Abstract
Trapped modes that exist in the waveguide have different engineering applications. Excited acoustic modes are due to the interaction between acoustic and flow fields. To further study the influence of nonpotential flow on trapped modes for a two-dimensional cavity–duct system, a numerical simulation method that combines the finite-element method (FEM) associated with a mixed formulation of the Galbrun equation and computational fluid dynamics (CFD) is proposed. The calculation model is composed of a two-dimensional waveguide with cavities and perfectly matched layers (PMLs) to limit the computational domain. The effects of the Mach number and different cavity lengths on the resonance modes are investigated.
1. Introduction
In a two-dimensional cavity–duct system, an acoustic wave spreads in the tube with the existence of the cavity, and sound pressure is amplified around the cavity because of the interaction between the acoustic wave and the unstable shear layer. Trapped modes exist below or above the cut-off frequency and bring considerable damage to the system, such as noise, stability, and security issues. The trapped mode is a kind of free oscillation that often occurs in mathematical theory, and the embedded trapped modes emerge above the cut-off frequency [1].
Ursell found that trapped modes occur when a mass of fluid is bounded by fixed surfaces and by a free surface of infinite extent. Both a mode on a sloping beach and a mode near submerged circular cylinder were constructed mathematically, and the existence of trapped modes was discovered in a water environment [2]. On the basis of a battery of experiments, Parker observed that a sequence of resonances, which are caused almost entirely by acoustic effects, are formed by pressure fluctuations [3]. Parker also used relaxation methods to calculate the resonant frequencies and the pressure amplitude distribution, and the numerical results coincided well with those of his previous experiments. Callan, M. and Linton, C. applied the mathematical technique of Ursell, and discovered that the trapped mode appears in the vicinity of a circular cylinder. Evans presented an approach based on complex residue theory in order to simplify the transcendental equation, and found that it was appropriate for various configurations [4]. In a long waveguide including a number of circular cylinders in the center, Evans also combined multipole expansions methods and addition theorems for Bessel functions, discovering that the number of trapped modes that depends on the geometric configuration is less than or equal to the number of cylinders [5]. Hein introduced an open system with a perfectly matched layer (PML) as the absorbing boundary condition, and numerically computed the resonances for a few of obstacles in the one- and two-dimensional waveguides. He also observed that the value of imaginary part of the resonance influenced the trapped mode, and the frequency of trapped modes increased as the imaginary part increased [6]. Kareem Aly developed a two-step numerical code to investigate the influence of mean flow on the trapped modes. The mean flow was first solved, and the next step was the calculation of the acoustic field by using linearized acoustic perturbation equations (APEs). The effect of mean flow Mach number on the frequency of the acoustic mode was also researched. He observed experimentally that the trapped mode also depended on the size of the cavity [7].
More recently, Bolduc, M. investigated the characteristics of trapped modes numerically and experimentally [8]. The existence of trapped modes with an asymmetric radial component was shown in the numerical simulation. There was a complex interaction between particle velocity fluctuations and the region near the edge of the cavity. Ziada investigated the characteristics of trapped modes in a rectangular cavity attached to a cylindrical duct. The numerical part indicated the existence of trapped acoustic modes with the nonuniform acoustic velocity along the shear layer. The flow test part showed that the excitation of shear layer is not necessary for the acoustic resonances [9]. Dhia, A.S.B.B. et al. considered the reflection–transmission problem in a waveguide with an obstacle, showing that the reflection-less modes could be characterized as eigenfunctions [10]. Acoustic wave transmission in a nonaxisymmetric waveguide, which consists of a cylindrical resonator and two cylindrical waveguides, was considered. The trapped mode was found because of full destructive interference [11]. Feng, X. proposed a method to solve the aeroacoustic problem in the time domain with nonuniform steady mean flow. A mixed pressure–displacement finite-element method and the perfectly matched layer technique were used as the boundary conditions [12]. An asymptotic scheme to approximate the trapped mode solutions to the time harmonic wave equation in a three-dimensional waveguide was developed. The WKBJ-type ansatz was first used to identify the solutions [13]. Wang, P. conducted zonal large-eddy simulations (ZLESs) to calculate the acoustic field. He also used a shear stress transport turbulence model to simulate the flow field. The wall-modeled LES formulation was applied to the cavity section to solve flow–acoustic resonant fields. Experimental results in other studies were compared with the ZLES results in order to validate the method [14]. Dai, X. used the feedback-loop closure principle to calculate the acoustic embedded trapped modes in 2D duct-cavity structures; two resonant modes that supported an embedded trapped mode were verified for the first time. The radiation loss of two coexisting standing waves in a cavity was discussed [15]. Ma et al. developed a numerical model to determine the frequencies of the trapped modes near rigid obstacles placed in rigid waveguides in the presence of nonpotential flow, and experimental investigations were performed to validate the model [16].
