Detection of Terahertz Frequencies in S-Doped GaSe Crystals Using Laser Pulses at Telecom Wavelengths
Abstract
1. Introduction
2. Samples and Research Methods
3. Results
3.1. Refractive Index of GaSe:S in IR and THz Region
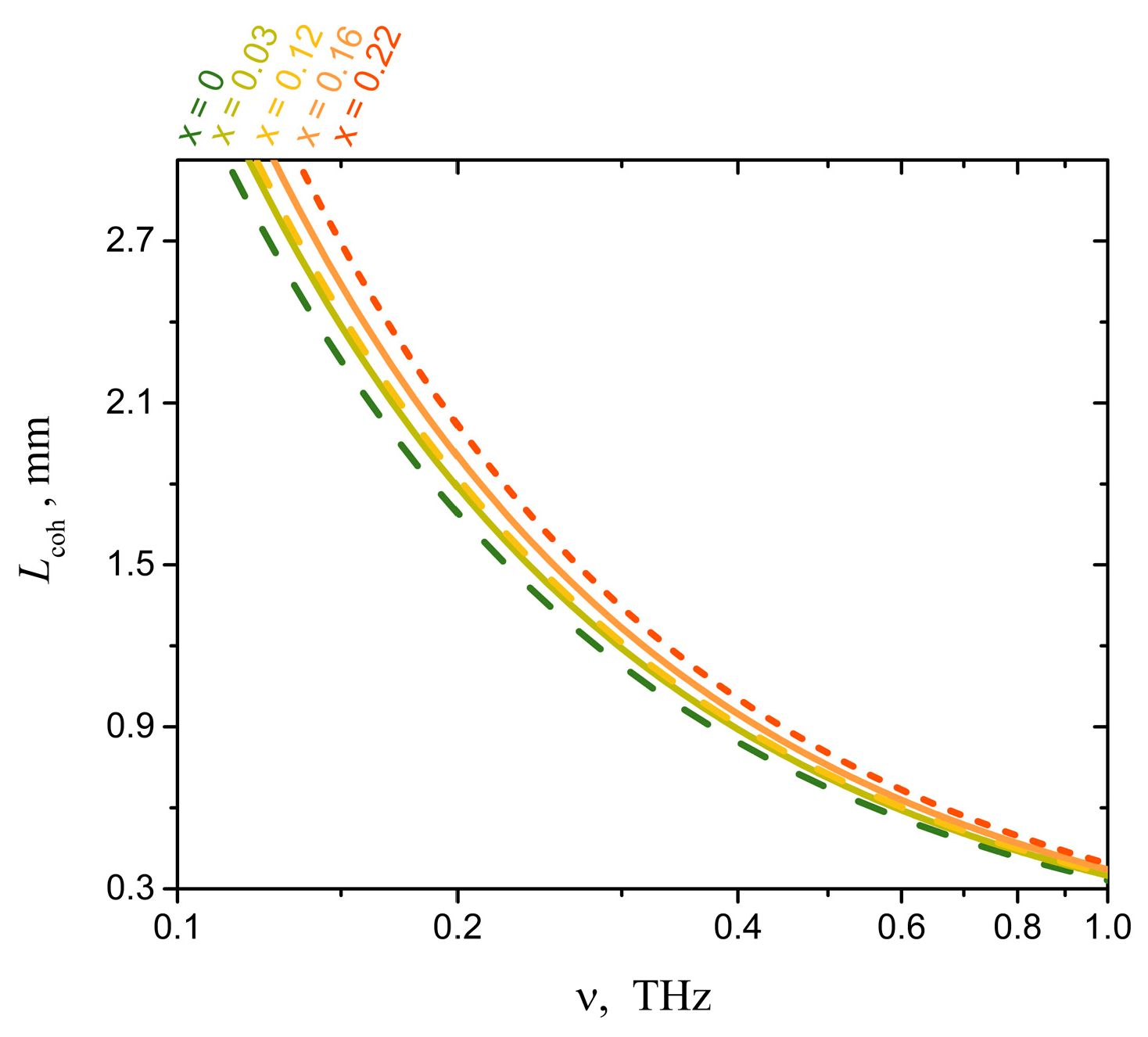
3.2. Calculation of the Crystals’ Coherence Length
3.3. Detection of THz Radiation in GaSe:S Crystals
3.3.1. Experimental Setup
3.3.2. The THz Waves Detection Efficiency
3.3.3. Electro-Optic Coefficient of GaSe:S Samples
4. Discussions
5. Conclusions
Supplementary Materials
Author Contributions
Funding
Institutional Review Board Statement
Informed Consent Statement
Data Availability Statement
Acknowledgments
Conflicts of Interest
References
- Jiang, B.; Hao, Z.; Ji, Y.; Hou, Y.; Yi, R.; Mao, D.; Gan, X.; Zhao, J. High-efficiency second-order nonlinear processes in an optical microfibre assisted by few-layer GaSe. Light. Sci. Appl. 2020, 9, 63. [Google Scholar] [CrossRef]
- Ku, S.A.; Chu, W.-C.; Luo, C.W.; Andreev, Y.; Lanskiy, G.; Shaidukoi, A.; Izaak, T.; Svetlichnyi, V.; Wu, K.-H.; Kobayashi, T. Optimal Te-doping in GaSe for non-linear applications. Opt. Express 2012, 20, 5029–5037. [Google Scholar] [CrossRef]
- Nazarov, M.M.; Sarkisov, S.Y.; Shkurinov, A.; Tolbanov, O.P. Terahertz generation in GaSe0.71S0.29 and GaSe crystals via eee- and eoo-type optical rectification. In Proceedings of the 2012 37th International Conference on Infrared, Millimeter, and Terahertz Waves, Wollongong, Australia, 23–28 September 2012; pp. 1–2. [Google Scholar] [CrossRef]
- Saad, W.; Bennis, M.; Chen, M. A Vision of 6G Wireless Systems: Applications, Trends, Technologies, and Open Research Problems. IEEE Netw. 2020, 34, 134–142. [Google Scholar] [CrossRef]
- O’Hara, J.F.; Ekin, S.; Choi, W.; Song, I. A Perspective on Terahertz Next-Generation Wireless Communications. Technologies 2019, 7, 43. [Google Scholar] [CrossRef]
- Jeon, T.-I.; Lehtomäki, J.; Kokkoniemi, J.; Juttula, H.; Mäkynen, A.; Juntti, M. Free Space Loss and Atmospheric Effects. THz Commun. Paving Way Towards Wirel. Tbps 2022, 234, 51–64. [Google Scholar] [CrossRef]
- Kim, G.-R.; Jeon, T.-I.; Grischkowsky, D. 910-m propagation of THz ps pulses through the Atmosphere. Opt. Express 2017, 25, 25422–25434. [Google Scholar] [CrossRef]
- Yamashita, M.; Takahashi, H.; Ouchi, T.; Otani, C. Ultra-broadband terahertz time-domain ellipsometric spectroscopy utilizing GaP and GaSe emitters and an epitaxial layer transferred photoconductive detector. Appl. Phys. Lett. 2014, 104, 051103. [Google Scholar] [CrossRef]
