Abstract
Revealing the interlayer pressure distribution in multilayer insulation (MLI) for cryogen (e.g., liquid hydrogen) containers is very important to improve the insulation-performance-predicting quality. This paper proposed an inversion method to reconstruct the interlayer pressure of multilayer insulations on the basis of experimentally measuring the reflectors’ temperatures. The layer-by-layer (LBL) model was modified by considering the interlayer pressure distribution in MLIs to calculate the reflectors’ temperatures. Groups of pre-given interlayer pressure distributions and the corresponding temperature distributions calculated by the LBL model were used to train an extreme learning machine (ELM) algorithm. Finally, the interlayer pressure distribution of the MLI was reconstructed by the trained ELM algorithm based on the measured reflectors’ temperatures. The method was validated by four additional testing cases. The results showed that the proposed algorithm was accurate in reconstructing the interlayer pressures. Published experimentally measured temperature distributions of a 60-layer MLI were used as input data. The abovementioned inversion method was adopted, and a reasonable interlayer pressure distribution was obtained. Moreover, the thermal insulation performance of the MLI was calculated by the LBL model considering the reconstructed interlayer pressure distribution. We found that the predicted heat flux of the MLI deviated from the experimental results by only 2.77%, while the error of the classical LBL model ignoring the non-ideal vacuum condition was as high as 89%. Meanwhile, the predicted corresponding temperature distribution deviated from the tested value by less than 1.13 K. The proposed method can be applied to assess the interlayer pressure distribution of industrial cryogen containers and precisely predict the thermal insulation performance of a practical multilayer insulation structure.
1. Introduction
High-vacuum multilayer insulation (MLI) is widely used in the thermal insulation systems of space cryogenic propellants. In the outer space environment, the residual gas in MLIs can easily escape and the interlayer pressure can be as low as 10−6 Pa. The ideal interlayer vacuum is the basis of the super thermal insulation for MLIs. However, deviations in the interlayer pressure from the ideal vacuum always occur in large cryogen liquid containers and lead to a remarkable decline in the thermal insulation performance of MLIs. Numerous studies have shown that when the gas pressure is less than 1 × 10−4 torr, the residual gas conductivity in MLI can be significantly reduced, and the radiation conductivity and solid thermal conductivity are dominant. Hence, MLIs have a good effect on the shielding of these two kinds of heat flux. When high-vacuum insulation is applied to containers of liquid hydrogen, the vacuuming process of the insulation structures should be optimized to build an ideal interlayer pressure distribution. Therefore, monitoring the vacuum of MLIs in cryogen containers is a very important issue [1].
Directly measuring the interlayer pressure is the best way to monitor MLI vacuums. Many researchers have conducted experimental tests of the interlayer pressure. Price [2] used thermocouple gauges monitor the MLI interlayer vacuum in a liquid hydrogen container. It was found that the MLI interlayer vacuum did not reach the desired level. However, the MLI vacuum was improved when pretreatment measures such as perforation were used. Bapat [3] placed thermocouples between interlayers to measure the vacuum of MLIs in a liquid nitrogen calorimeter. The results proved that the combination of aluminized Mylar and glass fibers had good insulating properties and found that the interlayer pressure might be 10–50-times higher than the vacuum chamber pressure. It was also shown that the interlayer pressure was higher than the pressure of the vacuum chamber, and the effect of the residual gas conduction cannot be neglected in theoretical calculations. Zhou [4] placed the capillary tubes in the MLI interlayer, and external micro-pressure gauges were used to measure the MLI vacuum for dynamic and static vacuuming processes. The results showed that dynamic vacuum and baking had a beneficial effect on the MLI vacuum, but the measuring error of the capillary tube was significant, and the interlayer pressure distribution results were similar to a “” shape. The interlayer pressure distribution was closer to an “L” shape based on the static evacuation.
According to the published literature mentioned above, the interlayer pressure may vary in the heat leakage direction, and the maximum pressure may occur in the middle layers. Small calorimeters have been used to study the thermal insulation performance of MLIs, and the basic parameters of these test sets are summarized in Table 1.
Table 1.
Test sets of MLI studies with small calorimeters.
Due to the small volume and lower usage of MLIs, a small cryogenic container can be vacuumed more easily than a large one. Hence, the thermal insulation performance of MLIs in large cryogen containers is unsatisfactory, although it is excellent in small-scale experimental studies with a small calorimeter.
