of the bursting membrane locally decreases due to elastic and plastic deformation, whereby the plastic part clearly dominates. The minimum thickness is found at the pole of the membrane. In order to the get an impression of the thickness reduction during the entire forming process, Figure 19 illustrates the instantaneous thickness t at the respective membrane pole over the normalized process time . It can be seen that the pole region undergoes a significant thickness reduction, which finally leads to the rupture of the membrane at the corresponding bursting pressure . Initially, elastic thinning takes place within the initial elastic domain, ranging from to about . This is followed by an extensive thickness reduction during the elastoplastic domain until the experimentally determined individual instability limit is reached at (degree of bulging ). Since the simulation considers pure elastic and plastic deformation of the material without damage, elastic recovery during pressure reduction can now be observed. The relative thickness reduction at the pole to bursting is 29% for the thick membrane, 28% for the medium membrane, and 34% for the thin membrane. Knowing that the chosen constitutive law provides slightly too high strength values for the thick and medium thick sheet, and considering the experimental results from Figure 20, the relative thickness reduction of about 34% in the thin membrane also applies approximately to the two thicker ones.
Figure 19.
Instantaneous thickness t of the bursting membrane pole during the entire simulation or bulge-forming process for the three initial thicknesses considered.
Figure 20.
Thickness t of the bursting membrane meridian due to plastic deformation as a function of the current radial distance r from the pole for the degree of bulging defined in Table 1: validation of the simulation results for the three initial thicknesses considered with the experimentally determined values from Table 3.
Even though the thickness reduction dominates in the region of the membrane pole due to the equibiaxial stress state prevailing there, the surface enlargement of the membrane during bulge forming occurs at the expense of almost the entire membrane cross-section. To get an idea of which area of the bursting membrane must provide which fraction, Figure 20 shows the instantaneous thickness t of the membrane as a function of current radial distance r from the pole within a meridional section. The figure illustrates the continuous simulation results for all three initial thicknesses compared to the discrete measured values shortly before bursting at the degree of bulging (in accordance with the corresponding individual bursting pressures from Table 1). The thickness curves of the simulation were obtained from the true plastic strain components in a follow-up calculation and the measurement results were taken from Table 3. The comparison of simulation and experiment once again validates the high level of approximation quality of the numerical model for the thin membrane with an initial thickness of mm. As the membrane thickness increases, the approximation quality decreases. This is due to the fact that the flow curve model shown and implemented in Figure 12 is less effective in describing the plastic properties of the membrane material as the thickness increases (cf. Table 6). The curves demonstrate a notable reduction in membrane thickness across the entire area, extending up to the outer edge of the rupture disc. However, it is notable that the contribution to plastic strain decreases continuously from the pole to the bending radius at mm. The membrane stress state is disturbed in the area of the bending radius. The additional bending stress component causes a local necking depending on the membrane thickness. As the bending stress component increases with increasing distance from the neutral axis, this effect becomes more influential as the membrane thickness increases. In addition, the structure at this location is subjected to a variable contact pressure distribution that is superimposed on the internal stress state. This relationship can be seen by comparing the three curves for different membrane thicknesses. While the thin membrane with mm does not show any significant local necking due to its very low thickness, the local disturbance of the membrane stress state becomes clear for the two thicker ones. In addition, a reduction in thickness is visible along the clamped edge of the bursting membrane. This is strongly dependent on the ratio of hold-down force to effective pressure p as well as the coefficient of friction between the contact partners. The results show a thickness curve along the edge of the rupture disc that depends on the initial thickness and thus on the effective pressure p. For the same nominal diameter (DN 80 mm in this case), the required effective bulge-forming pressure p increases with the initial thickness of the disc and thus the resulting tangential force in the contact area. If this force exceeds the static friction force applied, the clamped particles will slide locally until a new equilibrium is reached. During the sliding process, the released part of the membrane can contract more or less freely and thus locally exceeds the yield stress of the membrane material. This process continues successively from the inside to the outside as the pressure increases further and can be observed with the two thicker membranes.
Depending on the effective pressure p, an individual bulge shape of the bursting membrane is generated during the bulge-forming process. Figure 21 shows this profile along a meridional section for the three membranes investigated with initial thicknesses of 0.102 mm, 0.343 mm and 0.480 mm at various degrees of bulging defined in Table 1. The permanent vertical displacement due to plastic deformation was determined. Since each material particle also undergoes a horizontal displacement during the bulge-forming process (with the exception of the pole in the axially symmetric approach), the radial distance r from the pole must be taken into account for the representation of the bulge shape in the current configuration with . The continuous curves represent this relationship for the numerical simulation, while the discrete points show the measurement results. These are taken from Table 2. The numerical results of the thin membrane again show excellent agreement with the experimental data. This is true for the entire manufacturing process for all degrees of bulging and thus for all configuration modes up to the edge zone of the membrane influenced by the contact with the bending radius. In the case of the two thicker membranes, however, it is again evident that the material model used describes their flow behavior only in a rough approximation. Although the error is still relatively small in the range of small plastic strains, it increases with increasing deformation due to an over-estimated strain hardening behavior.