However, despite the excellent work that was previously conducted, the interaction between the acoustic and flow fields has seldom been considered and researched. This interaction exists pervasively in the natural world and practical engineering problems, and it should be evaluated to more precisely capture the trapped mode. The present study investigates the computation of trapped modes (including embedded trapped modes) in a two-dimensional cavity–duct system via the Galbrun equation. Taking the internal nonpotential fluid field as an initial condition, the interference between the fluid and acoustic fields due to the appearance of a cavity is taken into consideration. Their relevant trapped modes were captured after the coupling of the acoustic and flow fields.
In this paper, the physical model of a two-dimensional cavity–duct system is first proposed. Then, the governing equations for both the fluid and acoustic fields are described. For investigating the trapped mode in a 2D coordinate system, a coupled calculation method that combined computational fluid dynamics (CFD) and computational aeroacoustics (CAA) is proposed. The effect of the size of the cavity and the Mach number on trapped modes is also discussed.
2. Problem Formulation
The interaction between the unstable free shear layer in the cavity part of the waveguide and the acoustic particle velocity arouses the resonance for a range of frequencies. These resonances are called trapped modes or embedded trapped modes, which are mathematically depicted as free oscillation. A frequency close to a trapped mode frequency can induce considerable damage to the structure and has no radiation loss. The physical model of a typical cavity–duct system, illustrated in a two-dimensional configuration, is shown in Figure 1.
Figure 1.
Two-dimensional cavity–duct system.
In this infinitely rectangular waveguide, is the computational field that contains the cavity, and is the artificial perfectly matched layer (PML) that can simulate the unbounded domain. All the parameters were normalized; the length of was 6.0, and was 2.5. The entire system could be excited by the imposed mode in the entrance. In order to simulate the infinitely long cavity–duct system, the PML associated with the Galbrun equation was chosen as the sound absorption boundary due to its excellent performance in sound absorption, and the existence of nonuniform flow.
2.1. Acoustic Equation: Galbrun Equation
The fundamental relationship between Eulerian and Lagrangian perturbations is:
where represents any physical quantity, so the pressure, density, and velocity can be written as follows:
Substituting Equation (2) into LEE, the Galbrun equation that is based on the mixed Eulerian–Lagrangian disturbance of linearized Euler’s equations can be written as follows:
where constitutes the material convective derivative, and is the displacement of Lagrangian disturbance. The speed of sound, density, and pressure were normalized and dimensionalized with (340 m/s), , and , respectively.
The equation of Galbrun can also be written as follows:
where is the Lagrangian disturbance pressure.
After the integration over domain and the consideration of the boundary conditions, the following formulation gives a mixed variational formulation:
where and are the test functions associated with the Lagrangian displacement and the Lagrangian pressure , respectively [17].
2.2. Perfectly Matched Layer (PML) Associated with the Galbrun Equation
In this part, an artificial boundary (PML) associated with the Galbrun equation in the presence of nonuniform flow is exposed [18]:
where and are the absorption coefficients.
