Inversion of Surrounding Red-Bed Soft Rock Mechanical Parameters Based on the PSO-XGBoost Algorithm for Tunnelling Operation
Abstract
:1. Introduction
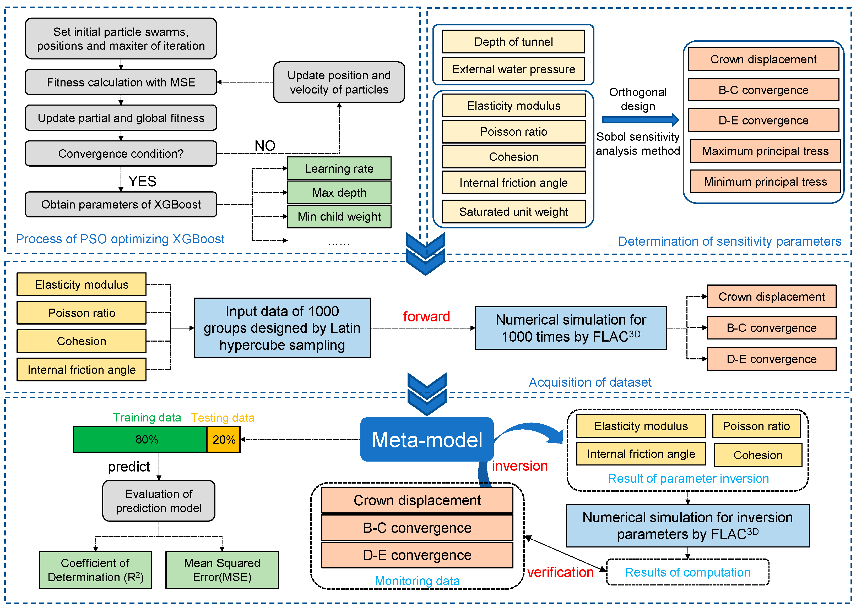
2. Methodology
2.1. PSO-XGBoost
2.1.1. Particle Swarm Optimization
2.1.2. eXtreme Gradient Boosting
2.1.3. PSO-XGBoost
2.2. Sobol Method
2.3. Establishment of the Operational Tunnel Model
3. Parameter Sensitivity Analysis Based on Orthogonal Design
3.1. Orthogonal Design of Calculation Scheme
3.2. Analysis of Calculation Results
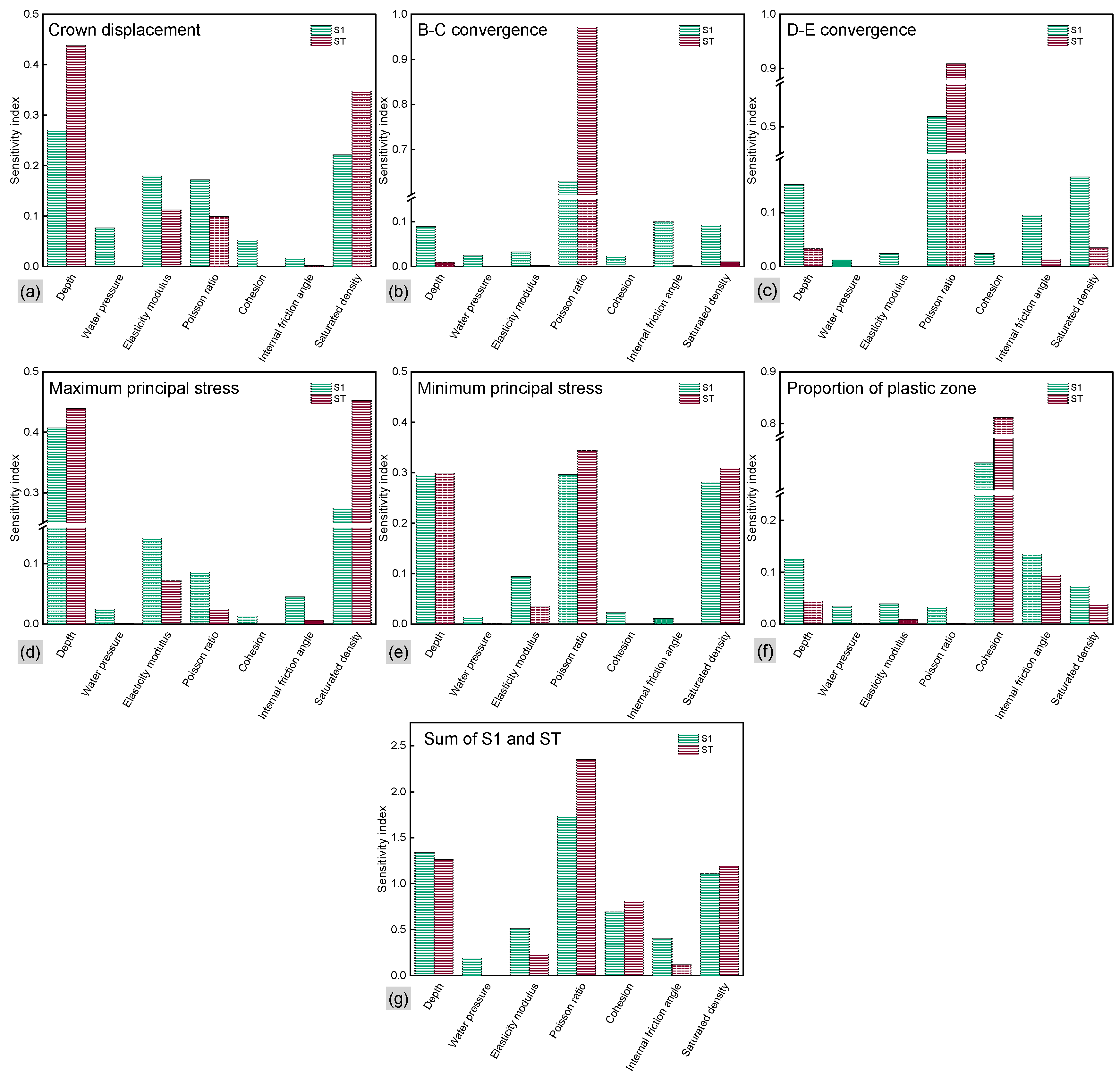
3.3. Sensitivity Analysis Results of the Sobol Method
4. Inversion and Verification of Mechanical Parameters
4.1. Acquisition of Dataset
4.2. Verification of Inversion Model
4.3. Verification of Parameter Inversion
5. Conclusions and Future Work
- (1)
- The PSO algorithm was employed to optimize the hyperparameters of the XGBoost algorithm for parameter inversion. The outcomes of the inversion process revealed that the PSO-XGBoost model achieved an exceptional accuracy, exceeding 90% in the estimation of parameters.
- (2)
- The employment of the Sobol method for global sensitivity analysis provided deep insights into the influence of various environmental and rock mass parameters on tunnel behavior. The parameter inversion process primarily focuses on rock mechanical parameters, including the elasticity modulus, Poisson ratio, cohesion, and internal friction angle.
- (3)
- The inversion process, informed by a Latin Hypercube Sampling (LHS) approach and 1000 parameter samples integrated into FLAC3D simulations, yielded highly accurate predictions. The confirmation of the PSO-XGBoost model’s precision through cross-sectional monitoring data, with a less than 15% relative error, solidifies its value as a reliable tool in the engineering analysis and construction of soft rock tunnels.
Author Contributions
Funding
Institutional Review Board Statement
Informed Consent Statement
Data Availability Statement
Acknowledgments
Conflicts of Interest
References
- Jia, J. A Technical Review of Hydro-Project Development in China. Engineering 2016, 2, 302–312. [Google Scholar] [CrossRef]
- Özsan, A.; Başarır, H. Support Capacity Estimation of a Diversion Tunnel in Weak Rock. Eng. Geol. 2003, 68, 319–331. [Google Scholar] [CrossRef]