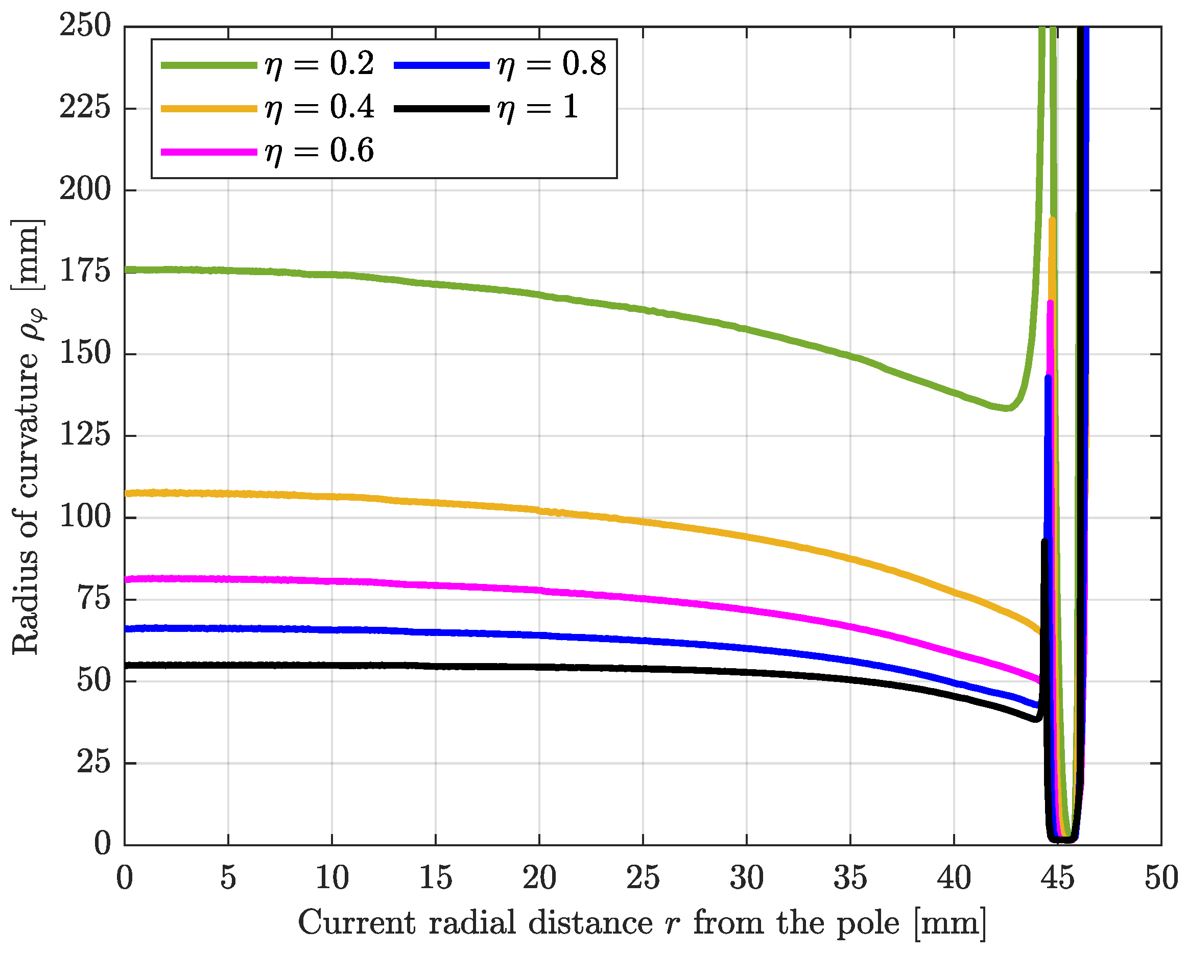
Looking at the plots of the bulge shapes in Figure 21, one can initially assume a spherical geometry of the domed-bursting membranes, except for the area just before the bending radius. For clear identification, Figure 22 shows the curvature behavior of the thin membrane with an initial thickness of mm during the bulge-forming process along a meridional section. For this purpose, the simulation results were processed accordingly and the principal radius of curvature of the meridian was plotted for some degrees of bulging defined in Table as a function of the current radial distance r from the membrane pole. The calculation of the local curvature involves the first- and second-order derivatives of the displacement values with respect to the associated radial coordinate r. The numerical calculation employs a forward difference quotient for these derivatives. All curves show a non-negligible dependence of the curvature behavior on the degree of bulging . While it is clear that the area of the pole has a spherical contour during almost the entire bulge-forming process, i.e., is constantly curved, this is not the case for the remaining area of the bulge diameter of the bursting membrane. At the beginning of bulging, the curves have a negative slope from the pole to just before the bending radius. As a result, the meridional radius of curvature decreases continuously towards the edge, causing the curvature to increase. The curvature behavior changes with increasing degree of bulging and thus increasing plastic deformation, as the influence of the bending moment induced by the edge restraint is reduced. As a result, the slope of the curves starting from the pole tends to zero over an increasingly large range, so that the shape of the membrane approaches a spherical contour until it bursts at . It then has this spherical shape at least over a range of about two-thirds of its bulge diameter . Shortly before the bending radius at mm, a peak of the meridional radius of curvature can be seen. The second-order derivative has a zero crossing at this position, because the curvature of the bursting membrane has an inflection point before the bending radius. At the inflection point itself, the membrane is not curved ( or ). The center of curvature, which lies below the rupture diaphragm starting from the pole until this inflection point is reached just before the bending radius, now moves upwards and is positioned above the diaphragm. In the region of the bending radius at mm, the meridional radius of curvature assumes the value of the bending radius of mm. It can be seen that this area increases as the degree of bulging increases, since the bursting membrane fits more and more closely to the bending radius of the upper clamping device as the plastic deformation progresses. As expected, there is no curvature after the bending radius in the area of the clamped edge for mm (). Therefore, the meridional radius of curvature of the bursting membrane in this area is .
