Trend Forecasting in Swimming World Records and in the Age of World Record Holders
Abstract
1. Introduction
2. Materials and Methods
2.1. Design
2.2. Statistical Analysis
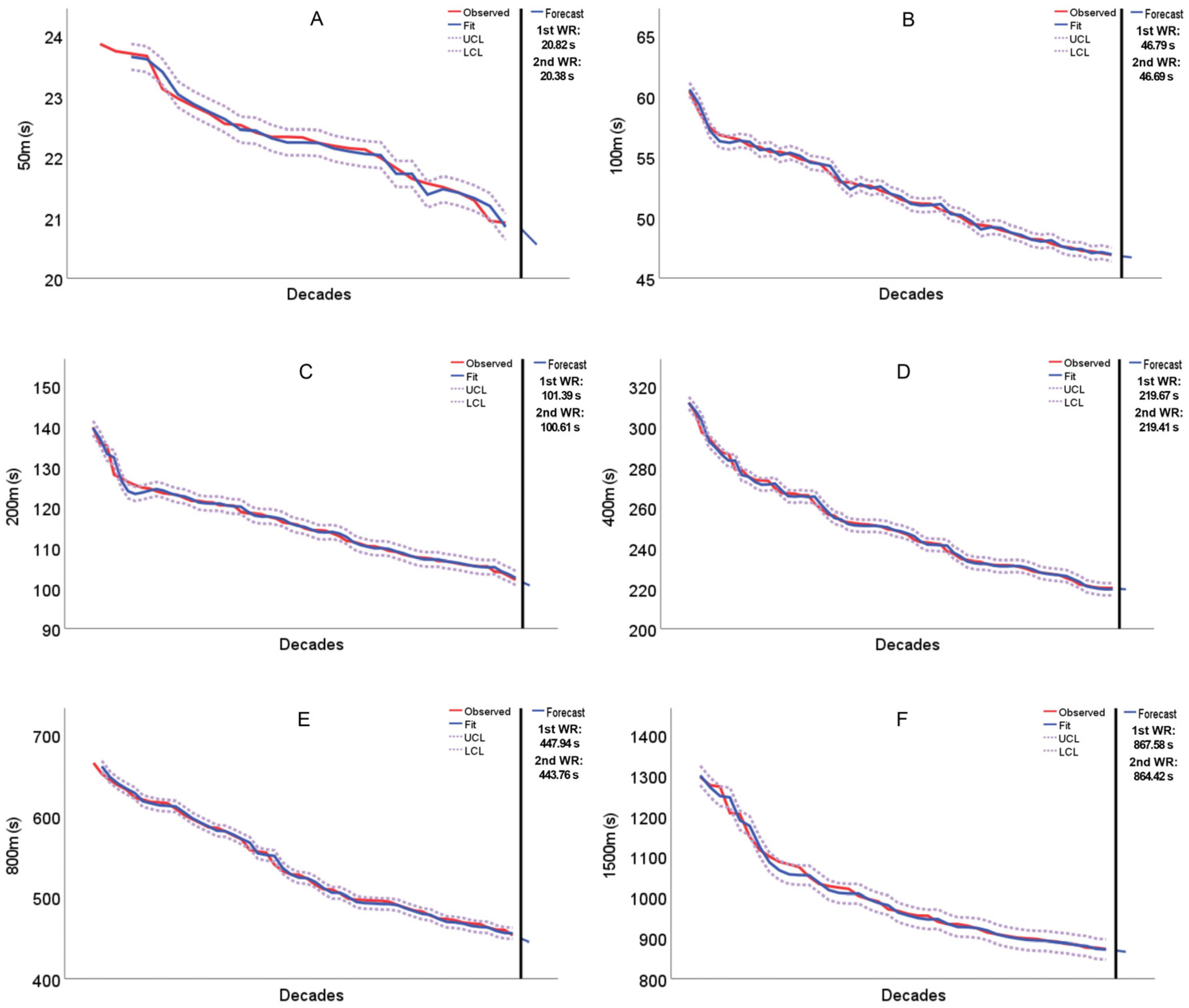
3. Results
4. Discussion
5. Conclusions
Author Contributions
Funding
Institutional Review Board Statement
Data Availability Statement
Conflicts of Interest
References
- Costa, M.J.; Marinho, D.A.; Santos, C.C.; Quinta-Nova, L.; Costa, A.M.; Silva, A.J.; Barbosa, T.M. The coaches’ perceptions and experience implementing a Long-Term Athletic Development model in competitive swimming. Front. Psychol. 2021, 12, 685584. [Google Scholar] [CrossRef]
- Lang, M.; Light, R. Interpreting and implementing the long term athlete development model: English swimming coaches’ views on the (swimming) LTAD in practice. Int. J. Sports Sci. Coach. 2010, 5, 389–402. [Google Scholar] [CrossRef]
- Costa, M.J.; Marinho, D.A.; Reis, V.M.; Silva, A.J.; Marques, M.C.; Bragada, J.A.; Barbosa, T.M. Tracking the performance of world-ranked swimmers. J. Sports Sci. Med. 2010, 9, 411–417. [Google Scholar]
- Costa, M.J.; Marinho, D.A.; Bragada, J.A.; Silva, A.J.; Barbosa, T.M. Stability of elite freestyle performance from childhood to adulthood. J. Sports Sci. 2011, 29, 1183–1189. [Google Scholar] [CrossRef]
- Brustio, P.R.; Cardinale, M.; Lupo, C.; Varalda, M.; De Pasquale, P.; Boccia, G. Being a top swimmer during the early career is not a prerequisite for success: A study on sprinter strokes. J. Sci. Med. Sport. 2021, 24, 1272–1277. [Google Scholar] [CrossRef]
- Born, D.P.; Lomax, I.; Rüeger, E.; Romann, M. Normative data and percentile curves for long-term athlete development in swimming. J. Sci. Med. Sport. 2022, 25, 266–271. [Google Scholar] [CrossRef]
- Allen, S.V.; Vandenbogaerde, T.J.; Hopkins, W.G. Career performance trajectories of Olympic swimmers: Benchmarks for talent development. Eur. J. Sport. Sci. 2014, 14, 643–651. [Google Scholar] [CrossRef]
- Sokolovas, G. Biological maturation of swimmers. In Proceedings of the VIIIth International Symposium on Biomechanics and Medicine in Swimming; Keskinen, K.L., Komi, P.V., Hollander, A.P., Eds.; University of Jyväskylä: Jyväskylä, Finland, 1998; pp. 315–319. [Google Scholar]
- Platonov, V. Sport Training for High-Level Swimmers; Phorte Editions: São Paulo, Brazil, 2005. [Google Scholar]
- Hopkins, W.G.; Pike, J.C.; Nottle, C. Overall trends and individual trajectories of swimming performance in a decade of New Zealand National Championships. In Proceedings of the XIth International Symposium on Biomechanics and Medicine in Swimming; Norwegian School of Sport Science: Oslo, Norway, 2010; p. 72. [Google Scholar]