2.3. The Treatment of Fluid Field
The duct is filled with incompressible fluid, and sound waves also propagate in a fluid environment. Under low-speed cases, the fluid flow is governed by steady incompressible Navier–Stokes (NS) equations. It can be written in vector form as:
where is the fluid velocity, t is the time, is the fluid density, p is the pressure, and is its dynamic viscosity coefficient [19].
Inviscid flow analysis is often adopted to give a quick estimate of the flow pattern. In that case, viscous term is neglected, and the corresponding remaining form is called the Euler equation.
In order to numerically solve the fluid governing equation, Reynolds averaging is one of the most used methods for turbulence modeling. The fluid solution variables are decomposed into mean and fluctuating components. Thus, the governing equations can be written as the Reynolds-averaged Navier–Stokes (RANS) equations. Reynolds stresses are induced to present the effect of turbulence, and they must be modeled to enclose these equations. The Reynolds stress tensor is written as follows:
where is the mean component of velocity in the i direction, i represents the corresponding flow direction and for the two-dimensional situation. is the fluctuation velocity component in the i direction, is the turbulent viscosity, k is the turbulent energy, and is the Kronecker delta.
The Reynolds number is applied in many fields, from the flow of liquid in a duct to the air passages on the wings of aircraft. It can also be used to forecast a change from laminar to turbulent flow, and is used to scale the flow situation of different sizes. The Reynolds number is defined as follows:
where u is the flow velocity (m/s); is the density of the flow (kg/m); D is a characteristic length, which is the diameter of the tube in this case (m); is the kinematic viscosity of the flow (m/s); is the dynamic viscosity of the flow (Pa · s).
The use of the model can be judged by the value of the Reynolds number. The k-epsilon () turbulence model is the most commonly used model in CFD calculation for turbulent flow. This model describes turbulence through two transport equations. The model was originally designed to improve the mixing-length model and find an alternative method for specifying turbulence scales in medium-to-high-complexity flows.
3. Numerical Model
3.1. The Modeling of the Physical System
With the presence of a cavity in the tube, the acoustic and fluid fields mutually interfere with each other. The treatment of this interaction is a key element to the numerical calculation process.
In the Cartesian coordinate system, the physical model can be simplified as the two-dimensional mathematical model shown in Figure 1. The model is divided into two domains; is the acoustic computing region that contains the cavity. In order to simulate the unbounded domain, the PML is used in , which is used to absorb sound waves. All the geometric parameters were dimensionless, with reference height , being the height of the tube.
3.2. Finite-Element Discretization
The finite-element method is a numerical calculation method that can be used to obtain the approximate solutions of many engineering problems. It was originally developed to study stress in complex structures, but it has been applied and extended to a wider area of continuum mechanics.
This method started in the 1950s, with classical references such as [20,21]. This method has been extensively studied and developed, and it is also used for the solution of complex nonlinear problems. Among these generalized approximation methods, mixed finite-element methods are considered, and the word “mixed” indicates that the discretization of the problem usually leads to linear algebraic systems of the following general form:
where and are matrices, and , , , and are vectors. In addition, the literature on mixed finite elements is large and it ranges from classical contributions to more recent references. An impressive amount of work has been devoted to a number of different stabilization techniques, which have been applied to virtually all applications in which mixed formulations are involved.
The mixed finite element is used in computing pressure and displacement. To ensure the stability of the element and the convergence of the method, the interpolation of two variables must follow the inf–sup mathematical rule. After the combination and application of boundary conditions, the discrete global variational formula produces the following algebraic system:
where is a vector containing all of the unknown degrees of freedom (pressure and displacement). Matrix is dependent on , nonsymmetrical, complex, and with a band structure. Sparse storage is chosen. For a fixed , is lastly obtained using an LU decomposition [22].