So far, the above measurement methods for MLI vacuums have required additional equipment such as vacuum gauges and capillaries, and only local interlayer pressure can be obtained. On the other hand, theoretical prediction of the interlayer pressure of MLIs may be a good method to predict their thermal insulation performance. In fact, the interlayer pressure distribution of MLIs is influenced by many factors, for example the outgassing of the materials, the types of adsorbents, the properties of the reflectors and spacers, and the detailed structures of MLIs (e.g., layer density and the perforation). As far as we know, it is difficult to develop a high-precision predicting model to determine the interlayer pressure of MLIs for large-scale cryogen storage. The current state-of-the-art work is on molecular dynamics simulation of interlayer gases for MLI. Martin [13] used the Test Particle Monte Carlo (TPMC) method to investigate the outgassing behavior of MLI setups at the end of pumping. Theoretically, simulations with TPMC methods can provide pressure values at arbitrary locations inside the MLI and even the pressure distribution through the thickness of the MLI [13]. In their study, a set of symmetric, separated, perforated, square-shaped layers were investigated. To reduce the computational time, two symmetry planes were modelled as reflective walls and the other three-quarters of the setup were discarded. However, for a practical large cryogen (e.g., liquid hydrogen) container, the MLIs may consist of hundreds of layers and the area of MLIs may be hundreds of square meters. At present, it seems to be impossible to reveal the residual pressure distribution in MLIs for a practical engineering design.
The cause of this problem, which is inaccurate and extremely difficult to solve in the forward direction, can be inferred by inversion, and the methods used generally rely on machine learning techniques to extract mapping relationships between implicit variables based on large amounts of data, which have wide applications. Schena [14] used a kernel-based stereological model for the inversion of particles produced from the crushing. Fei [15] used statistical machine learning techniques from the Mercer kernel-based support vector machine applied to the inversion of the aperture magnetic field. Based on such an approach, the idea is to improve the prediction accuracy of insulation performance by using easily measurable interlayer temperatures, relying on a modified LBL model, and inferring the distribution of interlayer pressures. Prasad [16] compared the accuracy of different machine learning models on pumpkin seed classification, e.g., Logistic Regression, Support Vector Machine, Decision Trees, Naive Bayes and k-nearest neighbor classification, precision and recall on a sample of 2500 obtained from Kaggle. The decision tree model was found to perform better than the other models. Ma [17] proposed an incremental extreme learning machine model (IELM) to improve the robot localization accuracy. An extreme learning machine is optimized by an improved sparrow search algorithm (ISSA) and is used to predict the localization error of industrial robots. The predicted errors are used to achieve compensation for target points in the robot workspace. The IELM model has good fitting and prediction capabilities and can be fine-tuned by adding fewer samples. Compared with other neural network regression methods, the structure of the extreme learning machine is very simple, and the output weights are obtained by the least squares method. This makes the training quick and suitable for offline data prediction. Therefore, ELM has good prospects for industrial applications.
In this study, an extreme learning machine (ELM) neural-network-based inversion model is proposed to reconstruct the interlayer pressure distribution of high-vacuum multilayer insulation for liquid hydrogen containers. The dataset used in this paper is manually designed to contain U- and L-shaped distributions that are demonstrated in the available literature in multilayer insulation interlayer pressure studies. The training set is composed of 20 sets of pressure distributions, ranging from 10 to 90 times the ideal vacuum, which includes different feature distributions as well as the corresponding temperature distributions. Based on the trained ELM neural network, the measured interlayer temperature distribution (obtained from LBL simulations with uncertain values to simulate the sensor errors) is used as the input parameter and the predicted interlayer pressure distribution is output. Using the measured interlayer temperature distribution, the proposed method can be used to deduce the interlayer pressure in different vacuuming processes.
2. Methodology
The MLI shown in Figure 1 is designed for a liquid hydrogen container. It is composed of 60 layers of reflecting shields and the layer density is 23 N/cm. The materials of reflectors and spacers are aluminum foil and glass fiber, respectively. Table 2 shows the basic parameters and properties of the MLI.
Figure 1.
The schematic diagram of the MLI.
Table 2.
The basic parameters and properties of the MLI.
However, for a liquid hydrogen container with the capacity of hundreds and thousands of cubic meters, the vacuuming process of the huge wrapping of MLI blankets is very difficult and time consuming. In order to achieve an ideal vacuum, a MLI blanket is baked until it is as outgassed as possible and the moisture and chemical volatiles in the interlayer have escaped, and then the blanket in an insulation chamber is vacuumed to create an ideal vacuum environment.
