Abstract
In light of the escalating demand for renewable energy sources, vertical-axis wind turbines have emerged as a pivotal technical solution for addressing the challenge of clean energy supply in residential and urban areas. As a simple and feasible passive control method, the plain Gurney flap (PGF) is widely applied to improve turbine aerodynamic performance. In this paper, the influence of a novel serrated gurney flap (SGF) with different flap heights is studied on the NACA0021 airfoil by numerical simulations. The findings demonstrate that, compared with the PGF, the SGF reduces the trailing edge reverse vortices from a pair to a single vortex and possesses lower drag. When the flap height reaches 6% of the chord (6%c), the lift-to-drag ratio of SGF surpasses that of PGF. A turbine rotor is equipped with an SGF and a PGF to compare their performances. The result confirms the flap effect depending on the rotor’s tip speed. At a low tip speed ratio (TSR), the PGF works better than the SGF. The SGF is preferred over the PGF for a higher tip speed ratio (TSR > 2.5). With the 6%c flap height, the performance of the SGF rotor surpasses the PGF by 13.9% at TSR = 2.62.
1. Introduction
Vertical-axis wind turbines (VAWTs) are regarded as the potential future of distributed wind energy [1] because of their low manufacturing cost, low operation noise, and lack of a need for piloting mechanisms [2]. Despite the development of various VAWTs, their applications are limited due to the lower unit power output than that of a horizontal axial wind turbine of the same size [3]. Symmetrical airfoils, such as NACA00, are commonly used in VAWT blade design because they are believed to generate consistent aerodynamic forces during blade rotation [4]. However, symmetrical airfoils have lower lift coefficients compared with cambered airfoils and are susceptible to dynamic stalling at high attack angles [5]. Therefore, it is crucial to apply effective flow control methods to enhance the lift force of VAWT blades.
The concept of the Gurney flap was initiated by Dan Gurney in 1971, who used it on his car to increase traction and improve handling. The device is a microtab (referred to as a plain Gurney flap) protruding perpendicular to the airfoil lower side near the trailing edge. The optimal height of the flap is recommended to be between 1%c and 5%c by Li [6]. Sun [7] found that the flap height should be smaller than 7%c in order to keep the average power increment of the oscillating airfoil. Liebeck [8] later applied the Gurney flap as a simple lift-enhancing device on commercial aircraft and rotorcraft. Studies have shown that a Gurney flap with a height of 2% of the chord length can yield an approximately 30% increase in airfoil lift [9]. The effectiveness of Gurney flap techniques has also been demonstrated in improving the performance of rotorcraft.
The plain Gurney flap (PGF) has found widespread applications in VAWTs due to its ease of implementation and high efficiency [10,11,12,13,14]. Xie et al. [10] applied the PGF on NACA0012 and raised the maximum energy capture and efficiency by 22% and 15% under a certain range of reduced frequency. Meena et al. [11] investigated the wake behavior of a symmetric airfoil with a plain flap at a low Reynolds number. The plain flap was found to raise the airfoil lift and its fluctuating magnitude at high angles of attack. Ni et al. [12] studied the PGF’s impacts and the parameter of solidity on the performance of VAWTs in three-turbine arrays, and the maximum average torque of the downstream rotor could be reached by 36.5%. Yan et al. [13] investigated the lift effectiveness of a PGF tab on an isolated NACA0018 airfoil. An H-type VAWT rotor used three blades with flap installation and achieved an increased power coefficient at a low tip speed ratio (TSR < 2.5). Zhu et al. [14] found that the maximum improvement could reach up to 21.32% by mounting the PGF.
Due to the excellent aerodynamic improvement in the VAWT by the PGF, more flow control techniques have been applied to the blades. Zhang et al. [15] and Feng et al. [16] tested a novel plasma GF on the aerodynamic characteristics of a NACA0012 airfoil and indicated that the effects were the same as those of the conventional GF. Yang et al. [17] developed an active flow control technique of a flapped airfoil for a VAWT. The flap angle was specially designed to avoid the separated wake behind the trailing edge and to delay dynamic stall. Chen et al. [18] attached an active GF to a three-blade VAWT to increase the power coefficient by 5.14% under the operation condition. Ismail and Vijayaraghavan [19] optimized a combination of the PGF and a semi-circular inward dimple on a VAWT blade, resulting in an approximately 35% increase in the average tangential force under the steady-state condition and a 40% increase under oscillating conditions.
The increased drag is unavoidable when the lift is increased by a PGF. A critical issue is to reduce the drag when designing turbine configurations [20]. Owing to the drag penalty, various efforts have been made to reduce the flap’s negative influences. Meyer et al. [21] investigated slotted flaps to reduce lift and drag while improving the lift-to-drag ratio. Three-dimensional modifications to the GF configuration were found to change the two-dimensionality of the wake and reduce the drag by 12%. Lee [22] investigated the use of perforated flaps, which resulted in a decrease in the drag with a limited lift decrement. These studies demonstrate ongoing research and development aimed at optimizing the performance of the Gurney flap and minimizing any potential negative impacts on drag.
The serrated Gurney flap (SGF) is a combined architecture of the plain Gurney flap and a serrated or slotted trailing edge (STE). The plain Gurney flap improves the lift, but it increases drag and noise. The slotted trailing edge is prone to reducing airfoil noise but fails to maintain the lift [20,23].
Neuhart et al. [24] demonstrated an SGF airfoil with a delayed boundary layer separation on its upper surface. Von Dam et al. [25] showed that, although SGFs resulted in a lower lift coefficient increment compared with PGFs, they could increase the lift/drag ratio. However, experiments conducted by Gai and Palfrey [26] in a wind tunnel on an NACA0012 airfoil equipped with PGF and SGF with a 5% chord height showed a significant lift increase from 80% to 65% in the range of 80–65%, but a 7% decrease in the maximum lift-to-drag ratio. It should be noted that the GF height used in their study was greater than that used by previous researchers [27,28]. Additionally, Garry and Couthier [29] reported that an SGF with 90-degree filaments was more effective in terms of the lift–drag ratio since it decreased the half-projected area normal to the local stream direction.
