Recent Advances in Bioconjugated Transition Metal Complexes for Cancer Therapy
Abstract
1. Introduction
2. Metal-Based Carbohydrate Drug Conjugates
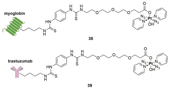
3. Metal-Based Protein, Peptide and Antibody Drug Conjugates
4. Metal-Based Lipid and Nucleic Acid Drug Conjugates
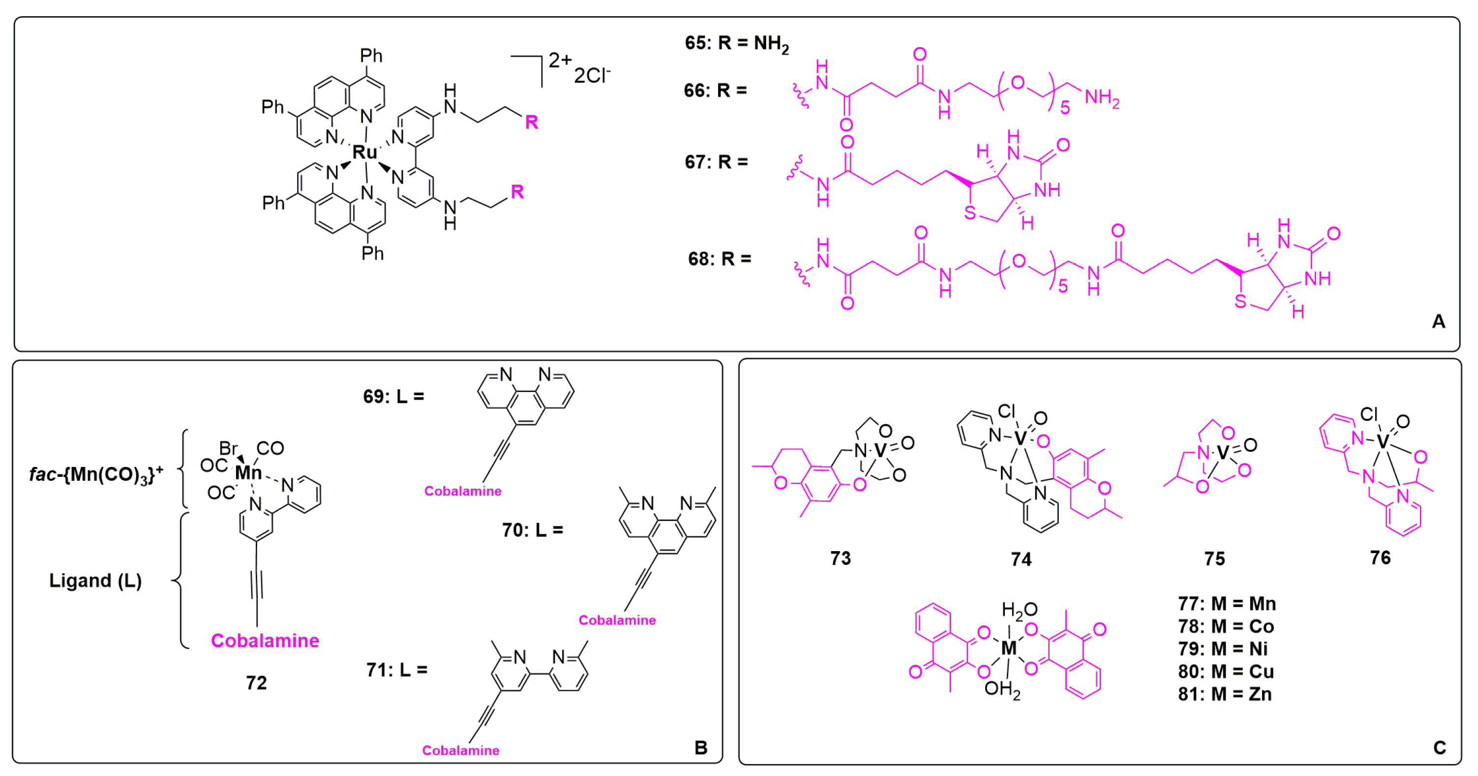
5. Metal-Based Vitamin Drug Conjugates
6. Conclusions
Author Contributions
Funding
Institutional Review Board Statement
Informed Consent Statement
Data Availability Statement
Conflicts of Interest
Appendix A. Cell Lines
| Cancer cell lines | |
| MCF-7 | breast cancer | 
| A431 | epidermoid carcinoma | 
| SVT2 | murine fibroblasts BALB/c3T3 transformed with SV40 virus | 
| A549 | lung adenocarcinoma | 
| HT-29 | colon adenocarcinoma | 
| MDAMB-231 | triple breast cancer | 
| HCT-116 | colon carcinoma | 
| A2780 | ovarian cancer | 
| A2780cis | ovarian cancer cisplatin-resistant clone | 
| A2780 | ovarian cancer | 
| A2780cis | cisplatin-resistant ovarian cancer | 
| OVCAR-3 | high-grade serous ovarian cancer | 
| OVCAR-5 | high-grade serous ovarian cancer | 
| KURAMOCHI | high-grade serous ovarian cancer | 
| A375 | melanoma | 
| ID8 | mouse ovarian surface epithelial cell line | 
| CT26 | mouse colon cancer | 
| U87 | glioblastoma cancer | 
| HeLa | epithelial uterine cervix cancer | 
| Hs-578T | breast cancer | 
| PC-3 | prostate cancer | 
| NIH3T6.7 | mouse fibroblast sarcoma sensitive | 
| SKOV3 | high-grade serous ovarian cancer | 
| AR42J | mouse pancreatic cancer | 
| LNCaP | prostate cancer | 
| 22Rv1 | prostate cancer | 
| HCT-15 | colonrectal cancer | 
| AGS | gastric adenocarcinoma | 
| CEM | T lymphoblast | 
| 16HBE14o | human bronchial epithelial cell line | 
| LMS | Leiomyosarcoma | 
| U2OS | osteosarcoma | 
| Normal cell lines | |
| H9c2 | rat cardiomyoblast cells | 
| HaCaT | human keratinocyte | 
| BALB/c3T3 | immortalized murine fibroblasts | 
| MRC-5 | lung fibroblast, normal cells | 
| RPE-1 | retinoid mouse normal cells | 
| PNT1a | human prostate normal cells | 
| BJ | skin fibroblast | 
| HEK293 | human kidney tissue | 
References
- Stewart, T.J. Across the Spectrum: Integrating Multidimensional Metal Analytics for In Situ Metallomic Imaging. Metallomics 2019, 11, 29–49. [Google Scholar] [CrossRef] [PubMed]
- Bartnicka, J.J.; Blower, P.J. Insights into Trace Metal Metabolism in Health and Disease from PET: “PET Metallomics”. J. Nucl. Med. 2018, 59, 1355–1359. [Google Scholar] [CrossRef] [PubMed]
- Balali-Mood, M.; Naseri, K.; Tahergorabi, Z.; Khazdair, M.R.; Sadeghi, M. Toxic Mechanisms of Five Heavy Metals: Mercury, Lead, Chromium, Cadmium, and Arsenic. Front. Pharmacol. 2021, 12, 227–246. [Google Scholar] [CrossRef] [PubMed]
- Egorova, K.S.; Ananikov, V.P. Toxicity of Metal Compounds: Knowledge and Myths. Organometallics 2017, 36, 4071–4090. [Google Scholar] [CrossRef]
- Zhou, Y.; Ip, T.K.Y.; Zhang, Q.; Li, H.; Sun, H. Metal Complexes as Drugs and Therapeutic Agents. In Comprehensive Coordination Chemistry III; Elsevier: Amsterdam, The Netherlands, 2021; Volume 1–9, pp. 680–705. [Google Scholar]
- Ghosh, S. Cisplatin: The First Metal Based Anticancer Drug. Bioorg. Chem. 2019, 88, 102925. [Google Scholar] [CrossRef]
- Eric, A.G. Blomme Toxicology Strategies for Drug Discovery: Present and Future. Chem. Res. Toxicol. 2016, 29, 473–504. [Google Scholar]
- Deng, H.; Lei, Q.; Wu, Y.; He, Y.; Li, W. Activity-Based Protein Profiling: Recent Advances in Medicinal Chemistry. Eur. J. Med. Chem. 2020, 191, 112151. [Google Scholar] [CrossRef]
- Ferraro, M.G.; Piccolo, M.; Misso, G.; Santamaria, R.; Irace, C. Bioactivity and Development of Small Non-Platinum Metal-Based Chemotherapeutics. Pharmaceutics 2022, 14, 954. [Google Scholar] [CrossRef]
- Stankovic, J.S.K.; Selakovic, D.; Mihailovic, V.; Rosic, G. Antioxidant Supplementation in the Treatment of Neurotoxicity Induced by Platinum-Based Chemotherapeutics—A Review. Int. J. Mol. Sci. 2020, 21, 7753. [Google Scholar] [CrossRef]
- Valente, A.; Podolski-Renić, A.; Poetsch, I.; Filipović, N.; López, Ó.; Turel, I.; Heffeter, P. Metal- and Metalloid-Based Compounds to Target and Reverse Cancer Multidrug Resistance. Drug Resist. Updates 2021, 58, 100778. [Google Scholar] [CrossRef]
