Snow Load Shape Coefficients and Snow Prevention Method for Stepped Flat Roofs
Abstract
:1. Introduction
2. Field Measurement
2.1. Field Site and Conditions
2.2. Model Parameter
3. Numerical Simulation
3.1. Simulation Scheme
3.2. Computational Parameters
3.3. Calculation Settings
4. Results and Discussion
4.1. The Final Pattern of Snow Accumulation
4.2. Snow Load Shape Coefficients
4.3. Snow Accumulation Processes for Stepped Flat Roofs
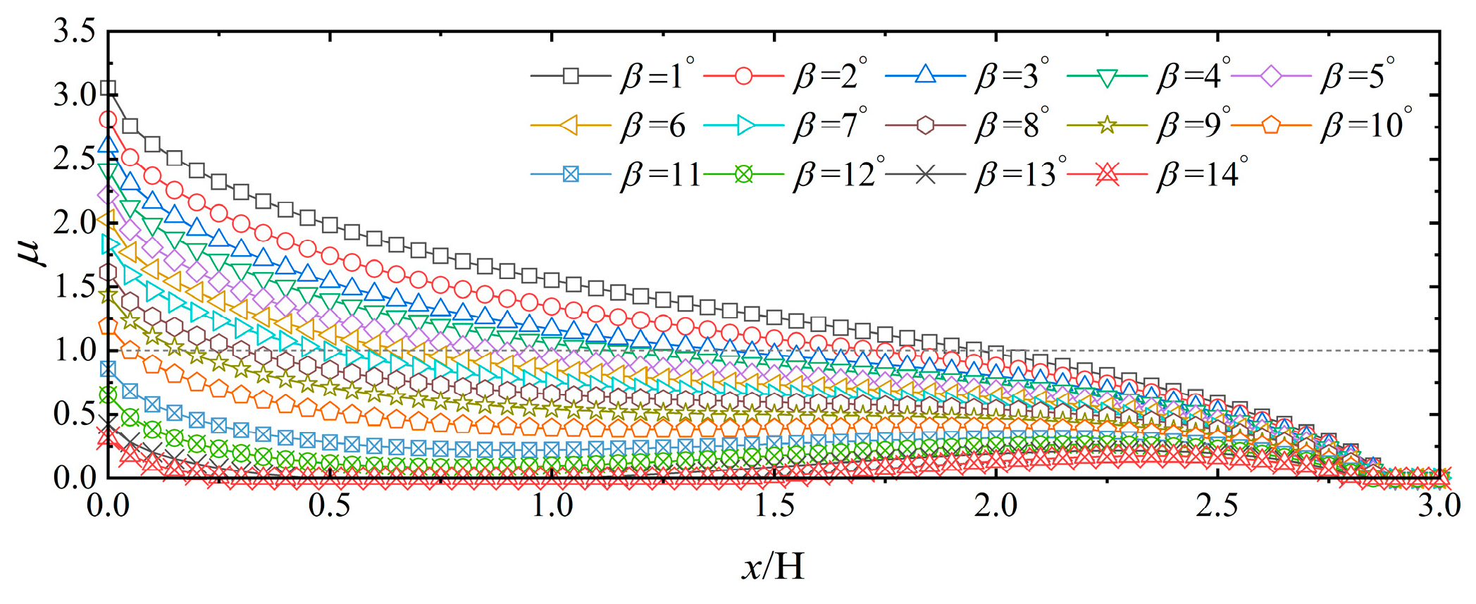
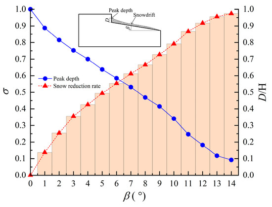
4.4. Snow Prevention Method for Stepped Flat Roofs
5. Conclusions
- (1)
- During the snow accumulation processes on stepped flat roofs, an erosion region whose length varies linearly with time is formed on the lower roof due to reverse flow. The erosion disappears when the snow accumulation process is almost half-finished. As the snow develops to its final pattern, no measurable snow is observed on the upper roof, while the snow shapes on the lower roof vary with different wind directions. The final windward snow on the lower roof is distributed in a triangle. When the upper roof is on the windward side, the final snow distribution is close to uniform.
- (2)
- The codes of different countries have various snow load shape coefficients on stepped flat roofs, but it is generally accepted that the nonuniform snow distribution on stepped flat roofs is close to linear. The measured snow load shape coefficients are more in line with a quadratic function. Through the combination of measured results and different codes, it is recommended that the value of the snow load shape coefficient conform to a linear regularity: where x/H is the distance normalized by the level difference H.
