Abstract
Due to the impact of global warming, drought has caused serious damage to China’s ecological environment and social status. This article selects Laibin City in the Guangxi Zhuang Autonomous Region as the research area, utilizing multispectral remote sensing data as the data source and Landsat series image data for relevant preprocessing. It calculates the monthly normalized vegetation index (NDVI) and surface temperature (LST) data for Laibin City. Based on the ecological environment and surface coverage conditions of the research area, the ratio vegetation index (RVI), normalized vegetation moisture index (NDWI), temperature vegetation drought index (TVDI), and conditional vegetation temperature drought index (VTCI) were selected to calculate and invert the drought monitoring results of Laibin City. The drought monitoring results were obtained and overlaid with the vegetation area map to generate the vegetation drought monitoring results of Laibin City. Based on the climate, geography, and ecological characteristics of the monitored area in Laibin City, a specific analysis will be conducted to develop an appropriate TVDI index drought level, and generate vegetation drought level result maps for Laibin City in 2021, 2022, and 2023. Then, a detailed analysis of the vegetation drought situation in Laibin City is conducted according to time and space. Among them, in the past three years, the vegetation areas in Laibin City have experienced drought seasons mostly in summer and autumn. The interannual drought is mainly mild drought, and the proportion of areas with mild drought shows a relatively stable trend. In conclusion, TVDI proves to be a valuable tool for monitoring vegetation drought in Laibin City, offering insights for efficient water resource management strategies.
1. Introduction
Drought is a natural disaster that typically occurs when there is no precipitation for an extended period or when the amount of precipitation is severely insufficient. In agriculture, drought can lead to dry soil, preventing the root system from absorbing sufficient water and nutrients, thereby affecting crop growth and yield. For rural communities that rely on agricultural income, this may lead to serious economic losses and living difficulties. Additionally, drought can result in a reduction in water resources, with rivers, lakes, and groundwater levels dropping. This not only affects drinking water but also limits industrial production and energy generation, further impacting socio-economic stability. In short, drought can cause significant damage to ecosystems and human society, leading to imbalances.
Drought is usually categorized into four types: agricultural drought, hydrological drought, meteorological drought, and socio-economic drought [1,2]. Meteorological drought refers to a certain period when precipitation in an area is significantly low, resulting in dry air, reduced humidity, and increased evaporation. Agricultural drought, on the other hand, is the lack of soil moisture due to meteorological drought, affecting crop growth. This can lead to a decline in food production, impacting farmers’ incomes and the country’s food security. Hydrological drought refers to the lowering of water levels in rivers, lakes, and groundwater, and the reduction of water storage in reservoirs due to prolonged lack of precipitation and overuse of water. It reflects the reduction of water resources and has implications for water supply, power generation, ecology, and agricultural production. Socio-economic droughts are based on agricultural and hydrological droughts, affecting daily lives, industrial production, and socio-economic activities due to reduced water resources [3]. Given the severe effects of drought on the environment and society, drought monitoring is crucial for preventing natural disasters and minimizing damage to social activities.
Traditional station-based drought detection is a time-honored method that uses historical meteorological data to assess drought conditions. It relies on meteorological information such as precipitation, air temperature, humidity, and wind speed collected at well-established weather stations.Drought monitoring stations are facilities specifically designed to monitor and evaluate drought conditions. Compared to meteorological stations, they place greater emphasis on monitoring soil moisture status, vegetation health, and drought severity. In these stations, the measurement of water transpiration is typically achieved through lysimeters, which can directly measure the water loss from the soil surface to the plant canopy. The measurement of water shortage relies on soil moisture sensors, which are buried in the soil and can continuously monitor the soil moisture content at different depths. By comparing the difference between soil moisture content and field water holding capacity, the soil water deficit can be estimated. Drought formation involves key parameters such as water transpiration and water deficit. Therefore, drought indicators based on station data can offer quantitative information on drought development. The Standardized Precipitation Index (SPI), introduced by McKee T.B. et al. [4], is an indicator used to describe and monitor precipitation anomalies. It can be computed on various time scales, but it does not account for the impact of temperature on drought. The Standardized Precipitation Evapotranspiration Index (SPEI) [5] is derived from precipitation and temperature data. It has the advantage of incorporating multi-scalar features and considering the effect of temperature changes on drought assessment. Xu Lingyan et al. [6] confirmed the effectiveness of the SPEI index in evaluating the impact of drought on crop yield by studying the drought situation during the maize growing season in Yunnan Province. Although the drought monitoring method based on traditional station data has shown significant progress after nearly a century of development and is widely accepted in practice, it is influenced by local topography, land use, and vegetation cover. This makes the monitoring results susceptible to local geomorphology and environment, making it challenging to accurately represent the drought situation across the entire region.
Drought monitoring research based on remote sensing data is different from traditional methods. It integrates perspectives from meteorology, hydrology, vegetation, and other disciplines, providing new technical means for drought monitoring. This not only supports an in-depth understanding of drought formation mechanisms and influencing factors but also offers a more comprehensive and effective monitoring tool [7]. Vegetation plays a crucial role on the Earth’s surface, being one of the biomes with the highest land coverage, and its impact on the ecological environment is significant. Studies indicate that vegetation has high absorption of red light in the visible band and high reflectance in the near-infrared band. Therefore, the vegetation index can effectively reflect the growth status and coverage degree of vegetation by comparing the reflectance of these two bands, thus enabling drought monitoring. Pearson and Miller [8] introduced the ratio vegetation index (RVI) for monitoring vegetation growth status in the development of the vegetation drought index, enhancing the radiative contrast between surface and vegetation information. J.W. Rouse et al. [9] proposed the normalized vegetation index (NDVI), one of the most widely used remote sensing vegetation drought indices. To address spatial and temporal differences, soil type, vegetation cover, and other factors affecting drought monitoring results, researchers have developed other vegetation indices based on the original definition of NDVI, such as the Standard Vegetation Index (SVI) [10] and the Vegetation Condition Index (VCI) [11]. Studies have shown that vegetation indices based on short-wave infrared bands are more sensitive to moisture changes in the vegetation canopy than those based on red and near-infrared bands [12,13]. Building on this, vegetation indices like the normalized vegetation water index (NDWI) [14] and the short-wave infrared vertical water loss index (SPSI) [15] have been proposed to reflect changes in vegetation canopy water. Considering the properties of vegetation for visible light, the vegetation drought index is more suitable for drought monitoring in areas with high vegetation cover.