- Baxter-Jones, A.D.; Sherar, L.B. Growth and maturation. In Paediatric Exercise Physiology; Armstrong, N., Ed.; Elsevier Limited: Amsterdam, The Netherlands, 2006; pp. 1–30. [Google Scholar]
- Sandbakk, Ø.; Solli, G.S.; Holmberg, H.C. Sex differences in world-record performance: The influence of sport discipline and competition duration. Int. J. Sports Physiol. Perform 2018, 13, 2–8. [Google Scholar] [CrossRef]
- Costa, A.M.; Breitenfeld, L.; Silva, A.J.; Pereira, A.; Izquierdo, M.; Marques, M.C. Genetic inheritance effects on endurance and muscle strength: An update. Sports Med. 2012, 42, 449–458. [Google Scholar] [CrossRef]
- Chase, K.I.; Caine, D.J.; Goodwin, B.J.; Whitehead, J.R.; Romanick, M.A. A prospective study of injury affecting competitive collegiate swimmers. Res. Sports Med. 2013, 21, 111–123. [Google Scholar] [CrossRef]
- Siekanska, M.; Blecharz, J. Transitions in the careers of competitive swimmers: To continue or finish with elite sport? Int. J. Environ. Res. Public Health 2020, 17, 6482. [Google Scholar] [CrossRef]
- Knechtle, B.; Bragazzi, N.L.; König, S.; Nikolaidis, P.T.; Wild, S.; Rosemann, T.; Rüst, C.A. The age in swimming of champions in World Championships (1994–2013) and Olympic Games (1992–2012): A cross-sectional data analysis. Sports 2016, 4, 17. [Google Scholar] [CrossRef]
- Rüst, C.A.; Knechtle, B.; Rosemann, T.; Lepers, R. The changes in age of peak swim speed for elite male and female Swiss freestyle swimmers between 1994 and 2012. J. Sports Sci. 2014, 32, 248–258. [Google Scholar] [CrossRef]
- Ferguson, C.J. An effect size primer: A guide for clinicians and researchers. Prof. Psychol. Res. Pract. 2009, 40, 532–538. [Google Scholar] [CrossRef]
- Lippi, G.; Banfi, G.; Favaloro, E.J.; Rittweger, J.; Maffulli, N. Updates on improvement of human athletic performance: Focus on world records in athletics. Br. Med. Bull. 2008, 87, 7–15. [Google Scholar] [CrossRef]
- Barbosa, T.M.; Barbosa, A.C.; Simbaña Escobar, D.; Mullen, G.J.; Cossor, J.M.; Hodierne, R.; Arellano, R.; Mason, B.R. The role of the biomechanics analyst in swimming training and competition analysis. Sports Biomech. 2021, 22, 1734–1751. [Google Scholar] [CrossRef]
- Yustres Amores, I.; Santos Del Cerro, J.; González-Mohíno, F.; Hermosilla, F.; González-Ravé, J.M. Modelling performance by continents in swimming. Front. Physiol. 2023, 14, 1075167. [Google Scholar] [CrossRef]
