Using the Erratic Application of Solar Photovoltaic Panel Installations to Power Agricultural Submersible Pumps in Deep Wells in Order to Extend Productive Times and Boost Water Production
Abstract
1. Introduction
2. Related Work
3. Material and Method
Components of a Solar Water Pumping Station
- The inclination angle:
- The nominal current of the pump, which is greater than the inverter output pump efficiency, is calculated as follows.
- The losses are divided into two types [17]:
- 1.
- Principal losses, which result from friction losses and can be calculated from Darcy Weissberg’s law.
- 2.
- Losses caused by fittings, valves, or pipe bending as shown in Figure 4.
4. Solar Pumping System Design
- The first case involves a system with a natural design and knowledge of its productivity;
- The second instance involves positioning solar panels at various angles and analyzing the system’s performance;
- In the third instance, we divided the matrix into ten panels in the south, four panels in the east, and four panels in the west, and we looked at the system’s productivity in each of these areas.
- The First instance: The system consists of 18 solar panels, each with a 600 W capacity, arranged in three rows. It has six panels. A three-phase, 11 kW agricultural inverter was employed. In the first scenario, every panel is in position. As a result, the angle of inclination is 30 degrees after accounting for the fact that Iraq is a sunny country and the site coordinators as shown in Figure 5.
- We found the following results for the Al-Wafaa district in Al-Anbar.

- ➢
- Tests and simulation results
- ➢
- Irregular solar panels, also known as non-standard solar panels, offer a viable solution for harnessing solar energy in agricultural areas and large-scale industrial projects. These panels are designed to optimize solar ray utilization and achieve maximum efficiency. However, several challenges are associated with their installation. For instance:
- (1)
- Maintenance poses a significant hurdle. Accessing and cleaning the solar panels can be a cumbersome task, ultimately impacting long-term production efficiency;
- (2)
- The concentration of land used for solar panel installation can have repercussions on other activities, such as agriculture. Moreover, excessive exposure of the soil to sunlight must be balanced against the benefits of utilizing solar panels while preserving the land for other purposes;
- (3)
- The visual impact and environmental harmony of this installation should be considered. The presence of such a system could potentially disrupt the natural landscape and impact local biological life.
5. Conclusions
Author Contributions
Funding
Data Availability Statement
Conflicts of Interest
References
- Pytilinski, J.T. Solar energy installations for pumping irrigation water. Sol. Energy 1978, 21, 255–262. [Google Scholar] [CrossRef]
- Bahadori, M.N. Solar water pumping. Sol. Energy 1978, 21, 307–316. [Google Scholar] [CrossRef]
- Ward, P.B.; Dunford, W.G. Solar-powered groundwater pumping for medium heads. IAHS-AISH Publ. 1984, 144, 249–258. [Google Scholar]
- Mankbadi, R.R.; Ayad, S.S. Small-scale solar pumping: The technology. Energy Convers. Manag. 1988, 28, 171–184. [Google Scholar] [CrossRef]