3.3. The Treatment of the Acoustic Field
The obtained flow-field parameters were used as an initial condition to calculate the acoustic field around the cavity. The mixed finite-element method (FEM) was used to solve the acoustic field that is governed by Galbrun equation. This numerical method was carried out through the inhouse code based on commercial software MATLAB R2019a, MathWorks Inc., Natick, MA, USA. The distribution of the sound field was estimated with the existence of a predefined flow field, which could obtain a more accurate result.
4. Results and Discussion
4.1. Trapped Mode without Fluid
The proposed FEM-PML method associated with the aeroacoustic Galbrun equation in determining the resonance frequencies of the trapped mode was used. To ensure the convergence of the mesh, the size of was chosen. Various cavity lengths were selected in order to investigate its influence on the acoustic field under a trapped mode. For the calculation of the trapped mode, the cavity length was set from 1.0 to 2.8 with an interval of 1.8. The geometrical parameters of pressure, density, velocities, and angular frequency were normalized with duct height H, density , speed of sound , , and , respectively.
The distributions of the normalized acoustic pressure around the cavity at the first (f = 0.394) and second (f = 0.445) trapped modes are plotted in Figure 2. Resonance occurred at these two frequencies, and the amplitude of sound pressure reached the maximum near the cavity. The pressure distribution was symmetric about both the x and y axes for the first trapped mode. The central zone in the duct was controlled by negative pressure with two relative negative pressure centers. The positive pressure zone was located along the duct wall. For the second trapped mode, the pressure distribution was symmetric about the x axis, and antisymmetric about the y axis. Negative and positive pressure centers occurred in pairs along both the axial direction and the duct wall. This pressure distribution was naturally the result of different-order resonance.

Figure 2.
Resonances for the Neumann problem: (a) first trapped mode: f = 0.394; (b) second trapped mode: f = 0.445.
Figure 3 shows the normalized acoustic pressure distribution of the embedded trapped mode (f = 3.187) above the first cut-off frequency. Figure 3 shows that the acoustic pressure field was asymmetric about the y axis. In the trapped mode, both positive and negative pressure zones existed in the cavity even though the cavity length was relatively small.
Figure 3.
Normalized acoustic pressure distribution around the cavity at the frequency of the embedded trapped mode (f = 3.187).
The evolution of the trapped-mode frequency with the length of the cavity at two different modes is illustrated in Figure 4. The x axis represents the length of the cavity, and the y axis is the normalized frequency of the trapped mode. The triangle is the first-order mode, and the star is the second-order mode.
Figure 4.
The evolution of the frequency of the first trapped mode with cavity length.
Figure 4 indicates that the increase in cavity length resulted in a decrease in trapped-mode frequency, and it was valid for both the first and second trapped-mode frequencies. This resulted from the small cavity length influencing the pressure distribution around a much smaller zone along the acoustic-wave spreading direction.
