Electromagnetic Scattering by Bianisotropic Spheres
Abstract
1. Introduction
2. Results
2.1. Bianisotropic Orbitals
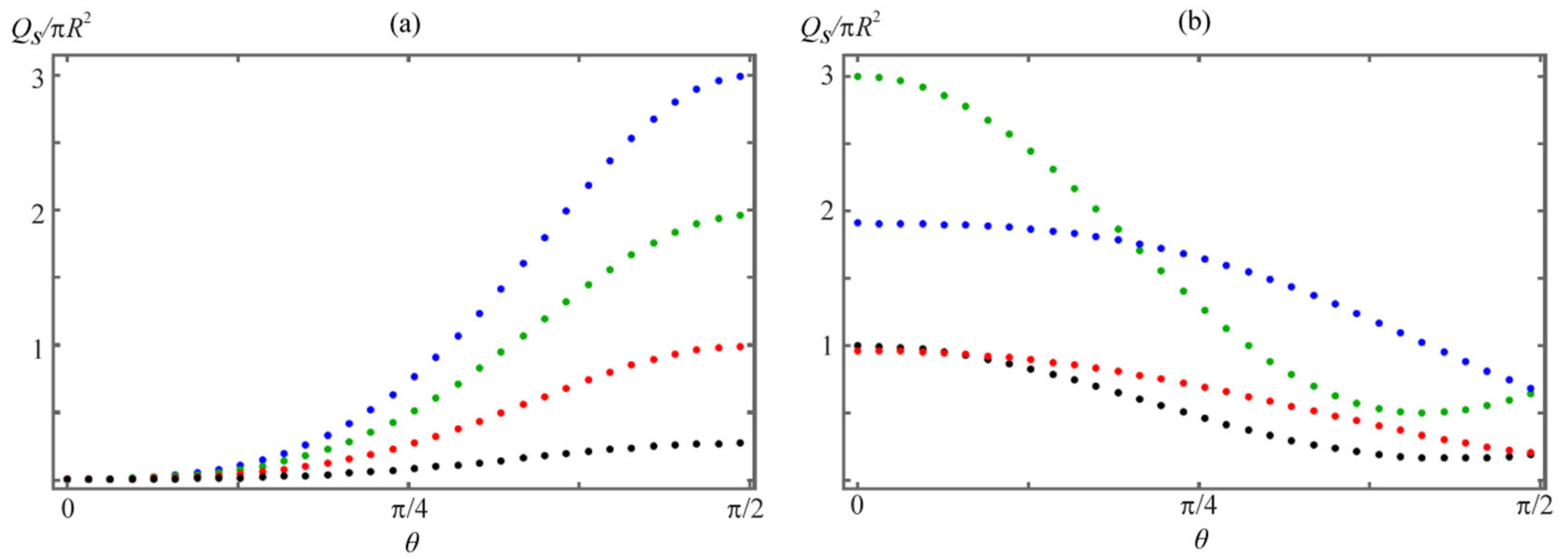
2.2. Scattering Cross-Section of Bianisotropic Spheres in a Vacuum
2.3. Expressions of Polarizability in the Rayleigh Limit
3. Discussion and Conclusions
Funding
Data Availability Statement
Acknowledgments
Conflicts of Interest
Appendix A
Appendix B
Appendix C
References
- Schwab, K. The Fourth Industrial Revolution; Currency: Redfern, Australia, 2017. [Google Scholar]
- Dang, S.; Osama, A.; Shihada, B.; Alouini, M.-S. What should 6G be? Nat. Electron. 2020, 3, 20–29. [Google Scholar] [CrossRef]
- Wolf, E.L.; Medikonda, M. Understanding the Nanotechnology Revolution; John Wiley & Sons: Hoboken, NJ, USA, 2012. [Google Scholar]
- Furse, C.; Christensen, D.A.; Durney, C.H. Basic Introduction to Bioelectromagnetics; CRC Press: Boca Raton, FL, USA, 2009. [Google Scholar]
- Poisel, R.A. Information Warfare and Electronic Warfare Systems; Artech House: Norwood, MA, USA, 2013. [Google Scholar]
- Jordan, M.I.; Mitchell, T.M. Machine learning: Trends, perspectives, and prospects. Science 2015, 349, 255–260. [Google Scholar] [CrossRef] [PubMed]
- Bhaumik, H.; Hexner, D. Loss of material trainability through an unusual transition. Phys. Rev. Res. 2022, 4, L042044. [Google Scholar] [CrossRef]
- Griffiths, D.J. Introduction to Electrodynamics, 4th ed.; Cambridge University Press: Cambridge, UK, 2021. [Google Scholar]
- Meyer, H.W. A History of Electricity and Magnetism; MIT Press: Cambridge, MA, USA, 1971. [Google Scholar]
- Whittaker, E. A History of the Theories of Aether and Electricity: Vol. I: The Classical Theories; Vol. II: The Modern Theories, 1900–1926; Dover Publications: Mineola, NY, USA, 2020. [Google Scholar]
- Engheta, N.; Ziolkowski, R.W. Metamaterials: Physics and Engineering Explorations; John Wiley & Sons: Hoboken, NJ, USA, 2006. [Google Scholar]
- Noginov, M.A.; Dewar, G.; McCall, M.W.; Zheludev, N.I. Tutorials in Complex Photonic Media; SPIE Press: Bellingham, WA, USA, 2009. [Google Scholar]
- Tretyakov, S.A. A personal view on the origins and developments of the metamaterial concept. J. Opt. 2016, 19, 013002. [Google Scholar] [CrossRef]
- Kamenetskii, E.O. Chirality, Magnetism and Magnetoelectricity; Springer: Berlin/Heidelberg, Germany, 2021. [Google Scholar]
- Capolino, F. Theory and Phenomena of Metamaterials; CRC Press: Boca Raton, FL, USA, 2017. [Google Scholar]
- Noginov, M.A.; Podolskiy, V.A. Tutorials in Metamaterials; CRC Press: Boca Raton, FL, USA, 2011. [Google Scholar]
- Simovski, C.; Tretyakov, S. An Introduction to Metamaterials and Nanophotonics; Cambridge University Press: Cambridge, UK, 2020. [Google Scholar]