Figure 22.
Simulation result of the meridional radius of curvature as a function of the current radial distance r from the pole: membrane with initial thickness mm at various degrees of bulging defined in Table 1 until bursting at .
The local polar radius of curvature associated with a characteristic pressure value p is required in the case of analytical calculations to determine the material stress at the bursting membrane pole. Due to the assumption of axial symmetry, has no directional dependence in the area of the pole. For the thin diaphragm with an initial thickness of mm, the required radius was determined numerically from the finite element results and denoted as . Its evolution as a function of the effective pressure p is plotted as a red curve in Figure 23. To determine , three closely neighboring element nodes located in the area of the pole on a meridian were selected and their x and z coordinates were used to describe their relative position to each other during deformation. After the flat sheet metal blank begins to deform, the three element nodes now form a triangle. This is used to determine the local radius of curvature using the three side lengths and the area enclosed by them. Its curve in Figure 23 shows a strongly nonlinear behavior during plastic deformation. For very small degrees of bulging or , it runs, as expected, to an infinite limit value , since there is no curvature (). Starting from a flat membrane, even a minimal increase in pressure leads to a disproportionately large decrease in . This sensitivity decreases with increasing deformation. For or , the bursting membrane made of annealed austenitic stainless steel 316L reaches a polar radius of curvature of about 55 mm and is thus still about 20% away from half the bulge diameter mm. As Figure 22 already shows, this final radius of curvature is effective over a proportion of about two-thirds of the bulge diameter . Depending on the geometric conditions and degree of deformation, the analytical approach according to Equation (11) is suitable for a simple approximation of the polar radius of curvature . It assumes that the center of curvature is always located on the axis of symmetry (z-axis) and that the curvature is constant. This approach was used to calculate the polar radius of curvature together with the experimentally determined values of the bulge height h (denoted as ) and to compare it with the local method based on numerics. The result summarized in Table 4 is plotted as a distribution of discrete data points in Figure 23. For a better comparison with the continuous curve of the local radius of curvature of the pole determined by the simulation (red curve), a continuous curve was also generated with the help of Equation (11), in which the bulge height h (denoted as ) determined by simulation was used as a basis (blue dashed curve). This fits with the points based on experimental data, as the evolution of the bulge height h of the simulation corresponds very well with that of the experimental program (cf. Figure 18). A comparison of both curves clearly shows that the deviation decreases with increasing deformation, as the bulge-shape of the bursting membrane successively approaches a spherical contour (cf. Figure 22), and thus, the simplification for large plastic deformations made in Equation (11) is approximately fulfilled. The relative deviation at or is still about 5%, as the ductility of the annealed 316L is not sufficient to achieve a perfectly spherical shape over the entire bulge diameter .
Figure 23.
Polar radius of curvature as a function of the effective pressure p for bursting membrane with initial thickness mm up to bursting at (corresponding bursting pressure MPa): comparison of the simulation-based result (local determination at the pole) and the simplified approximation using Equation (11), taking into account the simulated and measured polar bulge height h.