4.2. Trapped Mode with Fluid
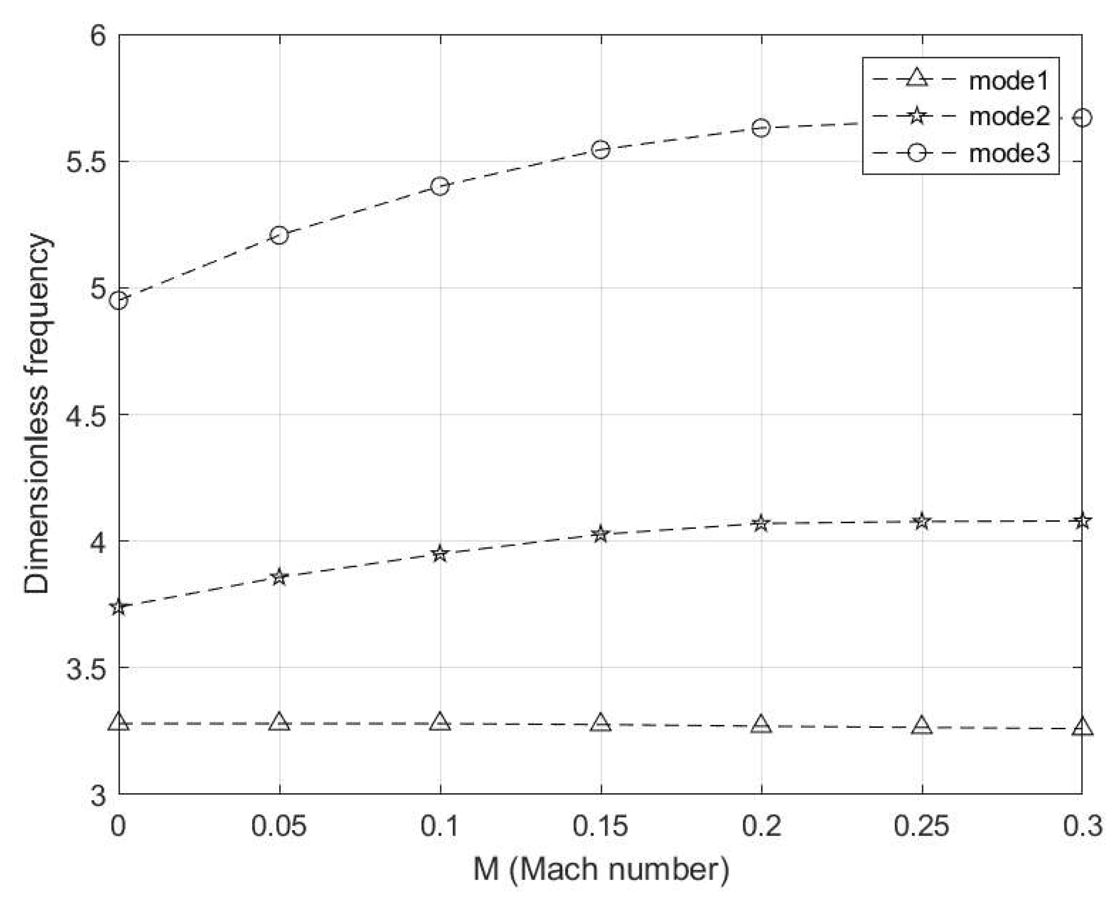
In order to investigate the influences of the flow, the trapped modes around the cavity were also calculated when the duct was filled with fluid. All the trapped modes in this subsection were captured with cavity length be 0.15. The influence of the Mach number on the trapped mode is revealed in the following.
Figure 5 shows different trapped modes for the case of Mach number = 0.3. Figure 5a–c depict the pressure distribution in the cavity at trapped modes f = 3.26, f = 4.08 and f = 5.67, respectively.
Figure 5.
Resonances for the Neumann problem: (a) first trapped mode: f = 3.26; (b) second trapped mode: f = 4.08; (c) embedded trapped mode: f = 5.67 (only the pressure field in the cavity is shown).
Figure 6 shows that, for the second and third modes, the trapped-mode frequency increased as the Mach number increased. However, the frequency of the first trapped mode did not change much with the increase in Mach number. When M = 0.1, the velocity of the fluid was relatively small, so the change in the vortex generated near the cavity had tiny influences on the frequency of the trapped modes. With the increase in Mach number, the frequency of the trapped mode changed greatly due to the vortex generated by the high-speed fluid.
Figure 6.
The evolution of the frequency of the first trapped mode with the Mach number.
Variation in the trapped-mode frequency for the duct filled with fluid was the opposite of that without fluid.This also resulted from the interaction between the acoustic and fluid fields. When the Mach number was higher, the fluid flowed faster, and the interaction was more violent. Thus, a relatively stable state of the acoustic and fluid fields was achieved at a higher frequency, which means that the trapped-mode frequency was greater.