- Mackay, T.G.; Lakhtakia, A. Electromagnetic Anisotropy and Bianisotropy: A Field Guide; World Scientific: Singapore, 2010. [Google Scholar]
- Cheng, D.K.; Kong, J.A. Covariant descriptions of bianisotropic media. Proc. IEEE 1968, 56, 248–251. [Google Scholar] [CrossRef]
- Röntgen, W.C. Ueber die durch Bewegung eines im homogenen electrischen Felde befindlichen Dielectricums hervorgerufene electrodynamische Kraft. Ann. Der Phys. 1888, 271, 264–270. [Google Scholar] [CrossRef]
- Wilson, H.A. On the electric effect of rotating a dielectric in a magnetic field. Philos. Trans. R. Soc. Lond. 1905, 204, 121–137. [Google Scholar] [CrossRef]
- Landau, L.D.; Lifshitz, E.M. Electrodynamics of Continuous Media. Theoretical Physics; Fizmatlit: Moscow, Russia, 2005; Volume 8. [Google Scholar]
- Dzyaloshinskii, I.E. On the magneto-electrical effect in antiferromagnets. J. Exp. Theoret. Phys. 1959, 37, 881–882, reprint in Soviet Phys. JETP 1960, 10, 628–629. [Google Scholar]
- Lindell, I.; Sihvola, A.; Tretyakov, S.; Viitanen, A.J. Electromagnetic Waves in Chiral and Bi-Isotropic Media; Artech House: Norwood, MA, USA, 1994. [Google Scholar]
- Kamenetskii, E.O. Bianisotropics and electromagnetics. arXiv 2006, arXiv:cond-mat/0601467. [Google Scholar]
- Sihvola, A.; Semchenko, I.; Khakhomov, S. View on the history of electromagnetics of metamaterials: Evolution of the congress series of complex media. Photonics Nanostruct. Fundam. Appl. 2014, 12, 279–283. [Google Scholar] [CrossRef]
- Tretyakov, S.A.; Bilotti, F.; Schuchinsky, A. Metamaterials Congress Series: Origins and history. In Proceedings of the 2016 10th International Congress on Advanced Electromagnetic Materials in Microwaves and Optics (METAMATERIALS), Crete, Greece, 19–22 September 2016; pp. 361–363. [Google Scholar]
- Kong, J.A. Theorems of bianisotropic media. Proc. IEEE 1972, 60, 1036–1046. [Google Scholar] [CrossRef]
- Berry, M. The optical singularities of bianisotropic crystals. Proc. R. Soc. A Math. Phys. Eng. Sci. 2005, 461, 2071–2098. [Google Scholar] [CrossRef]
- Mulkey, T.; Dillies, J.; Durach, M. Inverse problem of quartic photonics. Opt. Lett. 2018, 43, 1226–1229. [Google Scholar] [CrossRef]
- Durach, M.; Williamson, R.F.; Laballe, M.; Mulkey, T. Tri-and tetrahyperbolic isofrequency topologies complete classification of bianisotropic materials. Appl. Sci. 2020, 10, 763. [Google Scholar] [CrossRef]
- Durach, M. Tetra-hyperbolic and tri-hyperbolic optical phases in anisotropic metamaterials without magnetoelectric coupling due to hybridization of plasmonic and magnetic Bloch high-k polaritons. Opt. Commun. 2020, 476, 126349. [Google Scholar] [CrossRef]