- Shahin, H.; Nakai, T.; Ishii, K.; Iwata, T.; Kuroi, S. Investigation of Influence of Tunneling on Existing Building and Tunnel: Model Tests and Numerical Simulations. Acta Geotech. 2016, 11, 679–692. [Google Scholar] [CrossRef]
- Yang, S.-Q.; Chen, M.; Jing, H.-W.; Chen, K.-F.; Meng, B. A Case Study on Large Deformation Failure Mechanism of Deep Soft Rock Roadway in Xin’An Coal Mine, China. Eng. Geol. 2017, 217, 89–101. [Google Scholar] [CrossRef]
- Zhao, C.; Gong, W.; Li, T.; Juang, C.H.; Tang, H.; Wang, H. Probabilistic Characterization of Subsurface Stratigraphic Configuration with Modified Random Field Approach. Eng. Geol. 2021, 288, 106138. [Google Scholar] [CrossRef]
- Zhang, W.; Zhao, Q.; Huang, R.; Chen, J.; Xue, Y.; Xu, P. Identification of Structural Domains Considering the Size Effect of Rock Mass Discontinuities: A Case Study of an Underground Excavation in Baihetan Dam, China. Tunn. Undergr. Space Technol. 2016, 51, 75–83. [Google Scholar] [CrossRef]
- Li, H.; Chen, W.; Tan, X.; Tan, X. Back Analysis of Geomechanical Parameters for Rock Mass under Complex Geological Conditions Using a Novel Algorithm. Tunn. Undergr. Space Technol. 2023, 136, 105099. [Google Scholar] [CrossRef]
- Wang, X.; Zhao, Y.; Lin, X. Determination of Mechanical Parameters for Jointed Rock Masses. J. Rock Mech. Geotech. Eng. 2011, 3, 398–406. [Google Scholar]
- Liu, J.; Qi, T.; Wu, Z. Analysis of Ground Movement Due to Metro Station Driven with Enlarging Shield Tunnels under Building and Its Parameter Sensitivity Analysis. Tunn. Undergr. Space Technol. 2012, 28, 287–296. [Google Scholar] [CrossRef]
- Ma, C.; Li, X.; Wang, S. A Global Sensitivity Analysis of Soil Parameters Associated with Backscattering Using the Advanced Integral Equation Model. IEEE Trans. Geosci. Remote Sens. 2015, 53, 5613–5623. [Google Scholar] [CrossRef]
- Brown, S.; Beck, J.; Mahgerefteh, H.; Fraga, E.S. Global Sensitivity Analysis of the Impact of Impurities on CO2 Pipeline Failure. Reliab. Eng. Syst. Saf. 2013, 115, 43–54. [Google Scholar] [CrossRef]
- Liu, W.; Ding, L. Global Sensitivity Analysis of Influential Parameters for Excavation Stability of Metro Tunnel. Autom. Constr. 2020, 113, 103080. [Google Scholar] [CrossRef]
- Vezzaro, L.; Mikkelsen, P.S. Application of Global Sensitivity Analysis and Uncertainty Quantification in Dynamic Modelling of Micropollutants in Stormwater Runoff. Environ. Modell. Softw. 2012, 27–28, 40–51. [Google Scholar] [CrossRef]