The thinning of the pole plays an important role in the failure of an undisturbed bursting membrane. Although the bursting membrane is subjected to a plane stress state over large parts of its geometry, this causes a three-dimensional strain state. Figure 24 shows this in the form of the true or logarithmic principal plastic strains as a function of the effective pressure p for the thin membrane with initial thickness mm. The black curve illustrates the strain components and of the pole lying in the membrane plane. Due to the underlying axial symmetry, these can be equated and are therefore both referred to as . They agree very well with the experimental results on the true principal plastic strain determined in Section 2.2 and summarized in Table 4. These are shown in Figure 24 as black data points under >> (exp.)<<. Assuming that the material is incompressible during plastic deformation, the surface strain can easily be converted into the portion acting normal to the surface. This corresponds to the strain component in the thickness direction and describes the thinning of the membrane pole during the bulge-forming process. The magnitude of the simulation result is denoted by and illustrated by the red curve. It can be shown that corresponds to the effective plastic strain according to von Mises (also called equivalent plastic strain) under the assumption of equibiaxial stress, and therefore, results. This applies to the area of the pole, where represents the strain measure relevant for thinning and thus for failure. For comparison with the experimental data, the measurement results of the surface strain were converted to those in the thickness direction. These are plotted as red data points with >> (exp.)<<. At the beginning of the deformation, the plastic strains initially show a constant curve on the abscissa, as the material deforms purely elastically up to a degree of bulging of . In order to be able to classify the elastic portion of the total deformation, the effective elastic strain (equivalent elastic strain) was also used as the true strain variable in Figure 24. Compared to the total deformation, the elastic component is therefore relatively small and amounts to only about 1% when the bursting pressure or the bulging level is applied. After passing the initial elastic domain, the pole starts to deform plastically for MPa or . In the elastoplastic range, both plastic strain components and are characterized by a continuous increase in their slope. During this second phase of deformation, the elastic strain shows an approximately proportional character over large parts with a significantly reduced slope to the initial elastic domain. According to the initially very strong hardening behavior of the material under consideration (cf. the slope of the flow curve in Figure 12), the pole initially reacts to an increase in pressure starting from the initial yield point at MPa with a moderate increase in plastic strain within the plane. This can initially be characterized as approximately proportional to the pressure. Due to the ratio of , the part acting in the thickness direction or is weighted correspondingly more heavily. With a further increase in pressure, the plastic deformation of both components proceeds with progressive characteristics according to their ratio, since the material hardening is less and less counteracting the structural stress. From a level of about 85 to 90% of the bursting pressure , a further visible increase in the gradient of the polar plastic strain can be seen until bursting. The strain hardening of the material, which is gradually approaching saturation, is less and less able to compensate for the reduced load-carrying behavior of the structure due to the already reduced cross-section. A small increase in pressure therefore causes a potentially sensitive strain response or , which can lead to the collapse of the polar structure. Therefore, the permissible operating pressure of tension-loaded rupture discs should be below this threshold due to the unpredictable failure caused by material fatigue or creep.
Figure 24.
Logarithmic principal plastic strains , and as well as effective elastic strain acting on the bursting membrane pole as a function of the effective pressure p for bursting membrane with initial thickness mm up to bursting at (corresponding bursting pressure MPa): comparison of simulation-based results with experimentally determined values using Equation (10).
The strain components of the membrane pole shown in Figure 24 are the result of the mechanical stress on the structure due to the differential or effective pressure p acting on it. The variables relevant for the stress on the pole are mainly characterized by the meridional stress and the circumferential stress . Both components act as tensile stresses and are also principal stresses. Due to the underlying axial symmetry, both stresses are identical at the pole of the membrane. As already shown in Section 2.1, these can be summarized similarly to the effective strain measure to the effective stress , which will be used to describe the polar stress state in the following. For the thin membrane with initial thickness mm, the relationship between the effective stress of the pole and the effective pressure p is plotted in Figure 25 for the entire bulge-forming process until the individual bursting pressure (resp. ) is reached. The membrane stresses and included in the calculation of the effective stress are exclusively Cauchy stress components. The red curve shows the continuous curve determined by the simulation, with the graph splitting into two characteristic domains. A stress behavior proportional to the course of the elastic strain can be seen over the entire bulge-forming process (cf. Figure 24). Beginning with the initial pressurization of the initially flat bursting membrane, a significant increase in stress is initially observed within the initial elastic range. Please note that the nonlinear curve has a degressive characteristic, which is caused by the nonlinear kinematics similar to that of the strain (cf. Figure 24). Due to its extremely low bending stiffness, the initially flat membrane has no significant resistance to the pressurization, so that especially the material particles of the pole experience very large displacements in the vertical z-direction. As the deformation increases, the gradient of the vertical pole displacement gradually decreases as the bulging membrane gains extensional stiffness. This explains the degressive nature of the -p behavior within the initial elastic range. The inflection point defines the transition to the elastoplastic domain, where plastic deformation dominates. There is an approximately proportional relationship between and p over large ranges. Since a significant part of the mechanical energy introduced into the structure is dissipated during plastic deformation, the increase in stress in the plastically dominated domain is visibly smaller than before during fully elastic deformation. From a pressure level of about 85 to 90% of the individual bursting pressure , an increasingly progressive stress behavior within the pole structure up to bursting can be observed, similar to the strain behavior in Figure 24. The effective stress applied to the pole under the bursting pressure of MPa has a final value of approximately 975 MPa. Using the methodology presented in Section 2.1, the effective polar stress can also be approximated on the basis of experimental data. This was initially carried out with the help of Equation (16), in which the polar radius of curvature is taken into account in the form of the simplified method according to Equation (11). In order to calculate the stress associated with a pressure level p, the two variable parameters h and d are needed as well. These were taken from the measurement results of Table 1, Table 2 and Table 4, where the bulge height h corresponds to the displacement contained in Table 2 at mm. The resulting stress response is shown in the form of red data points and labeled with >><< in Figure 25. Here, a relative deviation from the numerical simulation of about 5 to 10% becomes visible, whereby the error behavior corresponds to that of the radii of curvature plotted in Figure 23. This discrepancy is therefore due to the simplifications made to determine the radius of curvature using Equation (11). If instead the numerically determined local radius of curvature of the simulation is used and the stress approximation is performed using Equation (14) (p and d are used analogously from Table 1 and Table 4), the discrete curve is obtained using the black data points. This is marked with >><< and agrees extremely well with the numerical result of the simulation. Thus, it can be seen that both methods lead to the same result with corresponding parameter quality, which again proves the high quality of the numerical model and the validity of the methodology for analytical stress calculation based on experimental data presented in Section 2.1.