- Chowdhury, B.H.; Ula, S.; Stokes, K. Photovoltaic-powered water pumping-design, and implementation: Case studies in Wyoming. IEEE Trans. Energy Convers. 1993, 8, 646–652. [Google Scholar] [CrossRef]
- Gad, H.E.; El-Gayar, S.M. Performance prediction of a proposed photovoltaic water pumping system at South Sinai, Egypt climate conditions. In Proceedings of the Thirteenth International Water Technology Conference, IWTC13, Hurghada, Egypt, 13–16 March 2009. [Google Scholar]
- Omer, A.M. Solar water pumps clean water for Sudan’s rural areas. Renew. Energy 2001, 24, 245–258. [Google Scholar] [CrossRef]
- Eker, B. Solar-powered water pumping systems. Trakia J. Sci. 2005, 3, 7–11. [Google Scholar]
- Shinde, V.B.; Wandre, S.S. Solar photovoltaic water pumping system for irrigation: A review. Afr. J. Agric. Res. 2015, 10, 2267–2273. [Google Scholar]
- Obaideen, K.; AlMallahi, M.N.; Alami, A.H.; Ramadan, M.; Abdelkareem, M.A.; Shehata, N.; Olabi, A.G. On the contribution of solar energy to sustainable development goals: Case study on Mohammed bin Rashid Al Maktoum Solar Park. Int. J. Thermofluids 2021, 12, 100123. [Google Scholar] [CrossRef]
- Palmiro, F.; Pinto JO, P.; Pereira, L.H.; Godoy, R.B. Cost-effective photovoltaic water pumping system for remote regions communities. In Proceedings of the 2014 IEEE Energy Conversion Congress and Exposition (ECCE), Pittsburgh, PA, USA, 15–18 September 2014; pp. 3287–3293. [Google Scholar]
- Li, G.; Jin, Y.; Akram, M.W.; Chen, X. Research and current status of the solar photovoltaic water pumping system–A review. Renew. Sustain. Energy Rev. 2017, 79, 440–458. [Google Scholar] [CrossRef]
- Herez, A.; El Hage, H.; Lemenand, T.; Ramadan, M.; Khaled, M. Review on photovoltaic/thermal hybrid solar collectors: Classifications, applications and new systems. Sol. Energy 2020, 207, 1321–1347. [Google Scholar] [CrossRef]
- Shepovalova, O.V.; Belenov, A.T.; Chirkov, S.V. Review of photovoltaic water pumping system research. Energy Rep. 2020, 6, 306–324. [Google Scholar] [CrossRef]
- Verma, S.; Mishra, S.; Chowdhury, S.; Gaur, A.; Mohapatra, S.; Soni, A.; Verma, P. Solar PV powered water pumping system–A review. Mater. Today Proc. 2021, 46, 5601–5606. [Google Scholar] [CrossRef]
- Singh, D.B.; Mahajan, A.; Devli, D.; Bharti, K.; Kandari, S.; Mittal, G. A mini-review on solar energy-based pumping system for irrigation. Mater. Today Proc. 2021, 43, 417–425. [Google Scholar] [CrossRef]
- Kim, J.W.; Lee, J.S. Greening Energy Finance of Multilateral Development Banks: Review of the World Bank’s Energy Project Investment (1985–2019). Energies 2021, 14, 2648. [Google Scholar] [CrossRef]
- Lengoiboni, V.N. Simulation of a Maximum Power Point Tracking System for Improved Performance of Photovoltaic Systems. Doctoral Dissertation, Jomo Kenyatta University of Agriculture and Technology, Juja, Kenya, 2016. [Google Scholar]
- Saleem, M.U. Gnomon assessment for geographic coordinates, solar horizontal & equatorial coordinates, time of local sunrise, noon, sunset, direction of qibla, size of Earth & Sun for Lahore Pakistan. Open J. Appl. Sci. 2016, 6, 100. [Google Scholar] [CrossRef]