The integrated remote sensing drought monitoring index refers to the method of combining multi-band remote sensing information for drought calculation. Studies have shown that the integrated remote sensing drought detection model has wider applicability, especially in assessing agricultural and vegetation drought conditions [16]. Integrating NDVI index and land surface temperature (LST) can provide more complete drought information, based on which research scholars have proposed many drought indices constructed from NDVI index and LST. The most representative one is the temperature vegetation drought index (TVDI) [17], which has been used by many scholars at home and abroad for drought monitoring at different spatial and temporal scales. Li Suyun et al. [18] used Suomi NPP/VIIRS data for June-August drought monitoring in the eastern region of Qinghai Province, and the TVDI index was examined to be the index with the highest accuracy among all drought index models, and the inversion results were consistent with the actual drought conditions. Shi et al. [19], in the drought monitoring of Eurasia in April-September during the period from 2005 to 2014, used the Vegetation Index Trapezoidal Trapezoidal Feature Space (VITT) to complete the calculation of TVDI index and discuss the performance and performance of TVDI index in Asia and Europe. Gao et al. [20] used the constraint line method to improve on the original TVDI index model and evaluated the spatial and temporal characteristics of drought in the Yellow River Basin. Wang Pengxin et al. [21] used NOAA-AVHRR data for arithmetic to propose a drought monitoring index, namely the conditional vegetation temperature index (VTCI), which was successfully applied in drought monitoring in the Guanzhong Plain of Shaanxi. Li Li et al. [22] used the VTCI index to monitor the drought time series during the summer maize growing period in central Hebei and successfully tested the reliability of the VTCI index. Zhang and Jia [23] proposed a new microwave remote sensing drought index, the Microwave Integrated Drought Index (MIDI), which utilizes microwave sensor-obtained precipitation, soil moisture, and surface temperature for integration. It enhances the ability of timely monitoring of short-term drought in semi-arid regions of northern China. The data sources required for the integrated remote sensing drought monitoring index are easy to obtain and relatively uncomplicated to compute and operate, but its construction is usually related to the characteristics of the study area.
In this paper, Landsat series images (Landsat 7 ETM+, Landsat 8 OLI, Landsat 9 OLI-2 images) are used as the primary data source for drought monitoring and analysis. Laibin City, Guangxi Zhuang Autonomous Region, is selected as the study area for conducting drought monitoring based on multispectral remote sensing data. The TVDI drought index model was selected to analyze drought conditions in the vegetation areas of Laibin City, and suitable drought validation indexes are utilized to validate the accuracy of the drought monitoring model. The drought index with the highest accuracy is ultimately selected to complete the drought monitoring analysis of the vegetation in Laibin City for the year 2021, 2022 and 2023.The innovation of this article lies in verifying the applicability and superiority of TVDI in drought monitoring in Laibin City. Compared to indices such as RVI, NDWI, and VTCI, TVDI exhibits higher accuracy in reflecting the vegetation drought status in Laibin City. This finding fully demonstrates the significant advantages of TVDI in vegetation drought monitoring work in Laibin City. Through monitoring and analyzing the vegetation drought situation in Laibin City, we can conclude that TVDI, as a monitoring tool, performs better than other common indices such as RVI, NDWI, and VTCI. This indicates that TVDI has stronger sensitivity and reliability in capturing vegetation drought information, providing more accurate data support for vegetation drought monitoring in Laibin City. On this basis, we can better understand and evaluate the vegetation growth status in Laibin City, providing a scientific basis for agricultural irrigation, ecological environment protection, and other fields.
2. Study Area and Datasets
2.1. Overview of the Study Area
The study area of this paper is located in Laibin City, Guangxi Zhuang Autonomous Region, China. Laibin City is situated in the central zone of Guangxi, with geographic coordinates ranging from 23°16 N and 24°29 N latitude and between 108°24 E and 110°28 E longitude, covering a total land area of about 13,411 square kilometers [24]. The terrain of the region is complex, characterized by a mountainous and hilly landscape with continuous mountain ranges. Mountains and hills occupy a significant portion of the area, including 38.4% of mountains, 26.2% of hills, 22.5% of plains, 8.8% of tablelands, and a small portion of waters such as swamps and wetland lakes. The city is rich in agricultural resources, with soil thickness averaging about 50 cm. Laibin City is located in the transition region of a subtropical monsoon climate, experiencing a warm and humid climate influenced by the monsoon circulation in summer, which is dominated by sea-phase air masses. In winter, the city is more influenced by cold and dry continental air masses. The summer season is long, while winter is short, and rainfall and temperature exhibit contemporaneity. The region receives plentiful precipitation, which is favorable for crop growth and development. The climate and soil conditions of the region are conducive to sugarcane growth and sugar accumulation. Vegetation types are predominantly tropical and subtropical, including tropical rainforests, coniferous forests, and deciduous broad-leaved forests. The lush vegetation cover supports soil conservation and water retention. The city’s arable land covers approximately 400,000 hectares, with rice being a crucial component of grain cultivation and a significant rice-producing area in Guangxi Zhuang Autonomous Region. The forest area in the city spans 687,800 hectares, with a forest coverage rate of over 51.4%. In addition to this, the area of sugarcane cultivation area of around 117,000 hectares, making it one of the largest sugarcane production regions in Guangxi. As of 2018, the total population in Laibin City is 2.78 million, with the agricultural population constituting about 80% of the city’s total population. Therefore, drought monitoring is essential for local agricultural development and ecological management in Laibin City. The geographic location of the study area is illustrated in Figure 1. In addition, this article presents the changes in temperature and precipitation in Laibin City throughout 2021, sourced from the Xihe Energy Meteorological Big Data Platform (xihe-energy.com (accessed on 10 September 2024)), as shown in Figure 2 and Figure 3, for comparison and verification with the results obtained in the following sections.
Figure 1.
Geographic location of the study area and corresponding remote sensing image.
Figure 2.
Monthly Temperature Changes in Laibin City in 2021.
Figure 3.
Monthly PrecipitationChanges in Laibin City in 2021.
2.2. Data Sources
In order to conduct a drought monitoring study of Laibin City based on multispectral remote sensing data, three data sources are selected in this paper. (1) Landsat 7 ETM+, Landsat 8 OLI, and Landsat 9 OLI-2 images are used as the main data sources for drought analysis in Laibin City. (2) Sentinel-2 images are used to provide data sources for the analysis of the landforms in Laibin City. Remote sensing satellite images with no cloud cover are preferred as the data for this paper’s drought monitoring and analysis study. Cloud cover leads to incomplete pixel information extraction and calculation, subsequently compromising the accuracy of subsequent drought monitoring results. (3) The RSM data is sourced from the China Meteorological Data Network (CMDN) and the near real-time product dataset of the China Meteorological Administration’s Land Surface Data Assimilation System (CLDAS-V2.0). For correlation analysis, this article utilizes the relative humidity data of 0–10 cm and 0–20 cm soil layers collected during the same period as the monitoring analysis. Soil relative humidity (RSM) stands as a crucial indicator for synthesizing monthly drought inversion data and assessing the severity of land drought. RSM denotes the percentage of soil moisture content relative to the field water holding capacity or saturated water content, primarily influenced by factors like precipitation, temperature, vegetation type, and terrain conditions. Therefore, RSM is a crucial indicator for characterizing agricultural drought conditions, and systematically analyzing the changes in soil relative humidity assists in accurately forecasting agricultural drought conditions. This method has been widely applied in agricultural drought mitigation practices [25].
In this study, the 2021, 2022, and 2023 satellite data of Landsat 7, 8, and 9 obtained from the USGS website (https://earthexplorer.usgs.gov/ (accessed on 5 March 2024)) were selected as the main images for drought monitoring and analysis in Laibin City. Additionally, the Sentinel-2 image with higher resolution was chosen for vegetation area classification. This image served as a template to provide support data for further analysis and research on vegetation drought monitoring in Laibin City. Data selection is shown in Table 1. Furthermore, sample data collected during a field trip in 2020 were utilized to accurately understand the distribution of feature types in Laibin City. Data preprocessing involved radiometric calibration of remote sensing images, atmospheric correction, and the calculation of NDVI and LST month-by-month data to facilitate data support for drought monitoring in the future.
Table 1.
Satellite and terrestrial data for guest cities.