When the interlayer pressure is stabilized at the predetermined value, the vacuum chamber is refilled with helium gas to achieve a slight positive pressure in the MLI blanket. This is to saturate the interior of the blanket with helium gas and regain the ambient pressure in the MLI [18]. Then, the vacuum chamber with the MLI blanket is vacuumed to less than 10−3 Pa. If the interlayer pressure of the MLI can be monitored or predicted, it would be an indicator to determine the optimal vacuuming process, MLI structure and the arrangement of adsorbents.
2.1. The Modified Layer-by-Layer Model
The layer-by-layer (LBL) model is a classical method for the thermal insulation calculation of MLI proposed by Macintosh [19]. He summarized the development of the MLI heat transfer theory over the past decades and proposed the new heat transfer model, which is a layer-by-layer model. Empirical coefficients in traditional models are replaced by quantified physical parameters. The heat flux leaking across MLI can be determined in three different heat transfer mechanisms separately, i.e., radiation, solid conduction, and residual gas conduction.
The solid conduction heat flux across a spacer can be determined by the following equation,
where c represents the thermal conductivity of the spacer, Wm−1K−1; represents the thickness of the spacer between two adjacent reflectors, m. and (i is the current position of reflector) are the temperatures of the adjacent reflectors, K.
The radiation heat flux can be calculated as follows,
where = 1/(1//), and are the emissivities of the adjacent reflectors; represents the Stephan–Boltzmann constant (5.675 × 10−8 W·m−2·K−4).
The residual gas conduction heat flux can be determined by the following equation,
where R represents the gas constant, 8.314 kJ·mol−1·K−1, represents the specific heat ratio, m represents the molecular weight of the residual gas, kg·mol−1; represents the accommodation coefficient. represents the pressure on the current layer, Pa.
The total heat flux density is calculated by the following equation,
In the classical LBL model, the interlayer pressure of MLI is regarded as an ideal vacuum (e.g., 10−3 Pa). If the pressure of each layer in the MLI could be determined experimentally or theoretically, the variation of the residual gas conduction heat flux across the MLI could be elaborated. It can be understood that the interlayer pressure varies in the heat leaking direction, and the distribution of the reflector temperatures across the MLI is impacted by the interlayer pressure correspondingly. The relationship between the interlayer pressure and the reflector positions can be given as a function,
where i represents the current layer position; n is the highest order of the polynomial function; , = 1,2,3…z) represents the polynomial coefficients. Using a gradient descent method and giving the pressure points at certain interlayer locations, the polynomial coefficients can be fitted. It is worth noting that the highest order of the polynomial function should be assumed before the calculation. Once the polynomial coefficients are determined, the interlayer pressure can be interpolated to any layer in the MLI by Equation (5). For the ideal vacuum of a MLI structure, set ( = 1, 2, 3, …, k − 1), . is the vacuum chamber pressure.
The total thermal resistance between adjacent reflectors can be determined by total effective thermal conductivity between the two layers.
Total thermal resistance KT can be expressed as,
Equation (7) can be solved using the iterative method. The layer temperature can be initialized as a linear temperature distribution, then the thermal resistance between the two reflective screens is calculated. The new temperature distribution can be determined as,
where Ri is the thermal resistance between layer i − 1 and layer i. N is the number of layers. This is iterated until the temperature distribution converges. The temperature distribution and heat flow density on all layers are obtained.
In the classical LBL model, the interlayer pressure is identical to the vacuum chamber pressure. In this study, the modified LBL model is solved by the heat resistance method and the flowchart of the calculation process is shown in Figure 2. The hypothetical pressure distribution is given as the training data for the inversion model. Correspondingly, the reflector temperature of the MLI can be determined, and the residual gas conduction is modified by the pre-given pressure distribution. Therefore, the interlayer temperature distributions corresponding to the pressure distributions can be obtained.
Figure 2.
The solving process of the modified LBL model.
2.2. Theory of Interlayer Pressure Reconstruction
In a large liquid hydrogen container, the interlayer pressure varies in the heat leakage direction. If the pressure of the vacuum chamber is regarded as the uniform interlayer pressure, the predicted thermal insulation performance of the MLI by the classical LBL model would remarkably deviate from the practical characteristics. Therefore, it is necessary to reconstruct the distribution of interlayer pressure according to the reflector’s temperature characteristics using the following method. These assumptions are made before calculation: (1) The emissivity and the thermal conductivity of the MLI materials are accurate enough; (2) the samples of interlayer pressure distribution are physically reasonable.
