Morphological Analysis of a Collapsing Cavitation Bubble near a Solid Wall with Complex Geometry
Abstract
Featured Application
Abstract
1. Introduction
2. Methods
2.1. Pseudopotential MRT-LBM
2.2. Min-MAM
3. Cavitation Bubble Collapse near a Solid Wall with Complex Geometry
3.1. Numerical Model
3.2. Solution of Boundary Conditions
3.3. Verification of the Collapsing Bubble near the Solid Wall
3.4. Evolution of Density Field
3.5. Evolution of Pressure and Velocity Fields
4. Morphological Analysis Method Exerted on the Cavitation Bubble Collapse Model
4.1. Morphological Verification
4.2. Evolution of Bubble Profiles
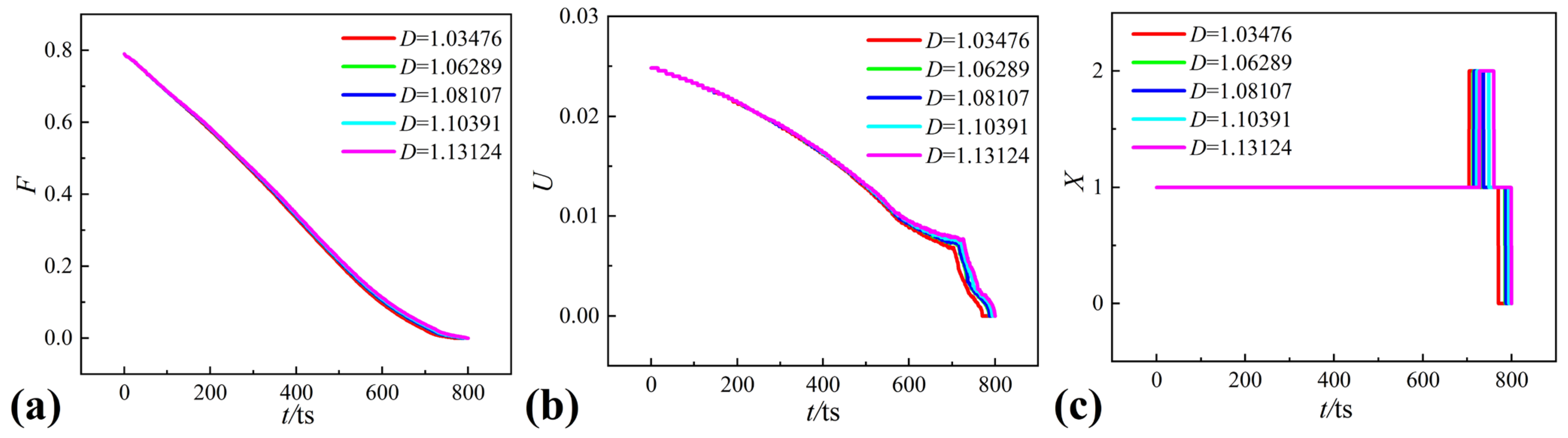
4.2.1. Complexity of Solid Walls
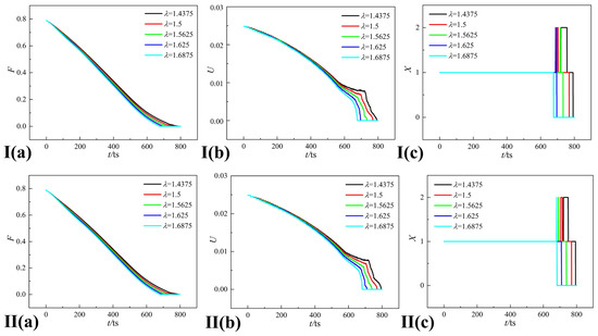
4.2.2. Geometric Features of Solid Walls
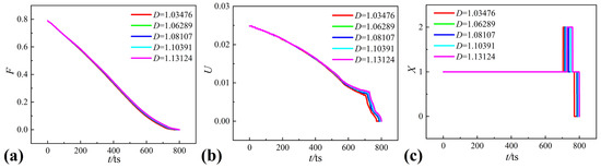
4.2.3. Dimensionless Position Offset Parameter
5. Conclusions
Author Contributions
Funding
Institutional Review Board Statement
Informed Consent Statement
Data Availability Statement
Conflicts of Interest
Nomenclature
| Roman letters | |
| the particle density distribution function | |
| the equilibrium particle density distribution function | |
| the particle position | |
| the discrete velocity | |
| the time step | |
| the inverse of the orthogonal transformation matrix | |
| the orthogonal transformation matrix | |
| the forcing term | |
| the density distribution function | |
| the equilibrium density distribution function | |
| the unit tensor | |
| the forcing term in the moment space | |
| the macroscopic velocity | |
| the fluid–fluid interactive force | |
| the fractional area | |
| the boundary length | |
| the Euler characteristics | |
| the number of the white pixels | |
| the total number of the pixels | |
| the number of the pixels separating the black and white domains | |
| the number of connected black domains | |
| the maximum radius of the cavitation bubble | |
| the distance from the bubble to the wall | |
| the prescribed width of the phase interface | |
| the critical temperature | |
| temperature | |
| the critical temperature | |
| the overall interaction strength | |
| the lattice constant | |
| the lattice sound speed | |
| the fractal dimension | |
| the scale number | |
| the non-dimensional time | |
| the external pressure | |
| the internal pressure | |
| the pressure difference | |
| Greek letters | |
| the relaxation diagonal matrix | |
| the relaxation time factor | |
| density | |
| the pseudopotential | |
| the weight coefficient | |
| an adjustable coefficient used to tune the mechanical stability condition | |
| a threshold value | |
| the dimensionless position the offset parameter | |
| the density of the liquid | |
| the density of the vapor | |
References
- Reuter, F.; Deiter, C.; Ohl, C.D. Cavitation erosion by shockwave self-focusing of a single bubble. Ultrason. Sonochem. 2022, 90, 106131. [Google Scholar] [CrossRef]
- Chahine, G.L.; Kapahi, A.; Choi, J.K.; Hsiao, C.T. Modeling of surface cleaning by cavitation bubble dynamics and collapse. Ultrason. Sonochem. 2016, 29, 528–549. [Google Scholar] [CrossRef]