Figure 25.
Effective stress at the bursting membrane pole as a function of the effective pressure p for bursting membrane with initial thickness mm up to bursting at (corresponding bursting pressure MPa): comparison of simulation-based result with experimentally determined values (red data points: using Equation (16) with the simplified method of determining the radius of curvature according to Equation (11) and the measured values of the bulge height h from Table 2; black data points: using Equation (14) and taking into account the local radius of curvature obtained from the simulation).
While an equibiaxial stress state with is established at the pole of an axially symmetric bursting membrane, a stress ratio of results in increasing radial distance r, in which the meridional stress dominates. This situation is examined below, and the evolution of the stress distribution during the bulge-forming process is shown in Figure 26 for various degrees of bulging defined in Table 1. The plot shows the relevant membrane stress components and for the thin bursting membrane with an initial thickness of mm as a function of the current radial distance r from the pole. These stresses are defined as Cauchy stresses and can also be interpreted as principal stresses. In addition to the curves of the absolute stress variables, the dimensionless stress ratio for some degrees of bulging is also shown in Figure 27 (upper part) for a more detailed characterization of the local distribution of the biaxial stress state. For this purpose, the coordinate of the current radial pole distance r was normalized using half the bulge diameter . Starting from the flat membrane, an approximately constant distribution of the meridional stress is formed during the first stage of deformation. Due to the originally homogeneous thickness allocation , this extends almost over the entire bulge diameter until shortly before the bending radius at mm, where it is locally disturbed by the bending influence prevailing there. For the circumferential stress , on the other hand, a continuously decreasing curve towards the bending radius can be observed, as the edge restraint counteracts deformation in the hoop direction. This finding can be observed with a degree of bulging of in Figure 26. Since the effective stress as a measure of the material stress therefore increases in the direction of the pole, a plastic deformation occurs within the bursting membrane that depends on the radial distance r and has its maximum at the pole itself at mm. This effect increases as the deformation or degree of bulging progresses and is the reason for the inhomogeneous thickness profile that develops during the bulge-forming process. As a result, the meridional stress increasingly shows a strictly monotonic decreasing curve in the direction of the edge with for . A comparison of and with increasing degree of bulging shows that the stress drop of the circumferential stress with for in the direction of the bending radius is not only more extensive than that of the meridional stress , but the stress level of is moreover approximately constant in the range around mm. The static frictional capacity induced by the edge restraint counteracts the deformation in the hoop direction, so that the circumferential stress increases only to a limited extent compared to the meridional stress in the area of the bending radius as the degree of bulging increases. As a result, the stress ratio is reduced there by about 20% from an initial to a final . Furthermore, the graphs confirm the insight already gained from the analysis of the curvature behavior (cf. Figure 22) of a surface area with spherical bulge geometry that increases with the degree of bulging . This is expressed in the stress behavior by an area with identical membrane stresses increasing from the pole where or applies (cf. also Figure 27). Only in this region does the effective stress correspond to the meridional stress or the circumferential stress (which also becomes the meridional stress at the pole). However, as soon as applies with a sufficient distance , the effective stress must be determined from both components according to Equation (7). The numerical analysis also confirms the analytical consideration from Section 2.1 (cf. Equation (9)), where the thickness stress (or minimum principal stress) acting perpendicular to the membrane during bulge forming has no relevance for sufficiently slender bursting membranes and can therefore be neglected. Since the stress behavior of the thick membrane with mm is very similar to that of the thin membrane illustrated in Figure 26, the slenderness ratio is considered at least sufficient for AISI 316L in annealed condition.
Figure 26.
Simulation results of the principal Cauchy stresses , and acting in the bursting membrane as a function of the current radial distance r from the pole: membrane with initial thickness mm at various degrees of bulging defined in Table 1 until bursting at .
Figure 27.
Evolution of the biaxial ratios of principal Cauchy stresses (top plot) and logarithmic principal plastic strains (bottom plot) as a function of the current radial distance r from the pole (normalized with ) during bulge-forming process (different degrees of bulging according to Table 1).