- Shi, W.; Ding, Y.J.; Fernelius, N.; Vodopyanov, K. Efficient, tunable, and coherent 018–527-THz source based on GaSe crystal. Opt. Lett. 2002, 27, 1454–1456. [Google Scholar] [CrossRef] [PubMed]
- Shi, W.; Ding, Y.J.; Fernelius, N.; Hopkins, F.K. Observation of difference-frequency generation by mixing of terahertz and near-infrared laser beams in a GaSe crystal. Appl. Phys. Lett. 2006, 88, 101101. [Google Scholar] [CrossRef]
- Voinigescu, S.P.; Tomkins, A.; Dacquay, E.; Chevalier, P.; Hasch, J.; Chantre, A.; Sautreuil, B. A Study of SiGe HBT Signal Sources in the 220–330-GHz Range. IEEE J. Solid State Circuits 2013, 48, 2011–2021. [Google Scholar] [CrossRef]
- Schroter, M.; Rosenbaum, T.; Chevalier, P.; Heinemann, B.; Voinigescu, S.P.; Preisler, E.; Bock, J.; Mukherjee, A. SiGe HBT Technology: Future Trends and TCAD-Based Roadmap. Proc. IEEE 2017, 105, 1068–1086. [Google Scholar] [CrossRef]
- Hillger, P.; Grzyb, J.; Jain, R.; Pfeiffer, U.R. Terahertz Imaging and Sensing Applications With Silicon-Based Technologies. IEEE Trans. Terahertz Sci. Technol. 2019, 9, 1–19. [Google Scholar] [CrossRef]
- Langrock, C.; Kumar, S.; McGeehan, J.; Willner, A.; Fejer, M. All-optical signal processing using /spl chi//sup (2)/ nonlinearities in guided-wave devices. J. Light. Technol. 2006, 24, 2579–2592. [Google Scholar] [CrossRef]
- Shen, Y.R. The Principles of Nonlinear Optics; Wiley-Interscience: New York, NY, USA, 1984. [Google Scholar]
- Boyd, R. Nonlinear Optics, 4th ed.; Elsevier Science: Amsterdam, The Netherlands, 2020. [Google Scholar]
- Singh, N.; Suhre, D.; Balakrishna, V.; Marable, M.; Meyer, R.; Fernelius, N.; Hopkins, F.; Zelmon, D. Far-infrared conversion materials: Gallium selenide for far-infrared conversion applications. Prog. Cryst. Growth Charact. Mater. 1998, 37, 47–102. [Google Scholar] [CrossRef]
- Mason, P.D.; Michaille, L.F. Review of the development of nonlinear materials for mid-IR generation. Technol. Opt. Countermeas. 2008, 7115, 71150N. [Google Scholar] [CrossRef]
- Molloy, J.F.; Naftaly, M.; Andreev, Y.; Kokh, K.; Lanskii, G.; Svetlichnyi, V. Absorption anisotropy in sulfur doped gallium selenide crystals studied by THz-TDS. Opt. Mater. Express 2014, 4, 2451. [Google Scholar] [CrossRef]
- Nikogosyan, D.N. Nonlinear Optical Crystals: A Complete Survey; Springer: New York, NY, USA, 2005. [Google Scholar] [CrossRef]