Firstly, groups of interlayer pressure distributions as sample data are manually designed with some features of results from the available literature. The polynomial coefficients of Equation (5), can be obtained by data fitting. Secondly, considering the interlayer pressure distribution, the reflector temperature distribution across the MLI can be determined by the modified LBL model mentioned above. Here, the residual gas conduction can be revised by the given pressure distribution in Equation (3). As the iteration proceeds, one group of the temperature distributions corresponding to the pressure distribution will gradually reach the accurate solution. Thus, the sample set of the interlayer pressure distributions and the reflector temperature distributions have been built and used to train the ELM neuronal network. Then, based on the trained machine learning algorithm, the interlayer pressure of the MLI can be reconstructed from a set of experimentally measured reflector temperatures.
During the iteration of the interlayer pressure determination process, the deviation between the reconstructed interlayer pressure and the practical value should be minimized. Due to the strong couple interaction between the interlayer pressure and the reflector temperature, the ideal objective solution of the reconstructed interlayer pressure could be achieved if the following criterion could be satisfied,
where represents the temperature distribution of the reflectors corresponding to the reconstructed pressure distribution obtained by the calculation of the modified LBL model, and is the measured reflector’s temperature distribution of the MLI. In the present study, the practical interlayer pressure distribution is predicted by a machine learning algorithm.
For an algorithm that can accurately reconstruct the interlayer pressure, the following requirements should be met. The reconstruction algorithm should have sufficient accuracy, reliability and extrapolation capability. Even if the sample data used to reconstruct the interlayer pressure are insufficient or not fully reasonable, the algorithm can still have an excellent generalized extrapolation capability to obtain the reasonable interlayer pressure distribution. Extrapolation refers to the ability of the algorithm to estimate values out of the input data range. In the case of interlayer pressure reconstruction, the algorithm should be able to accurately estimate the interlayer pressure not included in the sample set. In practical industrial applications, it is important for the reconstruction algorithm to yield results in a limited time, and to expand the sample set without significantly increasing the time required. An appropriate algorithm is needed to achieve the reconstruction mission with specific requirements and constraints, including limited predicting time and the desired accuracy of the calculation. Moreover, the reconstruction algorithm should be able to handle any inhomogeneity or variation in the material properties of the MLI.
2.3. Extreme Learning Machine
The extreme learning machine (ELM) [20] is adopted to implement the reconstructing of the interlayer pressure of MLIs in this study. ELM is a type of feedforward neural network that is characterized by its simplicity and efficiency in training. As is shown in Figure 2, it consists of a single hidden layer with a large number of hidden units, and the weights of the hidden units are randomly initialized and fixed during training. The output weights of the ELM are then learned using a simple linear regression algorithm, making the training process very fast. ELM is particularly useful for tasks that require fast training and prediction times, such as online learning and real-time applications. It has been applied to a wide range of tasks in machine learning, including classification, regression, clustering, and feature learning. One of the key advantages of ELM is that it can learn complex nonlinear relationships in the data without the need for complex optimization algorithms, such as back-propagation. This makes it particularly well-suited for tasks where the data are noisy or have a high dimensionality.
For a given set of training samples , where and have the same form:
ELM is a unified three-layer frontward network whose output has hidden nodes. It has an excellent ability to approximate any complex function. In the sample set, a group of interlayer pressure distributions could be represented as,
where the and are the hidden layer function between the input layer and the th hidden node. and are randomly generated independent of the training data. is the output weight between the ith hidden node to the output node. The computational hidden nodes can be obtained from the sigmoid function, additive and radial basis function, hinging functions, wavelets, and so on, e.g., where is the sigmoid function. To minimize the least square error [21], the objective loss function is
where,
where N represents the number of samples. The solution for Equation (13) is
When the measurement temperature is given, the corresponding interlayer pressure can be predicted by ELM as shown in Figure 3.
Figure 3.
The neural network structure of ELM.
Random connection weights between the input layer and the hidden layer, , and the threshold of the hidden layer neurons, , are generated by the ELM algorithms. The reconstructed interlayer pressure distribution is diverse for each training case. Therefore, we adopt the method of multiple trainings.
