Exact Relationship between Black Phosphorus Thickness and Behaviors of Field-Effect Transistors
Abstract
Featured Application
Abstract
1. Introduction
2. Materials and Methods
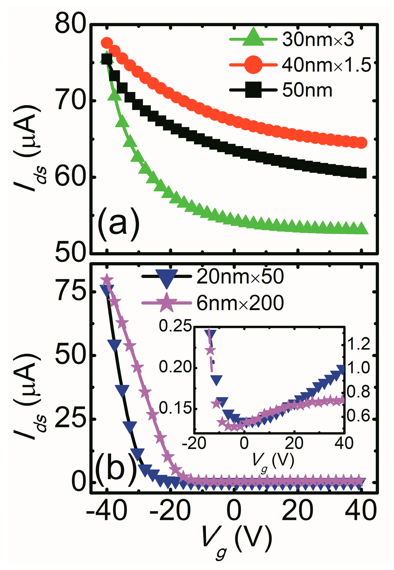
3. Results
4. Discussion
4.1. Effect of the l on Ids
4.2. Effect of the l on R and μ
5. Conclusions
Author Contributions
Funding
Data Availability Statement
Conflicts of Interest
References
- Lou, D.; Chen, S.; Langrud, S.; Razzaq, A.A.; Mao, M.Y.; Younes, H.; Xing, W.B.; Lin, T.; Hong, H.P. Scalable Fabrication of Si-Graphene Composite as Anode for Li-ion Batteries. Appl. Sci. 2022, 12, 10926. [Google Scholar] [CrossRef]
- Schwierz, F. Graphene Transistors. Nat. Nanotech. 2010, 5, 487–496. [Google Scholar] [CrossRef] [PubMed]
- Han, M.Y.; Ozyilmaz, B.; Zhang, Y.B.; Kim, P. Energy band-gap en-gineering of graphene nanoribbons. Phys. Rev. Lett. 2007, 98, 206805. [Google Scholar] [CrossRef] [PubMed]
- Wang, Q.S.; Zheng, J.C.; He, Y.; Cao, J.; Liu, X.; Wang, M.Y.; Ma, J.C.; Lai, J.W.; Lu, H.; Jia, S.; et al. Robust edge photocurrent response on layered type II Weyl semimetal WTe2. Nat. Commun. 2019, 10, 5736. [Google Scholar] [CrossRef] [PubMed]
- Fei, Z.Y.; Zhao, W.; Palomaki, T.A.; Sun, B.S.; Miller, M.K.; Zhao, Z.Y.; Yan, J.Q.; Xu, X.D.; Cobden, D.H. Ferroelectric switching of a two-dimensional metal. Nature 2018, 560, 336–339. [Google Scholar] [CrossRef]
- Xu, S.Y.; Ma, Q.; Shen, H.T.; Fatemi, V.; Wu, S.F.; Chang, T.R.; Chang, G.Q.; Valdivia, A.M.M.; Chan, C.K.; Gibson, Q.D.; et al. Electrically switchable Berry curvature dipole in the monolayer topological insulator WTe2. Nat. Phys. 2018, 14, 900–906. [Google Scholar] [CrossRef]
- Wu, M.K.; Liu, P.; Xin, B.J.; Li, L.Y.; Dong, H.; Cheng, Y.H.; Wang, W.C.; Lu, F.; Cho, K.; Wang, W.H.; et al. Improved carrier doping strategy of monolayer MoS2 through two-dimensional solid electrolyteof YBr3. Appl. Phys. Lett. 2019, 114, 171601. [Google Scholar] [CrossRef]
- Radisavljevic, B.; Radenovic, A.; Brivio, J.; Giacometti, V.; Kis, A. Single-Layer MoS2 Transistors. Nat. Nanotechnol. 2011, 6, 147–150. [Google Scholar] [CrossRef]
- Pradhan, N.R.; Rhodes, D.; Zhang, Q.; Talapatra, S.; Terrones, M.; Ajayan, P.; Balicas, L. Intrinsic carrier mobility of multi-layered MoS2 field-effect transistors on SiO2. Appl. Phys. Lett. 2013, 102, 699. [Google Scholar] [CrossRef]
- Lu, S.B.; Miao, L.L.; Guo, Z.N.; Gou, X. Broadband nonlinear opti-cal response in multi-layer black phosphorus: An emerging infrared and mid-infrared optical material. Opt. Express 2015, 23, 11183–11194. [Google Scholar] [CrossRef]
- Zhang, S.; Yang, J.; Xu, R.J.; Wang, F.; Li, W.F.; Muhammad, G.; Zhang, Y.W.; Yu, Z.F.; Zhang, G.; Qin, Q.H.; et al. Extraordinary photolumines-cence and strong temperature/angle-dependent raman re-sponses in few-layer phosphorene. ACS Nano 2014, 8, 9590–9596. [Google Scholar] [CrossRef] [PubMed]
- Rodin, A.S.; Carvalho, A.; Castro, N.A.H. Strain-induced gap modification in black phosphorus. Phys. Rev. Lett. 2014, 112, 176801. [Google Scholar] [CrossRef] [PubMed]