As a new member of the Gurney flap family, the SGF seems to have all the advantages of the PGF and STE and it can obtain a better lift-to-drag ratio. However, the authors have reviewed the available literature and found that nearly all focused on the control effects on isolated airfoils with SGFs at different angles of attack. The flow around a VAWT’s blade is different from the flow on the static airfoil surface. It is exposed to the varied inlet flow direction, as its rotation axis is perpendicular to the free stream flow. Therefore, it is a key issue to explore the potential effect of the SGF on a generic VAWT rotor.
This study aims to explore the flow control mechanism of the SGF on an isolated airfoil and its potential effect on a three-straight-blade VAWT rotor by numerical simulations. Three flap heights are chosen to compare the impact of the PGF and SGF on the performance of an NACA0021 isolated airfoil at different angles of attack (AoAs), as well as the VAWT at various tip speed ratios (TSRs), respectively. Finally, the potential application of the SGF in vertical-axis wind turbines is assessed, highlighting its prospect in enhancing turbine performance.
2. Simulation Setup
2.1. Isolated Airfoil
2.1.1. Isolated Airfoil Model and the Boundary Conditions
Figure 1 illustrates the baseline NACA0021 airfoil with a Gurney flap of height H. The flap is positioned perpendicularly to the local airfoil surface at the trailing edge. The computation is conducted at a Reynolds number based on the airfoil chord length c = 80 mm, resulting in a value of 1.6 × 105 for a free stream velocity of 25.2 m/s. The flow is considered incompressible, and these flow conditions are representative of small VAWT applications.
Figure 1.
Schematic of NACA0021 blade with a serrated Gurney flap.
Three flap heights are investigated in this study, corresponding to 1.5%c, 3%c, and 6%c. Also shown in Figure 1, the serrations with a serration angle are full-depth cut-outs, with a facing area of PGF reduced by 50%. Each flap has a thickness (W) of 0.8 mm. Flaps are mounted at the trailing edge, which is proposed for optimum performance [30]. The flow field is extracted and analyzed within a rectangular region in the downstream plane and swept over the span to cover several serration pitches. The blade height L = 3.5H covers three serrations.
The computational domain contains a semi-circular domain with a radius , and a rectangle of from the airfoil leading edge (see Figure 2) according to Kinzel et al. [31]. It reports that maintaining a minimum distance of 10c between the airfoil and the inlet/outlet of the region yields accurate results and mitigates the impact of uncertain boundary conditions on the isolated blade’s calculations.
Figure 2.
Geometry features and main dimensions of the computational domain.
The free stream velocity is given at the inlet, while the ambient pressure is specified at the outlet. The surfaces of the airfoil and flap are treated as non-slip walls. Periodic boundary conditions are imposed on both spanwise boundaries without spanwise crossflows.
2.1.2. Mesh Topology
The computational domain is composed of three parts. A circular zone with a diameter of 3c is created around the blade in order to facilitate local grid refinement near the blade [32] and this part is meshed by prismatic elements. A boundary layer of 33 layers is laid perpendicularly over the airfoil surface. The second part is a C-type region outside the circular zone and connects with the third part of a rectangular region. Outside the boundary layer, unstructured polyhedron grids are adopted to provide adaptability and efficient solutions [20]. The mesh topology is shown in Figure 3 with enlarged views of the leading and trailing edges. Computation starts from a coarse grid with the first grid height of 7 × 10−6 m. The grid is successively refined with a normal extending rate of 1.2 to generate a medium and a fine grid (see Table 1) which are used to study the grid-dependence of the results.
Figure 3.
Zoom view of the computational mesh of the NACA0021 with an SGF.
Table 1.
Mesh-independence on an NACA0021 airfoil.
2.1.3. Numerical Solver and Simulation Validation
The flow field around the static airfoil is resolved at various AoAs ranging from to through a commercial software FLUENT 19.2, which solves the incompressible Reynolds-averaged Navier–Stoke equations using the finite-volume scheme. The unsteady solver is based on the coupled pressure–velocity scheme with the second-order upwind scheme for spatial discretization.
Considering feasibility and accuracy, the improved delayed detached eddy simulation (IDDES) method is used for the flow over the blades with different flaps. Shur and Spalart [33] improved the LES solution at the wall in the DES model and originated the IDDES method, which is widely applied in recent studies [34,35,36,37]. IDDES allows the activation of RANS and LES in different flow regimes, which are suitable for solving complex turbulent flows with high precision [36]. The modified Menter’s k-ω shear-stress transport (SST) two-equation turbulence model is chosen for the RANS simulation due to its credible predictions of the aerodynamic forces and the flow separations under the adverse pressure gradients [38]. The computational machine involved with these simulations consists of 4 Intel Xeon-Gold 6230 processors @2.1 GHz with 80 cores. The transient formulation of a bounded second-order implicit scheme with a time step of ∆t = 5.0 × 10−5 s is used, and several rounds of 20 iterations per time-step are employed to ensure the scaled residuals drop below 10−5.
The airfoil lift coefficient and drag coefficient are calculated by
where and are the lift and drag forces, and is the projected area of the airfoil,.
The lift and drag coefficients of the clean NACA0021 airfoil at are employed to assess the mesh-independence. Table 1 summarizes the computational results of lift and drag coefficients by three mesh densities.
Compared to the results with the fine grid, a deviation of less than 1% is observed with a grid number of 1.4 million. Considering the balance of the simulation accuracy and computation cost, the medium mesh is selected to be comparable to the fine mesh.
The isolated airfoil simulation method has been validated through a comparison with the available experimental measurements of the NACA0018 airfoil by Jacobs and Sherman [39], as well as numerical predictions with the SST turbulence model [13]. Figure 4 compares the lift and drag coefficients with respect to AoAs. The present predictions are overall satisfactory. For moderate angles of attack (6° < α < 13°), the predicted lift and drag distributions match with the measured data.
Figure 4.
Lift and drag coefficients’ validations for NACA0018 [39].
Once the flow enters into a stall, the computation predicts a falling trend of lift and an abrupt rise in drag when α ≥ 13°. Similar unsatisfactory results were also reported by Yan et al. [13] and Hassan et al. [40], suggesting that the limitation of the numerical scheme in predicting vortical turbulent flow separation is a common challenge. In comparison, the IDDES model demonstrates a more accurate prediction of the lift and drag coefficients compared to the SST k-ω model. Thus, it is believed that IDDES is a reliable method to investigate the following simulations.