While Figure 26 illustrates the principal stresses and , Figure 28 shows the distribution of the three associated principal plastic strains , and as a function of the current radial distance r from the membrane pole. These are defined as logarithmic, i.e., true strain values, and also refer to the thin bursting membrane with an initial thickness of mm as well as to the degrees of bulging defined in Table 1. The plots show a characteristic similar to the stress behavior, although it differs in some details. In addition to the meridional and circumferential strain components acting within the membrane surface, there is now also the component acting in the normal or thickness direction, which is caused by the plane stress state due to the surface enlargement of the membrane and thus describes the thinning of its meridian. The curves along the radial coordinate r also confirm the dominance of the plastic strain component of the thickness or normal direction. Here, up to the edge is the effective plastic strain . Due to plastic incompressibility, this is the sum of the principal plastic strains in the membrane plane according to . As a result of the radial distribution of the two principal stresses and within the membrane plane during the bulge-forming process (cf. Figure 26), the principal plastic strains and are maximum at the pole and even identical for the axially symmetric problem (but only there). Consequently, the thinning dominates at the pole and initiates the plastic instability of the system from there. The circumferential strain decreases more towards the edge than the meridional strain and has an approximate value of zero there depending on the contact boundary condition, which counteracts the deformation in the circumferential direction. Consequently, is valid in the region of the bending radius. For further identification of the strain behavior within the membrane plane, a strain ratio according to was introduced analogous to the biaxial stress ratio and plotted in Figure 27 (lower part) over the normalized radial coordinate of the current configuration for some degrees of bulging . As the degree of bulging increases, grows in the interval , whose characteristic is similar to that of . However, due to the disappearance of the circumferential strain in the boundary region, a delayed increase compared to the stress ratio can be observed here. In contrast to , the ratio of the principal plastic strains during the whole bulge-forming process only applies to the pole itself . Since the entire deformation history must be considered for the plastic strain, a strictly monotonically decreasing curve for results for all degrees of bulging (also for ) starting from the pole. As Figure 27 (upper part) shows, during the first phase of bulging, only the pole itself experiences the maximum stress with , whereby the material particles there plasticize more strongly than their neighbors even at small degrees of bulging . Although the zone within increases with the degree of bulging , it can no longer compensate for the plastic deformation protrusion of the pole.
Figure 28.
Simulation results of the logarithmic principal plastic strains , and acting in the bursting membrane as a function of the current radial distance r from the pole: membrane with initial thickness mm at various degrees of bulging defined in Table 1 until bursting at .
Once the desired degree of bulging has been reached during bulge forming, the working pressure p is reduced and the clamping devices are released so that the reshaped bursting membrane is relieved of external constraints. During this release process, the internal stresses introduced by the elastoplastic deformation are reduced until an equilibrium is reached. These residual stresses remain permanently in the material without further action. Figure 29 gives an impression of the residual stress level to be expected in a bursting membrane after completion of the bulge-forming process. For this purpose, the three principal stresses of the medium-thick membrane with initial thickness mm are considered, which allow us to distinguish between tensile and compressive stresses. According to the slightly overestimated hardening behavior of the selected material model for this coil (or the specific removal position of the sample from the coil), a final degree of bulging of is obtained for the applied simulation boundary conditions. This shows a concentration dominated by tensile stresses around the area of the bending radius (cf. maximum and minimum principal stress), which depends on the chosen degree of bulging and the membrane thickness as well as the bending radius R. As the pressure increases during bulge forming until the desired degree of bulging is reached in the interval , the superposition of membrane and bending stresses leads to extensive stressing of the material in this region. While tensile stresses dominate on the bottom side, compressive stresses dominate on the upper side. If the working pressure p is now gradually reduced for after the desired degree of bulging has been reached, the bulged profile will perform an elastic settlement. This affects the stress situation in the area of the bending radius in such a way that the tensile stresses on the bottom side decrease and the compressive stresses on the top also change to tensile stresses that exceed the level of those on the bottom side. When the hold-down force is removed or the upper clamping device is released as the last production step for , the unequal distribution of tensile stresses on the top and bottom sides causes the previously clamped edge of the bursting membrane to undergo a slight upward bending movement in the positive z-direction. As a result, the tensile stresses on the top side decrease, while those on the bottom side increase until the final equilibrium is reached for the region of the bending radius shown in Figure 29. This phenomenon is often observed during the manufacturing process of pre-bulged metallic rupture discs. In addition to the area of the bending radius, the outer edge zone also shows conspicuous behavior. During bulge forming, a portion of the clamped edge of the bursting membrane experiences a slight reduction in thickness due to high tensile stresses in the radial direction (cf. Figure 20). This reduction decreases outwards with increasing radial distance r. As a result of the constant hold-down force throughout the forming process, the contact pressure between the clamping devices and the membrane edge therefore increases outwards. This causes an inhomogeneous compression of the edge elements in their thickness or normal direction along the radial coordinate r of the bursting membrane. Since Coulomb’s frictional force counteracts free contraction, this results in an outwardly increasing compressive stress component in the hoop direction (cf. minimum principal stress). When the hold-down force is reduced again, this component attempts to dissipate. In the most unfavorable scenario, this can result in a critical buckling load being exceeded with thin membranes when combined with the selection of unsuitable manufacturing parameters, leading to the formation of wrinkles.
Figure 29.
Remaining residual stresses in a bursting membrane made of annealed stainless steel AISI 316L/EN 1.4404 with an initial thickness of mm at the end of the bulge-forming process at normalized time (degree of bulging: ). The left side illustrates the top view, while the right side of the figure illustrates the bottom view.