- Gan, X.-T.; Zhao, C.-Y.; Hu, S.-Q.; Wang, T.; Song, Y.; Li, J.; Zhao, Q.-H.; Jie, W.-Q.; Zhao, J.-L. Microwatts continuous-wave pumped second harmonic generation in few- and mono-layer GaSe. Light. Sci. Appl. 2018, 7, 17126. [Google Scholar] [CrossRef]
- Jie, W.; Chen, X.; Li, D.; Xie, L.; Hui, Y.Y.; Lau, S.P.; Cui, X.; Hao, J. Layer-Dependent Nonlinear Optical Properties and Stability of Non-Centrosymmetric Modification in Few-Layer GaSe Sheets. Angew. Chem. Int. Ed. 2015, 54, 1185–1189. [Google Scholar] [CrossRef]
- Nahata, A.; Weling, A.S.; Heinz, T.F. A wideband coherent terahertz spectroscopy system using optical rectification and electro-optic sampling. Appl. Phys. Lett. 1996, 69, 2321–2323. [Google Scholar] [CrossRef]
- Huang, C.; Wang, Z.; Ni, Y.; Wu, H.; Chen, S. Experimental and theoretical investigations on the defect and optical properties of S- and Al-doped GaSe crystals. RSC Adv. 2017, 7, 23486–23493. [Google Scholar] [CrossRef]
- Guo, J.; Xie, J.-J.; Li, D.-J.; Yang, G.-L.; Chen, F.; Wang, C.-R.; Zhang, L.-M.; Andreev, Y.M.; Kokh, K.A.; Lanskii, G.V.; et al. Doped GaSe crystals for laser frequency conversion. Light. Sci. Appl. 2015, 4, e362. [Google Scholar] [CrossRef]
- Kang, Z.-H.; Guo, J.; Feng, Z.-S.; Gao, J.-Y.; Xie, J.-J.; Zhang, L.-M.; Atuchin, V.; Andreev, Y.; Lanskii, G.; Shaiduko, A. Tellurium and sulfur doped GaSe for mid-IR applications. Appl. Phys. B Laser Opt. 2012, 108, 545–552. [Google Scholar] [CrossRef]
- Das, S.; Ghosh, C.; Voevodina, O.; Andreev, Y.; Sarkisov, S. Modified GaSe crystal as a parametric frequency converter. Appl. Phys. B Laser Opt. 2006, 82, 43–46. [Google Scholar] [CrossRef]
- Rak, Z.; Mahanti, S.D.; Mandal, K.C.; Fernelius, N.C. Doping dependence of electronic and mechanical properties of GaSe1−xTex and Ga1−xInxSe from first principles. Phys. Rev. B 2010, 82, 155203. [Google Scholar] [CrossRef]
- Zhang, Y.-F.; Wang, R.; Kang, Z.-H.; Qu, L.-L.; Jiang, Y.; Gao, J.-Y.; Andreev, Y.M.; Lanskii, G.V.; Kokh, K.A.; Morozov, A.N.; et al. AgGaS2- and Al-doped GaSe Crystals for IR Applications. Opt. Commun. 2011, 284, 1677–1681. [Google Scholar] [CrossRef]
- Huang, C.; Mao, M.; Wu, H.; Wang, Z.; Ni, Y. Growth and characterization of an Al-doped GaSe crystal. J. Cryst. Growth 2018, 483, 318–322. [Google Scholar] [CrossRef]
- Guo, J.; Xie, J.-J.; Zhang, L.-M.; Li, D.-J.; Yang, G.-L.; Andreev, Y.M.; Kokh, K.A.; Lanskii, G.V.; Shabalina, A.V.; Shaiduko, A.V.; et al. Characterization of Bridgman grown GaSe:Al crystals. Crystengcomm 2013, 15, 6323–6328. [Google Scholar] [CrossRef]