- Stathopoulos, G.P.; Boulikas, T. Lipoplatin Formulation Review Article. J. Drug Deliv. 2012, 2012, 581363. [Google Scholar] [CrossRef]
- Sodhi, R.K.; Paul, S. Metal Complexes in Medicine: An Overview and Update from Drug Design Perspective. Cancer Ther. Oncol. Int. J. 2019, 14, 25–32. [Google Scholar] [CrossRef]
- Anthony, E.J.; Bolitho, E.M.; Bridgewater, H.E.; Carter, O.W.L.; Donnelly, J.M.; Imberti, C.; Lant, E.C.; Lermyte, F.; Needham, R.J.; Palau, M.; et al. Metallodrugs Are Unique: Opportunities and Challenges of Discovery and Development. Chem. Sci. 2020, 11, 12888–12917. [Google Scholar] [CrossRef]
- Gianferrara, T.; Bratsos, I.; Alessio, E. A Categorization of Metal Anticancer Compounds Based on Their Mode of Action. Dalton Trans. 2009, 37, 7588–7598. [Google Scholar] [CrossRef]
- Amarsy, I.; Papot, S.; Gasser, G. Stimuli-Responsive Metal Complexes for Biomedical Applications. Angew. Chem. Int. Ed. 2022, 61, e202205900. [Google Scholar] [CrossRef]
- Gourdon, L.; Cariou, K.; Gasser, G. Phototherapeutic Anticancer Strategies with First-Row Transition Metal Complexes: A Critical Review. Chem. Soc. Rev. 2022, 51, 1167–1195. [Google Scholar] [CrossRef]
- Mfouo-Tynga, I.S.; Dias, L.D.; Inada, N.M.; Kurachi, C. Features of Third Generation Photosensitizers Used in Anticancer Photodynamic Therapy: Review. Photodiagnosis Photodyn. Ther. 2021, 34, 102091. [Google Scholar] [CrossRef]
- Lee, L.C.C.; Huang, L.; Leung, P.K.K.; Lo, K.K.W. Recent Development of Photofunctional Transition Metal−Peptide Conjugates for Bioimaging and Therapeutic Applications. Eur. J. Inorg. Chem. 2022, 35, e202200455. [Google Scholar] [CrossRef]
- Madec, H.; Figueiredo, F.; Cariou, K.; Roland, S.; Sollogoub, M.; Gasser, G. Metal Complexes for Catalytic and Photocatalytic Reactions in Living Cells and Organisms. Chem. Sci. 2023, 14, 409–442. [Google Scholar] [CrossRef]
- Konč, J.; Sabatino, V.; Jiménez-Moreno, E.; Latocheski, E.; Pérez, L.R.; Day, J.; Domingos, J.B.; Bernardes, G.J.L. Controlled In-Cell Generation of Active Palladium(0) Species for Bioorthogonal Decaging. Angew. Chem.—Int. Ed. 2022, 134, e202113519. [Google Scholar] [CrossRef]
- Boros, E.; Dyson, P.J.; Gasser, G. Classification of Metal-Based Drugs According to Their Mechanisms of Action. Chem 2020, 6, 41–60. [Google Scholar] [CrossRef] [PubMed]
- Lozhkin, B.; Ward, T.R. Bioorthogonal Strategies for the In Vivo Synthesis or Release of Drugs. Bioorg. Med. Chem. 2021, 45, 116310. [Google Scholar] [CrossRef] [PubMed]
- Martínez-Calvo, M.; Mascareñas, J.L. Organometallic Catalysis in Biological Media and Living Settings. Coord. Chem. Rev. 2018, 359, 57–79. [Google Scholar] [CrossRef]
- Rebelein, J.G.; Ward, T.R. In Vivo Catalyzed New-to-Nature Reactions. Curr. Opin. Biotechnol. 2018, 53, 106–114. [Google Scholar] [CrossRef]
- Chang, T.C.; Tanaka, K. In Vivo Organic Synthesis by Metal Catalysts. Bioorg. Med. Chem. 2021, 46, 116353. [Google Scholar] [CrossRef]
- Wang, J.; Wang, X.; Fan, X.; Chen, P.R. Unleashing the Power of Bond Cleavage Chemistry in Living Systems. ACS Cent. Sci. 2021, 7, 929–943. [Google Scholar] [CrossRef]
- Soldevila-Barreda, J.J.; Romero-Canelón, I.; Habtemariam, A.; Sadler, P.J. Transfer Hydrogenation Catalysis in Cells as a New Approach to Anticancer Drug Design. Nat. Commun. 2015, 6, 6582. [Google Scholar] [CrossRef]
- Nguyen, D.P.; Nguyen, H.T.H.; Do, L.H. Tools and Methods for Investigating Synthetic Metal-Catalyzed Reactions in Living Cells. ACS Catal 2021, 11, 5148–5165. [Google Scholar] [CrossRef]
- Destito, P.; Vidal, C.; López, F.; Mascareñas, J.L. Transition Metal-Promoted Reactions in Aqueous Media and Biological Settings. Chem. Eur. J. 2021, 27, 4789–4816. [Google Scholar] [CrossRef]
- Giorgi, E.; Binacchi, F.; Marotta, C.; Cirri, D.; Gabbiani, C.; Hangan, C.; Lucaciu, R.L.; Giorgi, E.; Binacchi, F.; Marotta, C.; et al. Highlights of New Strategies to Increase the Efficacy of Transition Metal Complexes for Cancer Treatments. Molecules 2022, 28, 273. [Google Scholar] [CrossRef]