- Kim, H.-M.; Park, D.; Ryu, D.-W.; Song, W.-K. Parametric Sensitivity Analysis of Ground Uplift above Pressurized Underground Rock Caverns. Eng. Geol. 2012, 135–136, 60–65. [Google Scholar] [CrossRef]
- Gevrey, M.; Dimopoulos, I.; Lek, S. Two-Way Interaction of Input Variables in the Sensitivity Analysis of Neural Network Models. Ecol. Model. 2006, 195, 43–50. [Google Scholar] [CrossRef]
- Zhang, P. A Novel Feature Selection Method Based on Global Sensitivity Analysis with Application in Machine Learning-Based Prediction Model. Appl. Soft Comput. 2019, 85, 105859. [Google Scholar] [CrossRef]
- Gioda, G.; Maier, G. Direct Search Solution of an Inverse Problem in Elastoplasticity: Identification of Cohesion, Friction Angle Andin Situ Stress by Pressure Tunnel Tests. Int. J. Numer. Meth. Eng. 1980, 15, 1823–1848. [Google Scholar] [CrossRef]
- Sakurai, S. Back Analysis of Measured Displacements of Tunnels. Rock Mech. Rock Eng. 1983, 16, 173–180. [Google Scholar] [CrossRef]
- Song, Z.; Yang, Z.; Huo, R.; Zhang, Y. Inversion Analysis Method for Tunnel and Underground Space Engineering: A Short Review. Appl. Sci. 2023, 13, 5454. [Google Scholar] [CrossRef]
- Li, C.; Hou, S.; Liu, Y.; Qin, P.; Jin, F.; Yang, Q. Analysis on the Crown Convergence Deformation of Surrounding Rock for Double-Shield TBM Tunnel Based on Advance Borehole Monitoring and Inversion Analysis. Tunn. Undergr. Space Technol. 2020, 103, 103513. [Google Scholar] [CrossRef]
- Zhang, Q.; Li, R.; Yuan, H.; Zhong, H. Vertical Displacement Measurement of Tunnel Structures Based on Long-Gauge Fiber Bragg Grating Strain Sensing. Appl. Sci. 2023, 13, 11496. [Google Scholar] [CrossRef]
- Tan, Y.; Chen, B.; Liu, Z. Study on Large Deformation Characteristics and Secondary Lining Supporting Time of Tunnels in Carbonaceous Schist Stratum under High Geo-Stress. Sustainability 2023, 15, 14278. [Google Scholar] [CrossRef]
- Tyrer, J.; Paraskevopoulou, C.; Shah, R.; Miller, R.; Kavvadas, M. Tunnelling with Full-Face Shielded Machines: A 3D Numerical Analysis of an Earth Pressure Balance (EPB) Excavation Sequence Using the Finite Element Method (FEM). Geosciences 2023, 13, 244. [Google Scholar] [CrossRef]
- Liu, B.; Shao, C.; Xu, W. Influenced Zone of Deep Excavation on Adjacent Tunnel Displacement and Control Effect of Ground Improvement in Soft Soil. Appl. Sci. 2022, 12, 9047. [Google Scholar] [CrossRef]