Firstly, give a number of neurons (e.g., 20) and sigmoid function type (e.g., radial basis function), then repeat the training 100 times by inputting the temperature distribution determined by the abovementioned LBL model. A total of 100 pressure distributions are reconstructed by the ELM model. Then, 100 reflector temperature distributions across the MLI can be determined by the modified LBL model. The deviation between and is used as a criterion. When the deviation is less than a pre-defined threshold value, such as 1.5 K, the output result of can be regarded as the reconstructed value. If the calculation cannot be converged in 100 iterations, then the number of neurons is adjusted or the sigmoid function is adjusted to continue training the ELM model. By adjusting the number of neurons and the sigmoid function of the ELM model, the input weights of the ELM are arbitrarily generated. The predicted interlayer pressure distributions are different each time. Therefore, the ELM model will be iterated until the criterion is satisfied. The flowchart of inversion of interlayer pressure using ELM is shown in Figure 4.
Figure 4.
The flowchart of inversion of interlayer pressure using ELM.
3. Result and Discussion
The vacuum chamber pressure is 1 × 10−3 Pa; the sample set contains 20 samples of pressure distributions ranging from 10 to 90 times of the vacuum chamber pressure and includes “” and “L” shaped distributions as shown in Figure 5. Hot and cold boundary temperatures can be adjusted according to the application. The layer temperature distributions corresponding to the pressure distributions are shown in Figure 6.
Figure 5.
The sample set of interlayer pressure distributions.
Figure 6.
The sample set of temperature distributions.
From Figure 5 and Figure 6, it can be seen that the temperature distributions corresponding to different pressure distributions vary greatly, so by feature extraction of the differences between the two set of distributions, a black-box correlation can be established through a neural network and can be used to predict the potential interlayer pressure distribution.
3.1. Adaptability Test
The interlayer pressure distribution may be greatly affected by the vacuum conditions. In order to verify the adaptability of the ELM algorithm, four additional distributions of interlayer pressure are used to test the algorithm.
Four additional test sample sets are presented in Figure 7. They can be distinguished by the maximum interlayer pressures, which are 10-times, 30-times, 50-times, and 70-times the ideal vacuum chamber pressure (1 × 10−3 Pa). The values of the interlayer pressure at nine positions are given, and it is assumed that the corresponding reflector’s temperature at the same position can be measured. Besides the cold and hot boundary temperatures at the positions with the near ideal vacuum pressure, seven temperatures of the internal layers may be measured by temperature sensors with the random uncertainty of 0.5–1 K. The hypothetical random measuring errors of the seven temperature sensors are listed in Table 3. It has been proven that the classical LBL model can be used to predict the reflector temperatures and the thermal insulation of MLIs precisely. Hence, the reflector temperatures of these seven points are determined by solving the modified LBL model in this study. Then they are added to the hypothetical random measuring errors, respectively, to be used as the input data of the inversion algorithm (ELM). It should be noted that the reflector temperatures of the MLI should be measured.
Figure 7.
The testing sample set.
Table 3.
Hypothetical measuring error at seven temperature sensors.
The testing result is shown in Figure 8. It can be seen that the ELM algorithm has good recognition ability for the distribution trends of different layers. This indicates that the algorithm can capture the change trend of the pressure distribution well and conduct corresponding processing. However, there may be some minor deviations in specific parts, which may be related to the difficulty of reconstructing some minor features. Overall, the ELM algorithm performs well in processing the pressure distribution trend.
Figure 8.
The testing results of different interlayer pressure distrbutions. (a) Testing case 1; (b) Testing case 2; (c) Testing case 3; (d) Testing case 4.
Table 4 gives the mean squared error (MSE) of interlayer temperature reconstruction for different testing cases. It can be found that the MSE of the interlayer temperature reconstruction for the four testing cases is below 0.65 K, indicating that the error of the model in reconstructing the interlayer temperature is smaller than the error of the temperature sensor. This result shows that the model performs well in reconstructing the interlayer temperature and can provide reliable reconstruction results.
Table 4.
Mean squared error of reconstruction temperature in each testing case.
Based on the above analysis, we conclude that the model can effectively reduce the error of temperature reconstruction and adapt well to different interlayer pressure distributions. This indicates that the model can handle the errors in temperature reconstruction well and has strong adaptability.
In the process of training ELM neural networks, the number of neurons, the type of sigmoid function, and the number and quality of samples all have an impact on the prediction accuracy. In this study, these key parameters of the ELM model are manually tuned. This may be the limitation of the proposed model. The potential error in the prediction results may be caused by the possibility of local optimization. This problem could be solved by combining it with other advanced optimization algorithms.