- (3)
- An increase in the slope can effectively reduce the snow accumulation on stepped flat roofs. As the slope increases, the snow removal rate of the roof gradually increases, while the maximum snow depth and snow load shape coefficients subsequently decrease. When the snow load on the roof is less than the ground snow load, there is an optimal slope of the lower roof, making the snow removal rate the maximum and the area of the lower roof the minimum. Finally, considering snow removal efficiency and economic factors, the slope of the lower roof is recommended to be 11°.
Author Contributions
Funding
Institutional Review Board Statement
Informed Consent Statement
Data Availability Statement
Conflicts of Interest
References
- Li, X.; Zhang, Y.; Li, D.; Xu, Y.; Brown, R.D. Ameliorating cold stress in a hot climate: Effect of Winter Storm Uri on residents of subsidized housing neighborhoods. Build. Environ. 2022, 209, 108646. [Google Scholar] [CrossRef]
- Yin, Y.-J.; Li, Y. Probabilistic loss assessment of light-frame wood construction subjected to combined seismic and snow loads. Eng. Struct. 2011, 33, 380–390. [Google Scholar] [CrossRef]
- Xie, Z.; Ma, Y.; Ma, W.; Hu, Z.; Sun, G. Comparison of varied complexity parameterizations in estimating blowing snow occurrences. J. Hydrol. 2023, 619, 129291. [Google Scholar] [CrossRef]
- Geis, J.; Strobel, K.; Liel, A. Snow-Induced Building Failures. J. Perform. Constr. Facil. 2012, 26, 377–388. [Google Scholar] [CrossRef]
- Croce, P.; Formichi, P.; Landi, F. Probabilistic Assessment of Roof Snow Load and the Calibration of Shape Coefficients in the Eurocodes. Appl. Sci. 2021, 11, 2984. [Google Scholar] [CrossRef]
- Holicky, M.; Sykora, M. Failures of Roofs under Snow Load: Causes and Reliability Analysis. In Forensic Engineering 2009: Pathology of the Built Environment; American Society of Civil Engineers: Washington, DC, USA, 2009; pp. 444–453. [Google Scholar]
- AIJ 2004; AIJ Recommendations for Loads on Buildings. AIJ: Tokyo, Japan, 2014.
- EN 1991-1-3: 2003; Eurocode 1: Actions on Structures: Part 1–3: General Actions: Snow Loads. BSI: London, UK, 2003.
- GB50009-2012; Load Code for the Design of Building Structures. Ministry of Construction of the People’s Republic of China: Beijing, China, 2012.
- American Society of Civil Engineers. Minimum Design Loads and Associated Criteria for Buildings and Other Structures, 7th ed.; American Society of Civil Engineers: Reston, VA, USA, 2017. [Google Scholar]
- National Research Council of Canada (Ed.) National Building Code of Canada 2015, 14th ed.; National Research Council of Canada: Ottawa, ON, Canada, 2015.
- Tsuchiya, M.; Tomabechi, T.; Hongo, T.; Ueda, H. Wind effects on snowdrift on stepped flat roofs. J. Wind Eng. Ind. Aerodyn. 2002, 90, 1881–1892. [Google Scholar] [CrossRef]
- Beyers, J.H.M.; Harms, T.M. Outdoors modelling of snowdrift at SANAE IV Research Station, Antarctica. J. Wind Eng. Ind. Aerodyn. 2003, 91, 551–569. [Google Scholar] [CrossRef]
- Zhang, G.; Zhang, Q.; Fan, F.; Shen, S. Field measurements of snowdrift characteristics on reduced scale building roofs based on the size effect study. Structures 2021, 32, 2020–2031. [Google Scholar] [CrossRef]
- Jin, Y.; Zhang, Q.; Yin, Z.; Zhang, B.; Liu, M.; Zhang, G.; Fan, F. Experiments on snowdrifts around two adjacent cube models based on a combined snow-wind facility. Cold Reg. Sci. Technol. 2022, 198, 103536. [Google Scholar] [CrossRef]
- Liu, M.; Zhang, Q.; Fan, F.; Shen, S. Experimental investigation of unbalanced snow loads on isolated gable-roof with or without scuttle. Adv. Struct. Eng. 2020, 23, 1922–1933. [Google Scholar] [CrossRef]
- ASCE 7-16; Snow Loads: Guide to the Snow Load Provisions of ASCE 7-16. American Society of Civil Engineers: Reston, VA, USA, 2017.