- Guo, J.; Xie, J.-J.; Zhang, L.-M.; Kokh, K.; Andreev, Y.; Izaak, T.; Lanskii, G.; Shaiduko, A.; Svetlichnyi, V.; Andreev, Y. Characterization of optical quality of GaSe:Al crystals by exciton absorption peak parameters. J. Mater. Sci. Mater. Electron. 2014, 25, 1757–1760. [Google Scholar] [CrossRef]
- Singh, N.; Suhre, D.; Rosch, W.; Meyer, R.; Marable, M.; Fernelius, N.; Hopkins, F.; Zelmon, D.; Narayanan, R. Modified GaSe crystals for mid-IR applications. J. Cryst. Growth 1999, 198–199, 588–592. [Google Scholar] [CrossRef]
- Allakhverdiev, K.R.; Guliev, R.I.; Salaev, Y.; Smirnov, V.V. Investigation of linear and nonlinear optical properties of GaSxSe1–xcrystals. Sov. J. Quantum Electron. 1982, 12, 947–948. [Google Scholar] [CrossRef]
- Wu, C.; Ho, C.; Shen, W.; Cheng, Z.; Huang, Y.; Tiong, K. Optical properties of GaSe1−xSx series layered semiconductors grown by vertical Bridgman method. Mater. Chem. Phys. 2004, 88, 313–317. [Google Scholar] [CrossRef]
- Qasrawi, A.; Gasanly, N. Energy band gap and oscillator parameters of Ga4Se3S single crystals. Solid State Commun. 2007, 142, 566–568. [Google Scholar] [CrossRef]
- Guo, J.; Li, D.-J.; Xie, J.-J.; Zhang, L.-M.; Feng, Z.-S.; Andreev, Y.M.; Kokh, K.A.; Lanskii, G.V.; Potekaev, A.I.; Shaiduko, A.V.; et al. Limiting pump intensity for sulfur-doped gallium selenide crystals. Laser Phys. Lett. 2014, 11, 55401. [Google Scholar] [CrossRef]
- Bereznaya, S.; Korotchenko, Z.; Redkin, R.; Sarkisov, S.Y.; Tolbanov, O.; Trukhin, V.; Gorlenko, N.; Sarkisov, Y.; Atuchin, V.V. Broadband and narrowband terahertz generation and detection in GaSe1−x Sxcrystals. J. Opt. 2017, 19, 115503. [Google Scholar] [CrossRef]
- Allakhverdiev, K.R.; Baykara, T.; Gulubayov, A.K.; Kaya, A.A.; Goldstein, J.; Fernelius, N.; Hanna, S.; Salaeva, Z. Corrected infrared Sellmeier coefficients for gallium selenide. J. Appl. Phys. 2005, 98, 093515. [Google Scholar] [CrossRef]
- Takaoka, E.T.E.; Kato, K.K.K. Temperature Phase-Matching Properties for Harmonic Generation in GaSe. Jpn. J. Appl. Phys. 1999, 38, 2755. [Google Scholar] [CrossRef]
- Vodopyanov, K.; Kulevskii, L. New dispersion relationships for GaSe in the 0.65–18 μm spectral region. Opt. Commun. 1995, 118, 375–378. [Google Scholar] [CrossRef]
- Abdullaev, G.B.; Allakhverdiev, K.R.; Kulevskiĭ, L.A.; Prokhorov, A.M.; Salaev, E.Y.; Savel’Ev, A.D.; Smirnov, V.V. Parametric conversion of infrared radiation in a GaSe crystal. Sov. J. Quantum Electron. 1975, 5, 665–668. [Google Scholar] [CrossRef]