- Zheng, D.; Cheng, L.; Bao, T.; Lv, B. Integrated Parameter Inversion Analysis Method of a CFRD Based on Multi-Output Support Vector Machines and the Clonal Selection Algorithm. Comput. Geotech. 2013, 47, 68–77. [Google Scholar] [CrossRef]
- Jiang, S.; Wei, B.; Zhang, W.; Jiang, X.; Huang, J. Probabilistic back analysis of spatially varying soil properties and reliability updating of slopes with multiple sources of test data. Rock Soil Mech. 2018, 39, 1491–1499. [Google Scholar] [CrossRef]
- Xu, X.; Zhang, G.; Huang, W.; Chen, S.; Yan, L.; Xu, W. Engineering Safety Evaluation of the High Rock Slope of a Hydropower Project: A Case Study of 684 m-High Slope Related to Lianghekou Hydropower Project at Yalong River. Appl. Sci. 2023, 13, 1729. [Google Scholar] [CrossRef]
- Gao, W.; Chen, D.; Dai, S.; Wang, X. Back Analysis for Mechanical Parameters of Surrounding Rock for Underground Roadways Based on New Neural Network. Eng. Comput. 2018, 34, 25–36. [Google Scholar] [CrossRef]
- Goh, A.T.C.; Zhang, Y.; Zhang, R.; Zhang, W.; Xiao, Y. Evaluating Stability of Underground Entry-Type Excavations Using Multivariate Adaptive Regression Splines and Logistic Regression. Tunn. Undergr. Space Technol. 2017, 70, 148–154. [Google Scholar] [CrossRef]
- Zhuang, D.Y.; Ma, K.; Tang, C.A.; Liang, Z.Z.; Wang, K.K.; Wang, Z.W. Mechanical Parameter Inversion in Tunnel Engineering Using Support Vector Regression Optimized by Multi-Strategy Artificial Fish Swarm Algorithm. Tunn. Undergr. Space Technol. 2019, 83, 425–436. [Google Scholar] [CrossRef]
- Sun, P.; Bao, T.; Gu, C.; Jiang, M.; Wang, T.; Shi, Z. Parameter Sensitivity and Inversion Analysis of a Concrete Faced Rock-Fill Dam Based on HS-BPNN Algorithm. Sci. China Technol. Sci. 2016, 59, 1442–1451. [Google Scholar] [CrossRef]
- Zhan, T.; Guo, X.; Jiang, T.; Jiang, A. Intelligent Feedback Analysis of Fluid–Solid Coupling of Surrounding Rock of Tunnel in Water-Rich Areas. Appl. Sci. 2023, 13, 1479. [Google Scholar] [CrossRef]
- ASTM D4373-14; Standard Test Method for Rapid Determination of Carbonate Content of Soils. ASTM International: West Conshohocken, PA, USA, 2014.
- DZ/T 0276.9-2015; Regulation for Testing the Physical and Mechanical Properties of Rock-Part 9: Test for Determining the Slake Durability of Rock. China Standard Press: Beijing, China, 2015.