Among them, is one of the most representative drought indices in vegetation drought monitoring. It is derived from the reflection characteristics of the red band and the near-infrared band for green vegetation. is a quantitative index that measures the difference between the near-infrared band and the red band.The expression of is:
The land surface temperature (LST) often plays a crucial role in drought monitoring. At present, there are three main methods for surface temperature inversion based on remotely sensed data: the radiative transfer equation method, the single-window algorithm, and the split-window algorithm. In this study, we choose to use the radiative transfer equation method to invert the surface temperature of Laibin City in the research area.
This article generates 16 day NDVI data based on Landsat series remote sensing data, and uses the radiative transfer equation method to invert the surface temperature of Laibin City in the study area, obtaining 16 day LST data. Using the maximum synthesis method in software ENVI 5.6 to generate NDVI and LST monthly data for Laibin City, providing data support for subsequent drought monitoring.
3. Tvdi-Based Drought Index Monitoring
Vegetation types typically indicate drought conditions. By analyzing the distribution of vegetation in Laibin City, we can better understand the local drought situation and effectively implement agricultural management and drought prevention. In this research, the multilayer convolutional recurrent neural network (HCRNN) proposed by Xiangsuo Fan was uesd to classify the land vegetation cover in Laibin City for the years 2017, 2019, and 2021 [26]. The vegetation areas identified in Laibin City using this algorithm were then overlaid and analyzed with the inversion results of Laibin City based on the TVDI index to conduct a comprehensive study on vegetation drought in Laibin City.The classification accuracy is shown in Table 2.
Table 2.
Classification results of different classification methods on the Laibin 2019 dataset.
This article employs Pearson correlation analysis to assess the precision of the relationship between four drought monitoring indices and soil relative humidity. The correlation coefficient (r) is a statistical measure that quantifies the strength and direction of the linear relationship between two variables, with values ranging from −1 to 1. A correlation coefficient of 0 indicates no linear correlation between the two variables, while a value of −1 signifies a complete negative correlation, and a value of 1 denotes a complete positive correlation. The closer the absolute value of the correlation coefficient is to 1, the stronger the correlation; conversely, the closer it is to 0, the weaker the correlation. The significance test is conducted to determine whether the correlation between two variables is significant. Its fundamental principle involves comparing the actual correlation coefficient with the theoretical distribution under the null hypothesis (i.e., assuming that the two variables are independent), in order to ascertain whether this correlation arises by chance. Additionally, Kendall’s tau-b correlation analysis was utilized to further validate the data obtained from Pearson correlation analysis. Kendall’s tau-b correlation analysis is also suitable for analyzing such data, and the Kendall’s tau-b correlation coefficient adheres to the same judgment criteria as the Pearson correlation coefficient.
3.1. Tvdi Drought Monitoring Index
3.1.1. Calculation of the Temperature Vegetation Drought Index (TVDI)
TVDI is a kind of drought monitoring index constructed based on the NDVI index and LST index. It utilizes vegetation conditions to indirectly reflect the soil’s water content. The feature space shows a specific distribution pattern, as depicted in Figure 4. As surface temperature rises, soil water evaporates faster due to the increased temperature. Conversely, when surface temperature decreases, the water evaporation rate slows down. The edge composed of the maximum surface temperature is termed the dry edge, while the opposite edge is the wet edge. In a defined state, the dry edge area represents arid regions with soil water content at a relative value of 0, whereas the wet edge area represents wet regions with soil water content at a relative value of 1. The closer the dry edge, the more severe the aridity; conversely, the closer the wet edge, the more humid the area. In practice, the NDVI-LST feature space is typically triangular or trapezoidal. The formula for calculating the index is as follows:
Figure 4.
Feature space of vegetation index and surface temperature (Brown represents arid areas, green represents humid areas).
In the above equation, represents the maximum value of surface temperature in an image element with the same value. is then the minimum value of surface temperature in image elements with the same value. A linear fit of the sum of the same values yields an expression for the wet and dry sides:
In the above equation, , , and are the fitting coefficients for the dry-side and wet-side equations, respectively.
3.1.2. Constructing the Feature Space
In practical applications, it is challenging for the study area to exhibit both extremely dry and extremely wet areas, resulting in the dry and wet edges in the NDVI−LST feature space not aligning perfectly as straight lines. To enhance the rationality of feature space construction, it is necessary to conduct reasonable data screening on NDVI and LST data. Specifically, we select monthly data from 2021 to 2023, carefully screen the quantity on a monthly basis, covering a total of 36 months, and employ the maximum synthesis method for data synthesis. Eliminating discrete point values and NDVI anomalies in the LST data is essential to enhance the alignment of the dry and wet edge equations in the NDVI−LST feature space.
Linear fitting was performed to obtain the NDVI-LST feature space. According to the definition, it can be observed that the surface moisture content becomes drier with the increase of surface temperature and wetter with the decrease of surface temperature. Additionally, the soil moisture content increases from top to bottom in the NDVI-LST feature space. The feature space, constructed based on the month-by-month data of NDVI and LST in Laibin City, is shown in Figure 5. Based on the constructed NDVI-LST feature space, it is evident that the linear relationship between NDVI and LST is more pronounced, and the scatter plot exhibits a trapezoidal distribution.
Figure 5.
The construction of NDVI−LST feature space in Laibin.
4. Results of the Experiment
4.1. Drought Classification
There is no fixed standard for drought classification based on drought monitoring index. It should be specifically analyzed according to the climatic, geographic, and ecological characteristics of the monitored area. The meaning of different drought detection indexes varies and needs to be analyzed and determined accordingly [27].
Qi Shuhua et al. [28] used the TVDI value as the basis for the division of the wet zone (TVDI value range 0–0.2), normal zone (TVDI value range 0.2–0.4), light drought zone (TVDI value range 0.4–0.6), medium drought zone (TVDI value range 0.6–0.8), and severe drought zone (TVDI value range 0.8–1.0). In this paper, the drought classification criteria proposed by Qi Shuhua were adopted for the drought classification of vegetation areas in Laibin City, as shown in Table 3.
Table 3.
Drought level description.
The monthly NDVI and LST data in Laibin City, synthesized during pre-processing, are utilized for calculating the TVDI index. The TVDI values of all image elements in Laibin City are then obtained to derive the monthly drought inversion results of the TVDI index in the city. These results are overlaid with vegetated areas to extract the drought inversion results of the TVDI index specifically for vegetated areas in Laibin City. A higher TVDI value indicates more severe drought in the region. It is evident from Figure 6 that the TVDI value of the central building land area is greater than that of the vegetated areas, aligning with the actual conditions.
Figure 6.
Maps of inversion results of Temperature Vegetation Drought Index (TVDI).
4.2. Comparison of Inversion Results
4.2.1. Image Comparison
In order to verify the superiority of TVDI in vegetation drought monitoring in Laibin City, this article compares its monitoring results with RVI, NDWI, and VTCI monitoring.RVI is a drought monitoring index calculated by dividing the reflectance value of the near-infrared band by the reflectance value of the red band. The NDWI index provides an effective and timely assessment of changes in vegetation water content, aiding in drought monitoring by identifying water-deficient vegetation and its growth status [29]. VTCI utilizes the different spectral reflectance characteristics of soil and vegetation in the red and near-infrared bands to construct a drought detection model based on surface temperature and vegetation index, monitoring drought severity through vegetation moisture content. This study focuses on the drought inversion results of vegetation areas in Laibin City in January 2023 for comparison. The results are illustrated in Figure 7.