- Leng, G.; Meloche, N.; Monarque, A.; Painchaud, G.; Thevenard, D.; Ross, M.; Hosette, P. Clean Energy Project Analysis: RETScreen, Engineering & Cases Textbook-Photovoltaic Project Analysis; CANMET Energy Technology Center: Ottawa, ON, Canada, 2004; pp. 17–28. [Google Scholar]
- Wald, L. Basics in Solar Radiation at Earth’s Surface. 2018, pp. 12–18. Available online: https://minesparis-psl.hal.science/hal-01676634 (accessed on 11 July 2023).
- Cengiz, M.S.; Mamiş, M.S. Termal Güneş Enerjisi Kullanımı ve CSP Sistemlerin Verimlilik Analizi. Bitlis Eren Üniversitesi Fen Bilimleri Dergisi 2016, 5. Available online: https://dergipark.org.tr/en/pub/bitlisfen/issue/24347/258057 (accessed on 11 July 2023). [CrossRef][Green Version]
- Al-Badi, A.; Yousef, H.; Al Mahmoudi, T.; Al-Shammaki, M.; Al-Abri, A.; Al-Hinai, A. Sizing and modeling of photovoltaic water pumping system. Int. J. Sustain. Energy 2018, 37, 415–427. [Google Scholar] [CrossRef]
- Kim, M.H.; Jeong, J.W. Experimental verification of a virtual water flowmeter applicable to air conditioning systems. Energy Build. 2017, 155, 425–438. [Google Scholar] [CrossRef]














| N | 33 | 25 | 46 |
| E | 42 | 30 | 20 |
| Daily Production and Work Hours | |
| Production_Liters | Work_Hours |
| 137,634 × 105 | 6 |
| Monthly Production and Days in the Month | |
| Production_Liters | Days_in_Month |
| 2.56 × 105 | 31 |
| 2.3084 × 105 | 28 |
| 3.1866 × 105 | 31 |
| 3.0734 × 105 | 30 |
| 3.8046 × 105 | 31 |
| 4.2882 × 105 | 30 |
| 4.4312 × 105 | 31 |
| 4.4312 × 105 | 31 |
| 3.6756 × 105 | 30 |
| 3.1866 × 105 | 31 |
| 2.4733 × 105 | 30 |
| 2.5621 × 105 | 31 |
| Yearly Production and Workday Hours | |
| Production_Liters | Work_Days_Hours |
| 3.9981 × 106 | 365 |
| Month | Angle | Daily | Monthly | Yearly |
|---|---|---|---|---|
| 1 | 30 | 1.0823 × 106 | 3.3551 × 107 | 5.2761 × 108 |
| 1 | 0 | 1.2497 × 106 | 3.8741 × 107 | 6.0924 × 108 |
| 1 | −30 | 1.0823 × 106 | 3.3551 × 107 | 5.2761 × 108 |
| 2 | 30 | 1.0823 × 106 | 3.0304 × 107 | 5.2761 × 108 |
| 2 | 0 | 1.2497 × 106 | 3.4992 × 107 | 6.0924 × 108 |
| 2 | −30 | 1.0823 × 106 | 3.0304 × 107 | 5.2761 × 108 |
| 3 | 30 | 1.3529 × 106 | 4.1939 × 107 | 5.2761 × 108 |
| 3 | 0 | 1.5621 × 106 | 4.8426 × 107 | 6.0924 × 108 |
| 3 | −30 | 1.3529 × 106 | 4.1939 × 107 | 5.2761 × 108 |
| 4 | 30 | 1.3529 × 106 | 4.0586 × 107 | 5.2761 × 108 |
| 4 | 0 | 1.5621 × 106 | 4.6864 × 107 | 6.0924 × 108 |
| 4 | −30 | 1.3529 × 106 | 4.0586 × 107 | 5.2761 × 108 |
| 5 | 30 | 1.6234 × 106 | 5.0326 × 107 | 5.2761 × 108 |
| 5 | 0 | 1.8746 × 106 | 5.8112 × 107 | 6.0924 × 108 |
| 5 | −30 | 1.6234 × 106 | 5.0326 × 107 | 5.2761 × 108 |
| 6 | 30 | 1.894 × 106 | 5.682 × 107 | 5.2761 × 108 |
| 6 | 0 | 2.187 × 106 | 6.561 × 107 | 6.0924 × 108 |
| 6 | −30 | 1.894 × 106 | 5.682 × 107 | 5.2761 × 108 |
| 7 | 30 | 1.894 × 106 | 5.8714 × 107 | 5.2761 × 108 |
| 7 | 0 | 2.187 × 106 | 6.7797 × 107 | 6.0924 × 108 |
| 7 | −30 | 1.894 × 106 | 5.8714 × 107 | 5.2761 × 108 |
| 8 | 30 | 1.894 × 106 | 5.8714 × 107 | 5.2761 × 108 |
| 8 | 0 | 2.187 × 106 | 6.7797 × 107 | 6.0924 × 108 |
| 8 | −30 | 1.894 × 106 | 5.8714 × 107 | 5.2761 × 108 |
| 9 | 30 | 1.6234 × 106 | 4.8703 × 107 | 5.2761 × 108 |
| 9 | 0 | 1.8746 × 106 | 5.6237 × 107 | 6.0924 × 108 |
| 9 | −30 | 1.8746 × 106 | 4.8703 × 107 | 5.2761 × 108 |
| 10 | 30 | 1.3529 × 106 | 4.1939 × 107 | 5.2761 × 108 |
| 10 | 0 | 1.5621 × 106 | 4.8426 × 107 | 6.0924 × 108 |