2.2. The Vertical-Axis Wind Turbine
2.2.1. Geometric Model of VAWT
A 3-blade H-type VAWT used in the current study is prescribed in Table 2. The rotor diameter is 1.03 m. It consists of three straight blades with a sectional NACA0021 airfoil. It has a low solidity and a chord/radius ratio of 0.167. The rotor rotates at a fixed velocity and the TSR is defined as , which ranges from 1.62 to 3.3. Normally, the rotor is driven by the tangential force () and the normal force () with respect to the struts. During the rotation cycles, the blade experiences periodically varied angles of attack as it moves along the azimuth angles (). The velocity diagram is shown in Figure 5 at a specified azimuth angle.
Table 2.
Geometrical and operational VAWT features.
Figure 5.
Aerodynamic forces and velocity triangle on a blade.
For a given tip speed ratio , is determined by and as follows:
2.2.2. Computational Domain and Mesh Distribution
As shown in Figure 6, the computational domain for the VAWT turbine is composed of a rotating core of 1.5D diameter and a static domain (25D length surrounding the rotating core which has a sliding interface of nonconformal meshes to transfer data from the rotating boundary [32]. The blocking ratio of the model (defined as the ratio of the rotor diameter to the computational domain width) is 5%, where the influence of the symmetrical boundary conditions on the wind turbine performance is negligible due to the minimal flow acceleration they induce [41]. The influence of the shaft and rod is neglected. To ensure optimal flow development and minimize the boundary condition effects, the rotor is positioned near the upstream section. The distance from the inlet to the rotation center is 10D, with a computational domain length of 25D along the inflow direction and a width of 20D.
Figure 6.
Computational domain for the VAWT (not to scale).
The meshing topology uses polyhedron cells and a prismatic boundary layer grid near the blade surface, presented in Figure 7. The first layer grid height is set to 7 × 10−6 m, with a grid growth rate of 1.1, and the y+ is maintained near 1. A circular grid refinement area with a radius of 2c is placed for each blade. The meshes for the rotating area are all refined. Then, a 12D × 8D refinement area is also constructed for the static domain to ensure a good transition between the external flow and the internal flow. Three mesh resolutions are checked as the mesh is successively refined, which are listed in Table 3.
Figure 7.
Mesh distribution of the VAWT.
Table 3.
Sensitivity of grid size for the 1.5%c PGF VAWT at TSR = 2.62.
2.2.3. Numerical Solver and Simulation Validation
The fundamental solution schemes utilized are similar to those employed on the isolated airfoil, with the exception that only the shear stress transport (SST) k-ω turbulence closure is used. It is regarded as reliable for accurately capturing the boundary layer (BL) and stall phenomena around rotating airfoils [42]. We follow the work by Rezaeiha et al. [43] who obtained satisfactory predicting results.
A constant freestream velocity of 9 m/s is set as an the inlet boundary condition [43]. An averaged zero-gauge pressure is set on the domain outlet. The airfoil surface is conditioned as a non-slip wall. The domain top and bottom are considered periodic ones. A steady-state solution is obtained to initiate the flow field for later unsteady flow simulations around the rotating blades. In the first 20 revolutions, the time step was equivalent to 0.5°. In the last 2 revolutions, the time step was reduced to 0.2°. The final stable data of the 22nd revolution are used to calculate the aerodynamic performance. The fluctuation in the moment coefficient () between the last and previous rotation cycles is less than 1%, indicating a high consistency. The turbine power coefficient () is employed to evaluate the mesh quality.
The definitions are the following:
where is the torque generated from the rotor blades, is the air density, and is the rotor through-flow area of the rotor diameter multiplied by the blade height.
Table 3 shows that similar results are generated by the medium and the fine meshes, but a relatively small value is obtained by the coarse mesh. Considering the low computation cost, we chose the medium mesh to calculate the primary VAWT performance and thus employed it in later analysis of the flow fields.
Several well-known cases are used to validate the present computation ability. The measured turbine power coefficient () values by Castelli et al. [44] and the simulated values by Rezaeiha et al. [32], Wang et al. [45], and Liu et al. [46] are used to verify the present computation reliability. Figure 8 shows the comparison and elucidates our ability to predict correct aerodynamic parameters for the former simulation and experiment.
Figure 8.
Comparison between simulation values of the power coefficient with experimental results and literature [32,44,45,46].
Our prediction moderately overestimates the power coefficient of the experiment in all tested conditions, which is the same as the selected simulation results. However, the difference does not change the behavior of the with the TSR variation. There is a slight difference among the simulation results, though compared with the experimental data, the maximum error of is 38.4% at TSR = 3.3 and the minimum error is 8.3% at TSR = 2.35. The similar results are reported by Liu [46]. This leads to the conclusion that our simulation configuration and grid distribution are reliable in predicting the aerodynamic performance and flow field of this rotor model.