- Shumi, G.; Desalegn, T.; Demissie, T.B.; Ramachandran, V.P.; Eswaramoorthy, R. Metal Complexes in Target-Specific Anticancer Therapy: Recent Trends and Challenges. J. Chem. 2022, 2022, 9261683. [Google Scholar] [CrossRef]
- Paprocka, R.; Wiese-Szadkowska, M.; Janciauskiene, S.; Kosmalski, T.; Kulik, M.; Helmin-Basa, A. Latest Developments in Metal Complexes as Anticancer Agents. Coord. Chem. Rev. 2022, 452, 214307. [Google Scholar] [CrossRef]
- Atanasov, A.G.; Zotchev, S.B.; Dirsch, V.M.; Orhan, I.E.; Banach, M.; Rollinger, J.M.; Barreca, D.; Weckwerth, W.; Bauer, R.; Bayer, E.A.; et al. Natural Products in Drug Discovery: Advances and Opportunities. Nat. Rev. Drug Discov. 2021, 20, 200–216. [Google Scholar] [CrossRef]
- Babahan-Bircan, I.; Emirdağ, S.; Özmen, A.; Abbak, M.; Ujam, O.T.; Demirkaya, I.; Günay, M.E. A New Hybrid Ligand and Its Metal Complexes from a Natural Plant (Styrax officinalis) Bearing Egonol, Thiosemicarbazone and Oxime Units, and Their Anti-Cancer Activities. Appl. Organomet. Chem. 2022, 36, e6784. [Google Scholar] [CrossRef]
- Scattolin, T.; Caligiuri, I.; Canovese, L.; Demitri, N.; Gambari, R.; Lampronti, I.; Rizzolio, F.; Santo, C.; Visentin, F. Synthesis of New Allyl Palladium Complexes Bearing Purine-Based NHC Ligands with Antiproliferative and Proapoptotic Activities on Human Ovarian Cancer Cell Lines. Dalton Trans. 2018, 47, 13616–13630. [Google Scholar] [CrossRef]
- Scattolin, T.; Giust, S.; Bergamini, P.; Caligiuri, I.; Canovese, L.; Demitri, N.; Gambari, R.; Lampronti, I.; Rizzolio, F.; Visentin, F. Palladacyclopentadienyl Complexes Bearing Purine-Based N-Heterocyclic Carbenes: A New Class of Promising Antiproliferative Agents against Human Ovarian Cancer. Appl. Organomet. Chem. 2019, 33, e4902. [Google Scholar] [CrossRef]
- Scattolin, T.; Pangerc, N.; Lampronti, I.; Tupini, C.; Gambari, R.; Marvelli, L.; Rizzolio, F.; Demitri, N.; Canovese, L.; Visentin, F. Palladium (0) Olefin Complexes Bearing Purine-Based N-Heterocyclic Carbenes and 1,3,5-Triaza-7-Phosphaadamantane (PTA): Synthesis, Characterization and Antiproliferative Activity toward Human Ovarian Cancer Cell Lines. J. Organomet. Chem. 2019, 899, 120857. [Google Scholar] [CrossRef]
- Balewski, Ł.; Szulta, S.; Jalińska, A.; Kornicka, A. A Mini-Review: Recent Advances in Coumarin-Metal Complexes with Biological Properties. Front. Chem. 2021, 9, 781779. [Google Scholar] [CrossRef]
- Halter, O.; Plenio, H. Fluorescent Dyes in Organometallic Chemistry: Coumarin-Tagged NHC–Metal Complexes. Eur. J. Inorg. Chem. 2018, 2018, 2935–2943. [Google Scholar] [CrossRef]
- Patil, S.A.; Kandathil, V.; Sobha, A.; Somappa, S.B.; Feldman, M.R.; Bugarin, A.; Patil, S.A. Comprehensive Review on Medicinal Applications of Coumarin-Derived Imine–Metal Complexes. Molecules 2022, 27, 5220. [Google Scholar] [CrossRef]
- Kim, J.; Lee, K.; Nam, Y.S. Metal-Polyphenol Complexes as Versatile Building Blocks for Functional Biomaterials. Biotechnol. Bioprocess Eng. 2021, 26, 689–707. [Google Scholar] [CrossRef]
- Ma, D.L.; Wu, C.; Cheng, S.S.; Lee, F.W.; Han, Q.B.; Leung, C.H. Development of Natural Product-Conjugated Metal Complexes as Cancer Therapies. Int. J. Mol. Sci. 2019, 20, 341. [Google Scholar] [CrossRef] [PubMed]
- Heras, B.L.; Amesty, Á.; Estévez-Braun, A.; Hortelano, S. Metal Complexes of Natural Product Like-Compounds with Antitumor Activity. Anticancer Agents Med. Chem. 2019, 19, 48–65. [Google Scholar] [CrossRef] [PubMed]
- Liberti, M.V.; Locasale, J.W. The Warburg Effect: How Does It Benefit Cancer Cells? Trends Biochem. Sci. 2016, 41, 211–218. [Google Scholar] [CrossRef] [PubMed]
- Liu, C.; Jin, Y.; Fan, Z. The Mechanism of Warburg Effect-Induced Chemoresistance in Cancer. Front. Oncol. 2021, 11, 3408. [Google Scholar] [CrossRef]
- Franconetti, A.; López, Ó.; Fernandez-Bolanos, J.G. Carbohydrates: Potential Sweet Tools Against Cancer. Curr. Med. Chem. 2020, 27, 1206–1242. [Google Scholar] [CrossRef]
- Bononi, G.; Iacopini, D.; Cicio, G.; Di Pietro, S.; Granchi, C.; Di Bussolo, V.; Minutolo, F. Glycoconjugated Metal Complexes as Cancer Diagnostic and Therapeutic Agents. ChemMedChem 2021, 16, 30–64. [Google Scholar] [CrossRef]