- Tu, J.; Li, Q.; Zhang, C.B.; Zhang, D. Enhancement effect of ultrasound-induced microbubble cavitation on branched polyethylenimine-mediated vascular endothelial growth factor 165 (VEGF165) transfection. J. Acoust. Soc. Am. 2013, 133, 3496. [Google Scholar] [CrossRef]
- Li, G.S.; Yi, L.D.; Wang, J.; Song, Y.T. Hydrodynamic cavitation degradation of Rhodamine B assisted by Fe3+-doped TiO2: Mechanisms, geometric and operation parameters. Ultrason. Sonochem. 2020, 60, 104806. [Google Scholar] [CrossRef] [PubMed]
- Lauterborn, W.; Bolle, H. Experimental investigations of cavitation-bubble collapse in the neighbourhood of a solid boundary. J. Fluid Mech. 1975, 72, 391–399. [Google Scholar] [CrossRef]
- Kim, D.; Kim, D. Underwater bubble collapse on a ridge-patterned structure. Phys. Fluids 2020, 32, 053312. [Google Scholar] [CrossRef]
- Sun, Y.R.; Du, Y.X.; Yao, Z.F.; Zhong, Q.; Geng, S.Y.; Wang, F.J. The effect of surface geometry of solid wall on the collapse of a cavitation bubble. J. Fluids Eng. 2022, 144, 071402. [Google Scholar] [CrossRef]
- Liu, L.T.; Gan, N.; Wang, J.X.; Zhang, Y.F. Study on bubble collapse near a solid wall under different hypergravity environments. Ocean Eng. 2021, 221, 108563. [Google Scholar] [CrossRef]
- Yu, Y.; Sun, C.G.; Liu, Y.Z.; Liu, Y.; Xia, D.S. CFD simulation of cavitation bubble collapse near a rectangular groove wall. IOP Conf. Ser. Mater. Sci. Eng. 2019, 538, 012056. [Google Scholar] [CrossRef]
- Saleki-Haselghoubi, N.; Dadvand, A. Simulation of bubble dynamics oscillating near a circular aperture made in a curved rigid plate using boundary element method. Ocean Eng. 2018, 151, 12–22. [Google Scholar] [CrossRef]
- Xu, Z. Numerical simulation of the coalescence of two bubbles in an ultrasound field. Ultrason. Sonochem. 2018, 49, 277–282. [Google Scholar] [CrossRef] [PubMed]
- Lechner, C.; Koch, M.; Lauterborn, W.; Mettin, R. Pressure and tension waves from bubble collapse near a solid boundary: A numerical approach. J. Acoust. Soc. Am. 2017, 142, 3649. [Google Scholar] [CrossRef] [PubMed]
- Samiei, E.; Shams, M.; Ebrahimi, R. A novel numerical scheme for the investigation of surface tension effects on growth and collapse stages of cavitation bubbles. Eur. J. Mech. B Fluids 2010, 30, 41–50. [Google Scholar] [CrossRef]
- Succi, S. The Lattice Boltzmann Equation for Fluid Dynamics and Beyond; Oxford University Press: New York, NY, USA, 2001; pp. 40–50. [Google Scholar]
- Yan, Y.Y.; Zu, Y.Q.; Dong, B. LBM, a useful tool for mesoscale modelling of single-phase and multiphase flow. Appl. Therm. Eng. 2011, 31, 649–655. [Google Scholar] [CrossRef]
- Xu, A.G.; Zhang, G.C.; Gan, Y.B.; Chen, F.; Yu, X.J. Lattice Boltzmann modeling and simulation of compressible flows. Front. Phys. 2012, 7, 582–600. [Google Scholar] [CrossRef]
- Li, Q.; Luo, K.H.; Kang, Q.J.; He, Y.L.; Chen, Q.; Liu, Q. Lattice Boltzmann methods for multiphase flow and phase-change heat transfer. Prog. Energ. Combust. 2016, 52, 62–105. [Google Scholar] [CrossRef]