- Li, D.; Zheng, Y.G.; Zhang, H.W.; Ye, H.F. Self-Bending Behavior and Varying Bending Stiffness of Black Phosphorus/Molybdenum Disulfide (BP/MoS2) Heterostructure. Nanomaterials 2022, 12, 3635. [Google Scholar] [CrossRef] [PubMed]
- Liu, H.; Peng, Z.H.; Hu, M.D.; Xu, X.; Lou, S.; Yan, S.C. Review on the Energy Transformation Application of Black Phosphorus and Its Composites. Catalysts 2022, 12, 1403. [Google Scholar] [CrossRef]
- Soman, S.; Kulkarni, S.; Pandey, A.; Dhas, N.; Subramanian, S.; Mukherjee, A.; Mutalik, S. 2D Hetero-Nanoconstructs of Black Phosphorus for Breast Cancer Theragnosis: Technological Advancements. Biosensors 2022, 12, 1009. [Google Scholar] [CrossRef] [PubMed]
- Zhou, W.; Pang, X.Y.; Zhang, H.K.; Yu, Q.; Liu, F.Q.; Wang, W.Y.; Zhao, Y.K.; Lu, Y.; Yang, Z.X. Frontier and Hot Topics of Pulsed Fiber Lasers via CiteSpace Scientometric Analysis: Passively Mode-Locked Fiber Lasers with Real Saturable Absorbers Based on Two-Dimensional Materials. Materials 2022, 15, 6761. [Google Scholar] [CrossRef]
- Wang, D.Y.; Qin, J.C.; Zhang, C.; Li, Y.H. Facile Synthesis of Black Phosphorus Nanosheet@NaReF4 Nanocomposites for Potential Bioimaging. Nanomaterials 2022, 12, 3383. [Google Scholar] [CrossRef]
- Li, H.D.; Li, C.P.; Zhao, H.; Tao, B.R.; Wang, G.F. Two-Dimensional Black Phosphorus: Preparation, Passivation and Lithium-Ion Battery Applications. Molecules 2022, 27, 5845. [Google Scholar] [CrossRef]
- Zhao, M.Y.; Hao, Y.R.; Zhang, C.; Zhai, R.L.; Liu, B.Q.; Liu, W.C.; Wang, C.; Jafri, S.H.M.; Razaq, A.; Papadakis, R.; et al. Advances in Two-Dimensional Materials for Optoelectronics Applications. Crystals 2022, 12, 1087. [Google Scholar] [CrossRef]
- Li, L.K.; Yu, Y.J.; Ye, G.J.; Ge, Q.Q.; Ou, X.D.; Wu, H.; Feng, D.L.; Chen, X.H.; Zhang, Y.B. Black phosphorus field-effect tran-sistors. Nat. Nanotechnol. 2014, 9, 372–377. [Google Scholar] [CrossRef]
- Reich, E.S. Phosphorene excites materials scientists. Nature 2014, 506, 19. [Google Scholar] [CrossRef] [PubMed]
- Ling, X.; Wang, H.; Huang, S.; Xia, F.; Dresselhaus, M.S. The renaissance of black phosphorus. Proc. Natl. Acad. Sci. USA 2015, 112, 201416581. [Google Scholar] [CrossRef] [PubMed]
- Lu, Q.; Li, X.Y.; Chen, H.F.; Jia, Y.F.; Liu, X.T.; Wang, S.Q.; Fu, J.; Chen, D.; Zhang, J.C.; Hao, Y. Study on Black Phosphorus Characteristics Using a Two-Step Thinning Method. Materials 2022, 15, 615. [Google Scholar] [CrossRef] [PubMed]
- Abderrahmane, A.; Woo, C.; Ko, P.-J. Optoelectronic Properties of Hexagonal Boron Nitride Shielded Molybdenum Diselenide/Black-Phosphorus Based Heterojunction Field Effect Transistor. Coatings 2022, 12, 445. [Google Scholar] [CrossRef]
- Poljak, M.; Matić, M. Bandstructure and Size-Scaling Effects in the Performance of Monolayer Black Phosphorus Nanodevices. Materials 2022, 15, 243. [Google Scholar] [CrossRef]
- Castellanos-Gomez, A.; Vicarelli, L.; Prada, E.; Islang, J.O.; Narasimha-Acharya, K.L.; Blanter, S.I.; Groenendijk, D.J.; Buscema, M.; Steele, G.A.; Alvarez, J.V. Isolation and characterization of few-layer black phosphorus. 2D Mater. 2014, 1, 025001. [Google Scholar] [CrossRef]