3. Results and Discussion
3.1. Effect of GFs on an NACA0021 Isolated Aerofoil
3.1.1. Aerodynamic Forces and Separation Control
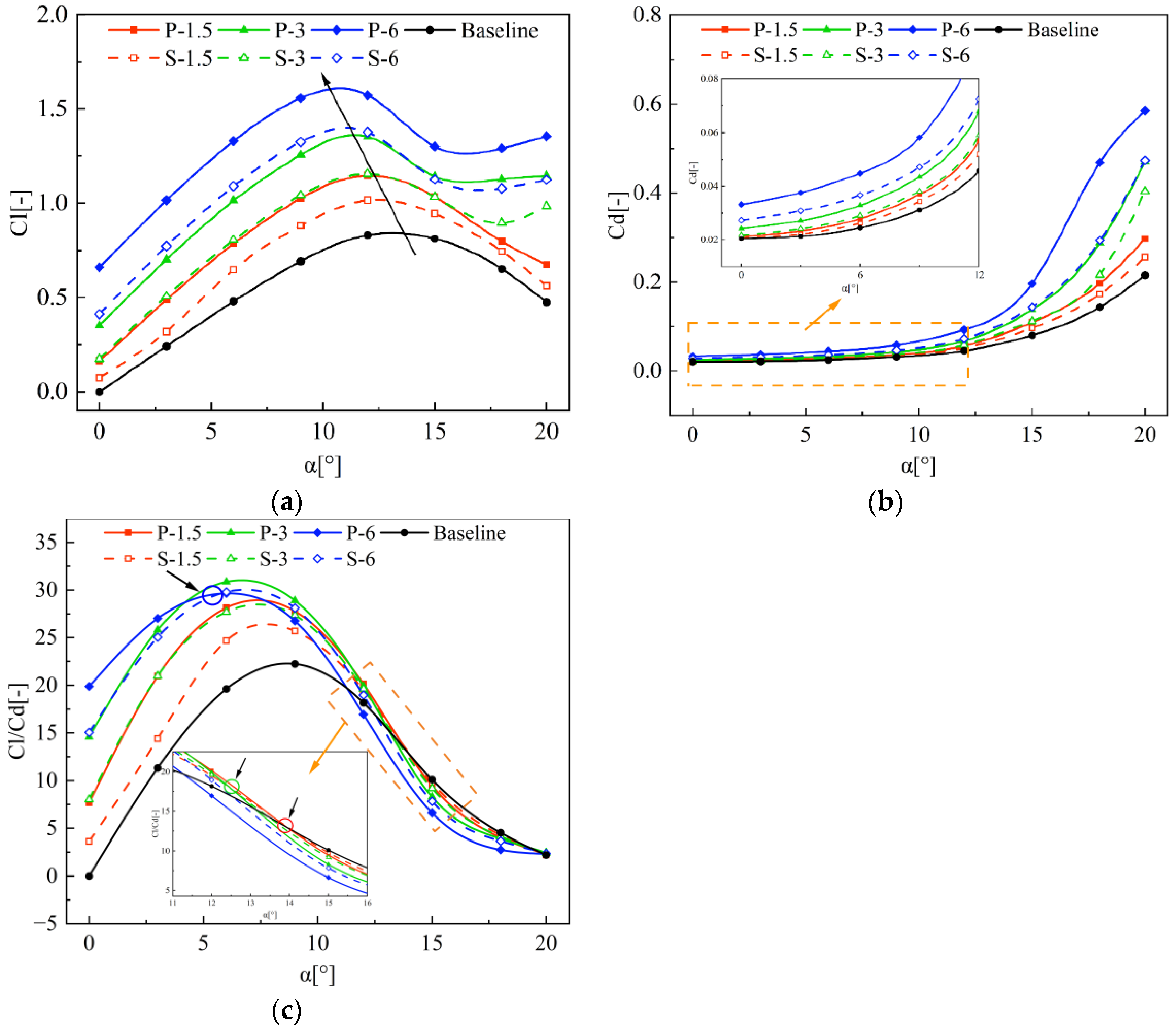
The flap effects on the aerodynamic force coefficients of the NACA0021 airfoil are depicted in Figure 9. The letters P and S represent PGF and SGF, respectively, followed by numbers indicating different flap heights. For instance, P-3 represents PGF with a flap height of 3%c.
Figure 9.
GFs effects on the NACA0021 airfoil aerodynamic performance with respect to the AoAs. (a) Lift coefficient versus angle of attack; (b) drag coefficient versus angle of attack; (c) lift-to-drag ratio versus angle of attack.
In Figure 9a for lift force, flapped airfoils have an increased lift coefficient () nearly proportional to the flap height. In the case of a 6% chord flap, the PGF airfoil has increased the maximum lift by 89.19% over the baseline, while the SGF airfoil has an increase of 65.6%. For the same flap height, PGF shows better lift than the serrated flap. It is observed that the S-3 airfoil has an equivalent lift to the P-1.5 airfoil. It verifies the assumption that the lift increment is proportional to the effective flap area. It is thus concluded that flap serration is not important for lift enhancement. A notable finding in Figure 9a is that SGF retains the flap’s function of increasing the effective airfoil camber, resulting in positive lift at a zero angle of attack, which has been reported for the symmetric NACA0012 airfoil by Li [6] and the cambered NACA4412 airfoil by Jang et al. [47].
Figure 9b compares the drag coefficients of different flapped airfoils. Drag increases with the raised flap height as the lift does. Related to the lift, the stalling limit is reduced from 14° to approximately 11°. A flapped airfoil works like a camber one. Due to the penalty of the drag, flapped airfoils normally have higher drag coefficients than the baseline, although the increase is not obvious before . GF is believed to improve the lift-to-drag ratio (Cl/Cd) of airfoil, compared with the PGF. However, the Cl/Cd of the PGF airfoil is higher than that of the SGF airfoil when the flap height is under 6%c. At , the flaps have a negative effect on Cl/Cd. When the flap height H = 6%c, the Cl/Cd of SGF is better than PGF under , which indicates that an SGF device with a large flap size has the potential to improve the airfoil’s aerodynamic performance.
The flap element affects the flow behavior on the airfoil surface. Figure 10 shows the surface distributions of pressure and skin friction coefficients. The flow separation zone is depicted by the negative skin friction and abrupt pressure slope on the airfoil suction (upper) surface. At the separation point, the skin friction coefficient is nearly zero, which can be calculated using the subsequent equation:
where is the wall shear stress, and are the density and velocity.
Figure 10.
Skin friction coefficient, pressure coefficient, and LSB width distributions over the NACA0021 airfoils at α = 6°. (a) Skin friction coefficient, (b) pressure coefficient.
The distribution of the surface pressure coefficient of the airfoil provides insights into the physical mechanism responsible for the observed lift enhancement by adding flaps. For clarity, three flapped airfoils are compared with the baseline at in Figure 10.
Figure 10a presents the surface distribution of the friction coefficient for various flap heights at . The Cf juncture of zero friction on the suction surface indicates the location of laminar separation. Decreased Cf for a short distance followed by a sudden raise-up indicates the exact laminar-to-turbulent flow transition [43]. The turbulent boundary layer captures extra momentum from the mainstream flow. Separated flow is reattached to the airfoil’s surface, resulting in the formation of a laminar separation bubble (LSB). In Figure 10, the width of the dashed box represents the length of a laminar separation bubble. The different color means the different LSB caused by a clean NACA0021 (baseline), NACA0021 with PGF (PGF), and NACA0021 with SGF (SGF).