- Annunziata, A.; Cucciolito, M.E.; Imbimbo, P.; Silipo, A.; Ruffo, F. A Hydrophilic Olefin Pt(0) Complex Containing a Glucoconjugated 2-Iminopyridine Ligand: Synthesis, Characterization, Stereochemistry and Biological Activity. Inorg. Chim. Acta 2021, 516, 120092. [Google Scholar] [CrossRef]
- Annunziata, A.; Cucciolito, M.E.; Esposito, R.; Ferraro, G.; Monti, D.M.; Merlino, A.; Ruffo, F. Five-Coordinate Platinum(II) Compounds as Potential Anticancer Agents. Eur. J. Inorg. Chem. 2020, 11–12, 918–929. [Google Scholar] [CrossRef]
- Annunziata, A.; Amoresano, A.; Cucciolito, M.E.; Esposito, R.; Ferraro, G.; Iacobucci, I.; Imbimbo, P.; Lucignano, R.; Melchiorre, M.; Monti, M.; et al. Pt(II) versus Pt(IV) in Carbene Glycoconjugate Antitumor Agents: Minimal Structural Variations and Great Performance Changes. Inorg. Chem. 2020, 59, 4002–4014. [Google Scholar] [CrossRef]
- Casini, A.; Thomas, S.R. The Beauty of Gold: Knowledge of Mechanisms Leads to Different Applications of Organogold Compounds in Medicine and Catalysis. Chem. Lett. 2021, 50, 1516–1522. [Google Scholar] [CrossRef]
- Bindoli, A.; Rigobello, M.P.; Scutari, G.; Gabbiani, C.; Casini, A.; Messori, L. Thioredoxin Reductase: A Target for Gold Compounds Acting as Potential Anticancer Drugs. Coord. Chem. Rev. 2009, 253, 1692–1707. [Google Scholar] [CrossRef]
- Gratteri, P.; Massai, L.; Michelucci, E.; Rigo, R.; Messori, L.; Cinellu, M.A.; Musetti, C.; Sissi, C.; Bazzicalupi, C. Interactions of Selected Gold(III) Complexes with DNA G Quadruplexes. Dalton Trans. 2015, 44, 3633. [Google Scholar] [CrossRef]
- Wragg, D.; Ndreia De Almeida, A.; Iccardo Bonsignore, R.; Kühn, E.; Leoni, S.; Casini, A. G-Quadruplexes On the Mechanism of Gold/NHC Compounds Binding to DNAG-Quadruplexes:Combined Metadynamics and Biophysical Methods. Angew. Chem. 2018, 130, 14732–14736. [Google Scholar] [CrossRef]
- Bayrakdar, T.A.C.A.; Scattolin, T.; Ma, X.; Nolan, S.P. Dinuclear Gold(I) Complexes: From Bonding to Applications. Chem. Soc. Rev. 2020, 49, 7044–7100. [Google Scholar] [CrossRef]
- Annunziata, A.; Ferraro, G.; Cucciolito, M.E.; Imbimbo, P.; Tuzi, A.; Monti, D.M.; Merlino, A.; Ruffo, F. Halo Complexes of Gold(I) Containing Glycoconjugate Carbene Ligands: Synthesis, Characterization, Cytotoxicity and Interaction with Proteins and DNA Model Systems. Dalton Trans. 2022, 51, 10475–10485. [Google Scholar] [CrossRef]
- Tresin, F.; Stoppa, V.; Baron, M.; Biffis, A.; Annunziata, A.; D’Elia, L.; Monti, D.M.; Ruffo, F.; Roverso, M.; Sgarbossa, P.; et al. Synthesis and Biological Studies on Dinuclear Gold(I) Complexes with Di-(N-Heterocyclic Carbene) Ligands Functionalized with Carbohydrates. Molecules 2020, 25, 3850. [Google Scholar] [CrossRef]
- Scattolin, T.; Nolan, S.P. Synthetic Routes to Late Transition Metal–NHC Complexes. Trends Chem. 2020, 2, 721–736. [Google Scholar] [CrossRef]
- Safir Filho, M.; Scattolin, T.; Dao, P.; Tzouras, N.V.; Benhida, R.; Saab, M.; Van Hecke, K.; Lippmann, P.; Martin, A.R.; Ott, I.; et al. Straightforward Synthetic Route to Gold(I)-Thiolato Glycoconjugate Complexes Bearing NHC Ligands (NHC = N-Heterocyclic Carbene) and Their Promising Anticancer Activity. New J. Chem. 2021, 45, 9995–10001. [Google Scholar] [CrossRef]
- Ryzhakov, D.; Beillard, A.; Le Bideau, F.; Al-Shuaeeb, R.A.A.; Alami, M.; Bantreil, X.; Bonnemoy, A.; Gautier, A.; Lamaty, F.; Messaoudi, S. Azoliums and Ag(I)-N-Heterocyclic Carbene Thioglycosides: Synthesis, Reactivity and Bioactivity. Eur. J. Org. Chem. 2022, 9, e202101499. [Google Scholar] [CrossRef]
- Kapdi, A.R.; Fairlamb, I.J.S. Anti-Cancer Palladium Complexes: A Focus on PdX2L2, Palladacycles and Related Complexes. Chem. Soc. Rev. 2014, 43, 4751–4777. [Google Scholar] [CrossRef] [PubMed]
- Scattolin, T.; Voloshkin, V.A.; Visentin, F.; Nolan, S.P. A Critical Review of Palladium Organometallic Anticancer Agents. Cell Rep. Phys. Sci. 2021, 2, 100446. [Google Scholar] [CrossRef]
- Scattolin, T.; Pessotto, I.; Cavarzerani, E.; Canzonieri, V.; Orian, L.; Demitri, N.; Schmidt, C.; Casini, A.; Bortolamiol, E.; Visentin, F.; et al. Indenyl and Allyl Palladate Complexes Bearing N-Heterocyclic Carbene Ligands: An Easily Accessible Class of New Anticancer Drug Candidates. Eur. J. Inorg. Chem. 2022, 2, e2022000103. [Google Scholar] [CrossRef]