Figure 7.
Drought inversion results of various indices in the vegetation area of Laibin City in January 2023.
4.2.2. Accuracy Comparison
Soil relative humidity is a crucial indicator that describes the water content in the soil, reflecting the degree of soil wetness. Relevant studies have shown a close correlation between the drought monitoring index and soil relative humidity, making it an important indicator for assessing drought conditions [30,31,32,33]. In comparing the accuracy of four drought monitoring models for drought inversion, this chapter utilizes correlation analysis of 0–10 cm and 0–20 cm RSM from the China Meteorological Data Network (CMDN) as a criterion to identify the most accurate drought monitoring model.
Select the inversion results of four drought indices in Laibin City for March and April 2022, and January 2023, and perform linear fitting with the corresponding soil relative humidity data (0–10 cm, 0–20 cm) at those times. The obtained Pearson correlation analysis results are shown in Table 4. Kendall’s tau-b correlation analysis was also conducted for validation and comparison, and the results were consistent. The results are shown in Table 5. According to the test results, there is a positive correlation between RVI, NDWI, and VTCI and soil relative humidity, meaning that as the index value increases, the soil relative humidity also rises, indicating a wetter region. Conversely, the correlation between the TVDI index and soil relative humidity is negatively correlated, indicating that a higher index value corresponds to lower soil relative humidity, suggesting a drier condition. Compared to the relative soil moisture at 0–20 cm, all four drought monitoring indices exhibit a stronger correlation with the relative soil moisture at 0–10 cm, suggesting that the drought index model is more sensitive to the relative soil moisture in shallower layers (0–10 cm). Among all indices, the TVDI index performs the best in the correlation test, demonstrating a high correlation, which verifies the strong association between the TVDI index and the relative soil moisture. In the significance test, all four drought monitoring indices passed the 90% significance level. Based on the above analysis, the TVDI index with the best performance is selected for vegetation drought monitoring in Laibin City.
Table 4.
Pearson correlation analysis results between different drought monitoring indicators and soil relative humidity.
Table 5.
Kendall’s tau-b correlation analysis results between different drought monitoring indicators and soil relative humidity.
4.3. Analysis of Spatial Variability in Drought
4.3.1. Month-by-Month Drought Changes in Vegetation in Laibin City
Based on the findings presented in the preceding sections, the research obtained month-by-month drought classification maps for Laibin City in the study region for the years 2021, 2022, and 2023. The analysis included calculating the proportion of area occupied by each drought class. The results of the drought monitoring indicated that the spatial characteristics of drought conditions in Laibin City over the past three years exhibited significant variability and regularity.
In 2021, severe drought conditions were observed in April, July, August, and September, with the proportion of severely affected areas exceeding 15%. Notably, July recorded the highest proportion of severe drought, covering 57.06% of the total area, indicating that more than half of the vegetation area in Laibin City experienced severe drought conditions. The severely affected areas were predominantly concentrated in the southwestern and east-central regions of the city. Moderate drought was prevalent in April, June, August, September, October, and November, with over 45% of the vegetation area experiencing such conditions. In September and November, more than 70% of the vegetation area was under moderate drought, with a small portion of the east-central area experiencing heavy drought. In March, the majority of vegetated areas exhibited light drought conditions, representing the highest proportion of light drought throughout the year at 60.85% of the total area. Additionally, the west-central and northeastern regions displayed a minor proportion of severe drought. Figure 8 shows the monthly drought level results of Laibin City in 2021. Figure 9 depicts the variation in the percentage of drought-affected area in Laibin City in 2021.
Figure 8.
Month-by-month drought level results of vegetation in Laibin in 2021.
Figure 9.
Map of changes in the percentage of drought area of vegetation in Laibin by month in 2021.
In 2022, Laibin City experienced varying levels of drought conditions across different months. In January and February, a large area faced light drought conditions or higher, with moderate drought affecting parts of the vegetation area. The proportion of the area experiencing moderate drought was 10.72% and 32.83%, while the proportion facing light drought was 53.10% and 29.69% during these months, respectively. By March, the central and eastern parts of the vegetation area encountered moderate drought, covering 25.57% of the region, with most areas experiencing light drought and no drought in the eastern part of the city. In April, drought conditions worsened on a small scale, progressing from moderate to severe drought in the central and eastern parts. By May, the drought began to alleviate, particularly in the eastern region, which showed signs of relative wetness. However, in June, the drought intensified significantly, leading to a large area experiencing severe drought, reaching the highest percentage in the past three years. July saw a slight relief in drought conditions compared to June, with most areas in the vegetation zone facing light drought (64.79% of the area), while moderate drought was concentrated in the central and eastern parts, covering 25.47% of the region. By November, half of the area experienced drought conditions of medium drought level or higher, with severe drought affecting a larger area, accounting for 30.62% of the region. In December, there was a significant alleviation of drought conditions, with the eastern region no longer facing drought and wet areas emerging. Figure 10 shows the monthly drought level results of Laibin City in 2022. Figure 11 illustrates the fluctuation in the ratio of drought-affected areas in Laibin City throughout 2022.
Figure 10.
Month-by-month drought level results of vegetation in Laibin in 2022.
Figure 11.
Map of changes in the percentage of drought area of vegetation in Laibin by month in 2022.
In 2023, there was no significant drought in January, and the vegetation area of Laibin City remained normal and locally wet. The drought worsened in February, with most of the area experiencing moderate drought. In March, the drought eased, with large areas of light drought in the eastern part of the city. In April, the situation worsened, with light drought prevailing, and moderate drought in the central, east-central, and northwestern parts of the city, accounting for 39.54% of the area. In May, the drought continued to worsen, transitioning from medium drought in April to severe drought in most areas of the vegetation in Laibin City, with medium drought covering 68.66% of the total area. The drought persisted in June, July, August, and September, mainly as medium drought. The largest area of severe drought was recorded in June, covering 30.04% of the area. In August, the largest area of medium drought was observed, also covering 30.04% of the area. The most extensive moderate drought area was recorded in August, accounting for 78.27% of the area. In October, the drought significantly eased, while in November, light drought dominated. In December, the drought intensified, with moderate drought prevailing, covering 73.12% of the area. Notably, in the last three years, only in 2023, there was a significant drought in December in the vegetation area of Laibin City. Figure 12 shows the monthly drought level results of Laibin City in 2023. Figure 13 illustrates the change in the proportion of the drought area in Laibin City in 2023.
Figure 12.
Month-by-month drought level results of vegetation in Laibin in 2023.
Figure 13.
Map of changes in the percentage of drought area of vegetation in Laibin by month in 2023.
4.3.2. Seasonal Changes in Vegetation in Laibin
Based on the month-by-month drought results of the vegetation areas in Laibin City from 2021 to 2023, the mean values were taken to synthesise a quarterly drought rating results map of the vegetation in Laibin City for each quarter, which is detailed in Figure 14.
Figure 14.
Map of quarterly drought level results of vegetation areas in Laibin in the last three years.