- Petersen, K.J.; Brinkerhoff, J.R. On the lattice Boltzmann method and its application to turbulent, multiphase flows of various fluids including cryogens: A review. Phys. Fluids 2021, 33, 041302. [Google Scholar] [CrossRef]
- Yang, Y.; Shan, M.L.; Su, N.N.; Kan, X.F.; Shangguan, Y.Q.; Han, Q.B. Role of wall temperature on cavitation bubble collapse near a wall investigated using thermal lattice Boltzmann method. Int. Commun. Heat Mass 2022, 134, 105988. [Google Scholar] [CrossRef]
- Gunstensen, A.K.; Rothman, D.H.; Zaleski, S.; Zanetti, G. Lattice Boltzmann model of immiscible fluids. Phys. Rev. A 1991, 43, 4320. [Google Scholar] [CrossRef]
- Shan, X.W.; Chen, H.D. Lattice Boltzmann model for simulating flows with multiple phases and components. Phys. Rev. E 1993, 47, 1815. [Google Scholar] [CrossRef]
- Shan, X.W.; Chen, H.D. Simulation of nonideal gases and liquid-gas phase transitions by the lattice Boltzmann equation. Phys. Rev. E 1994, 49, 2941. [Google Scholar] [CrossRef] [PubMed]
- Li, Q.; Luo, K.H.; Gao, Y.J.; He, Y.L. Additional interfacial force in lattice Boltzmann models for incompressible multiphase flows. Phys. Rev. E 2012, 85, 026704. [Google Scholar] [CrossRef] [PubMed]
- Swift, M.R.; Osborn, W.R.; Yeomans, J.M. Lattice Boltzmann simulations for nonideal fluids. Phys. Rev. Lett. 1995, 75, 830. [Google Scholar] [CrossRef] [PubMed]
- Jacqmin, D. Calculation of two-phase Navier–Stokes flows using phase-field modeling. J. Comput. Phys. 1999, 155, 96–127. [Google Scholar] [CrossRef]
- Sukop, M.C.; Or, D. Lattice Boltzmann method for homogeneous and heterogeneous cavitation. Phys. Rev. E Stat. Nonlin. Soft Matter Phys. 2005, 71, 046703. [Google Scholar] [CrossRef]
- Chen, X.P.; Zhong, C.W.; Yuan, X.L. Lattice Boltzmann simulation of cavitating bubble growth with large density ratio. Comput. Math. with Appl. 2011, 61, 3577–3584. [Google Scholar] [CrossRef]
- Mishra, S.K.; Deymier, P.A.; Muralidharan, K.; Frantziskonis, G.; Pannala, S.; Simunovic, S. Modeling the coupling of reaction kinetics and hydrodynamics in a collapsing cavity. Ultrason. Sonochem. 2010, 17, 258–265. [Google Scholar] [CrossRef]
- Yang, Y.; Shan, M.L.; Kan, X.F.; Shangguan, Y.Q.; Han, Q.B. Thermodynamic of collapsing cavitation bubble investigated by pseudopotential and thermal MRT-LBM. Ultrason. Sonochem. 2019, 62, 104873. [Google Scholar] [CrossRef]
- Ezzatneshan, E.; Vaseghnia, H. Dynamics of an acoustically driven cavitation bubble cluster in the vicinity of a solid surface. Phys. Fluids 2021, 33, 123311. [Google Scholar] [CrossRef]
- Yang, Y.; Shan, M.L.; Han, Q.B.; Kan, X.F. Effect of non-condensable gas on a collapsing cavitation bubble near solid wall investigated by multicomponent thermal MRT-LBM. Chin. Phys. B 2021, 30, 024701. [Google Scholar] [CrossRef]
- Shan, M.L.; Yang, Y.; Peng, H.; Han, Q.B.; Zhu, C.P. Modeling of collapsing cavitation bubble near solid wall by 3D pseudopotential multi-relaxation-time lattice Boltzmann method. Proc. Inst. Mech. Eng. C J. Mec. Eng. Sci. 2018, 232, 445–456. [Google Scholar] [CrossRef]
- Shan, M.L.; Zhu, C.P.; Yao, C.; Yin, C.; Jiang, X.Y. Pseudopotential multi-relaxation-time lattice Boltzmann model for cavitation bubble collapse with high density ratio. Chin. Phys. B 2016, 25, 104701. [Google Scholar] [CrossRef]