Figure 10b displays a similar behavior of surface pressure distribution. After flow separation on the suction surface, the separation bubble experiences minimal energy exchange with its surroundings, resulting in relatively constant suction surface pressure coefficients. This gives rise to a pronounced “plateau” feature. Subsequently, a point of inflection arises in the pressure coefficient, marking the shift from laminar to turbulent flow.
The provided graph distinctly illustrates that flap addition successfully delays flow separation on the airfoil’s suction surface, concurrently shifts the transition point towards the airfoil’s leading edge, and shortens the separation bubble length. It is noteworthy that at equivalent flap heights, the SGF exhibits a smaller separation bubble length than the PGF, which is demonstrated by different color columns. The incorporation of flaps amplifies the pressure gradient along the airfoil’s surface, consequently facilitating lift force generation.
3.1.2. Trailing Edge Flow Structure
Figure 11 presents the cloud chart of the streamlines colored by time-averaged velocity for the investigated airfoils. Comparing the streamlines of time-averaged flow fields near the trailing edge at α = 6°, similar flow structures appear around the flaps of different heights. Before the flap, the flow near the lower surface is impeded and recirculated. The static pressure in the flap corner is raised to flow stagnation pressure. Behind the flap, there is a pair of counter-rotating vortices as a flow over a blunt trailing edge. Given the asymmetry of the two surface flows over the airfoil, two vortices have different strengths. In the PGF case, the clockwise vortex due to the upper surface boundary layer is relatively large and strengthens the down-wash movement on the upper surface. The serrated flaps exhibit a similar flow pattern to the plain flaps, but the clockwise vortex has a reduced strength and the anti-clockwise vortex is less visible due to the through-flow over the flap tooth gaps. This is the reason that the pressure difference between the upper and lower surfaces of the SGF airfoil is reduced and the lift enhancement is not as significant as for the PGF airfoil.
Figure 11.
Flow patterns near the trailing edge of airfoils at α = 6° (a) with PGF, and (b) with SGF.
Figure 12 displays instantaneous iso-surfaces of Q-criteria (Q = 2 × 105 s−2) rendered by the velocity magnitude of the P-3 and S-3 airfoils at α = 6°. Behind the PGF airfoil, a distinct columnar vortex shedding of the blunt trailing edge is exhibited flowing downstream. But behind the SGF airfoil, a discrete vortex bundle appears which means some extra secondary flow smashed the column vortex. The time-averaged X-Vorticity contours at the x/c = 1.05 behind the flap reveal the existence of counter-rotating vortex pairs along the spanwise direction. These vortex pairs are generated behind each flap trough and regarded as the secondary flows to disrupt the main airfoil vortex flow. These induced streamwise vortices enhanced the momentum exchange and turbulent fluctuations in the downstream boundary layer. Figure 12 also indicates a much more complicated three-dimensional and multi-scaled flow behind a serrated flap which means a lot to the potential unsteady flow characteristics, for example, flow noise.

Figure 12.
Iso-surfaces of the Q criterion (Q = 2 × 105 s−2) with contours of velocity magnitude (a) with PGF; (b) with SGF.
3.2. Effect of GFs on H-VAWT
This paper concerns the effect of the serrated flap on the performance of a typical H-type VAWT. A computational analysis was conducted on a three-blade vertical-axis wind turbine equipped with a 1.5%c, 3%c, and 6%c height PGF and SGF at different TSR values, which cover a range of 1.62 to 3.3.
3.2.1. Power and Moment Coefficient
Figure 13 shows the comparison of the power coefficient of VAWTs. Flaps with appropriate size can improve wind turbine performance at different tip speed ratios. When TSR > 3, the SGF rotor has a higher power coefficient than the PGF one, no matter the flap height. With H = 1.5%c, the Cp of the prototype, PGF rotor, and SGF rotor are 0.365, 0.385, and 0.393, respectively, at TSR = 3.1. With H = 6%c, the performance of the PGF rotor deteriorates obviously, and the performance of the SGF rotor surpasses the PGF one by 13.9% at TSR = 2.62. However, both TSGF and TPGF have a lower power coefficient than the prototype when TSR > 2.62.
Figure 13.
Comparison of power coefficient of VAWTs with and without GFs.
It can also be observed that across the whole range of TSR, the Cp, max happens at TSR = 2.62 for all of the rotors. The Cp,max of the prototype is 0.375, the PGF rotor has a Cp,max of 0.399 when the flap height is 1.5%c, and the SGF one has a Cp,max of 0.399 when the flap height is 3.0%c.
The angle of attack of the turbine blade varies along its azimuth position. For a specific tip speed ratio, the angle of attack can be calculated by the following formula:
where α is the angle of attack of the rotor blade, ψ is the azimuth angle of the rotor blade, and λtsr is the tip speed ratio of the wind turbine.
It is noted that smaller tip speed ratios correspond to the larger angle-of-attack range, indicating that the rotor blade is more susceptible to experiencing stall conditions, as shown in Figure 14.
Figure 14.
Angle of attack versus azimuth position.
Figure 15 shows the varied moment coefficient along the azimuthal angle at four aforementioned tip speed ratios. At TSR = 1.62, and a round ψ = 60°, the moment coefficient suddenly decreases due to dynamic stall, although the angle of attack does not reach the peak. Introducing Gurney flaps to augment the lift coefficient further advances the stall angle. This observation aligns with the findings outlined in Section 3.1.1 for the isolated airfoil. At TSR = 2.62, the turbines have positive moment coefficients for the baseline one, and the one which has flaps with heights of 1.5% and 3%c.

Figure 15.
GF effects on moment coefficients.
3.2.2. Tangential Force and Normal Force for Rotor Blade
The tangential force is the primary contributor to the energy extraction by a wind turbine. Figure 16 shows the variation in tangential force with azimuth angles for a single blade at different tip speed ratios. The blade generates the main power in the upwind region, where the flap notably enhances the tangential force. As the TSR rises, the possibility of a dynamic stall in the airfoil diminishes. At TSR = 1.62, a flap works effectively from ψ = 30° to 75°, and from ψ = 30° to 150° for TSR = 3.3. Conversely, in the downwind, a flap leads to a reduction in the tangential force, especially for the higher TSR conditions. The magnitude of this detrimental effect escalates with increasing flap height. The upwind region has a good enhancement and the downwind region exhibits less loss when the GF height is lower.