5. Conclusions
In this paper, a physical model with a cavity in a two-dimensional tube was developed. The governing Galbrun equations and Navier–Stokes (NS) equations were depicted, and a method combining CAA and CFD was proposed in order to calculate the frequencies of the trapped mode with the presence of flow; the PML technique was used in order to simulate the unbounded domain. The trapped modes in the cavity–duct waveguide were researched, different types of mode around the cavity were displayed, and the trapped modes of a different order were also captured. Furthermore, the impacts of the Mach number and the size of the cavity on trapped modes were also studied, and the trend of trapped-mode frequency was revealed.
Author Contributions
Conceptualization, X.A. and C.M.; methodology, X.A. and C.M.; validation, C.M. and X.A.; formal analysis, C.M., P.N. and X.A.; investigation, C.M. and P.N.; data curation, C.M.; writing—original draft, C.M.; writing—review and editing, C.M. and X.A. All authors have read and agreed to the published version of the manuscript.
Funding
This research was funded by Talent Introduction Research Fund grant number 11105092921.
Institutional Review Board Statement
Not applicable.
Informed Consent Statement
Not applicable.
Data Availability Statement
Not applicable.
Conflicts of Interest
The authors declare no conflict of interest.
Abbreviations
The following abbreviations are used in this manuscript:
| CAA | Computational aeroacoustics |
| NS | Navier–Stokes |
| CFD | Computational fluid dynamics |
| PML | Perfectly matched layer |
| FEM | Finite-element method |
| PDEs | Partial difference equations |
| LEE | Linearized Euler equation |
| APE | Acoustic perturbation equations |
Nomenclature
| ,,, | Steady mean flow variables (density, celerity, pressure, and velocity). |
| ,, | Lagrangian perturbation or acoustic variables (pressure, displacement, and density). |
| Pulsation. | |
| f | Frequency. |
| Convective derivative. | |
| The normal vector pointing inward for the wall. | |
| Cartesian coordinates. | |
| Wave numbers in the x and y directions. | |
| M | Mach number. |
| The complete computational fluid domain. | |
| Fluid domain. | |
| PML domain. | |
| , | PML absorption coefficients. |
References
- Duan, Y.; Koch, W.; Linton, C.M.; McIVER, M. Complex resonances and trapped modes in ducted domains. J. Fluid Mech. 2007, 571, 119–147. [Google Scholar] [CrossRef]
- Ursell, F. Trapping modes in the theory of surface waves. In Mathematical Proceedings of the Cambridge Philosophical Society; Cambridge University Press: Cambridge, UK, 1951; Volume 47, pp. 347–358. [Google Scholar]
- Parker, R. Resonance effects in wake shedding from parallel plates: Some experimental observations. J. Sound Vib. 1966, 4, 62–72. [Google Scholar] [CrossRef]
- Evans, D.; Levitin, M.; Vassiliev, D. Existence theorems for trapped modes. J. Fluid Mech. 1994, 261, 21–31. [Google Scholar] [CrossRef]
- Evans, D.; Porter, R. Trapped modes about multiple cylinders in a channel. J. Fluid Mech. 1997, 339, 331–356. [Google Scholar] [CrossRef]
- Hein, S.; Hohage, T.; Koch, W. On resonances in open systems. J. Fluid Mech. 2004, 506, 255–284. [Google Scholar] [CrossRef]
- Aly, K.; Ziada, S. Effect of mean flow on the trapped modes of internal cavities. J. Fluids Struct. 2012, 33, 70–84. [Google Scholar] [CrossRef]
- Bolduc, M.; Ziada, S.; Lafon, P. Flow-excited acoustic resonance of trapped modes of a ducted rectangular cavity. J. Press. Vessel. Technol. 2016, 138, 031303. [Google Scholar] [CrossRef]