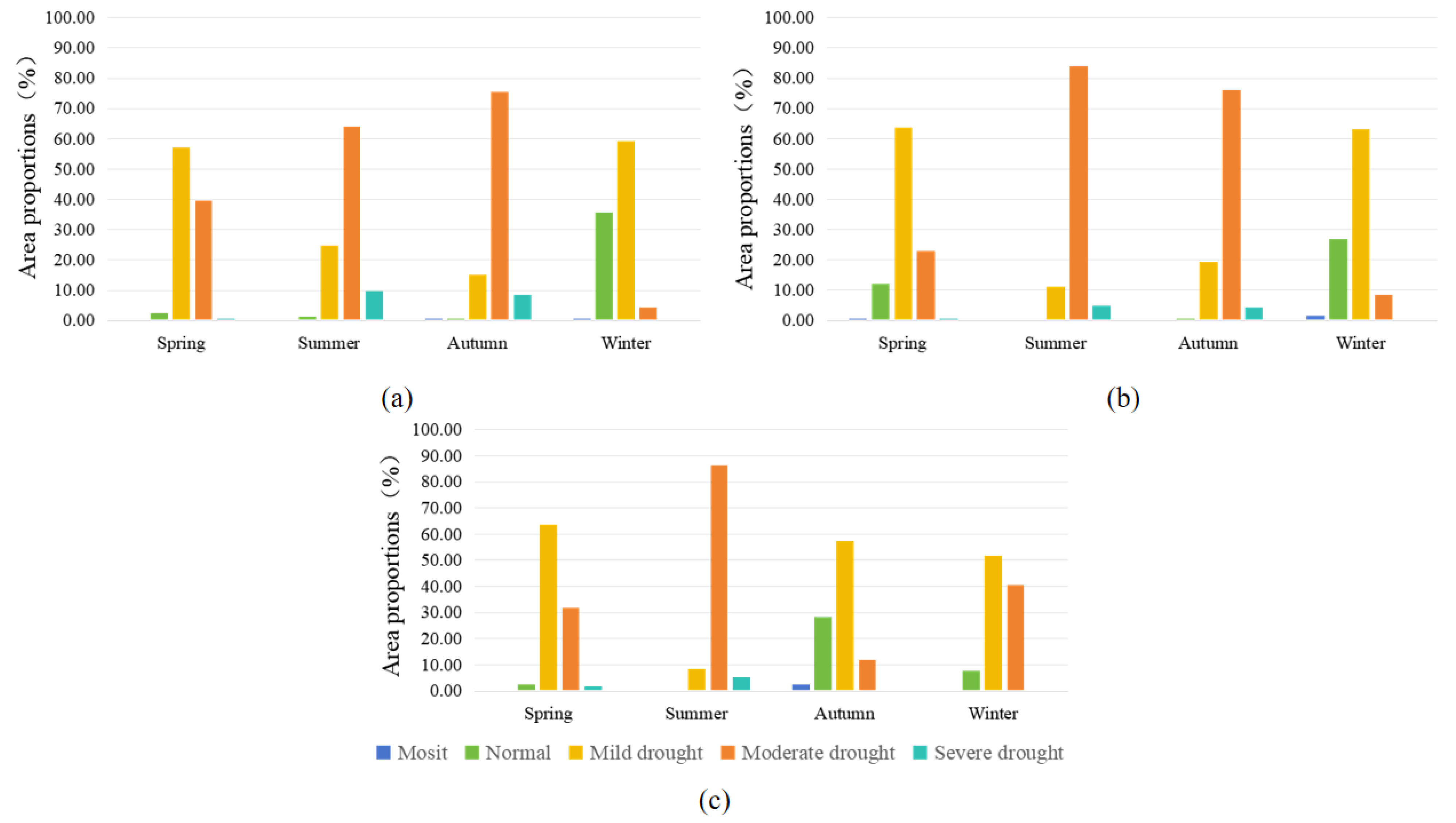
Between 2021 and 2023, Laibin City experienced varying drought conditions. For specific information, refer to Figure 15. Moderate drought prevailed during summer and autumn, while winter was typically the wettest season. Instances of three consecutive years of moderate or higher drought were common in summer. In spring 2021, moderate drought affected the southwestern and east-central regions of Laibin City’s vegetation area, with the rest experiencing mostly light drought. About 39.44% of the area was affected by moderate drought. In summer, severe drought hit the east-central part, covering 9.73% of the area, while moderate drought affected 64.15%. Autumn saw severe drought in some central and western areas, with most of the region experiencing moderate drought, totaling 75.59%. Winter brought relief with mostly mild conditions, and normal to wet areas covered 36.53%, the highest proportion in three years. In 2022, over 70% of the area faced moderate drought during summer and autumn, with severe drought in the east-central region. Summer 2023 was the most extensive drought period in three years, with 86.2% experiencing moderate drought and severe drought in the east-central area. However, autumn 2023 had the least drought in three years, with normal and wet conditions prevailing in the east. Summer has consistently been the most drought-prone season, especially in the east-central part of Laibin City’s vegetation area.
Figure 15.
Changes in the percentageof drought area of vegetation in Laibin by season in the last three years: (a) Map of changes in the percentage of drought area of vegetation in Laibin by season in 2021; (b) Map of changes in the percentage of drought area of vegetation in Laibin by season in 2022; (c) Map of changes in the percentage of drought area of vegetation in Laibin by season in 2023.
4.3.3. Year-by-Year Changes in Vegetation in Laibin
The drought classification outcomes for the Laibin vegetation region were analyzed quarterly from 2021 to 2023. By averaging these results, an overview of the annual drought classes for the region was obtained, as illustrated in Figure 16.
Figure 16.
Map of yearly drought level results of vegetation areas in Laibin City in the last three years.
During the period of 2021–2023, the predominant drought categories experienced in the vegetation area of Laibin City were classified as light drought and moderate drought. Moderate drought conditions were more prevalent in the eastern-central, central, and southwestern sectors of the Laibin City vegetation region. Conversely, localized regions exhibited normal performance with no drought occurrences, while the remaining areas of the region were primarily characterized by light drought conditions.
The data presented in Figure 17 illustrates the distribution of vegetation areas in Laibin City over the last three years. The analysis reveals that wet areas in the region have been scarce during this period. Conversely, normal areas have shown a relatively consistent presence, comprising 1.52%, 2.82%, and 2.45% of the total area in each respective year. Notably, the predominant category within the vegetation area of Laibin City has been mild drought, encompassing over half of the total area. Specifically, in 2021, 508,174.47 hectares (ha) were classified as mild drought, constituting 52.09% of the area; in 2022, this figure increased to 575,452.26 ha, representing 58.99% of the area; and in 2023, the mild drought area covered 61.7 ha. Light drought areas in 2023 accounted for 619,706.70 ha, making up 65.53% of the total area, marking the largest extent of medium drought observed in the past three years. The significance of the medium drought category is evident, with 46.37% of the vegetation area in Laibin City classified as medium drought in 2021, totaling 452,331.72 ha. In 2022 and 2023, the medium drought areas covered 372,092.67 ha and 331,851.69 ha, respectively, accounting for 38.14% and 34.02% of the total area. Notably, severe drought areas have not been prominently observed in the region over the past three years.
Figure 17.
Map of changes in the percentage of drought area of vegetation in Laibin by year.
4.4. Analysis of Spatial Variability in Drought
4.4.1. Month-by-Month Drought Changes in Vegetation in Laibin City
Based on the inverse calculation of the month-by-month drought monitoring results of Laibin City in 2021, 2022, and 2023, the mean TVDI values of the month-by-month data were calculated to complete the analysis of the month-by-month drought changes in the vegetation areas of Laibin City.