| 10 | −30 | 1.3529 × 106 | 4.1939 × 107 | 5.2761 × 108 |
| 11 | 30 | 1.0823 × 106 | 3.2469 × 107 | 5.2761 × 108 |
| 11 | 0 | 1.2497 × 106 | 3.7491 × 107 | 6.0924 × 108 |
| 11 | −30 | 1.0823 × 106 | 3.2469 × 107 | 5.2761 × 108 |
| 12 | 30 | 1.0823 × 106 | 3.3551 × 107 | 5.2761 × 108 |
| 12 | 0 | 1.2497 × 106 | 3.8741 × 107 | 6.0924 × 108 |
| 12 | −30 | 1.0823 × 106 | 3.3551 × 107 | 5.2761 × 108 |
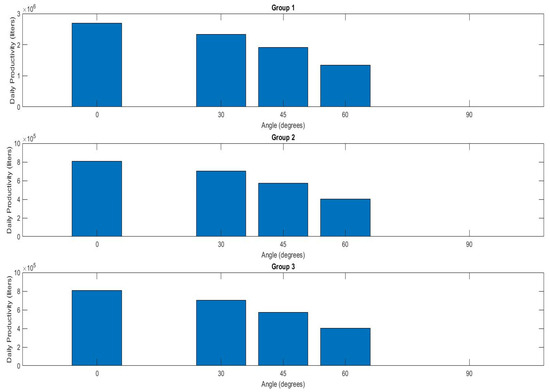
| Daily Productivity at Different Angles: | |||
| Group1 | Group2 | Group3 | Angle |
| 2.7 × 106 | 8.1 × 105 | 8.1 × 105 | 0 |
| 2.3383 × 106 | 7.0148 × 105 | 7.0148 × 105 | 30 |
| 1.9092 × 106 | 5.7276 × 105 | 5.7276 × 105 | 45 |
| 1.35 × 106 | 4.05 × 105 | 4.05 × 105 | 60 |
| 0 | 0 | 0 | 90 |
| Monthly Productivity at Different Angles: | |||
| Group1 | Group2 | Group3 | Angle |
| 3.24 × 107 | 9.72 × 106 | 9.72 × 106 | 0 |
| 2.8059 × 107 | 8.4178 × 106 | 8.4178 × 106 | 30 |
| 2.291 × 107 | 6.8731 × 106 | 6.8731 × 106 | 45 |
| 1.62 × 107 | 4.86 × 106 | 4.86 × 106 | 60 |
| 0 | 0 | 0 | 90 |
| Yearly Productivity at Different Angles: | |||
| Group1 | Group2 | Group3 | Angle |
| 3.24 × 107 | 9.72 × 106 | 9.72 × 106 | 0 |
| 2.8059 × 107 | 8.4178 × 106 | 8.4178 × 106 | 30 |
| 2.291 × 107 | 6.8731 × 106 | 6.8731 × 106 | 45 |
| 1.62 × 107 | 4.86 × 106 | 4.86 × 106 | 60 |
| 0 | 0 | 0 | 90 |
Disclaimer/Publisher’s Note: The statements, opinions and data contained in all publications are solely those of the individual author(s) and contributor(s) and not of MDPI and/or the editor(s). MDPI and/or the editor(s) disclaim responsibility for any injury to people or property resulting from any ideas, methods, instructions or products referred to in the content. |
© 2023 by the authors. Licensee MDPI, Basel, Switzerland. This article is an open access article distributed under the terms and conditions of the Creative Commons Attribution (CC BY) license (https://creativecommons.org/licenses/by/4.0/).
Share and Cite
Ahmed, N.T.; Bentaher, H.A.; Al-Mahammedi, M.T.F. Using the Erratic Application of Solar Photovoltaic Panel Installations to Power Agricultural Submersible Pumps in Deep Wells in Order to Extend Productive Times and Boost Water Production. Appl. Sci. 2024, 14, 29. https://doi.org/10.3390/app14010029
Ahmed NT, Bentaher HA, Al-Mahammedi MTF. Using the Erratic Application of Solar Photovoltaic Panel Installations to Power Agricultural Submersible Pumps in Deep Wells in Order to Extend Productive Times and Boost Water Production. Applied Sciences. 2024; 14(1):29. https://doi.org/10.3390/app14010029
Chicago/Turabian StyleAhmed, Nassr Thwaini, Hatem Ahmed Bentaher, and Mohammed Turki Fayyadh Al-Mahammedi. 2024. "Using the Erratic Application of Solar Photovoltaic Panel Installations to Power Agricultural Submersible Pumps in Deep Wells in Order to Extend Productive Times and Boost Water Production" Applied Sciences 14, no. 1: 29. https://doi.org/10.3390/app14010029
APA StyleAhmed, N. T., Bentaher, H. A., & Al-Mahammedi, M. T. F. (2024). Using the Erratic Application of Solar Photovoltaic Panel Installations to Power Agricultural Submersible Pumps in Deep Wells in Order to Extend Productive Times and Boost Water Production. Applied Sciences, 14(1), 29. https://doi.org/10.3390/app14010029