- Durach, M.; Williamson, R.; Adams, J.; Holtz, T.; Bhatt, P.; Moreno, R.; Smith, F. On Fresnel-Airy Equations, Fabry-Perot Resonances and Surface Electromagnetic Waves in Arbitrary Bianisotropic Metamaterials. Prog. Electromagn. Res. 2022, 173, 53–69. [Google Scholar] [CrossRef]
- LaBalle, M.; Durach, M. Additional waves and additional boundary conditions in local quartic metamaterials. OSA Contin. 2019, 2, 17–24. [Google Scholar] [CrossRef]
- Durach, M. Complete 72-parametric classification of surface plasmon polaritons in quartic metamaterials. OSA Contin. 2018, 1, 162–169. [Google Scholar] [CrossRef]
- Cheng, D.K.; Kong, J.A. Time-Harmonic Fields in Source-Free Bianisotropic Media. J. Appl. Phys. 1968, 39, 5792–5796. [Google Scholar] [CrossRef]
- Kong, J.A. Electromagnetic Wave Theory; Wiley-Interscience: Hoboken, NJ, USA, 1990. [Google Scholar]
- Mie, G. Beitraege zur Optik trueber Medien, speziell kolloidaler Metalloesungen. Ann. Phys. Lpz. 1908, 25, 377–445. [Google Scholar] [CrossRef]
- Bohren, C.F.; Huffman, D.R. Absorption and Scattering of Light by Small Particles; Wiley: Hoboken, NJ, USA, 1983. [Google Scholar]
- Bohren, C.F. Light scattering by an optically active sphere. Chem. Phys. Lett. 1974, 29, 458–462. [Google Scholar] [CrossRef]
- Qiu, C.-W.; Li, L.-W.; Yeo, T.-S.; Zouhdi, S. Scattering by rotationally symmetric anisotropic spheres: Potential formulation and parametric studies. Phys. Rev. E 2007, 75, 026609. [Google Scholar] [CrossRef] [PubMed]
- Jafri, A.D.U.; Lakhtakia, A. Scattering of an electromagnetic plane wave by a homogeneous sphere made of an orthorhombic dielectric–magnetic medium. J. Opt. Soc. Am. A 2014, 31, 89–100. [Google Scholar] [CrossRef] [PubMed]
- Lin, Z.; Chui, S.T. Electromagnetic scattering by optically anisotropic magnetic particle. Phys. Rev. E 2004, 69, 056614. [Google Scholar] [CrossRef] [PubMed]
- Li, J.L.-W.; Ong, W.-L. A new solution for characterizing electromagnetic scattering by a gyroelectric sphere. IEEE Trans. Antennas Propag. 2011, 59, 3370–3378. [Google Scholar] [CrossRef]
- Li, J.L.-W.; Ong, W.-L.; Zheng, K.H.R. Anisotropic scattering effects of a gyrotropic sphere characterized using the T-matrix method. Phys. Rev. E 2012, 85, 036601. [Google Scholar] [CrossRef]
- Novitsky, A.; Shalin, A.S.; Lavrinenko, A.V. Spherically symmetric inhomogeneous bianisotropic media: Wave propagation and light scattering. Phys. Rev. A 2017, 95, 053818. [Google Scholar] [CrossRef]
- Lakhtakia, A. New principle for scattering inside a Huygens bianisotropic medium. J. Opt. 2022, 1–9. [Google Scholar] [CrossRef]