3.2. Heat Flux Analysis
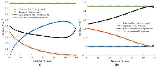
The heat leakage of the MLI at the liquid hydrogen temperature is analyzed on the basis of the LBL model. Figure 9 presents the heat fluxes in the MLI for different vacuum conditions. As shown in Figure 9a, the total heat flux of the MLI is 0.46 W·m−2 if the MLI operates under the uniform ideal vacuum of 10−3 Pa. As the reflector is approaching the cold boundary, the radiation heat flux decreases and the solid conduction heat flux increases. Due to the ideal vacuum environment, the gas conduction heat flux is kept at a very low level.
Figure 9.
Heat fluxes in the MLI: (a) ideal vacuum condition; (b) testing case 4.
Figure 9b shows the heat fluxes of the MLI in a non-ideal vacuum condition. The interlayer pressure distribution is shown in Figure 6 (the testing case 4). It can be seen in Figure 9b that gas conduction and solid conduction contribute to the heat leakage considerably. The gas conduction heat flux may increase as the reflectors approach the cold boundary due to the presence of gas molecules. On the other hand, the solid conduction heat flux decreases as the reflector temperature decreases. This may be induced by the variation of heat transfer resistance. The gas conduction becomes the dominant heat leakage mechanism as the reflector approaches the cold boundary. Moreover, it can be seen that the radiation heat flux decreases as the reflector temperature decreases for the two situations. If the interlayer pressure deviates from the ideal vacuum, the residual gas conduction will contribute a considerable amount of heat leakage, and the solid conduction heat flux varies in a different manner in comparison with the heat leakage of the MLI in an ideal vacuum environment. Therefore, illuminating the interlayer pressure of the MLI in practical engineering is very necessary for the prediction of the thermal insulation performance.
3.3. Appling the Inversion Method to Validate the LBL Model
Wesley [22] provides an experimental result for the thermal insulation performance of a 60-layer MLI with a double-aluminized mylar (DAM) and Dracon net. The cold boundary temperature is 77 K. The layer density is 9.5 N/cm. The heat flux of the MLI is measured as 0.262 W/m2. Based on the modified LBL model and ELM algorithm, the interlayer pressure is reconstructed as shown in Figure 10. It can be seen that the highest pressure in the MLI is 0.18 Pa near the cold boundary, which is 233-times higher than the vacuum chamber pressure of 7.7 × 10−4 Pa. The interlayer temperature determined by the modified LBL model is highly consistent with the measured temperature as shown in Figure 11.
Figure 10.
The reconstruction of the interlayer pressure distribution.
Figure 11.
The interlayer temperature comparison simulation and experiment.
Besides the classical LBL model and the modified LBL model in this study, three kinds of Lockheed equations were put forward in Reference [22] to calculate the thermal insulation performance of the MLI. The deviations between the theoretical calculation and the experimental results are given in Table 5. It is worth noting that the interlayer pressure distribution is ignored in the Lockheed and classical LBL models, and the ideal vacuum condition (7.7 × 10−4 Pa) is used to calculate the residual gas conduction. It can be found that the calculation results by the Lockheed and classical LBL models deviate from the experimental results remarkably. However, the interlayer pressure distribution is reconstructed and considered in the modified LBL model, and the deviation between the calculation and the experiment is just 2.77%. It is very promising to use the proposed method to predict the thermal insulation performance of a practical large cryogen container with MLI.
Table 5.
The comparison of different insulation prediction methods.
4. Conclusions
Multilayer insulation (MLI) in a high-vacuum condition can present excellent thermal insulation performance for cryogen storage. However, the ideal high-vacuum condition of MLIs in industrial scale cryogen containers has not been achieved. In fact, the interlayer pressure of the MLIs deviates from the ideal high vacuum by varying degrees. Therefore, the prediction of the thermal insulation performance of a practical cryogen container is more difficult, although the classic layer-by-layer (LBL) model could predict the insulation performance precisely for an ideal vacuum situation. Revealing the interlayer pressure distribution in MLIs for cryogen containers is very important to improve the insulation-performance-predicting quality. This paper reported an inversion method to reconstruct the interlayer pressure of MLIs on the basis of experimentally measuring the reflectors’ temperatures. It was found that the thermal insulation performance of the MLI could be precisely predicted. The LBL model was modified by considering the interlayer pressure distribution in MLIs to calculate the reflector temperatures. Based on 20 groups of pre-given pressure distributions for MLI, the corresponding temperature distributions could be calculated by solving the modified LBL model. Then, the interlayer pressure and the corresponding temperature were used to train an extreme learning machine (ELM) model and determine the neuron connection weights. Then, the trained ELM model was used to reconstruct the pressure distribution based on the measured reflector temperature.