- Mao, Y.F.; Peng, Y.; Zhang, J.M. Study of cavitation bubble collapse near a wall by the modified lattice Boltzmann method. Water 2018, 10, 1439. [Google Scholar] [CrossRef]
- He, X.L.; Zhang, J.M.; Xu, W.L. Study of cavitation bubble collapse near a rigid boundary with a multi-relaxation-time pseudo-potential lattice Boltzmann method. AIP Adv. 2020, 10, 035315. [Google Scholar]
- Xue, H.H.; Shan, F.; Guo, X.S.; Tu, J.; Zhang, D. Cavitation bubble collapse near a curved wall by the multiple-relaxation-time Shan-Chen lattice Boltzmann model. Chin. Phys. Lett. 2017, 34, 90–94. [Google Scholar] [CrossRef]
- Shan, M.L.; Zhu, Y.P.; Yao, C.; Han, Q.B.; Zhu, C.P. Modeling for collapsing cavitation bubble near rough solid wall by mulit-relaxation-time pseudopotential lattice Boltzmann model. J. Appl. Math. Phys. 2017, 5, 1243–1256. [Google Scholar] [CrossRef]
- Shan, M.L.; Yang, Y.; Zhao, X.M.; Han, Q.B.; Yao, C. Investigation of cavitation bubble collapse in hydrophobic concave using the pseudopotential multi-relaxation-time lattice Boltzmann method. Chin. Phys. B 2021, 30, 044701. [Google Scholar] [CrossRef]
- Serra, J. Image analysis and mathematical morphology. Biometrics 1983, 39, 536–537. [Google Scholar]
- Mecke, K.R.; Sofonea, V. Morphology of spinodal decomposition. Phys. Rev. E 1997, 56, R3761. [Google Scholar] [CrossRef]
- Sofonea, V.; Mecke, K.R. Morphological characterization of spinodal decomposition kinetics. Eur. Phys. J. B 1999, 8, 99–112. [Google Scholar] [CrossRef]
- Gan, Y.B.; Xu, A.G.; Zhang, G.C.; Li, Y.J.; Li, H. Phase separation in thermal systems: A lattice Boltzmann study and morphological characterization. Phys. Rev. E 2011, 84, 046715. [Google Scholar] [CrossRef] [PubMed]
- Xu, A.G.; Zhang, G.C.; Li, H.; Ying, Y.J.; Zhu, J.S. Dynamical similarity in shock wave response of porous material: From the view of pressure. Comput. Math. Appl. 2011, 61, 3618–3627. [Google Scholar] [CrossRef]
- Aksimentiev, A.; Holyst, R.; Moorthi, K. Scaling properties of the morphological measures at the early and intermediate stages of the spinodal decomposition in homopolymer blends. J. Chem. Phys. 2000, 112, 6049. [Google Scholar] [CrossRef]
- Gan, Y.B.; Xu, A.G.; Zhang, G.C.; Lin, C.D.; Lai, H.L.; Liu, Z.P. Nonequilibrium and morphological characterizations of Kelvin–Helmholtz instability in compressible flows. Front. Phys. 2019, 14, 43602. [Google Scholar] [CrossRef]
- Chen, F.; Xu, A.G.; Zhang, Y.D.; Zeng, Q.K. Morphological and non-equilibrium analysis of coupled Rayleigh-Taylor-Kelvin-Helmholtz instability. Phys. Fluids 2020, 32, 104111. [Google Scholar] [CrossRef]
- Mukherjee, S.; Abraham, J. A pressure-evolution-based multi-relaxation-time high-density-ratio two-phase lattice-Boltzmann model. Comput. Fluids 2007, 36, 1149–1158. [Google Scholar] [CrossRef]
- Qian, Y.H.; D’Humières, D.; Lallemand, P. Lattice BGK models for Navier-Stokes equation. EPL 1992, 17, 479–484. [Google Scholar] [CrossRef]