- Das, S.; Zhang, W.; Demarteau, M.; Hoffmann, A.; Dubey, M.; Roelofs, A. Tunable transport gap in phosphorene. Nano Lett. 2014, 14, 5733–5739. [Google Scholar] [CrossRef]
- Castellanos-Gomez, A.; Buscema, M.; Molenaar, R.; Vibhor, S.; Laurens, J.; van der Zant, H.S.J.; Steele, G.A. Deterministic Transfer of Two-Dimensional Materials by all-Dry Viscoelastic Stamping. 2D Mater. 2014, 1, 011002. [Google Scholar] [CrossRef]
- Rousson, V.; Goşoniu, N.F. An R-square coefficient based on final prediction error. Stat. Methodol. 2007, 4, 331–340. [Google Scholar] [CrossRef]
- Du, Y.C.; Liu, H.; Deng, Y.X.; Ye, P.D. Device Perspective for Black Phosphorus Field-Effect Transistors: Contact Resistance, Ambipolar Behavior, and Scaling. ACS Nano 2014, 8, 10035–10042. [Google Scholar] [CrossRef]
- Wan, B.; Yang, B.; Wang, Y.; Zhang, J.; Zeng, Z.; Liu, Z.; Wang, W. Enhanced stability of black phosphorus field-effect transistors with SiO2 passivation. Nanotechnology 2015, 26, 435702. [Google Scholar] [CrossRef] [PubMed]
- Michele, B.; Dirk, J.G.; Sofya, I.B.; Gary, A.S.; van der Zant Herre, S.J.; Castellanos-Gomez, A. Fast and Broadband Photoresponse of Few-Layer Black Phosphorus Field-Effect Transistors. Nano Lett. 2014, 14, 3347–3352. [Google Scholar]






| Thickness (nm) | A/arb. Unit | B/arb. Unit | C/nm | lo/nm |
|---|---|---|---|---|
| 6 | 0.77958 | −3.95910 | 4.35542 | 21.83318 |
| 20 | 1.08207 | −3.99000 | 4.39502 | 21.72937 |
| 30 | 1.25882 | −3.99619 | 4.39977 | 21.71348 |
| 40 | 1.38407 | −3.98594 | 4.39986 | 21.72556 |
| 50 | 1.48156 | −3.98977 | 4.40987 | 21.69807 |
Disclaimer/Publisher’s Note: The statements, opinions and data contained in all publications are solely those of the individual author(s) and contributor(s) and not of MDPI and/or the editor(s). MDPI and/or the editor(s) disclaim responsibility for any injury to people or property resulting from any ideas, methods, instructions or products referred to in the content. |
© 2023 by the authors. Licensee MDPI, Basel, Switzerland. This article is an open access article distributed under the terms and conditions of the Creative Commons Attribution (CC BY) license (https://creativecommons.org/licenses/by/4.0/).
Share and Cite
Feng, L.; Liu, K.; Wang, M. Exact Relationship between Black Phosphorus Thickness and Behaviors of Field-Effect Transistors. Appl. Sci. 2023, 13, 1736. https://doi.org/10.3390/app13031736
Feng L, Liu K, Wang M. Exact Relationship between Black Phosphorus Thickness and Behaviors of Field-Effect Transistors. Applied Sciences. 2023; 13(3):1736. https://doi.org/10.3390/app13031736
Chicago/Turabian StyleFeng, Liefeng, Kaijin Liu, and Miaoyu Wang. 2023. "Exact Relationship between Black Phosphorus Thickness and Behaviors of Field-Effect Transistors" Applied Sciences 13, no. 3: 1736. https://doi.org/10.3390/app13031736
APA StyleFeng, L., Liu, K., & Wang, M. (2023). Exact Relationship between Black Phosphorus Thickness and Behaviors of Field-Effect Transistors. Applied Sciences, 13(3), 1736. https://doi.org/10.3390/app13031736