- Scattolin, T.; Bortolamiol, E.; Palazzolo, S.; Caligiuri, I.; Perin, T.; Canzonieri, V.; Demitri, N.; Rizzolio, F.; Cavallo, L.; Dereli, B.; et al. The Anticancer Activity of an Air-Stable Pd(I)-NHC (NHC = N-Heterocyclic Carbene) Dimer. Chem. Commun. 1223, 56, 12238. [Google Scholar] [CrossRef] [PubMed]
- Scattolin, T.; Bortolamiol, E.; Visentin, F.; Palazzolo, S.; Caligiuri, I.; Perin, T.; Canzonieri, V.; Demitri, N.; Rizzolio, F.; Togni, A. Palladium(II)-H3-Allyl Complexes Bearing N-Trifluoromethyl N-Heterocyclic Carbenes: A New Generation of Anticancer Agents That Restrain the Growth of High-Grade Serous Ovarian Cancer Tumoroids. Chem. Eur. J. 2020, 26, 11868–11876. [Google Scholar] [CrossRef]
- Scattolin, T.; Bortolamiol, E.; Rizzolio, F.; Demitri, N.; Visentin, F. Allyl Palladium Complexes Bearing Carbohydrate-Based N-Heterocyclic Carbenes: Anticancer Agents for Selective and Potent In Vitro Cytotoxicity. Appl. Organomet. Chem. 2020, 34, e5876. [Google Scholar] [CrossRef]
- Iacopini, D.; Vančo, J.; Di Pietro, S.; Bordoni, V.; Zacchini, S.; Marchetti, F.; Dvořák, Z.; Malina, T.; Biancalana, L.; Trávníček, Z.; et al. New Glycoconjugation Strategies for Ruthenium(II) Arene Complexes via Phosphane Ligands and Assessment of Their Antiproliferative Activity. Bioorg. Chem. 2022, 126, 105901. [Google Scholar] [CrossRef]
- Kacsir, I.; Sipos, A.; Ujlaki, G.; Buglyó, P.; Somsák, L.; Bai, P.; Bokor, É. Ruthenium Half-Sandwich Type Complexes with Bidentate Monosaccharide Ligands Show Antineoplastic Activity in Ovarian Cancer Cell Models through Reactive Oxygen Species Production. Int. J. Mol. Sci. 2021, 22, 10454. [Google Scholar] [CrossRef]
- Kacsir, I.; Sipos, A.; Bényei, A.; Janka, E.; Buglyó, P.; Somsák, L.; Bai, P.; Bokor, É. Reactive Oxygen Species Production Is Responsible for Antineoplastic Activity of Osmium, Ruthenium, Iridium and Rhodium Half-Sandwich Type Complexes with Bidentate Glycosyl Heterocyclic Ligands in Various Cancer Cell Models. Int. J. Mol. Sci. 2022, 23, 813. [Google Scholar] [CrossRef]
- Schoch, S.; Iacopini, D.; Dalla Pozza, M.; Di Pietro, S.; Degano, I.; Gasser, G.; Di Bussolo, V.; Marchetti, F. Tethering Carbohydrates to the Vinyliminium Ligand of Antiproliferative Organometallic Diiron Complexes. Organometallics 2022, 41, 514–526. [Google Scholar] [CrossRef]
- Gillam, T.A.; Caporale, C.; Brooks, R.D.; Bader, C.A.; Sorvina, A.; Werrett, M.V.; Wright, P.J.; Morrison, J.L.; Massi, M.; Brooks, D.A.; et al. Neutral Re(I) Complex Platform for Live Intracellular Imaging. Inorg. Chem. 2021, 60, 10173–10185. [Google Scholar] [CrossRef]
- Conibear, A.C.; Schmid, A.; Kamalov, M.; Becker, C.F.W.; Bello, C. Recent Advances in Peptide-Based Approaches for Cancer Treatment. Curr. Med. Chem. 2017, 27, 1174–1205. [Google Scholar] [CrossRef]
- Goulet, D.R.; Atkins, W.M. Considerations for the Design of Antibody-Based Therapeutics. J. Pharm. Sci. 2020, 109, 74–103. [Google Scholar] [CrossRef]
- Dragovich, P.S. Antibody−Drug Conjugates for Immunology. J. Med. Chem. 2022, 2022, 4499. [Google Scholar] [CrossRef]
- Loreto, D.; Merlino, A. The Interaction of Rhodium Compounds with Proteins: A Structural Overview. Coord. Chem. Rev. 2021, 442, 213999. [Google Scholar] [CrossRef]
- Bolzati, C.; Spolaore, B. Enzymatic Methods for the Site-Specific Radiolabeling of Targeting Proteins. Molecules 2021, 26, 3492. [Google Scholar] [CrossRef]
- del Solar, V.; Contel, M. Metal-Based Antibody Drug Conjugates. Potential and Challenges in Their Application as Targeted Therapies in Cancer. J. Inorg. Biochem. 2019, 199, 110780. [Google Scholar] [CrossRef]
- Rigolot, V.; Biot, C.; Lion, C. To View Your Biomolecule, Click inside the Cell. Angew. Chem.—Int. Ed. 2021, 60, 23084–23105. [Google Scholar] [CrossRef]
- Ohata, J.; Martin, S.C.; Ball, Z.T. Metal-Mediated Functionalization of Natural Peptides and Proteins: Panning for Bioconjugation Gold. Angew. Chem.—Int. Ed. 2019, 58, 6176–6199. [Google Scholar] [CrossRef]