- Kruk, S.S.; Zi, J.W.; Pshenay-Severin, E.; O’Brien, K.; Neshev, D.N.; Kivshar, Y.S.; Zhang, X. Magnetic hyperbolic optical metamaterials. Nat. Commun. 2016, 7, 11329. [Google Scholar] [CrossRef]
- Tuz, V.R.; Fedorin, I.V.; Fesenko, V.I. Bi-hyperbolic isofrequency surface in a magneticsemiconductor superlattice. Opt. Lett. 2017, 42, 4561. [Google Scholar] [CrossRef]
- Tuz, V.R.; Fesenko, V.I. Magnetically induced topological transitions of hyperbolic dispersion in biaxial gyrotropic media. J. Appl. Phys. 2020, 128, 013107. [Google Scholar] [CrossRef]
- Guo, Z.; Jiang, H.; Chen, H. Hyperbolic metamaterials: From dispersion manipulation to applications. J. Appl. Phys. 2020, 127, 071101. [Google Scholar] [CrossRef]
- Takayama, O.; Lavrinenko, A.V. Optics with hyperbolic materials. JOSA B 2019, 36, F38–F48. [Google Scholar] [CrossRef]
- Davidovich, M.V. Hyperbolic metamaterials: Production, properties, applications, and prospects. Phys. Uspekhi 2019, 62, 1173. [Google Scholar] [CrossRef]
- Smith, D.R.; Schurig, D. Electromagnetic wave propagation in media with indefinite permittivity and permeability tensors. Phys. Rev. Lett. 2003, 90, 077405. [Google Scholar] [CrossRef]
- Alù, A.; Engheta, N. Achieving transparency with plasmonic and metamaterial coatings. Phys. Rev. E 2005, 72, 016623. [Google Scholar] [CrossRef]
- Hodges, R.; Dean, C.; Durach, M. Optical neutrality: Invisibility without cloaking. Opt. Lett. 2017, 42, 691–694. [Google Scholar] [CrossRef]
- Poddubny, A.; Iorsh, I.; Belov, P.; Kivshar, Y. Hyperbolic metamaterials. Nat. Photonics 2013, 7, 948–957. [Google Scholar] [CrossRef]
- Shekhar, P.; Atkinson, J.; Jacob, Z. Hyperbolic metamaterials: Fundamentals and applications. Nano Converg. 2014, 1, 14. [Google Scholar] [CrossRef]
- Ferrari, L.; Wu, C.; Lepage, D.; Zhang, X.; Liu, Z. Hyperbolic metamaterials and their applications. Prog. Quantum Electron. 2015, 40, 1–40. [Google Scholar] [CrossRef]
- Poleva, M.; Frizyuk, K.; Baryshnikova, K.; Evlyukhin, A.; Petrov, M.; Bogdanov, A. Multipolar theory of bianisotropic response of meta-atoms. Phys. Rev. B 2023, 107, L041304. [Google Scholar] [CrossRef]
- Stratton, J.A. Electromagnetic Theory; John Wiley & Sons: Hoboken, NJ, USA, 2007. [Google Scholar]
- Jackson, J.D. Classical Electrodynamics, 3rd ed.; John Wiley & Sons: Hoboken, NJ, USA, 1999. [Google Scholar]
- Varshalovich, D.A.; Moskalev, A.N.; Khersonskii, V.K. Quantum Theory of Angular Momentum; World Scientific: Singapore, 1988. [Google Scholar]
- Geng, Y.-L.; Wu, X.-B.; Li, L.-W.; Guan, B.-R. Mie scattering by a uniaxial anisotropic sphere. Phys. Rev. E 2004, 70, 056609. [Google Scholar] [CrossRef]