Figure 16.
GF effects on the tangential force of a single blade.
The normal force represents the centrifugal effect of the blades. Figure 17 presents that flaps can significantly amplify the normal force on the blades. The maximum normal force increases with the flap height’s increase, and the normal force of the SGF blade is less than that of the PGF one at an equivalent height. For instance, at TSR = 2.62, 1.5c% SGF blades have a 13.1% increment of the maximum normal force, and the 6%c PGF blades have a 67.6% increment. The increased normal force is indicative of a higher bending stress, which presents structural risks like flexible deformations and limits the lifespan of the rods and blades.
Figure 17.
GF effects on the normal force of a single blade.
3.2.3. Rotor Output Power Contribution
To further analyze the differences in the performance of flaps in the upwind and downwind regions, Figure 18 compares the power contributions from a single blade at various tip speed ratios. It is observed that at low TSRs (TSR = 1.62 and 2.0), a flap effectively enhances power output in both of the two regions, resulting in a substantial increase. At TSR = 2.62 and 3.3, a noticeable enhancement is observed in the upwind region due to the flaps, and the PGF can obtain a higher power than SGF with the same flap height. However, the flaps have an adverse effect on the downwind region, where the SGF has a better performance than the PGF. In general, during the high TSR, the overall performance of the SGF turbine surpasses that of the PGF.
Figure 18.
Output power of single blade with and without GFs.
3.2.4. Flow Control Characteristics of the Modified VAWT
Figure 19 demonstrates the pressure coefficient contour and relative velocity streamlines of blades at various azimuth positions at TSR = 2.62. The flap position is changed with respect to the relative inlet flow direction. In the upwind zone, the flap is on the blade pressure side, and it is beneficial to enhance the pressure difference on the blade surface and reduce flow separation, as shown at ψ = 60° and 120°. In the downwind zone, the flap is on the suction side, which causes the pressure difference over the blade to reduce and the trailing edge vortex to strengthen. The increased vorticity contributes to flow instability. Take the flap with 6%c height for instance, compared with the PGF, the SGF may have a weaker vortex and a reduced instability phenomenon.
Figure 19.
Flow structure of streamline and pressure coefficient contour for the baseline and GFs.
Figure 20 shows the z-vorticity contour at TSR = 2.62. There are two typical wake structures: the longitudinal wake and the circular wake. The longitudinal wake appears when the blade moves upwind during a rotation cycle. When the blade moves downwind, several circular regions exhibiting high vorticity magnitude emerge, indicative of the compromised aerodynamic efficacy of the blade. In the PGF blade with a flap height of 6%c, the longitudinal wake structure transforms into a circular wake, leading to a decline in rotor performance. The same height of SGF exhibits the capability to alleviate the occurrence of performance declination.
Figure 20.
Flow structure of streamline and z-vorticity contour for the baseline and GFs.
4. Conclusions
To provide useful engineering insight into the aerodynamics of a small vertical-axis wind turbine with PGF and SGF, a numerical simulation was conducted on an H-type Darrieus wind turbine with an NACA0021 airfoil. The conclusions are summarized as follows:
(1) In comparison to the baseline airfoil, both PGF and SGF airfoils demonstrate significant improvements in the lift coefficient. At a height of 6%c, the maximum lift coefficients of PGF and SGF are increased by 89.19% and 65.6%, respectively. As the flap height increases, the lift-to-drag ratio of the SGF gradually exceeds that of the PGF.
(2) The flap is beneficial to delay surface flow separation and promote the transition occurrence. The serration generates a secondary pair of vortices in the normal plane which breaks up the columnar vortex structure of the PGF airfoil. This is the reason why the SGF has a lower drag coefficient than the PGF.
(3) Flap effectiveness depends on its height and operation condition. A higher SGF flap is preferred over a PGF flap for a higher tip speed. Compared with the baseline turbine, when the flap height reaches 6%c, the PGF rotor’s performance deteriorates obviously, and the performance of the SGF rotor surpasses the PGF one by 13.9% at TSR = 2.62.
The results from the current investigation illustrate that compared to the PGF, SGF can improve the performance of VAWT due to its reduced instability phenomenon, especially at high TSRs. The higher the flap height, the more obvious the advantages of the SGF. However, limited to the calculation method used in the current study of VAWT, a more detailed physical mechanism for the effect of the SGF on VAWT is still under further study. In addition, the influence of structural parameters such as the serrated shape and thickness will be further considered.
Author Contributions
Conceptualization, L.C. (Liu Chen) and P.Y.; methodology, P.Y. and B.Z.; validation, B.Z.; formal analysis, L.C. (Liu Chen), P.Y., B.Z., and L.C. (Lingjie Chen); investigation, L.C. (Liu Chen) and P.Y.; resources, L.C. (Liu Chen); writing—original draft preparation, L.C. (Liu Chen); writing—review and editing, L.C. (Liu Chen), P.Y., B.Z., and L.C. (Lingjie Chen); supervision, L.C. (Liu Chen); project administration, L.C. (Liu Chen); funding acquisition, L.C. (Liu Chen). All authors have read and agreed to the published version of the manuscript.
Funding
This research was funded by the National Natural Science Foundation of China (Project No. 52006147, 52276034).
Institutional Review Board Statement
No applicable.
Informed Consent Statement
No applicable.
Data Availability Statement
The data presented in this study are available on request from the corresponding author. The data are not publicly available due to privacy.
Conflicts of Interest
The authors declare no conflict of interest.