As illustrated in Figure 18, there was no significant change in the monthly mean TVDI values in January, February, and March of 2021. The monthly mean TVDI values were 0.42, 0.49, and 0.50, respectively, showing a relatively gradual change. The drought conditions were essentially normal in January, and mild drought conditions were observed in February and March. The TVDI value for April increased compared to March, reaching 0.76, marking the most severe drought month in 2021. The average TVDI values for May and June showed minimal fluctuations, at 0.51 and 0.60, respectively, indicating light drought conditions. However, there was a noticeable contrast between June and July, with signs of worsening conditions. The average TVDI values for July, August, September, October, and November remained relatively stable, indicating five consecutive months of moderate drought. In December, the drought conditions improved significantly compared to the previous months, reducing the drought level to mild.The data is basically consistent with the temperature and precipitation changes shown in Figure 2 and Figure 3.
Figure 18.
Changes in mean TVDI values of vegetation areas in Laibin by month in the last three years.
In 2022, the drought conditions in January and February remained basically unchanged, both classified as mild droughts. The mean TVDI value in March slightly increased compared to February, also categorized as a mild drought. The changes in mean TVDI values in March and April were minimal, with values of 0.52 and 0.60, respectively, both indicating mild drought conditions. May showed slight improvement compared to April, with mean TVDI values approaching normal levels. However, in June, drought conditions worsened significantly, with a mean TVDI value of 0.85, marking the most severe drought in a single month in 2022 and the highest level in the past three years, classified as a severe drought. July saw considerable improvement compared to June, with the mean TVDI value dropping to 0.54, indicating mild drought conditions. Drought conditions deteriorated in August, September, October, and November, with moderate drought conditions in all months except for September. By December, the mean TVDI value decreased, leading to an improvement in drought conditions, which were reduced to a mild drought.
In 2023, the drought conditions varied throughout the year. In January, conditions were normal. By February, the mean TVDI value sharply increased to 0.70, indicating moderate drought. In March, conditions improved significantly, characterized as mild drought. April saw a significant increase in TVDI value, still in the mild drought range but nearing moderate levels. By May, conditions worsened, reaching the year’s TVDI threshold for moderate drought. June, July, and August maintained the moderate drought status. September saw improvement, dropping to light drought. October and November remained at a light drought level. December showed a fluctuation, starting as a moderate drought but then increasing again to moderate levels.
Over the period spanning 2021 to 2023, Laibin City experienced varying degrees of drought conditions, with 19 months classified as light drought, 15 months as moderate drought, 1 month as severe drought, and 1 month as normal. The prevailing pattern of drought in Laibin City oscillates between light, moderate, and severe categories, with the months from April to October witnessing frequent drought occurrences. Notably, August consistently experienced moderate drought conditions over the three-year period and emerged as a month with high drought frequency. Conversely, the occurrence of severe droughts was infrequent during the months of January to March, with no instances of light drought or higher severity levels observed in January and March over the same period. These months generally exhibited wetter conditions compared to other months, with February being the only exception, experiencing mild drought conditions. Overall, January and March in the past three years have not encountered drought conditions beyond the mild category, with no significant drought-related disasters reported, indicating a relatively wetter climate during these months.
4.4.2. Seasonal Changes in Vegetation in Laibin
Assessing and analyzing drought based on quarterly data is crucial for the sustainable development of the ecological environment and agricultural production, considering the specific characteristics of agricultural production and plant growth. By examining the vegetation data in Laibin City on a monthly basis, the average Transformed Vegetation Drought Index (TVDI) values per quarter for the years 2021, 2022, and 2023 were calculated, as illustrated in Figure 19.
Figure 19.
Changes in mean TVDI values by quarter for vegetation areas in Laibin from 2021 to 2023.
The average TVDI of Laibin City in the four seasons from 2021 to 2023 exhibited notable fluctuations. Mild droughts occurred 7 times across the four seasons of spring, summer, autumn, and winter, whereas moderate droughts occurred 5 times. There were no seasons experiencing severe droughts. Due to the prevalence of droughts in summer and autumn, drought disasters struck in the summers of 2021, 2022, and 2023, all at the moderate drought level. The autumns of 2021 and 2022 also witnessed moderate drought conditions. Since the growing seasons of crops and plants are predominantly in summer and autumn, vegetation areas in Laibin City, such as forests, sugarcane, and rice fields, are frequently impacted by drought disasters, thereby exerting a significant impact on the ecological environment and agricultural economy.
4.4.3. Year-by-Year Changes in Vegetation in Laibin
The synthetic analysis of quarterly TVDI data related to vegetation in Laibin City enabled the determination of the year-by-year mean TVDI values in the region from 2021 to 2023. The graphical representation of this data revealed that the mean TVDI values for the years 2021, 2022, and 2023 were 0.61, 0.59, and 0.58, respectively. These values showed minimal fluctuation and a narrow range of changes, indicating a relatively consistent trend. This analysis suggests that Laibin City has experienced prolonged periods of drought over the past three years, with the mean TVDI value placing it within the medium drought classification or in close proximity to it. Such conditions have significant implications for the local ecological landscape and agricultural activities. Figure 20 illustrates the year-on-year variations in the mean TVDI value of vegetation in Laibin City.
Figure 20.
Changes in mean TVDI by year for vegetation areas in Laibin from 2021 to 2023.
4.5. Discuss
This experiment compared the accuracy of four drought indices, namely TVDI, RVI, NDWI, and VTCI, in detecting vegetation drought in Laibin City. TVDI demonstrated a strong negative correlation in Pearson’s correlation studies. Specifically, in March and April 2022, as well as January 2023, the Pearson correlation coefficients with the relative humidity of the 0-10cm soil layer were −0.79, −0.82, and −0.774, respectively; Kendall’s tau-b correlation coefficients were −0.649, −0.66, and −0.628. When considering the same months, the Pearson correlation coefficients with the 0–20 cm soil layer were −0.783, −0.795, and −0.525; Kendall’s tau-b correlation coefficients were −0.614, −0.621, and −0.68. The other three indices exhibited a positive correlation, with their absolute values all being lower than that of TVDI. Therefore, it is evident that TVDI demonstrates a higher correlation in reflecting soil relative humidity. Compared to the other three drought indices, TVDI exhibits higher sensitivity and accuracy in capturing vegetation drought conditions, effectively reflecting the degree of drought in different regions of Laibin City.
However, despite TVDI’s advantages in detecting vegetation drought, it also faces some limitations in practical applications. The calculation of TVDI relies on vegetation coverage, and different vegetation types exhibit varying responses to drought, potentially leading to suboptimal performance of TVDI on specific vegetation types. Additionally, the spatial resolution of remote sensing data affects the accuracy of TVDI. At lower spatial resolutions, TVDI struggles to detect drought conditions in small areas, thereby compromising the accuracy of drought monitoring. The calculation of TVDI involves surface temperature, which is influenced by various factors such as atmosphere, soil, and vegetation, potentially causing errors in reflecting drought conditions. To address these shortcomings, future research can further optimize the calculation method of TVDI by incorporating measured soil moisture data, enhancing the temporal resolution and spatial coverage of remote sensing data, and integrating multiple drought indices for multi-source data fusion. This approach aims to improve the accuracy and practicality of vegetation drought detection.