- Geng, Y.-L.; Qiu, C.-W. Extended Mie theory for a gyrotropic-coated conducting sphere: An analytical approach. IEEE Trans. Antennas Propag. 2011, 59, 4364–4368. [Google Scholar] [CrossRef]
- Sarkar, D.; Halas, N.J. General vector basis function solution of Maxwell’s equations. Phys. Rev. E 1997, 56, 1102. [Google Scholar] [CrossRef]
- Lakhtakia, A. Polarizability dyadics of small bianisotropic spheres. J. Phys. 1990, 51, 2235–2242. [Google Scholar] [CrossRef]
- Sihvola, A. On polarizability properties of bianisotropic spheres with noncomplete magnetoelectric dyadic. Microw. Opt. Technol. Lett. 1994, 7, 658–661. [Google Scholar] [CrossRef]
- Sihvola, A. Rayleigh formula for bianisotropic mixtures. Microw. Opt. Technol. Lett. 1996, 11, 73–75. [Google Scholar] [CrossRef]
- Staude, I.; Miroshnichenko, A.E.; Decker, M.; Fofang, N.T.; Liu, S.; Gonzales, E.; Dominguez, J.; Luk, T.S.; Neshev, D.N.; Brener, I.; et al. Tailoring directional scattering through magnetic and electric resonances in subwavelength silicon nanodisks. ACS Nano 2013, 7, 7824–7832. [Google Scholar] [CrossRef]
- Wang, C.; Jia, Z.Y.; Zhang, K.; Zhou, Y.; Fan, R.H.; Xiong, X.; Peng, R.W. Broadband optical scattering in coupled silicon nanocylinders. J. Appl. Phys. 2014, 115, 244312. [Google Scholar] [CrossRef]
- Jia, Z.Y.; Li, J.N.; Wu, H.W.; Wang, C.; Chen, T.Y.; Peng, R.W.; Wang, M. Dipole coupling and dual Fano resonances in a silicon nanodimer. J. Appl. Phys. 2016, 119, 074302. [Google Scholar] [CrossRef]




Disclaimer/Publisher’s Note: The statements, opinions and data contained in all publications are solely those of the individual author(s) and contributor(s) and not of MDPI and/or the editor(s). MDPI and/or the editor(s) disclaim responsibility for any injury to people or property resulting from any ideas, methods, instructions or products referred to in the content. |
© 2023 by the author. Licensee MDPI, Basel, Switzerland. This article is an open access article distributed under the terms and conditions of the Creative Commons Attribution (CC BY) license (https://creativecommons.org/licenses/by/4.0/).
Share and Cite
Durach, M. Electromagnetic Scattering by Bianisotropic Spheres. Appl. Sci. 2023, 13, 5169. https://doi.org/10.3390/app13085169
Durach M. Electromagnetic Scattering by Bianisotropic Spheres. Applied Sciences. 2023; 13(8):5169. https://doi.org/10.3390/app13085169
Chicago/Turabian StyleDurach, Maxim. 2023. "Electromagnetic Scattering by Bianisotropic Spheres" Applied Sciences 13, no. 8: 5169. https://doi.org/10.3390/app13085169
APA StyleDurach, M. (2023). Electromagnetic Scattering by Bianisotropic Spheres. Applied Sciences, 13(8), 5169. https://doi.org/10.3390/app13085169