- Colwin, C. Looking back, looking ahead. In Breakthrough Swimming; Champaign, I.L., Ed.; Human Kinetics: Champaign, IL, USA, 2002; pp. 217–228. [Google Scholar]
- Biel, K.; Fischer, S.; Kibele, A. Kinematic analysis of take-off performance in elite swimmers: New OSB11 versus traditional starting blocks. In XIth International Symposium for Biomechanics and Medicine in Swimming; Norwegian School of Sport Science: Oslo, Norway, 2010; pp. 91–92. [Google Scholar]
- Nevill, A.M.; Whyte, G.P.; Holder, R.L.; Peyrebrune, M. Are there limits to swimming world records? Int. J. Sports Med. 2007, 28, 1012–1017. [Google Scholar] [CrossRef]
- Schulz, R.; Curnow, C. Peak performance and age among superathletes: Track and field, swimming, baseball, tennis, and golf. J. Gerontol. 1988, 43, 113–120. [Google Scholar] [CrossRef]
- König, S.; Valeri, F.; Wild, S.; Rosemann, T.; Rüst, C.A.; Knechtle, B. Change of the age and performance of swimmers across World Championships and Olympic Games finals from 1992 to 2013: A cross-sectional data analysis. SpringerPlus 2014, 3, 652. [Google Scholar] [CrossRef]
- Vidal-Vilaplana, A.; Valantine, I.; Staskeviciute-Butiene, I.; González-Serrano, M.H.; Capranica, L.; Calabuig, F. Combining sport and academic career: Exploring the current state of student-athletes’ dual career research field. J. Hosp. Leis. Sport Tour. Edu. 2022, 31, 100399. [Google Scholar] [CrossRef]
- Born, D.P.; Lorentzen, J.; Björklund, G.; Stöggl, T.; Romann, M. Variation vs. specialization: The dose-time-effect of technical and physiological variety in the development of elite swimmers. BMC Res. Notes 2024, 17, 48. [Google Scholar] [CrossRef]
- Gonjo, T.; Olstad, B.H. Race Analysis in Competitive Swimming: A Narrative Review. Int. J. Environ. Res. Public Health 2020, 18, 69. [Google Scholar] [CrossRef]
- Barry, L.; Lyons, M.; McCreesh, K.; Powell, C.; Comyns, T. The design and evaluation of an integrated training load and injury/illness surveillance system in competitive swimming. Phys. Ther. Sport 2023, 60, 54–62. [Google Scholar] [CrossRef]
- López-Belmonte, Ó.; Ruiz-Navarro, J.J.; Gay, A.; Cuenca-Fernández, F.; Mujika, I.; Arellano, R. Analysis of pacing and kinematics in 3000 m freestyle in elite level swimmers. Sport Biomech. 2023, 1–17, advance online publication. [Google Scholar] [CrossRef]
- Mejias, J.E.; Bragada, J.A.; Costa, M.J.; Reis, V.M.; Garrido, N.D.; Barbosa, T.M. Young masters vs. elite swimmers: Comparison of performance, energetics, kinematics and efficiency. Int. SportMed J. 2014, 15, 165–177. [Google Scholar]