4. Conclusions
In the scope of this contribution, the authors established a robust, accurate and reliable numerical simulation model for analyzing all steps of the bulge-forming process of rupture discs. The simulation model involves all relevant process steps and parameters such as friction/contact between the clamping unit and the metal membrane, experimentally validated nonlinear material behavior, finite strains, etc. Extensive experimental investigations from an industrial production process confirm the validity of the simulation results. The systematic experimental evaluation of the simulations has shown that the deformation variables considered in the bulge-forming process are highly sensitive to the mechanical properties of the primary material. Even small variations in these variables can have a significant influence on the forming result. Therefore, this must be taken into account if the primary material comes from one and the same batch, as the entire manufacturing process of a cold-rolled strip must be considered. When carrying out numerical bulge-forming simulations, it is recommended to identify the required material parameters individually in preliminary tests. This approach should account for not only the chemical composition of the material under consideration but also its forming history and the heat treatment process it has undergone. A thorough material characterization is essential in view of the fact that bursting discs are safety-relevant components for pressure protection in process engineering systems including extremely critical process boundary conditions. However, the obtained results may serve as a basis for process engineers when adjusting the process parameters to achieve a pre-defined bulge shape for rupture discs. In addition, the results provide a comprehensive understanding of the stress–strain behavior of rupture discs, which is essential for sizing and positioning the pre-notches (single-layer design) or perforations (multi-layer design). The validated numerical model also provides the capability to perform comprehensive parameter studies for different materials with different plastic flow behavior in the future. Furthermore, it will be possible to analyze the physical behavior under different geometric conditions, such as various bulge diameter-to-thickness ratios or the influence of the bending radius dimension on the deformation behavior. By taking into account the contact between the outer edge of the bursting membrane and the clamping tool, different contact boundary conditions, such as different friction values or contact normal pressures, can also be investigated.
Author Contributions
Conceptualization, B.T. and D.A.; methodology, B.T.; software, B.T.; validation, B.T., D.A. and K.W.; formal analysis, B.T., D.A. and K.W.; investigation, B.T.; resources, B.T. and D.A.; data curation, B.T.; writing—original draft preparation, B.T. and D.A.; writing—review and editing, B.T., D.A. and K.W.; visualization, B.T.; supervision, D.A.; project administration, B.T. and D.A.; funding acquisition, D.A. All authors have read and agreed to the published version of the manuscript.
Funding
This research has been developed within the project PLan CV and was funded in the scope of the funding program FH-Personal (grant number 03FHP109) by the German Federal Ministry of Education and Research (BMBF) and Joint Science Conference (GWK).
Institutional Review Board Statement
Not applicable.
Informed Consent Statement
Not applicable.
Data Availability Statement
The data as well as simulation models presented in this study are available on request from the corresponding author.
Acknowledgments
The corresponding author Denis Anders (D.A.) acknowledges on behalf of all authors the support of the company STRIKO Verfahrenstechnik GmbH, Reichshof, Germany, which provided all rupture disc samples and the production machines for the bulge-forming process as well as the measuring equipment for experimental analysis.
Conflicts of Interest
The authors declare no conflicts of interest. The funders had no role in the design of the study; in the collection, analysis, or interpretation of data; in the writing of the manuscript; or in the decision to publish the results.
Abbreviations
The following abbreviations are used in this manuscript:
| AISI | American Iron and Steel Institute |
| DN | Diameter Nominal |
| Exp. | Experimental |
| EN | European Norm |
| Ref. | Reference |
| Sim. | Simulation |
| U. C. D. | Upper Clamping Device |
References
- Zhao, G. An easy method to design gas/vapor relief system with rupture disk. J. Loss Prev. Process. Ind. 2015, 35, 321–328. [Google Scholar] [CrossRef]
- Cunningham, E. Keeping fluid handling systems safe with overpressure protection. Plant Eng. 1985, 39, 34–39. [Google Scholar]
- Ondrey, G. Rupture discs and pressure relief. Chem. Eng. 2011, 118, 48–50. [Google Scholar]