- Kübler, C.; Huber, R.; Tübel, S.; Leitenstorfer, A. Ultrabroadband detection of multi-terahertz field transients with GaSe electro-optic sensors: Approaching the near infrared. Appl. Phys. Lett. 2004, 85, 3360–3362. [Google Scholar] [CrossRef]
- Yan, D.; Wang, Y.; Xu, D.; Liu, P.; Yan, C.; Shi, J.; Liu, H.; He, Y.; Tang, L.; Feng, J.; et al. High-average-power, high-repetition-rate tunable terahertz difference frequency generation with GaSe crystal pumped by 2 μm dual-wavelength intracavity KTP optical parametric oscillator. Photonics Res. 2017, 5, 82. [Google Scholar] [CrossRef]
- Rao, Z.; Wang, X.; Lu, Y. Tunable terahertz generation from one CO2 laser in a GaSe crystal. Opt. Commun. 2011, 284, 5472–5474. [Google Scholar] [CrossRef]
- Tochitsky, S.Y.; Sung, C.; Trubnick, S.E.; Joshi, C.; Vodopyanov, K.L. High-power tunable, 0.5-3 THz radiation source based on nonlinear difference frequency mixing of CO_2 laser lines. J. Opt. Soc. Am. B 2007, 24, 2509–2516. [Google Scholar] [CrossRef]
- Song, Q.; Chai, L.; Liu, W.; Ma, Q.; Li, Y.; Wang, C.; Hu, M. Measuring effective electro-optic coefficient at 1040 nm by spectral intensity modulation with THz time-domain spectroscopy. Infrared Phys. Technol. 2019, 97, 54–57. [Google Scholar] [CrossRef]
- Cingolani, A.; Ferrara, M.; Lugarà, M.; Levy, F. Pockels effect in gallium selenide. Solid State Commun. 1979, 29, 677–679. [Google Scholar] [CrossRef]
- Kokh, K.; Molloy, J.; Naftaly, M.; Andreev, Y.; Svetlichnyi, V.; Lanskii, G.; Lapin, I.; Izaak, T.; Kokh, A. Growth and optical properties of solid solution crystals GaSe1−xSx. Mater. Chem. Phys. 2015, 154, 152–157. [Google Scholar] [CrossRef]
- Rybak, A.; Antsygin, V.; Mamrashev, A.; Nikolaev, N. Terahertz Optical Properties of KTiOPO4 Crystal in the Temperature Range of (−192)–150 °C. Crystals 2021, 11, 125. [Google Scholar] [CrossRef]
- Wang, C.-R.; Pan, Q.-K.; Chen, F.; Lanskii, G.; Nikolaev, N.; Mamrashev, A.; Andreev, Y.; Meshalkin, A. Phase-matching in KTP crystal for THz wave generation at room temperature and 81 K. Infrared Phys. Technol. 2019, 97, 1–5. [Google Scholar] [CrossRef]
- Chen, C.-W.; Hsu, Y.-K.; Huang, J.Y.; Chang, C.-S.; Zhang, J.-Y.; Pan, C.-L. Generation properties of coherent infrared radiation in the optical absorption region of GaSe crystal. Opt. Express 2006, 14, 10636–10644. [Google Scholar] [CrossRef]
- Naftaly, M.; Molloy, J.F.; Andreev, Y.M.; Kokh, K.A.; Lanskii, G.V.; Svetlichnyi, V.A. Dispersion properties of sulfur doped gallium selenide crystals studied by THz TDS. Opt. Express 2015, 23, 32820–32834. [Google Scholar] [CrossRef]