- Kennedy, J.; Eberhart, R. Particle Swarm Optimization. In Proceedings of the ICNN’95—International Conference on Neural Networks, Perth, WA, Australia, 27 November–1 December 1995; IEEE: Perth, WA, Australia, 1995; Volume 4, pp. 1942–1948. [Google Scholar] [CrossRef]
- Chen, T.; Guestrin, C. XGBoost: A Scalable Tree Boosting System. In Proceedings of the 22nd ACM SIGKDD International Conference on Knowledge Discovery and Data Mining, San Francisco, CA, USA, 13–17 August 2016; ACM: San Francisco, CA, USA, 2016; pp. 785–794. [Google Scholar] [CrossRef]
- Jiang, Y.; Wang, W.; Zou, L.; Cao, Y. Regional Landslide Susceptibility Assessment Based on Improved Semi-Supervised Clustering and Deep Learning. Acta Geotech. 2023. [Google Scholar] [CrossRef]
- Zhang, L.; Wu, X.; Zhu, H.; AbouRizk, S.M. Performing Global Uncertainty and Sensitivity Analysis from Given Data in Tunnel Construction. J. Comput. Civ. Eng. 2017, 31, 04017065. [Google Scholar] [CrossRef]
- Cao, J.; Gao, J.; Nikafshan Rad, H.; Mohammed, A.S.; Hasanipanah, M.; Zhou, J. A Novel Systematic and Evolved Approach Based on XGBoost-Firefly Algorithm to Predict Young’s Modulus and Unconfined Compressive Strength of Rock. Eng. Comput. 2022, 38 (Suppl. S5), 3829–3845. [Google Scholar] [CrossRef]
- Li, Z.; Gong, W.; Zhang, L.; Wang, L. Multi-Objective Probabilistic Back Analysis for Selecting the Optimal Updating Strategy Based on Multi-Source Observations. Comput. Geotech. 2022, 151, 104959. [Google Scholar] [CrossRef]
- Zhou, J.; Qiu, Y.; Zhu, S.; Armaghani, D.J.; Khandelwal, M.; Mohamad, E.T. Estimation of the TBM Advance Rate under Hard Rock Conditions Using XGBoost and Bayesian Optimization. Undergr. Space 2021, 6, 506–515. [Google Scholar] [CrossRef]
- Sun, J.; Wu, S.; Wang, H.; Wang, T.; Geng, X.; Zhang, Y. Inversion of Surrounding Rock Mechanical Parameters in a Soft Rock Tunnel Based on a Hybrid Model EO-LightGBM. Rock Mech. Rock Eng. 2023, 56, 691–707. [Google Scholar] [CrossRef]
- Zhang, Y.; Su, G.; Liu, B.; Li, T. A Novel Displacement Back Analysis Method Considering the Displacement Loss for Underground Rock Mass Engineering. Tunn. Undergr. Space Technol. 2020, 95, 103141. [Google Scholar] [CrossRef]
- McKay, M.D.; Beckman, R.J.; Conover, W.J. Comparison of Three Methods for Selecting Values of Input Variables in the Analysis of Output from a Computer Code. Technometrics 1979, 21, 239–245. [Google Scholar] [CrossRef]
- Fang, Y.; Su, Y. On the Use of the Global Sensitivity Analysis in the Reliability-Based Design: Insights from a Tunnel Support Case. Comput. Geotech. 2020, 117, 103280. [Google Scholar] [CrossRef]
- Liu, W.; Wu, X.; Zhang, L.; Wang, Y.; Teng, J. Sensitivity Analysis of Structural Health Risk in Operational Tunnels. Autom. Constr. 2018, 94, 135–153. [Google Scholar] [CrossRef]











| Parameters | Learning Rate | Number of Estimators | Maximum Depth | Minimum Child Weight | Subsampling Rate |
|---|---|---|---|---|---|
| Values | 0.01 | 100 | 7 | 5 | 0.6 |
| Depth (m) | Water Pressure (MPa) | Elasticity Modulus (GPa) | Poisson Ratio | Cohesion (MPa) | Internal Friction Angle (°) | Saturated Density (kN/m3) |
|---|---|---|---|---|---|---|
| 300 | 0.35 | 2.84 | 0.31 | 0.42 | 32.78 | 25.4 |
| Levels | Depth (m) | Water Pressure (MPa) | Elasticity Modulus (GPa) | Poisson Ratio | Cohesion (MPa) | Internal Friction Angle (°) | Saturated Density (kN/m3) |