- Belevtsev, B.A.; Freitag, V.A. Pressure-relief valve with rupture disk. Chem. Petrol. Eng. 1968, 4, 267–269. [Google Scholar] [CrossRef]
- Nwaoha, C. Appendix IV: Rupture Disk Selection. In Process Plant Equipment: Operation, Control, and Reliability; Holloway, M.D., Nwaoha, C., Onyewuenyi, O.A., Eds.; John Wiley & Sons, Inc.: Hoboken, NJ, USA, 2012; pp. 665–668. [Google Scholar]
- Mohebbi, M.; Panahizadeh, V.; Hoseinpour, M. Analytically predicting the burst pressure of composite rupture discs by considering nonlinear strain path. Proc. Inst. Mech. Eng. Part B J. Eng. Manuf. 2023, 237, 171–180. [Google Scholar] [CrossRef]
- Gleyzal, A. Plastic deformation of a circular diaphragm under pressure. Trans. Asme, J. Appl. Mech. 1948, 15, 288–296. [Google Scholar] [CrossRef]
- Weil, N.A.; Newmark, N.M. Large plastic deformations of circular membranes. Trans. Asme, J. Appl. Mech. 1955, 22, 533–538. [Google Scholar] [CrossRef]
- Woo, D.M. The analysis of axisymmetric forming of sheet metal and the hydrostatic bulging process. Int. J. Mech. Sci. 1964, 6, 303–317. [Google Scholar] [CrossRef]
- Murty, D.V.R.; Rao, Y.B. Computer simulation of rupture discs design. In Proceedings of the ASME 2006 Pressure Vessels and Piping/ICPVT-11 Conference, Vancouver, BC, Canada, 23–27 July 2006; Volume 3, pp. 233–240. [Google Scholar]
- Jeong, J.Y.; Jo, W.; Kim, H.; Baek, S.H.; Lee, S.B. Structural analysis on the superficial grooving stainless-steel thin-plate rupture discs. Int. J. Precis. Eng. Manuf. 2014, 15, 1035–1040. [Google Scholar] [CrossRef]
- Kong, X.; Zhang, J.; Li, X.; Zhibo, J.; Zhong, H.; Zhan, Y.; Han, F. Experimental and finite element optimization analysis on hydroforming process of rupture disc. Procedia Manuf. 2018, 15, 892–898. [Google Scholar] [CrossRef]
- Baha, D.Y.; Beese, J.G. Optimum pre-doming of metallic safety-rupture diaphragms. In Proceedings of the Institution of Mechanical Engineers, Conference on Pressure Relief Devices, London, UK, 8–10 May 1979; pp. 23–26. [Google Scholar]
- Sachs, G.; Espey, G.; Kasik, G.B. Circular bulging of aluminium-alloy sheet at room and elvated temperatures. Trans. ASME 1946, 68, 161–173. [Google Scholar]
- Brown, W.F.; Sachs, G. Strength and failure characteristics of thin circular membranes. Trans. ASME 1948, 70, 241–249. [Google Scholar] [CrossRef]
- Panknin, W. Der Hydraulische Tiefungsversuch und Die Ermittlung von Fließkurven. Ph.D. Thesis, University of Stuttgart, Stuttgart, Germany, 1959. [Google Scholar]
- Gologranc, F. Beitrag zur Ermittlung von Fließkurven im Kontinuierlichen Hydraulischen Tiefungsversuch. Reports from the Institute of Forming Technology, No. 31; University of Stuttgart, W. Girardet: Essen, Germany, 1975. [Google Scholar]
- Flügge, W. Statik und Dynamik der Schalen, 3rd ed.; Springer: Berlin/Heidelberg, Germany, 1962; pp. 21–25. [Google Scholar]
- Girkmann, K. Flächentragwerke: Einführung in die Elastostatik der Scheiben, Platten, Schalen und Faltwerke, 6th ed.; Springer: Wien, Austria, 1963; pp. 352–359. [Google Scholar]
- Hollomon, J.H. Tensile deformation. Trans. Metall. Soc. AIME 1945, 162, 268–290. [Google Scholar]
- Ludwik, P. Elemente der Technologischen Mechanik; Springer: Berlin/Heidelberg, Germany, 1909. [Google Scholar]
- Reihle, M. Ein einfaches Verfahren zur Aufnahme der Fließkurven von Stahl bei Raumtemperatur. Archiv. Eisenhüttenwesen 1961, 32, 331–336. [Google Scholar] [CrossRef]
- Birkert, A.; Haage, S.; Straub, M. Umformtechnische Herstellung Komplexer Karosserieteile: Auslegung von Ziehanlagen, 1st ed.; Springer: Berlin/Heidelberg, Germany, 2013; pp. 130–139. [Google Scholar]
- Hockett, J.E.; Sherby, O.D. Large strain deformation of polycrystalline metals at low homologous temperatures. J. Mech. Phys. Solids 1975, 23, 87–98. [Google Scholar] [CrossRef]
- Mamros, E.M.; Mayer, S.M.; Banerjee, D.K.; Iadicola, M.A.; Kinsey, B.L.; Ha, J. Plastic anisotropy evolution of SS316L and modeling for novel cruciform specimen. Int. J. Mech. Sci. 2022, 234, 107663. [Google Scholar] [CrossRef]
- Marc 2023.3 User Documentation. Volume A: Theory and User Information; Hexagon AB: Stockholm, Sweden, 2023.
- Marc 2023.3 User Documentation. Volume B: Element Library; Hexagon AB: Stockholm, Sweden, 2023.
Disclaimer/Publisher’s Note: The statements, opinions and data contained in all publications are solely those of the individual author(s) and contributor(s) and not of MDPI and/or the editor(s). MDPI and/or the editor(s) disclaim responsibility for any injury to people or property resulting from any ideas, methods, instructions or products referred to in the content. |
© 2024 by the authors. Licensee MDPI, Basel, Switzerland. This article is an open access article distributed under the terms and conditions of the Creative Commons Attribution (CC BY) license (https://creativecommons.org/licenses/by/4.0/).




