- Chen, C.-W.; Tang, T.-T.; Lin, S.-H.; Huang, J.Y.; Chang, C.-S.; Chung, P.-K.; Yen, S.-T.; Pan, C.-L. Optical properties and potential applications of ɛ-GaSe at terahertz frequencies. J. Opt. Soc. Am. B 2009, 26, A58–A65. [Google Scholar] [CrossRef]
- Nagai, M.; Tanaka, K.; Ohtake, H.; Bessho, T.; Sugiura, T.; Hirosumi, T.; Yoshida, M. Generation and detection of terahertz radiation by electro-optical process in GaAs using 1.56μm fiber laser pulses. Appl. Phys. Lett. 2004, 85, 3974–3976. [Google Scholar] [CrossRef]
- Kato, K.; Umemura, N. Sellmeier equations for GaS and GaSe and their applications to the nonlinear optics in GaS_xSe_1−x. Opt. Lett. 2011, 36, 746–747. [Google Scholar] [CrossRef]
- Antsygin, V.D.; Mamrashev, A.A.; Nikolaev, N.A.; Potaturkin, O.I. Effect of a Magnetic Field on Wideband Terahertz Generation on the Surface of Semiconductors. IEEE Trans. Terahertz Sci. Technol. 2015, 5, 673–679. [Google Scholar] [CrossRef]
- Planken, P.C.M.; Nienhuys, H.-K.; Bakker, H.J.; Wenckebach, T. Measurement and calculation of the orientation dependence of terahertz pulse detection in ZnTe. J. Opt. Soc. Am. B 2001, 18, 313–317. [Google Scholar] [CrossRef]
- Gallot, G.; Grischkowsky, D. Electro-optic detection of terahertz radiation. J. Opt. Soc. Am. B 1999, 16, 1204–1212. [Google Scholar] [CrossRef]
- Andreev, Y.; Lanskii, G.V.; Kokh, K.A.; Svetlichnyi, V. Optical rectification and down-conversion of fs pulses into mid-IR and THz range in GaSe 1-x S x. Int. Conf. At. Mol. Pulsed Lasers XII 2015, 9810, 98101P. [Google Scholar] [CrossRef]
- Madelung, O. Semiconductors: Data Handbook, 3rd ed.; Springer: Berlin/Heidelberg, Germany; GmbH: Berlin, Germany, 2004; ISBN 9783642623325. [Google Scholar]
- Skauli, T.; Kuo, P.S.; Vodopyanov, K.L.; Pinguet, T.J.; Levi, O.; Eyres, L.A.; Harris, J.S.; Fejer, M.M.; Gerard, B.; Becouarn, L.; et al. Improved dispersion relations for GaAs and applications to nonlinear optics. J. Appl. Phys. 2003, 94, 6447–6455. [Google Scholar] [CrossRef]
- Yu, B.L.; Zeng, F.; Kartazayev, V.; Alfano, R.R.; Mandal, K.C. Terahertz studies of the dielectric response and second-order phonons in a GaSe crystal. Appl. Phys. Lett. 2005, 87, 182104. [Google Scholar] [CrossRef]
- Abdullaev, G.B.; Kulevskii, L.A.; Prokhorov, A.M.; Savel’Ev, A.D.; Salaev, E.Y.; Smirnov, V.V. A New Effective Material for Nonlinear Optics. J. Exp. Theor. Phys. Lett. 1972, 16, 90. [Google Scholar]