Nomenclature
| A | Turbine swept area | n | Number of blades |
| c | Chord length | P | Power output |
| Cd | Drag coefficient | R | Turbine radius |
| Cf | Skin friction coefficient | S | Projected area of the airfoil |
| Cl | Lift coefficient | T | Torque |
| Cm | Moment coefficient | U∞ | Freestream velocity |
| CoP | Pressure coefficient | W | Flap thickness |
| Cp | Power coefficient | α | Angle of attack (AOA) |
| D | Turbine diameter | θ | Flap serration angle |
| FD | Drag | λ | Tip speed ratio (TSR) |
| FL | Lift | σ | Solidity |
| FN | Normal force | ω | Rotating angular velocity |
| FT | Tangential force | ρ | Air density |
| H | Flap height | τw | Wall shear stress |
| L | Flap length | ψ | Azimuth angle |
References
- Hansen, J.T.; Mahak, M.; Tzanakis, I. Numerical modelling and optimization of vertical axis wind turbine pairs: A scale up approach. Renew. Energy 2021, 171, 1371–1381. [Google Scholar] [CrossRef]
- Rolin, V.F.C.; Porté-Agel, F. Experimental investigation of vertical-axis wind-turbine wakes in boundary layer flow. Renew. Energy 2018, 118, 1–13. [Google Scholar] [CrossRef]
- Anagnostopoulou, C.; Kagemoto, H.; Sao, K.; Mizuno, A. Concept design and dynamic analyses of a floating vertical-axis wind turbine: Case study of power supply to offshore Greek islands. J. Ocean Eng. Mar. Energy 2015, 2, 85–104. [Google Scholar] [CrossRef]
- Timmer, W.A. Two-Dimensional Low-Reynolds Number Wind Tunnel Results for Airfoil NACA 0018. Wind. Eng. 2008, 32, 525–537. [Google Scholar] [CrossRef]
- Islam, M.; Fartaj, A.; Carriveau, R. Design analysis of a smaller-capacity straight-bladed VAWT with an asymmetric airfoil. Int. J. Sustain. Energy 2011, 30, 179–192. [Google Scholar] [CrossRef]
- Li, Y.C.; Wang, J.J.; Tan, G.K.; Zhang, P.F. Effects of Gurney flaps on the lift enhancement of a cropped nonslender delta wing. Exp. Fluids 2002, 32, 99–105. [Google Scholar] [CrossRef]
- Sun, G.; Wang, Y.; Xie, Y.; Lv, K.; Sheng, R. Research on the effect of a movable gurney flap on energy extraction of oscillating hydrofoil. Energy 2021, 225, 120206. [Google Scholar] [CrossRef]
- Liebeck, R.H. Design of Subsonic Airfoils for High Lift. J. Aircr. 1978, 15, 547–561. [Google Scholar] [CrossRef]
- Wilbur, M.L.; Mistry, M.P.; Lorber, P.F.; Blackwell Jr, R.; Barbarino, S.; Lawrence, T.H.; Arnold, U.T. Rotary Wings Morphing Technologies: State of the Art and Perspectives. Morphing Wing Technol. 2018, 759–797. [Google Scholar]
- Xie, Y.H.; Jiang, W.; Lu, K.; Zhang, D. Numerical investigation into energy extraction of flapping airfoil with Gurney flaps. Energy 2016, 109, 694–702. [Google Scholar] [CrossRef]
- Gopalakrishnan Meena, M.; Taira, K.; Asai, K. Airfoil-Wake Modification with Gurney Flap at Low Reynolds Number. AIAA J. 2017, 56, 1348–1359. [Google Scholar] [CrossRef]
- Ni, L.; Miao, W.; Li, C.; Liu, Q. Impacts of Gurney flap and solidity on the aerodynamic performance of vertical axis wind turbines in array configurations. Energy 2021, 215, 118915. [Google Scholar] [CrossRef]
- Yan, Y.; Avital, E.; Williams, J.; Cui, J. Performance Improvements for a Vertical Axis Wind Turbine by Means of Gurney Flap. J. Fluids Eng. 2020, 142, 021205. [Google Scholar] [CrossRef]
- Zhu, H.; Hao, W.; Li, C.; Ding, Q. Numerical study of effect of solidity on vertical axis wind turbine with Gurney flap. J. Wind Eng. Ind. Aerodyn. 2019, 186, 17–31. [Google Scholar] [CrossRef]
- Zhang, P.F.; Liu, A.B.; Wang, J.J. Aerodynamic Modification of NACA 0012 Airfoil by Trailing-Edge Plasma Gurney Flap. AIAA J. 2009, 47, 2467–2474. [Google Scholar] [CrossRef]
- Feng, L.H.; Jukes, T.N.; Choi, K.S.; Wang, J.J. Flow control over a NACA 0012 airfoil using dielectric-barrier-discharge plasma actuator with a Gurney flap. Exp. Fluids 2012, 52, 1533–1546. [Google Scholar] [CrossRef]
- Yang, Y.; Li, C.; Zhang, W.; Guo, X.; Yuan, Q. Investigation on aerodynamics and active flow control of a vertical axis wind turbine with flapped airfoil. J. Mech. Sci. Technol. 2017, 31, 1645–1655. [Google Scholar] [CrossRef]
- Chen, L.; Xu, J.; Dai, R. Numerical prediction of switching gurney flap effects on straight bladed VAWT power performance. J. Mech. Sci. Technol. 2020, 34, 4933–4940. [Google Scholar] [CrossRef]
- Ismail, M.F.; Vijayaraghavan, K. The effects of aerofoil profile modification on a vertical axis wind turbine performance. Energy 2015, 80, 20–31. [Google Scholar] [CrossRef]
- Ye, X.; Hu, J.; Zheng, N.; Li, C. Numerical study on aerodynamic performance and noise of wind turbine airfoils with serrated gurney flap. Energy 2023, 262, 125574. [Google Scholar] [CrossRef]
- Meyer, R.; Hage, W.; Bechert, D.W.; Schatz, M.; Thiele, F. Drag Reduction on Gurney Flaps by Three-Dimensional Modifications. J. Aircr. 2006, 43, 132–140. [Google Scholar] [CrossRef]
- Lee, T. Aerodynamic Characteristics of Airfoil with Perforated Gurney-Type Flaps. J. Aircr. 2009, 46, 542–548. [Google Scholar] [CrossRef]
- Oerlemans, S.; Fisher, M.; Maeder, T.; Kögler, K. Reduction of Wind Turbine Noise Using Optimized Airfoils and Trailing-Edge Serrations. AIAA J. 2009, 47, 1470–1481. [Google Scholar] [CrossRef]
- Neuhart, D.H. A Water Tunnel Study of Gurney Flaps; National Aeronautics and Space Administration, Scientific and Technical Information Division, Langley Research Center: Hampton, VA, USA, 1988.