- Ziada, S.; Bolduc, M.; Lafon, P. Flow-excited resonance of diametral acoustic modes in ducted rectangular cavities. AIAA J. 2017, 55, 3817–3830. [Google Scholar] [CrossRef]
- Dhia, A.S.B.B.; Chesnel, L.; Pagneux, V. Trapped modes and reflectionless modes as eigenfunctions of the same spectral problem. Proc. R. Soc. Math. Phys. Eng. Sci. 2018, 474, 20180050. [Google Scholar] [CrossRef]
- Lyapina, A.; Pilipchuk, A.; Sadreev, A. Trapped modes in a non-axisymmetric cylindrical waveguide. J. Sound Vib. 2018, 421, 48–60. [Google Scholar] [CrossRef]
- Feng, X.; Ben Tahar, M.; Baccouche, R. The aero-acoustic Galbrun equation in the time domain with perfectly matched layer boundary conditions. J. Acoust. Soc. Am. 2016, 139, 320–331. [Google Scholar] [CrossRef] [PubMed]
- Gaulter, S.N.; Biggs, N.R. Acoustic trapped modes in a three-dimensional waveguide of slowly varying cross section. Proc. R. Soc. Math. Phys. Eng. Sci. 2013, 469, 20120384. [Google Scholar] [CrossRef]
- Wang, P.; Liu, Y. Spinning behavior of flow-acoustic resonant fields inside a cavity: Vortex-shedding modes and diametral acoustic modes. Phys. Fluids 2020, 32, 085109. [Google Scholar] [CrossRef]
- Dai, X. Total reflection of two guided waves for embedded trapped modes. AIAA J. 2021, 59, 131–139. [Google Scholar] [CrossRef]
- Ma, C.; Ramadan, I.; Ben Tahar, M. Numerical investigation of the trapped modes in the presence of non-potential flow. J. Acoust. Soc. Am. 2021, 150, 2514–2525. [Google Scholar] [CrossRef] [PubMed]
- Baccouche, R. Développement d’Une Approche Numérique et Expérimentale Pour un Conduit Avec Traitement Acoustique: Application à la Validation de Modèles d’Impédance en Propagation Multimodale Avec Écoulement. Ph.D. Thesis, Université de Technologie de Compiègne, Compiègne, France, 2016. [Google Scholar]
- Feng, X. Modélisation Numérique par Éléments Finis d’Un Problème Aéroacoustique en Régime Transitoire: Application À l’équation de Galbrun. Ph.D. Thesis, Université de Technologie de Compiègne, Compiègne, France, 2013. [Google Scholar]
- An, X.; Song, B.; Tian, W.; Ma, C. Design and CFD simulations of a vortex-induced piezoelectric energy converter (VIPEC) for underwater environment. Energies 2018, 11, 330. [Google Scholar] [CrossRef]
- Turner, M.J.; Clough, R.W.; Martin, H.C.; Topp, L. Stiffness and deflection analysis of complex structures. J. Aeronaut. Sci. 1956, 23, 805–823. [Google Scholar] [CrossRef]
- Clough, R.W. The Finite Element Method in Structural Mechanics; Chapter 7: Stress Analysis; John Wiley and Sons: New York, NY, USA, 1965; pp. 85–119. [Google Scholar]
- Gabard, G.; Astley, R.; Ben Tahar, M. Stability and accuracy of finite element methods for flow acoustics. I: General theory and application to one-dimensional propagation. Int. J. Numer. Methods Eng. 2005, 63, 947–973. [Google Scholar] [CrossRef]
Disclaimer/Publisher’s Note: The statements, opinions and data contained in all publications are solely those of the individual author(s) and contributor(s) and not of MDPI and/or the editor(s). MDPI and/or the editor(s) disclaim responsibility for any injury to people or property resulting from any ideas, methods, instructions or products referred to in the content. |
© 2023 by the authors. Licensee MDPI, Basel, Switzerland. This article is an open access article distributed under the terms and conditions of the Creative Commons Attribution (CC BY) license (https://creativecommons.org/licenses/by/4.0/).