- McMath, T.A.; Irwin, J.C. Indices of refraction of GaS and GaSe. Phys. Status Solidi 1976, 38, 731–738. [Google Scholar] [CrossRef]
- Atuchin, V.V.; Andreev, Y.M.; Kokh, K.A.; Lanskii, G.V.; Shaiduko, A.V.; Izaak, T.I.; Svetlichnyi, V.A. Optimal doping of GaSe with isovalent elements. Nonlinear Opt. Appl. VII 2013, 8772, 234–242. [Google Scholar] [CrossRef]
- Liu, K.; Xu, J.; Zhang, X.-C. GaSe crystals for broadband terahertz wave detection. Appl. Phys. Lett. 2004, 85, 863–865. [Google Scholar] [CrossRef]









| x | Coefficient | Value |
|---|---|---|
| 0 | A | 8.06 |
| B | 2.54 | |
| 0.03 | A | 7.76 |
| B | 2.65 | |
| 0.12 | A | 7.70 |
| B | 2.64 | |
| 0.16 | A | 7.64 |
| B | 2.48 | |
| 0.22 | A | 7.45 |
| B | 2.50 |
| x | Lcoh (ν = 1 THz), µm | Sample Thickness d, µm |
|---|---|---|
| 0 | 329.3 | 361 |
| 0.03 | 347.5 | 351 |
| 0.12 | 354.2 | 342 |
| 0.16 | 370.0 | 324 |
| 0.22 | 391.5 | 317 |
Disclaimer/Publisher’s Note: The statements, opinions and data contained in all publications are solely those of the individual author(s) and contributor(s) and not of MDPI and/or the editor(s). MDPI and/or the editor(s) disclaim responsibility for any injury to people or property resulting from any ideas, methods, instructions or products referred to in the content. |
© 2023 by the authors. Licensee MDPI, Basel, Switzerland. This article is an open access article distributed under the terms and conditions of the Creative Commons Attribution (CC BY) license (https://creativecommons.org/licenses/by/4.0/).
Share and Cite
Shevchenko, O.N.; Mikerin, S.L.; Kokh, K.A.; Nikolaev, N.A. Detection of Terahertz Frequencies in S-Doped GaSe Crystals Using Laser Pulses at Telecom Wavelengths. Appl. Sci. 2023, 13, 2045. https://doi.org/10.3390/app13042045
Shevchenko ON, Mikerin SL, Kokh KA, Nikolaev NA. Detection of Terahertz Frequencies in S-Doped GaSe Crystals Using Laser Pulses at Telecom Wavelengths. Applied Sciences. 2023; 13(4):2045. https://doi.org/10.3390/app13042045
Chicago/Turabian StyleShevchenko, Olesya N., Sergey L. Mikerin, Konstantin A. Kokh, and Nazar A. Nikolaev. 2023. "Detection of Terahertz Frequencies in S-Doped GaSe Crystals Using Laser Pulses at Telecom Wavelengths" Applied Sciences 13, no. 4: 2045. https://doi.org/10.3390/app13042045
APA StyleShevchenko, O. N., Mikerin, S. L., Kokh, K. A., & Nikolaev, N. A. (2023). Detection of Terahertz Frequencies in S-Doped GaSe Crystals Using Laser Pulses at Telecom Wavelengths. Applied Sciences, 13(4), 2045. https://doi.org/10.3390/app13042045