- Costa, M.J.; Bragada, J.A.; Mejias, J.E.; Louro, H.; Marinho, D.A.; Silva, A.J.; Barbosa, T.M. Effects of swim training on energetics and performance. Int. J. Sports Med. 2013, 34, 507–513. [Google Scholar] [CrossRef][Green Version]
- Mujika, I.; Pyne, D.B.; Wu, P.P.; Ng, K.; Crowley, E.; Powell, C. Next-Generation models for predicting winning times in elite swimming events: Updated predictions for the Paris 2024 Olympic Games. Int. J. Sports Physiol. Perfor. 2023, 18, 1269–1274. [Google Scholar] [CrossRef]
- Mallett, A.; Bellinger, B.; Derave, W.; Osborne, M.; Minahan, C. The age, height, and body mass of Olympic swimmers: A 50-year review and update. Int. J. Sports Sci. Coach. 2020, 16, 210–233. [Google Scholar] [CrossRef]
- Aitken, T. Statistical analysis of top performers in sports with emphasis on the relevance of outliers. Sports Eng. 2004, 7, 75–88. [Google Scholar] [CrossRef]




| Decades | ||||||||||
|---|---|---|---|---|---|---|---|---|---|---|
| 1920–1929 | 1930–1939 | 1940–1949 | 1950–1959 | 1960–1969 | 1970–1979 | 1980–1989 | 1990–1999 | 2000–2009 | 2010–2019 | |
| Males | ||||||||||
| 50 m | -- | -- | -- | -- | -- | 3 | 15 | 2 | 7 | -- |
| 100 m | 3 | 3 | 3 | 4 | 7 | 9 | 5 | 1 | 8 | -- |
| 200 m | 4 | 1 | 2 | 9 | 17 | 9 | 8 | 3 | 8 | -- |
| 400 m | 5 | 3 | 4 | 10 | 13 | 14 | 7 | 4 | 5 | -- |
| 800 m | 6 | 7 | 5 | 5 | 6 | 13 | 3 | 3 | 4 | -- |
| 1500 m | 6 | -- | 2 | 4 | 9 | 11 | 3 | 4 | 1 | 2 |
| Females | ||||||||||
| 50 m | -- | -- | -- | -- | -- | 2 | 13 | 2 | 8 | 1 |
| 100 m | 7 | 6 | 10 | 5 | 13 | 3 | 2 | 11 | 2 | -- |
| 200 m | 3 | 6 | -- | 5 | 7 | 14 | 2 | 1 | 8 | -- |
| 400 m | 7 | 9 | 2 | 2 | 13 | 12 | 2 | -- | 6 | 3 |
| 800 m | -- | 4 | 1 | 6 | 9 | 19 | 4 | -- | 1 | 5 |
| 1500 m | 4 | 3 | 2 | 1 | 10 | 11 | 2 | -- | 1 | 6 |
| Decades | One-Way ANOVA | ||||||||||||
|---|---|---|---|---|---|---|---|---|---|---|---|---|---|
| 1920–1929 | 1930–1939 | 1940–1949 | 1950–1959 | 1960–1969 | 1970–1979 | 1980–1989 | 1990–1999 | 2000–2009 | 2010–2019 | F | p | η2 | |
| Males | |||||||||||||
| 50 m | -- | -- | -- | -- | -- | 23.77 ± 0.08 | 22.56 ± 0.43 | 21.90 ± 0.12 | 21.32 ± 0.36 | -- | 34.44 | <0.01 | 0.82 |
| 100 m | 58.80 ± 1.51 | 56.60 ± 0.20 | 55.70 ± 0.26 | 55.00 ± 0.37 | 53.03 ± 0.74 | 50.81 ± 0.78 | 48.94 ± 1.37 | 48.21 * | 47.44 ± 0.43 | -- | 147.71 | <0.01 | 0.97 |
| 200 m | 134.65 ± 4.90 | 127.20 * | 125.80 ± 0.57 | 123.12 ± 1.51 | 117.85 ± 2.35 | 111.65 ± 1.53 | 107.90 ± 0.85 | 106.34 ± 0.34 | 104.35 ± 1.36 | -- | 132.75 | <0.01 | 0.95 |
| 400 m | 300.08 ± 8.86 | 284.03 ± 4.63 | 275.15 ± 2.38 | 265.24 ± 4.88 | 250.42 ± 3.15 | 236.12 ± 4.52 | 228.82 ± 1.63 | 224.28 ± 1.96 | 220.45 ± 0.54 | -- | 235.80 | <0.01 | 0.97 |