|---|---|---|---|---|---|---|---|
| Reference value (1) | 300 | 0.35 | 2.84 | 0.31 | 0.42 | 32.78 | 25.4 |
| 1 | 240 (2) | 0.28 (10) | 2.272 (18) | 0.248 (26) | 0.336 (34) | 26.224 (42) | 20.32 (50) |
| 2 | 255 (3) | 0.2975 (11) | 2.414 (19) | 0.2635 (27) | 0.357 (35) | 27.863 (43) | 21.59 (51) |
| 3 | 270 (4) | 0.315 (12) | 2.556 (20) | 0.279 (28) | 0.378 (36) | 29.502 (44) | 22.86 (52) |
| 4 | 285 (5) | 0.3325 (13) | 2.698 (21) | 0.2945 (29) | 0.399 (37) | 31.141 (45) | 24.13 (53) |
| 5 | 315 (6) | 0.3675 (14) | 2.982 (22) | 0.3255 (30) | 0.441 (38) | 34.419 (46) | 26.67 (54) |
| 6 | 330 (7) | 0.385 (15) | 3.124 (23) | 0.341 (31) | 0.462 (39) | 36.058 (47) | 27.94 (55) |
| 7 | 345 (8) | 0.4025 (16) | 3.266 (24) | 0.3565 (32) | 0.483 (40) | 37.697 (48) | 29.21 (56) |
| 8 | 360 (9) | 0.42 (17) | 3.408 (25) | 0.372 (33) | 0.504 (41) | 39.336 (49) | 30.48 (57) |
| Input Variables | Items | Unit | Ranges | Mean |
|---|---|---|---|---|
| Elasticity modulus | E | GPa | (0.5, 5) | 2.75 |
| Poisson ratio | μ | - | (0.27, 0.35) | 0.31 |
| Cohesion | c | MPa | (0.1, 0.7) | 0.4 |
| Internal friction angle | φ | ° | (22, 33) | 27.5 |
| Monitoring Point | Input | Output | |||||
|---|---|---|---|---|---|---|---|
| Crown Displacement (mm) | B–C Convergence (mm) | D–E Convergence (mm) | Elasticity Modulus (GPa) | Poisson Ratio | Cohesion (MPa) | Internal Friction Angle (°) | |
| CX22 + 630 | 65.5 | 70.5 | 62 | 2.506 | 0.351 | 0.664 | 26.767 |
| CX22 + 670 | 62 | 70.2 | 58.4 | 2.524 | 0.374 | 0.579 | 30.652 |
| CX22 + 710 | 49.9 | 58.1 | 55.8 | 1.887 | 0.316 | 0.608 | 25.894 |
| CX22 + 750 | 81.2 | 62.8 | 61.4 | 2.990 | 0.341 | 0.317 | 28.226 |
| CX22 + 790 | 55.6 | 56.3 | 55.8 | 1.668 | 0.347 | 0.449 | 26.752 |
Disclaimer/Publisher’s Note: The statements, opinions and data contained in all publications are solely those of the individual author(s) and contributor(s) and not of MDPI and/or the editor(s). MDPI and/or the editor(s) disclaim responsibility for any injury to people or property resulting from any ideas, methods, instructions or products referred to in the content. |
© 2023 by the authors. Licensee MDPI, Basel, Switzerland. This article is an open access article distributed under the terms and conditions of the Creative Commons Attribution (CC BY) license (https://creativecommons.org/licenses/by/4.0/).
Share and Cite
Wu, Y.; Wang, H.; Guo, X. Inversion of Surrounding Red-Bed Soft Rock Mechanical Parameters Based on the PSO-XGBoost Algorithm for Tunnelling Operation. Appl. Sci. 2023, 13, 13341. https://doi.org/10.3390/app132413341
Wu Y, Wang H, Guo X. Inversion of Surrounding Red-Bed Soft Rock Mechanical Parameters Based on the PSO-XGBoost Algorithm for Tunnelling Operation. Applied Sciences. 2023; 13(24):13341. https://doi.org/10.3390/app132413341
Chicago/Turabian StyleWu, Yizhe, Huanling Wang, and Xinyan Guo. 2023. "Inversion of Surrounding Red-Bed Soft Rock Mechanical Parameters Based on the PSO-XGBoost Algorithm for Tunnelling Operation" Applied Sciences 13, no. 24: 13341. https://doi.org/10.3390/app132413341
APA StyleWu, Y., Wang, H., & Guo, X. (2023). Inversion of Surrounding Red-Bed Soft Rock Mechanical Parameters Based on the PSO-XGBoost Algorithm for Tunnelling Operation. Applied Sciences, 13(24), 13341. https://doi.org/10.3390/app132413341