- Yang, E.Y.; Shah, K. Nanobodies: Next Generation of Cancer Diagnostics and Therapeutics. Front. Oncol. 2020, 10, 1182. [Google Scholar] [CrossRef]
- Gayraud, F.; Klußmann, M.; Neundorf, I. Recent Advances and Trends in Chemical Cpp–Drug Conjugation Techniques. Molecules 2021, 26, 1591. [Google Scholar] [CrossRef] [PubMed]
- Lomis, N.; Westfall, S.; Farahdel, L.; Malhotra, M.; Shum-Tim, D.; Prakash, S. Human Serum Albumin Nanoparticles for Use in Cancer Drug Delivery: Process Optimization and In Vitro Characterization. Nanomaterials 2016, 6, 116. [Google Scholar] [CrossRef] [PubMed]
- Meier-Menches, S.M.; Casini, A. Design Strategies and Medicinal Applications of Metal-Peptidic Bioconjugates 30th Anniversary Review. Bioconjugate Chem. 2020, 31, 1279–1288. [Google Scholar] [CrossRef] [PubMed]
- Imberti, C.; Lermyte, F.; Friar, E.P.; O’Connor, P.B.; Sadler, P.J. Facile Protein Conjugation of Platinum for Light-Activated Cytotoxic Payload Release. Chem. Commun. 2021, 57, 7645–7648. [Google Scholar] [CrossRef] [PubMed]
- Vlieghe, P.; Lisowski, V.; Martinez, J.; Khrestchatisky, M. Synthetic Therapeutic Peptides: Science and Market. Drug Discov. Today 2010, 15, 40–56. [Google Scholar] [CrossRef]
- Liu, W.; Wu, C. A Mini-Review and Perspective on Multicyclic Peptide Mimics of Antibodies. Chin. Chem. Lett. 2018, 29, 1063–1066. [Google Scholar] [CrossRef]
- Obitz, D.; Miller, R.G.; Metzler-Nolte, N. Synthesis and DNA Interaction Studies of Ru(II) Cell Penetrating Peptide (CPP) Bioconjugates. Dalton Trans. 2021, 50, 13768–13777. [Google Scholar] [CrossRef]
- Silva, M.J.S.A.; Vinck, R.; Wang, Y.; Saubaméa, B.; Tharaud, M.; Dominguez-Jurado, E.; Karges, J.; Gois, P.M.P.; Gasser, G. Towards Selective Delivery of a Ruthenium(II) Polypyridyl Complex-Containing Bombesin Conjugate into Cancer Cells. ChemBioChem 2023, 24, e202200647. [Google Scholar] [CrossRef]
- Karges, J.; Jakubaszek, M.; Mari, C.; Zarschler, K.; Goud, B.; Stephan, H.; Gasser, G. Synthesis and Characterization of an Epidermal Growth Factor Receptor-Selective RuII Polypyridyl–Nanobody Conjugate as a Photosensitizer for Photodynamic Therapy. ChemBioChem 2020, 21, 531–542. [Google Scholar] [CrossRef]
- Zhao, Z.; Tao, X.; Xie, Y.; Lai, Q.; Lin, W.; Lu, K.; Wang, J.; Xia, W.; Mao, Z.W. In Situ Prodrug Activation by an Affibody-Ruthenium Catalyst Hybrid for HER2-Targeted Chemotherapy. Angew. Chem.—Int. Ed. 2022, 61, e202202855. [Google Scholar]
- Roy, S.; Rangasamy, L.; Nouar, A.; Koenig, C.; Pierroz, V.; Kaeppeli, S.; Ferrari, S.; Patra, M.; Gasser, G. Synthesis and Biological Evaluation of Metallocene-Tethered Peptidyl Inhibitors of CDC25. Organometallics 2021, 40, 2716–2723. [Google Scholar] [CrossRef]
- Melis, D.R.; Burgoyne, A.R.; Ooms, M.; Gasser, G. Bifunctional Chelators for Radiorhenium: Past, Present and Future Outlook. RSC Med. Chem. 2022, 13, 217. [Google Scholar] [CrossRef]
- Lee, W.; Sarkar, S.; Pal, R.; Kim, J.Y.; Park, H.; Huynh, P.T.; Bhise, A.; Bobba, K.N.; Kim, K.I.; Ha, Y.S.; et al. Successful Application of CuAAC Click Reaction in Constructing 64Cu-Labeled Antibody Conjugates for Immuno-PET Imaging. ACS Appl. Bio. Mater. 2021, 4, 2544–2557. [Google Scholar] [CrossRef]
- Woods, B.; Silva, R.D.; Schmidt, C.; Wragg, D.; Cavaco, M.; Neves, V.; Ferreira, V.F.; Gano, L.; Morais, T.S.; Mendes, F.; et al. Bioconjugate Supramolecular Pd2+ Metallacages Penetrate the Blood Brain Barrier In Vitro and In Vivo. Bioconjugate Chem. 2021, 32, 1399–1408. [Google Scholar] [CrossRef]
- Makris, G.; Bandari, R.P.; Kuchuk, M.; Jurisson, S.S.; Smith, C.J.; Hennkens, H.M. Development and Preclinical Evaluation of 99m Tc-and 186 Re-Labeled NOTA and NODAGA Bioconjugates Demonstrating Matched Pair Targeting of GRPR-Expressing Tumors. Mol. Imaging Biol. 2021, 23, 52–61. [Google Scholar] [CrossRef]
- Wang, J.; Makris, G.; Kuchuk, M.; Radford, L.; Gallazzi, F.; Lewis, M.R.; Jurisson, S.S.; Hennkens, H.M. Direct Labeling of a Somatostatin Receptor Antagonist via Peptide Cyclization with Re, 99mTc and 186Re Metal Centers: Radiochemistry and in Vitro Evaluation. Nucl. Med. Biol. 2021, 94–95, 46–52. [Google Scholar] [CrossRef]