5. Conclusions
This study focuses on Laibin City and uses Landsat and Sentinel-2 remote sensing data for drought analysis. Obtain remote sensing images from the official websites of USGS and ESA, and produce NDVI and LST data. Through correlation analysis, TVDI was selected as the drought monitoring indicator to monitor vegetation drought in Laibin City from 2021 to 2023. Draw the following conclusion:
- (1)
- TVDI was compared with RVI, NDWI, and VTCI indices in Pearson correlation analysis and Kendall’s tau-b correlation analysis, and showed a strong negative correlation with soil relative humidity data, demonstrating the applicability and superiority of TVDI in drought monitoring in Laibin City.
- (2)
- From the perspective of spatial changes, Laibin City experienced varying degrees of drought between 2021 and 2023. In July 2021, the area experiencing severe drought was the largest, accounting for 57.06%, primarily in the southwest and central-eastern regions. From April to November, the area affected by moderate drought exceeded 45%, with September and November seeing over 70% of the area affected. The area experiencing mild drought was the largest in March, accounting for 60.85%. In January and February 2022, the area affected by mild drought or worse was extensive, and in June, the proportion of severe drought reached 87.89%, the highest in the past three years. The drought persisted from July to November, with conditions easing in December. In January 2023, there was no drought, but from February to September, moderate drought was prevalent. The areas affected by severe and moderate drought in June and August were the largest during the year. The drought situation eased in October, with mild drought prevailing in November, and in December, 73.12% of the area was affected by moderate drought, marking the only significant drought in December over the past three years.
- (3)
- From the perspective of temporal changes, the drought situation in Laibin City from 2021 to 2023 mainly manifests as mild and moderate droughts, with less severe droughts. The period from April to October every year is a period of frequent droughts, with moderate droughts occurring in August for three consecutive years. There is less drought in winter, and there have been no droughts above the mild level in January and March during these three years. According to TVDI data, the average annual TVDI values for 2021, 2022, and 2023 are 0.61, 0.59, and 0.58, respectively, indicating a relatively stable drought trend. Laibin City is located in a monsoon-affected area, where there is a lack of water vapor transport in summer and autumn. In addition, long sunshine hours and high evaporation lead to frequent droughts, which have an impact on the ecological environment and agricultural economy.
The significant changes in drought severity in Laibin City between 2021 and 2023 may primarily be attributed to its location in a monsoon-affected area, where rainfall distribution is extremely uneven, leading to a lack of water vapor transport during summer and autumn. The subtropical region where Laibin City is situated features long sunshine hours, high relative temperatures, and a high average evaporation rate. These factors, when combined, have resulted in frequent droughts during summer and autumn in Laibin City. In 2021, most regions of the world experienced greater drought than usual.The precipitation pattern in 2021 was influenced by climate change and La Niña events, leading to river flows below the long-term average. This climate change has had a more severe impact on the ecosystems of arid regions. These studies underscore the influence of climate change on the regional differentiation characteristics and driving factors of arid regions, further corroborating the close relationship between climate change and drought.
This study employed Landsat series remote sensing imagery and the TVDI index to monitor and analyze vegetation drought in Laibin City from 2021 to 2023. Last but not least, there are still some shortcomings in this article that need to be improved in future research.For instance, some image data may exhibit significant cloud cover. This cloud cover results in incomplete extraction and calculation of pixel information, subsequently impacting the accuracy of subsequent drought monitoring results. In future research, we can concentrate on devising effective solutions to address the issue of cloud cover and adopt measures to mitigate its negative effects, thereby enhancing the precision and reliability of calculation outcomes.
Author Contributions
Conceptualization, X.F., Y.Z., L.C., P.L., Q.L. and X.Z.; methodology, X.F., Y.Z., L.C. and Q.L.; software, X.F., Y.Z., L.C., P.L., Q.L. and X.Z.; formal analysis, X.F., Y.Z., L.C., P.L., Q.L. and X.Z.; investigation, X.F., Y.Z., L.C., P.L., Q.L. and X.Z.; resources, X.F., P.L., Q.L. and X.Z.; data curation, X.F., Y.Z., L.C., P.L., Q.L. and X.Z.; writing—original draft preparation, X.F., Y.Z., L.C., P.L., Q.L. and X.Z.; writing—review and editing, X.F., Y.Z., L.C., P.L., Q.L. and X.Z. All authors have read and agreed to the published version of the manuscript.
Funding
This work is the result of the research project funded by the Guangxi Key Research and Development Program (AB24010312), the Central guidance local science and technology development fund projects (2023JRZ0102) and the Open Project Fund for Key Laboratory of Disaster Prevention & Mitigation and Prestress Technology of Guangxi Colleges and Universities(GXKDTJ018).
Institutional Review Board Statement
Not applicable.
Informed Consent Statement
Not applicable.
Data Availability Statement
The original contributions presented in the study are included in the article, further inquiries can be directed to the corresponding author.
Conflicts of Interest
Author Xueqiang Zhao was employed by the company China Water Resources Pearl River Planning Surveying & Designing Co., Ltd. The remaining authors declare that the research was conducted in the absence of any commercial or financial relationships that could be construed as a potential conflict of interest.
Abbreviations
The following abbreviations are used in this manuscript:
| TVDI | Temperature Vegetation Drought Index |
| NDVI | Normalised Difference Vegetation Index |
| LST | Land Surface Temperature |
| RSM | Relative Soil Moisture |
| RVI | Ratio Vegetation Index |
| NDWI | Normalized Difference Water Index |
| VTCI | Conditional Vegetation Temperature Index |
| CMDN | China Meteorological Data Network |
References
- Mishra, A.K.; Singh, V.P. A review of drought concepts. J. Hydrol. 2010, 391, 202–216. [Google Scholar] [CrossRef]
- Wilhite, D.A.; Svoboda, M.D.; Hayes, M.J. Understanding the complex impacts of drought: A key to enhancing drought mitigation and preparedness. Water Resour. Manag. 2007, 21, 763–774. [Google Scholar] [CrossRef]
- Chen, H.; Zhang, H.; Liu, R.; Yu, W. Monitoring, Early Warning, and Disaster Damage Assessment of Agricultural Drought in China. Technol. Rev. 2009, 27, 82–92. [Google Scholar]