- van Dam, C.P.; Yen, D.T.; Vijgen, P.M.H.W. Gurney Flap Experiments on Airfoil and Wings. J. Aircr. 1999, 36, 484–486. [Google Scholar] [CrossRef]
- Gai, S.L.; Palfrey, R. Influence of Trailing-Edge Flow Control on Airfoil Performance. J. Aircr. 2003, 40, 332–337. [Google Scholar] [CrossRef]
- Traub, L.W.; Chandrashekar, S.M. Experimental study on the effects of wing sweep on Gurney flap performance. Aerosp. Sci. Technol. 2016, 55, 57–63. [Google Scholar] [CrossRef]
- Jain, S.; Sitaram, N.; Krishnaswamy, S. Computational Investigations on the Effects of Gurney Flap on Airfoil Aerodynamics. Int. Sch. Res. Not. 2015, 2015, 402358. [Google Scholar] [CrossRef]
- Garry, K.; Couthier, G. An Investigation of the Effectiveness of Plain and Serrated Gurney Flaps. In Proceedings of the 24th AIAA Applied Aerodynamics Conference, San Francisco, CA, USA, 5–8 June 2006. [Google Scholar]
- Wang, J.; Li, Y.; Zhang, P. Influences of Mounting Angles and Locations on the Effects of Gurney Flaps. J. Aircr. 2003, 40, 494–498. [Google Scholar]
- Kinzel, M.P.; Maughmer, M.D.; Duque, E.P.N. Numerical Investigation on the Aerodynamics of Oscillating Airfoils with Deployable Gurney Flaps. AIAA J. 2010, 48, 1457–1469. [Google Scholar] [CrossRef]
- Rezaeiha, A.; Kalkman, I.; Blocken, B. Effect of pitch angle on power performance and aerodynamics of a vertical axis wind turbine. Appl. Energy 2017, 197, 132–150. [Google Scholar] [CrossRef]
- Shur, M.L.; Spalart, P.R.; Strelets, M.K.; Travin, A.K. A hybrid RANS-LES approach with delayed-DES and wall-modelled LES capabilities. Int. J. Heat 2008, 29, 1638–1649. [Google Scholar] [CrossRef]
- Ming, Z.; Zhang, M.; Xu, J. Numerical simulation of flow characteristics behind the aerodynamic performances on an airfoil with leading edge protuberances. Eng. Appl. Comput. Fluid Mech. 2017, 11, 193–209. [Google Scholar]
- Benim, A.C.; Diederich, M.; Gül, F.; Oclon, P.; Taler, J. Computational and experimental investigation of the aerodynamics and aeroacoustics of a small wind turbine with quasi-3D optimization. Energy Convers. Manag. 2018, 177, 143–149. [Google Scholar] [CrossRef]
- Lei, H.; Zhou, D.; Bao, Y.; Chen, C.; Ma, N.; Han, Z. Numerical simulations of the unsteady aerodynamics of a floating vertical axis wind turbine in surge motion. Energy 2017, 127, 1–17. [Google Scholar] [CrossRef]
- Lei, H.; Zhou, D.; Bao, Y.; Li, Y.; Han, Z. Three-dimensional Improved Delayed Detached Eddy Simulation of a two-bladed vertical axis wind turbine. Energy Convers. Manag. 2017, 133, 235–248. [Google Scholar] [CrossRef]
- Menter, F.R. Two-equation eddy-viscosity turbulence models for engineering applications. AIAA J. 1994, 32, 1598–1605. [Google Scholar] [CrossRef]
- Jacobs, E.N.; Sherman, A. Airfoil section characteristics as affected by variations of the Reynolds number. NACA Tech. Rep. 1937, 586, 227–267. [Google Scholar]
- Hassan, G.E.; Hassan, A.; Youssef, M.E. Numerical investigation of medium range re number aerodynamics characteristics for NACA0018 airfoil. CFD Lett. 2014, 6, 175–187. [Google Scholar]
- Rezaeiha, A.; Kalkman, I.; Blocken, B. CFD simulation of a vertical axis wind turbine operating at a moderate tip speed ratio: Guidelines for minimum domain size and azimuthal increment. Renew. Energy 2017, 107, 373–385. [Google Scholar] [CrossRef]
- Balduzzi, F.; Bianchini, A.; Maleci, R.; Ferrara, G.; Ferrari, L. Critical issues in the CFD simulation of Darrieus wind turbines. Renew. Energy 2016, 85, 419–435. [Google Scholar] [CrossRef]
- Rezaeiha, A.; Montazeri, H.; Blocken, B. Characterization of aerodynamic performance of vertical axis wind turbines: Impact of operational parameters. Energy Convers. Manag. 2018, 169, 45–77. [Google Scholar] [CrossRef]
- Raciti Castelli, M.; Englaro, A.; Benini, E. The Darrieus wind turbine: Proposal for a new performance prediction model based on CFD. Energy 2011, 36, 4919–4934. [Google Scholar] [CrossRef]
- Wang, Y.; Shen, S.; Li, G.; Huang, D.; Zheng, Z. Investigation on aerodynamic performance of vertical axis wind turbine with different series airfoil shapes. Renew. Energy 2018, 126, 801–818. [Google Scholar] [CrossRef]
- Liu, Q.; Miao, W.; Ye, Q.; Li, C. Performance assessment of an innovative Gurney flap for straightbladed vertical axis wind turbine. Renew. Energy 2022, 185, 1124–1138. [Google Scholar] [CrossRef]
- Jang, C.S.; Ross, J.C.; Cummings, R.M. Numerical investigation of an airfoil with a Gurney flap. Aircr. Des. 1998, 1, 75–88. [Google Scholar] [CrossRef]
Disclaimer/Publisher’s Note: The statements, opinions and data contained in all publications are solely those of the individual author(s) and contributor(s) and not of MDPI and/or the editor(s). MDPI and/or the editor(s) disclaim responsibility for any injury to people or property resulting from any ideas, methods, instructions or products referred to in the content. |
© 2023 by the authors. Licensee MDPI, Basel, Switzerland. This article is an open access article distributed under the terms and conditions of the Creative Commons Attribution (CC BY) license (https://creativecommons.org/licenses/by/4.0/).





