The proposed ELM-based algorithm framework was tested with four different forms of interlayer pressure distributions, and its adaptability was verified. The validation results showed that the proposed algorithm was accurate in reconstructing the four interlayer pressures. The experimentally measured temperature distributions of a 60-layer MLI example were used as input data. The abovementioned inversion method was adopted, and a reasonable interlayer pressure distribution was obtained. Then, the thermal insulation performance of the MLI was calculated considering the reconstructed interlayer pressure distribution. Conclusively, the predicted heat flux of the MLI deviated from the experimental results by only 2.77%, while the error of the classical LBL model ignoring the non-ideal vacuum condition was as high as 89%. Meanwhile, the predicted corresponding temperature distribution deviated from the tested value by less than 1.13 K.
The proposed method can be applied to assess the interlayer pressure distribution of industrial cryogen containers and precisely predict the thermal insulation performance of a practical multilayer insulation structure. In future research, the present method can also be used for variable-density MLIs (VD-MLIs). Multi-objective optimization of the optimal interlayer pressure and design parameters can be conducted on the basis of design parameterization. Moreover, it may be a promising and challenging method to predict interlayer pressure distributions in MLIs at liquid hydrogen temperature based on reflector temperature data at liquid nitrogen temperature by inversion models.
Author Contributions
Methodology, H.W.; Writing—original draft, H.W.; Writing—review & editing, H.T.; Supervision, H.T.; Project administration, H.T.; Funding acquisition, H.T. All authors have read and agreed to the published version of the manuscript.
Funding
This research was funded by National Key R&D Program of China, (Grant No. 2020YFB1506203).
Institutional Review Board Statement
Not applicable.
Informed Consent Statement
Not applicable.
Data Availability Statement
The data have been published in the manuscript.
Acknowledgments
The authors gratefully acknowledge the support from the National Key R&D Program (Grant No. 2020YFB1506203).
Conflicts of Interest
The authors declare no conflict of interest.
Nomenclature
| accommodation coefficient | |
| output weight | |
| specific heat ratio | |
| the emissivity of the hot and cold reflectors | |
| the Stephan-Boltzmann constant, W· | |
| ai | the connection weights between the input layer and the hidden layer |
| the threshold of the hidden layer neurons | |
| C | the thermal conductivity of the spacer, K−1 |
| D | the thickness of the spacer between two adjacent reflectors, m |
| h(T) | the sigmoid function |
| m | molecular weight of residual gas, kg·mol−1 |
| pressure distribution samples | |
| optimal estimation of actual pressure distribution | |
| interlayer pressure, Pa | |
| radiation heat flux, W·m−2 | |
| solid conduction heat flux, W·m−2 | |
| gas conduction heat flux, W·m−2 | |
| total heat flux, W·m−2 | |
| R | gas constant, 8.314 kJ·mol−1·K−1 |
| hot boundary temperature, K | |
| cold boundary temperature, K | |
| the temperature of adjacent reflectors, K | |
| temperature distribution samples | |
| measured temperature, K | |
| simulation temperature of | |
| the polynomial coefficients |
References
- Fesmire, J.E. Layered Thermal Insulation Systems for Industrial and Commercial Applications. Presented at the NASA Tech Briefs Webinar, Merritt Island, FL, USA, 26 August 2015. [Google Scholar]
- Price, J.W. Measuring the gas pressure within a high-performance insulation blanket. Adv. Cryog. Eng. 1968, 13, 662–670. [Google Scholar]
- Bapat, S.L.; Narayankhedkar, K.G.; Lukose, T.P. Experimental investigations of MLI. Cryogenics 1990, 30, 711–719. [Google Scholar] [CrossRef]
- Zhou, C. Experimental Study on Vacuum Level between High Vacuum Multilayer Insulation Layers. Master’s Thesis, Shanghai Jiaotong University, Shanghai, China, 1998. [Google Scholar]