| 800 m | 642.03 ± 15.17 | 610.66 ± 9.10 | 583.54 ± 5.77 | 555.64 ± 11.06 | 521.80 ± 8.67 | 492.53 ± 8.99 | 471.90 ± 1.13 | 466.82 ± 0.94 | 457.88 ± 4.05 | -- | 287.54 | <0.01 | 0.98 |
| 1500 m | 1233.32 ± 56.56 | -- | 1107.35 ± 11.81 | 1071.75 ± 16.26 | 1001.54 ± 24.60 | 930.24 ± 18.96 | 896.46 ± 1.76 | 885.98 ± 4.08 | 874.56 * | 872.58 ± 2.21 | 90.23 | <0.01 | 0.96 |
| Females | |||||||||||||
| 50 m | -- | -- | -- | -- | -- | 26.87 ± 0.18 | 25.67 ± 0.44 | 24.65 ± 0.20 | 24.16 ± 0.28 | 23.67 * | 35.76 | <0.01 | 0.87 |
| 100 m | 71.74 ± 2.01 | 65.90 ± 1.27 | 62.67 ± 1.16 | 59.70 ± 0.51 | 57.14 ± 1.17 | 54.83 ± 0.13 | 54.25 ± 0.83 | 53.10 ± 0.62 | 51.89 ± 0.25 | -- | 204.61 | <0.01 | 0.97 |
| 200 m | 164.47 ± 3.56 | 147.07 ± 4.41 | -- | 138.18 ± 2.24 | 129.24 ± 1.63 | 121.84 ± 2.92 | 117.65 ± 0.14 | 116.78 * | 115.00 ± 1.28 | -- | 170.99 | <0.01 | 0.97 |
| 400 m | 354.25 ± 18.72 | 315.71 ± 8.55 | 302.75 ± 3.75 | 289.00 ± 2.55 | 276.64 ± 6.65 | 255.01 ± 6.13 | 244.65 ± 1.13 | -- | 241.15 ± 1.37 | 237.90 ± 1.27 | 126.42 | <0.01 | 0.96 |
| 800 m | -- | 702.23 ± 27.89 | 652.50 * | 621.73 ± 12.36 | 573.03 ± 16.29 | 525.90 ± 12.09 | 498.83 ± 2.78 | -- | 494.10 * | 488.57 ± 3.35 | 133.26 | <0.01 | 0.96 |
| 1500 m | 1454.75 ± 35.87 | 1353.20 ± 45.85 | 1263.55 ± 9.26 | 1246.50 * | 1001.28 ± 42.24 | 997.49 ± 20.14 | 956.42 ± 6.10 | -- | 942.54 * | 928.80 ± 5.85 | 153.53 | <0.01 | 0.98 |
| Decades | One-Way ANOVA | ||||||||||||
|---|---|---|---|---|---|---|---|---|---|---|---|---|---|
| 1920–1929 | 1930–1939 | 1940–1949 | 1950–1959 | 1960–1969 | 1970–1979 | 1980–1989 | 1990–1999 | 2000–2009 | 2010–2019 | F | p | η2 | |
| Males | |||||||||||||
| 50 m | -- | -- | -- | -- | -- | 23.44 ± 1.88 | 21.84 ± 2.42 | 25.46 ± 0.00 | 24.58 ± 2.69 | -- | 2.92 | 0.05 | 0.28 |
| 100 m | 22.61 ± 6.45 | 21.20 ± 0.97 | 20.18 ± 1.41 | 22.26 ± 2.64 | 21.06 ± 1.80 | 21.05 ± 1.62 | 21.07 ± 1.37 | 22.59 * | 23.64 ± 1.17 | -- | 1.30 | 0.28 | -- |
| 200 m | 21.23 ± 2.24 | 20.52 * | 18.72 ± 1.44 | 19.26 ± 2.55 | 20.08 ± 2.21 | 19.58 ± 1.99 | 20.48 ± 1.38 | 17.53 ± 1.16 | 20.85 ± 2.44 | -- | 1.16 | 0.34 | -- |
| 400 m | 20.97 ± 2.67 | 19.98 ± 1.76 | 19.36 ± 1.89 | 18.76 ± 2.03 | 19.24 ± 2.12 | 18.01 ± 0.94 | 20.78 ± 1.34 | 19.02 ± 1.76 | 19.41 ± 2.17 | -- | 2.15 | 0.05 | 0.24 |
| 800 m | 20.18 ± 3.66 | 19.70 ± 2.35 | 20.14 ± 1.65 | 17.57 ± 2.37 | 21.11 ± 1.94 | 16.91 ± 1.07 | 23.58 ± 2.24 | 19.19 ± 1.61 | 21.25 ± 3.23 | -- | 4.75 | <0.01 | 0.47 |
| 1500 m | 22.53 ± 3.17 | -- | 20.91 ± 0.01 | 18.94 ± 2.63 | 20.45 ± 2.33 | 17.57 ± 2.69 | 21.49 ± 1.31 | 19.90 ± 1.27 | 21.22 * | 20.17 ± 0.72 | 2.52 | 0.03 | 0.38 |