- McKee, T.; Doesken, N.; Kleist, J. The Relationship of Drought Frequency and Duration to Time Scales. In Proceedings of the 8th Conference on Applied Climatology, Anaheim, CA, USA, 17–22 January 1993; AMS: Boston, MA, USA, 1993; pp. 179–184. [Google Scholar]
- Vicente-Serrano, S.M.; Beguería, S.; López-Moreno, J.I. A multiscalar drought index sensitive to global warming: The standardized precipitation evapotranspiration index. J. Clim. 2010, 23, 1696–1718. [Google Scholar] [CrossRef]
- Xu, L.; Wang, H.; Duan, Q.; Ma, J. Spatial and temporal characterisation of summer maize growing season drought in Yunnan Province based on SPEI. Resour. Sci. 2013, 35, 1024–1034. [Google Scholar]
- Yuan, X.; Li, J. Research on agricultural drought monitoring methods. Technol. Innov. Appl. 2021, 11, 88–92. [Google Scholar]
- Pearson, R.L.; Miller, L.D. Remote Mapping of Standing Crop Biomass for Estimation of the Productivity of the Shortgrass Prairie, Pawnee National Grasslands, Colorado; CABI Digital Library: Wallingford, UK, 1972. [Google Scholar]
- Rouse, J.W., Jr.; Haas, R.H.; Deering, D.; Schell, J.; Harlan, J.C. Monitoring the Vernal Advancement and Retrogradation (Green Wave Effect) of Natural Vegetation; Technical Report; NASA: Washington, DC, USA, 1974. [Google Scholar]
- Kogan, F.N. Application of vegetation index and brightness temperature for drought detection. Adv. Space Res. 1995, 15, 91–100. [Google Scholar] [CrossRef]
- de Santana, F.C.; de Oliveira Torres, L.R.; Shinagawa, F.B.; de Oliveira e Silva, A.M.; Yoshime, L.T.; de Melo, I.L.P.; Marcellini, P.S.; Mancini-Filho, J. Optimization of the antioxidant polyphenolic compounds extraction of yellow passion fruit seeds (Passiflora edulis Sims) by response surface methodology. J. Food Sci. Technol. 2017, 54, 3552–3561. [Google Scholar] [CrossRef]
- Roberts, D.; Green, R.; Adams, J. Temporal and spatial patterns in vegetation and atmospheric properties from AVIRIS. Remote Sens. Environ. 1997, 62, 223–240. [Google Scholar] [CrossRef]
- Chandrasekar, K.; Srikanth, P.; Chakraborty, A.; Choudhary, K.; Ramana, K. Response of crop water indices to soil wetness and vegetation water content. Adv. Space Res. 2022, 73, 1316–1330. [Google Scholar] [CrossRef]
- Gao, B.C. NDWI—A normalized difference water index for remote sensing of vegetation liquid water from space. Remote Sens. Environ. 1996, 58, 257–266. [Google Scholar] [CrossRef]
- Li, Z.; Qin, Q.; Tong, Q.; Wang, J.; Zhu, L.; Kasimu, A.; Ghulam, A. A method for remote sensing monitoring of canopy moisture in fully covered vegetation: Shortwave infrared vertical water loss index. Chin. Sci. Vol. D 2007, 37, 957–965. [Google Scholar] [CrossRef]
- Wen, Q.; Sun, P.; Zhang, Q.; Liu, J.; Shi, P. Construction and application of agricultural drought monitoring model based on multi-source remote sensing data. J. Ecol. 2019, 39, 7757–7770. [Google Scholar]
- Sandholt, I.; Rasmussen, K.; Andersen, J. A simple interpretation of the surface temperature/vegetation index space for assessment of surface moisture status. Remote Sens. Environ. 2002, 79, 213–224. [Google Scholar] [CrossRef]
- Li, S.; Chen, G.; Zhu, C.; Qiao, B.; Shi, F.; Cao, X.; Zhou, B. Application research on summer soil moisture monitoring model in eastern agricultural areas of Qinghai Province based on Suomi NPP/VIIRS data. Agric. Res. Arid. Areas 2023, 41, 298–306. [Google Scholar]
- Shi, S.; Yao, F.; Zhang, J.; Yang, S. Evaluation of temperature vegetation dryness index on drought monitoring over Eurasia. IEEE Access 2020, 8, 30050–30059. [Google Scholar] [CrossRef]
- Gao, Y.; Fu, S.; Cui, H.; Cao, Q.; Wang, Z.; Zhang, Z.; Wu, Q.; Qiao, J. Identifying the spatio-temporal pattern of drought characteristics and its constraint factors in the Yellow River Basin. Ecol. Indic. 2023, 154, 110753. [Google Scholar] [CrossRef]
- Wang, P.; Gong, J.; Li, X. Conditional Vegetation Temperature Index and Its Application in Drought Monitoring. J. Wuhan Univ. (Inf. Sci. Ed.) 2001, 26, 412–418. [Google Scholar]
- Li, L.; Xu, L.; Wang, P.; Qi, X.; Wang, L. Research on Drought Prediction of Summer Corn Growth Season Based on Conditional Vegetation Temperature Index. Trans. Chin. Soc. Agric. Mach. 2020, 51, 139–147. [Google Scholar]
- Zhang, A.; Jia, G. Monitoring meteorological drought in semiarid regions using multi-sensor microwave remote sensing data. Remote Sens. Environ. 2013, 134, 12–23. [Google Scholar] [CrossRef]
- Yang, Y.; Zhang, H.; Cheng, Y.; Liao, L.; Yang, J.; Deng, S.; Xie, X. Response of sugarcane growth to meteorological drought in Laibin City, Guangxi based on DSSAT Canegro model. Trans. Chin. Soc. Agric. Eng. 2022, 38, 119. [Google Scholar]
- Wang, S.; Zhang, C.; Song, L.; Li, Y.; Feng, J.; Wang, J. Research on the Relationship between Multiscale Meteorological Drought and Soil Relative Humidity. Glaciol. Geocryol. 2013, 35, 865–873. [Google Scholar]
- Fan, X.; Chen, L.; Xu, X.; Yan, C.; Fan, J.; Li, X. Land Cover Classification of Remote Sensing Images Based on Hierarchical Convolutional Recurrent Neural Network. Forests 2023, 14, 1881. [Google Scholar] [CrossRef]
- Jiang, L.; Wang, P.; Jiang, L.; Gong, L.; Li, X.; Zhang, H.; Wang, X. Application of Temperature Vegetation Drought Index (TVDI) in Agricultural Drought Monitoring. Chin. Agric. Sci. Bull. 2021, 37, 132–139. [Google Scholar]
- Qi, S.; Wang, C.; Niu, Z. Research on National Drought Monitoring Using Temperature Vegetation Drought Index (TVDI). J. Remote Sens. 2003, 05, 420–427+436. [Google Scholar]
- Zhang, M.; Zhang, X.; Hu, G.; Wang, N. Applicability analysis of remote sensing drought index in drought monitoring of apples in Luochuan. Remote Sens. Technol. Appl. 2021, 36, 187–197. [Google Scholar]
- Zhao, J.; Guo, E.; Wang, Y.; Kang, Y.; Gu, X. Ecological drought monitoring of vegetation growth season in Inner Mongolia based on nuclear temperature vegetation drought index. J. Appl. Ecol. 2023, 34, 2929–2937. [Google Scholar] [CrossRef]
- Yang, L.; Hou, C.; Zhao, M.; Bai, Y.; Su, Z. Research on soil moisture content inversion in arid areas based on Landsat-8 imagery. Chin. J. Soil Sci. 2021, 52, 47–54. [Google Scholar] [CrossRef]
- Yan, F.; Wang, Y. Estimation of soil moisture from Ts-EVI feature space. Acta Ecol. Sin. 2009, 9, 4884–4891. [Google Scholar]
- Chen, J.; Wang, C.; Jiang, H.; Mao, L.; Yu, Z. Estimating soil moisture using Temperature–Vegetation Dryness Index (TVDI) in the Huang-huai-hai (HHH) plain. Int. J. Remote Sens. 2011, 32, 1165–1177. [Google Scholar] [CrossRef]
Disclaimer/Publisher’s Note: The statements, opinions and data contained in all publications are solely those of the individual author(s) and contributor(s) and not of MDPI and/or the editor(s). MDPI and/or the editor(s) disclaim responsibility for any injury to people or property resulting from any ideas, methods, instructions or products referred to in the content. |
© 2024 by the authors. Licensee MDPI, Basel, Switzerland. This article is an open access article distributed under the terms and conditions of the Creative Commons Attribution (CC BY) license (https://creativecommons.org/licenses/by/4.0/).



