- Markovic, M.; Ben-Shabat, S.; Aponick, A.; Zimmermann, E.M.; Dahan, A. Lipids and Lipid-Processing Pathways in Drug Delivery and Therapeutics. Int. J. Mol. Sci. 2020, 21, 3248. [Google Scholar] [CrossRef]
- Murray, M.; Hraiki, A.; Bebawy, M.; Pazderka, C.; Rawling, T. Anti-Tumor Activities of Lipids and Lipid Analogues and Their Development as Potential Anticancer Drugs. Pharmacol. Ther. 2015, 150, 109–128. [Google Scholar] [CrossRef]
- Majumder, J.; Minko, T. Multifunctional Lipid-Based Nanoparticles for Codelivery of Anticancer Drugs and Sirna for Treatment of Non-Small Cell Lung Cancer with Different Level of Resistance and Egfr Mutations. Pharmaceutics 2021, 13, 1063. [Google Scholar] [CrossRef]
- Sreekanth, V.; Bajaj, A. Recent Advances in Engineering of Lipid Drug Conjugates for Cancer Therapy. ACS Biomater. Sci. Eng. 2019, 5, 4148–4166. [Google Scholar] [CrossRef]
- Zolottsev, V.A.; Latysheva, A.S.; Pokrovsky, V.S.; Khan, I.I.; Misharin, A.Y. Promising Applications of Steroid Conjugates for Cancer Research and Treatment. Eur. J. Med. Chem. 2021, 210, 113089. [Google Scholar] [CrossRef] [PubMed]
- Bansal, R.; Suryan, A. A Comprehensive Review on Steroidal Bioconjugates as Promising Leads in Drug Discovery. ACS Bio. Med. Chem. Au 2022, 2, 340–369. [Google Scholar] [CrossRef] [PubMed]
- Riccardi, C.; Piccolo, M.; Ferraro, M.G.; Graziano, R.; Musumeci, D.; Trifuoggi, M.; Irace, C.; Montesarchio, D. Bioengineered Lipophilic Ru(III) Complexes as Potential Anticancer Agents. Biomater. Adv. 2022, 139, 213016. [Google Scholar] [CrossRef] [PubMed]
- Barrett, S.; De Franco, M.; Kellett, A.; Dempsey, E.; Marzano, C.; Erxleben, A.; Gandin, V.; Montagner, D. Anticancer Activity, DNA Binding and Cell Mechanistic Studies of Estrogen-Functionalised Cu(II) Complexes. J. Biol. Inorg. Chem. 2020, 25, 49–60. [Google Scholar] [CrossRef]
- Scattolin, T.; Lippmann, P.; Beliš, M.; van Hecke, K.; Ott, I.; Nolan, S.P. A Simple Synthetic Entryway into (N-Heterocyclic Carbene)Gold-Steroidyl Complexes and Their Anticancer Activity. Appl. Organomet. Chem. 2022, e6624. [Google Scholar] [CrossRef]
- Lazniewska, J.; Bader, C.; Hickey, S.M.; Selemidis, S.; O’Leary, J.; Simpson, P.V.; Stagni, S.; Plush, S.E.; Massi, M.; Brooks, D. Rhenium(I) Conjugates as Tools for Tracking Cholesterol in Cells. Metallomics 2022, 14, mfac040. [Google Scholar] [CrossRef]
- Bege, M.; Borbás, A. The Medicinal Chemistry of Artificial Nucleic Acids and Therapeutic Oligonucleotides. Pharmaceuticals 2022, 15, 909. [Google Scholar] [CrossRef]
- Wang, W.; He, S.; Dong, G.; Sheng, C. Nucleic-Acid-Based Targeted Degradation in Drug Discovery. J. Med. Chem. 2022, 65, 10217–10232. [Google Scholar] [CrossRef]
- Sigel, A.; Sigel, H.; Sigel, R.K.O. Coordination Chemistry of Nucleotides and Antivirally Active Acyclic Nucleoside Phosphonates, Including Mechanistic Considerations. Molecules 2022, 27, 2625. [Google Scholar] [CrossRef]
- Szefler, B.; Czeleń, P.; Kruszewski, S.; Siomek-Górecka, A.; Krawczyk, P. The Assessment of Physicochemical Properties of Cisplatin Complexes with Purines and Vitamins B Group. J. Mol. Graph. Model. 2022, 113, 108144. [Google Scholar] [CrossRef]
- D’Errico, S.; Falanga, A.P.; Greco, F.; Piccialli, G.; Oliviero, G.; Borbone, N. State of Art in the Chemistry of Nucleoside-Based Pt(II) Complexes. Bioorg. Chem. 2023, 131, 106325. [Google Scholar] [CrossRef]
- Orts-Arroyo, M.; Gutiérrez, F.; Gil-Tebar, A.; Ibarrola-Villava, M.; Jiménez-Martí, E.; Silvestre-Llora, A.; Castro, I.; Ribas, G.; Martínez-Lillo, J. A Novel Adenine-Based Diruthenium(III) Complex: Synthesis, Crystal Structure, Electrochemical Properties and Evaluation of the Anticancer Activity. J. Inorg. Biochem. 2022, 232, 111812. [Google Scholar] [CrossRef]
- Mckenzie, L.K.; Flamme, M.; Felder, P.S.; Karges, J.; Bonhomme, F.; Gandioso, A.; Malosse, C.; Gasser, G.; Hollenstein, M. A ruthenium–oligonucleotide bioconjugated photosensitizing aptamer for cancer cell specific photodynamic therapy. RSC Chem. Biol. 2022, 3, 85. [Google Scholar] [CrossRef]
- Marotta, C.; Giorgi, E.; Binacchi, F.; Cirri, D.; Gabbiani, C.; Pratesi, A. An Overview of Recent Advancements in Anticancer Pt(IV) Prodrugs: New Smart Drug Combinations, Activation and Delivery Strategies. Inorg. Chim. Acta 2023, 548, 121388. [Google Scholar] [CrossRef]