| Females | |||||||||||||
| 50 m | -- | -- | -- | -- | -- | 17.91 ± 1.64 | 17.02 ± 1.38 | 23.65 ± 4.38 | 25.94 ± 3.27 | 23.95 * | 19.27 | <0.01 | 0.79 |
| 100 m | 18.48 ± 1.01 | 16.78 ± 1.02 | 19.12 ± 1.20 | 22.48 ± 4.65 | 16.98 ± 3.38 | 20.87 ± 0.29 | 19.25 ± 0.34 | 23.93 ± 2.71 | 24.11 ± 0.25 | -- | 8.54 | <0.01 | 0.58 |
| 200 m | 18.52 ± 3.04 | 16.48 ± 1.14 | -- | 19.07 ± 1.28 | 17.41 ± 2.55 | 16.28 ± 1.39 | 17.23 ± 1.50 | 16.42 * | 20.75 ± 1.63 | -- | 5.87 | <0.01 | 0.52 |
| 400 m | 18.15 ± 1.45 | 17.22 ± 0.86 | 19.75 ± 0.01 | 17.98 ± 0.11 | 16.67 ± 1.05 | 16.54 ± 1.14 | 16.69 ± 0.54 | -- | 20.57 ± 1.13 | 18.07 ± 1.14 | 9.86 | <0.01 | 0.63 |
| 800 m | -- | 21.15 ± 3.82 | 20.67 * | 15.72 ± 2.56 | 15.79 ± 1.44 | 16.26 ± 1.49 | 17.11 ± 1.04 | -- | 19.49 * | 18.06 ± 1.22 | 5.22 | <0.01 | 0.47 |
| 1500 m | 18.52 ± 1.86 | 18.03 ± 0.45 | 20.18 ± 0.72 | 16.27 * | 15.47 ± 1.06 | 15.10 ± 1.20 | 16. 25 ± 0.45 | -- | 18.97 * | 18.16 ± 1.65 | 8.14 | <0.01 | 0.68 |
Disclaimer/Publisher’s Note: The statements, opinions and data contained in all publications are solely those of the individual author(s) and contributor(s) and not of MDPI and/or the editor(s). MDPI and/or the editor(s) disclaim responsibility for any injury to people or property resulting from any ideas, methods, instructions or products referred to in the content. |
© 2024 by the authors. Licensee MDPI, Basel, Switzerland. This article is an open access article distributed under the terms and conditions of the Creative Commons Attribution (CC BY) license (https://creativecommons.org/licenses/by/4.0/).
Share and Cite
Costa, M.J.; Quinta-Nova, L.; Ferreira, S.; Costa, A.M.; Santos, C.C. Trend Forecasting in Swimming World Records and in the Age of World Record Holders. Appl. Sci. 2024, 14, 9492. https://doi.org/10.3390/app14209492
Costa MJ, Quinta-Nova L, Ferreira S, Costa AM, Santos CC. Trend Forecasting in Swimming World Records and in the Age of World Record Holders. Applied Sciences. 2024; 14(20):9492. https://doi.org/10.3390/app14209492
Chicago/Turabian StyleCosta, Mário J., Luis Quinta-Nova, Sandra Ferreira, Aldo M. Costa, and Catarina C. Santos. 2024. "Trend Forecasting in Swimming World Records and in the Age of World Record Holders" Applied Sciences 14, no. 20: 9492. https://doi.org/10.3390/app14209492
APA StyleCosta, M. J., Quinta-Nova, L., Ferreira, S., Costa, A. M., & Santos, C. C. (2024). Trend Forecasting in Swimming World Records and in the Age of World Record Holders. Applied Sciences, 14(20), 9492. https://doi.org/10.3390/app14209492