- Li, Q.; Luo, K.H.; Li, X.J. Lattice Boltzmann modeling of multiphase flows at large density ratio with an improved pseudopotential model. Phys. Rev. E Stat. Nonlin. Soft Matter Phys. 2013, 87, 053301. [Google Scholar] [CrossRef]
- Klaseboer, E.; Khoo, B.C.; Hung, K.C. Dynamics of an oscillating bubble near a floating structure. J. Fluid. Struct. 2005, 21, 395–412. [Google Scholar] [CrossRef]
- Shan, X.W. Pressure tensor calculation in a class of nonideal gas lattice Boltzmann models. Phys. Rev. E Stat. Nonlin. Soft Matter Phys. 2008, 77, 066702. [Google Scholar] [CrossRef]
- Yuan, P.; Schaefer, L. Equations of state in a lattice Boltzmann model. Phys. Fluids 2006, 18, 042101. [Google Scholar] [CrossRef]
- Mohamad, A.A. The Lattice Boltzmann Method; Springer International Publishing: New York, NY, USA, 2011; pp. 155–175. [Google Scholar]
- Zou, Q.; He, Y. On pressure and velocity boundary conditions for the lattice Boltzmann BGK model. Phys. Fluids 1997, 9, 1591. [Google Scholar] [CrossRef]
- Huang, H.B.; Krafczyk, M.; Lu, X. Forcing term in single-phase and Shan-Chen-type multiphase lattice Boltzmann models. Phys. Rev. E 2011, 84, 046710. [Google Scholar] [CrossRef] [PubMed]
- Li, B.; Xu, Y.L.; Zhang, J.H.; Wang, W.M.; Xu, M.X. Correction calculation model of curve’s interval fractal dimension. In Proceedings of the 2010 Third International Symposium on Information Science and Engineering, Shanghai, China, 24–26 December 2010. [Google Scholar]















| Name | Variable | Unit |
|---|---|---|
| Time | ||
| Length | ||
| Mass | ||
| Density | ||
| Pressure | ||
| Velocity |
Disclaimer/Publisher’s Note: The statements, opinions and data contained in all publications are solely those of the individual author(s) and contributor(s) and not of MDPI and/or the editor(s). MDPI and/or the editor(s) disclaim responsibility for any injury to people or property resulting from any ideas, methods, instructions or products referred to in the content. |
© 2023 by the authors. Licensee MDPI, Basel, Switzerland. This article is an open access article distributed under the terms and conditions of the Creative Commons Attribution (CC BY) license (https://creativecommons.org/licenses/by/4.0/).
Share and Cite
Shan, M.; Shu, F.; Yang, Y.; Shang, Y.; Yin, C.; Han, Q. Morphological Analysis of a Collapsing Cavitation Bubble near a Solid Wall with Complex Geometry. Appl. Sci. 2023, 13, 1832. https://doi.org/10.3390/app13031832
Shan M, Shu F, Yang Y, Shang Y, Yin C, Han Q. Morphological Analysis of a Collapsing Cavitation Bubble near a Solid Wall with Complex Geometry. Applied Sciences. 2023; 13(3):1832. https://doi.org/10.3390/app13031832
Chicago/Turabian StyleShan, Minglei, Fangyong Shu, Yu Yang, Yu Shang, Cheng Yin, and Qingbang Han. 2023. "Morphological Analysis of a Collapsing Cavitation Bubble near a Solid Wall with Complex Geometry" Applied Sciences 13, no. 3: 1832. https://doi.org/10.3390/app13031832
APA StyleShan, M., Shu, F., Yang, Y., Shang, Y., Yin, C., & Han, Q. (2023). Morphological Analysis of a Collapsing Cavitation Bubble near a Solid Wall with Complex Geometry. Applied Sciences, 13(3), 1832. https://doi.org/10.3390/app13031832