- Koide, T.; Ono, T.; Shimakoshi, H.; Hisaeda, Y. Functions of Bioinspired Pyrrole Cobalt Complexes–Recently Developed Catalytic Systems of Vitamin B12 Related Complexes and Porphycene Complexes–. Coord. Chem. Rev. 2022, 470, 214690. [Google Scholar] [CrossRef]
- Omidinia, R.; Ali Beyramabadi, S.; Allameh, S.; Morsali, A.; Pordel, M. Synthesis, Characterization, DFT and Antibacterial Studies of a Novel Vitamin B6 Schiff Base and Its Cu(II) and Zn(II) Complexes. J. Mol. Struct. 2022, 1248, 131452. [Google Scholar] [CrossRef]
- Tabatabayi, Z.S.; Homayouni-Tabrizi, M.; Neamati, A.; Beyramabadi, S.A. Mn(II) Complex of a Vitamin B6 Schiff Base as an Exclusive Apoptosis Inducer in Human MCF7 and HepG2 Cancer Cells: Synthesis, Characterization, and Biological Studies. J. Cell. Biochem. 2020, 121, 2677–2689. [Google Scholar] [CrossRef]
- Ming, J.; Bhatti, M.Z.; Ali, A.; Zhang, Z.; Wang, N.; Mohyuddin, A.; Chen, J.; Zhang, Y.; Rahman, F.-U. Vitamin B6 Based Pt(II) Complexes: Biomolecule Derived Potential Cytotoxic Agents for Thyroid Cancer. Metallomics 2022, 14, mfac053. [Google Scholar] [CrossRef]
- Brzeminski, P.; Fabisiak, A.; Berkowska, K.; Rárová, L.; Marcinkowska, E.; Sicinski, R.R. Synthesis of Gemini Analogs of 19-Norcalcitriol and Their Platinum(II) Complexes. Bioorg. Chem. 2020, 100, 103883. [Google Scholar] [CrossRef]
- Vinck, R.; Gandioso, A.; Burckel, P.; Saubaméa, B.; Cariou, K.; Gasser, G. Red-Absorbing Ru(II) Polypyridyl Complexes with Biotin Targeting Spontaneously Assemble into Nanoparticles in Biological Media. Inorg. Chem. 2022, 61, 13576–13585. [Google Scholar] [CrossRef]
- Rossier, J.; Delasoie, J.; Haeni, L.; Hauser, D.; Rothen-Rutishauser, B.; Zobi, F. Cytotoxicity of Mn-Based PhotoCORMs of Ethynyl-α-Diimine Ligands against Different Cancer Cell Lines: The Key Role of CO-Depleted Metal Fragments. J. Inorg. Biochem. 2020, 209, 111122. [Google Scholar] [CrossRef] [PubMed]
- Hadjiadamou, I.; Vlasiou, M.; Spanou, S.; Simos, Y.; Papanastasiou, G.; Kontargiris, E.; Dhima, I.; Ragos, V.; Karkabounas, S.; Drouza, C.; et al. Synthesis of Vitamin E and Aliphatic Lipid Vanadium(IV) and (V) Complexes, and Their Cytotoxic Properties. J. Inorg. Biochem. 2020, 208, 111074. [Google Scholar] [CrossRef] [PubMed]
- Harihar, S.; Mone, N.; Satpute, S.K.; Chadar, D.; Chakravarty, D.; Weyhermüller, T.; Butcher, R.J.; Salunke-Gawali, S. Metal Complexes of a Pro-Vitamin K3 Analog Phthiocol (2-Hydroxy-3-Methylnaphthalene-1,4-Dione): Synthesis, Characterization, and Anticancer Activity. Dalton Trans. 2022, 51, 17338–17353. [Google Scholar] [CrossRef] [PubMed]















| Disclaimer/Publisher’s Note: The statements, opinions and data contained in all publications are solely those of the individual author(s) and contributor(s) and not of MDPI and/or the editor(s). MDPI and/or the editor(s) disclaim responsibility for any injury to people or property resulting from any ideas, methods, instructions or products referred to in the content. | 
© 2023 by the authors. Licensee MDPI, Basel, Switzerland. This article is an open access article distributed under the terms and conditions of the Creative Commons Attribution (CC BY) license (https://creativecommons.org/licenses/by/4.0/).
Share and Cite
Bortolamiol, E.; Visentin, F.; Scattolin, T. Recent Advances in Bioconjugated Transition Metal Complexes for Cancer Therapy. Appl. Sci. 2023, 13, 5561. https://doi.org/10.3390/app13095561
Bortolamiol E, Visentin F, Scattolin T. Recent Advances in Bioconjugated Transition Metal Complexes for Cancer Therapy. Applied Sciences. 2023; 13(9):5561. https://doi.org/10.3390/app13095561
Chicago/Turabian StyleBortolamiol, Enrica, Fabiano Visentin, and Thomas Scattolin. 2023. "Recent Advances in Bioconjugated Transition Metal Complexes for Cancer Therapy" Applied Sciences 13, no. 9: 5561. https://doi.org/10.3390/app13095561
APA StyleBortolamiol, E., Visentin, F., & Scattolin, T. (2023). Recent Advances in Bioconjugated Transition Metal Complexes for Cancer Therapy. Applied Sciences, 13(9), 5561. https://doi.org/10.3390/app13095561
 
        