- Jacob, S.; Kasthurirengan, S.; Karunanithi, R. Investigations into the thermal performance of multilayer insulation (300-77 K) Part 2: Thermal analysis. Cryogenics 1992, 32, 1147–1153. [Google Scholar] [CrossRef]
- Huang, Y.; Wang, B.; Zhou, S.; Wu, J.; Lei, G.; Li, P.; Sun, P. Modeling and experimental study on combination of foam and variable density multilayer insulation for cryogen storage. Energy 2017, 123, 487–498. [Google Scholar] [CrossRef]
- Fesmire, J.E.; Johnson, W.L. Cylindrical cryogenic calorimeter testing of six types of multilayer insulation systems. Cryogenics 2018, 89, 58–75. [Google Scholar] [CrossRef]
- Wesley, L.J.; Fesmire, J.E. Thermal performance of low layer density multilayer insulation using liquid nitrogen. AIP Conf. Proc. 2012, 1434, 39–46. [Google Scholar]
- Hastings, L.J.; Martin, J.J. Experimental testing of a foam/multilayer insulation (FMLI) thermal control system (TCS) for use on a cryogenic upper stage. Am. Inst. Phys. 1998, 420, 331–341. [Google Scholar]
- Wan, C.; Zhu, S.; Shi, C.; Bao, S.; Zhi, X.; Qiu, L.; Wang, K. Numerical Simulation on Pressure Evolution Process of Liquid Hydrogen Storage Tank with Active Cryogenic Cooling. Int. J. Refrig. 2022, 1, 12–36. [Google Scholar] [CrossRef]
- Hastings, L.J.; Plachta, D.W.; Salerno, L.; Kittel, P. An overview of NASA efforts on zero boiloff storage of cryogenic propellants. Cryogenics 2001, 41, 833–839. [Google Scholar] [CrossRef]
- Zheng, J.; Chen, L.; Cui, C.; Guo, J.; Zhu, W.; Zhou, Y.; Wang, J. Experimental study on composite insulation system of spray on foam insulation and variable density multilayer insulation. Appl. Therm. Eng. 2018, 130, 161–168. [Google Scholar] [CrossRef]
- Eizinger, M.; Obertscheider, C.; Stipsitz, J.; Stetina, S. Monte Carlo simulations of residual gas pumping out of multi-layer insulation. Vacuum 2021, 187, 110113. [Google Scholar] [CrossRef]
- Schena, G.; Chiaruttini, C. Reconstruction capability of the kernel-based stereological inversion applied to particle separation techniques. Comput. Geosci. 2001, 27, 1217–1230. [Google Scholar] [CrossRef]
- Fei, T. Application of Kernel Based Machine Learning to the Inversion Problem of Photospheric Magnetic Fields. Sol. Phys. 2015, 260, 2693–2708. [Google Scholar]
- Prasad, K.V.; Hanumesh, V.; Kumar Swamy, K.; Renuka, S. Pumpkin Seeds Classification: Artificial Neural Network and Machine Learning Methods. J. Int. Acad. Phys. Sci. 2023, 27, 23–33. [Google Scholar]
- Ma, S.; Deng, K.; Lu, Y.; Xu, X. Robot error compensation based on incremental extreme learning machines and an improved sparrow search algorithm. Int. J. Adv. Manuf. Technol. 2023, 125, 5431–5443. [Google Scholar] [CrossRef]
- Miyakita, T.; Hatakenaka, R.; Sugita, H.; Saitoh, M.; Hirai, T. Development of a new multi-layer insulation blanket with non-interlayer-contact spacer for space cryogenic mission. Cryogenics 2014, 64, 112–120. [Google Scholar] [CrossRef]
- McIntosh, G.E. Layer by Layer MLI Calculation using a Separated Mode Equation. Adv. Cryog. Eng. 1993, 39, 1683–1690. [Google Scholar]
- Huang, G.B.; Zhu, Q.Y.; Siew, C.K. Extreme learning machine: Theory and applications. Neurocomputing 2006, 70, 489–501. [Google Scholar] [CrossRef]
- Barrett, R.; Berry, M.; Chan, T.F.; Demmel, J.; Donato, J.; Dongarra, J.; Eijkhout, V.; Pozo, R.; Romine, C.; van der Vorst, E. Templates for the Solution of Linear Systems: Building Blocks for Iterative Methods; SIAM: Philadelphia, PA, USA, 1994. [Google Scholar]
- Wesley, L.J. Thermal Performance of Cryogenic Multilayer Insulation at Various Layer Spacings; University of Central Florida: Orlando, FL, USA, 2010. [Google Scholar]
Disclaimer/Publisher’s Note: The statements, opinions and data contained in all publications are solely those of the individual author(s) and contributor(s) and not of MDPI and/or the editor(s). MDPI and/or the editor(s) disclaim responsibility for any injury to people or property resulting from any ideas, methods, instructions or products referred to in the content. |
© 2023 by the authors. Licensee MDPI, Basel, Switzerland. This article is an open access article distributed under the terms and conditions of the Creative Commons Attribution (CC BY) license (https://creativecommons.org/licenses/by/4.0/).