- Pomeroy, J.W.; Gray, D.M. Saltation of snow. Water Resour. Res. 1990, 26, 1583–1594. [Google Scholar] [CrossRef]
- Zhou, X.; Zhang, T. A review of computational fluid dynamics simulations of wind-induced snow drifting around obstacles. J. Wind Eng. Ind. Aerodyn. 2023, 234, 105350. [Google Scholar] [CrossRef]
- Zhou, X.; Zhang, T.; Ma, W.; Quan, Y.; Gu, M.; Kang, L.; Yang, Y. CFD simulation of snow redistribution on a bridge deck: Effect of barriers with different porosities. Cold Reg. Sci. Technol. 2021, 181, 103174. [Google Scholar] [CrossRef]
- Zhang, G.; Zhang, Y.; Yin, Z.; Zhang, Q.; Mo, H.; Wu, J.; Fan, F. CFD Simulations of Snowdrifts on a Gable Roof: Impacts of Wind Velocity and Snowfall Intensity. Buildings 2022, 12, 1878. [Google Scholar] [CrossRef]
- Zhao, L.; Yu, Z.; Zhu, F.; Qi, X.; Zhao, S. CFD-DEM modeling of snowdrifts on stepped flat roofs. Wind Struct. 2016, 23, 523–542. [Google Scholar] [CrossRef]
- Naaim, M.; Naaim-Bouvet, F.; Martinez, H. Numerical simulation of drifting snow: Erosion and deposition models. Ann. Glaciol. 1998, 26, 191–196. [Google Scholar] [CrossRef]
- Zhou, X.; Zhang, T.; Liu, Z.; Gu, M. An Eulerian-Lagrangian snow drifting model for gable roofs considering the effect of roof slope. J. Wind Eng. Ind. Aerodyn. 2023, 234, 105334. [Google Scholar] [CrossRef]
- Zhou, X.; Zhang, Y.; Kang, L.; Gu, M. CFD simulation of snow redistribution on gable roofs: Impact of roof slope. J. Wind Eng. Ind. Aerodyn. 2019, 185, 16–32. [Google Scholar] [CrossRef]
- Ma, W.; Li, F.; Zhou, X. An empirical model of snowdrift based on field measurements: Profiles of the snow particle size and mass flux. Cold Reg. Sci.Technol. 2021, 189, 103312. [Google Scholar] [CrossRef]
- Zhou, X.; Hu, J.; Gu, M. Wind tunnel test of snow loads on a stepped flat roof using different granular materials. Nat. Hazards 2014, 74, 1629–1648. [Google Scholar] [CrossRef]
- Tominaga, Y.; Okaze, T.; Mochida, A. CFD modeling of snowdrift around a building: An overview of models and evaluation of a new approach. Build. Environ. 2011, 46, 899–910. [Google Scholar] [CrossRef]
- Zhou, X.; Zhang, Y.; Gu, M. Coupling a snowmelt model with a snowdrift model for the study of snow distribution on roofs. J. Wind Eng. Ind. Aerodyn. 2018, 182, 235–251. [Google Scholar] [CrossRef]
- Zhou, X.; Kang, L.; Gu, M.; Qiu, L.; Hu, J. Numerical simulation and wind tunnel test for redistribution of snow on a flat roof. J. Wind Eng. Ind. Aerodyn. 2016, 153, 92–105. [Google Scholar] [CrossRef]
- Zhang, Q.; Zhang, Y.; Yin, Z.; Zhang, G.; Mo, H.; Fan, F. Experimental Study of Interference Effects of a High-Rise Building on the Snow Load on a Low-Rise Building with a Flat Roof. Appl. Sci. 2021, 11, 11163. [Google Scholar] [CrossRef]
- Zhou, X.; Liu, Z.; Ma, W.; Kosugi, K.; Gu, M. Experimental investigation of snow drifting on flat roofs during snowfall: Impact of roof span and snowfall intensity. Cold Reg. Sci. Technol. 2021, 190, 103356. [Google Scholar] [CrossRef]
- Ma, W.; Li, F.; Sun, Y.; Li, J.; Zhou, X. Field measurement and numerical simulation of snow deposition on an embankment in snowdrift. Wind Struct. 2021, 32, 453–469. [Google Scholar]
- Kang, L.; Zhou, X.; van Hooff, T.; Blocken, B.; Gu, M. CFD simulation of snow transport over flat, uniformly rough, open terrain: Impact of physical and computational parameters. J. Wind Eng. Ind. Aerodyn. 2018, 177, 213–226. [Google Scholar] [CrossRef]
- Richards, P.J.; Norris, S.E. Appropriate boundary conditions for computational wind engineering models revisited. J. Wind Eng. Ind. Aerodyn. 2011, 99, 257–266. [Google Scholar] [CrossRef]
- Blocken, B.; Stathopoulos, T.; Carmeliet, J. CFD simulation of the atmospheric boundary layer: Wall function problems. Atmos. Environ. 2007, 41, 238–252. [Google Scholar] [CrossRef]



















| Parameter | Field Measurement | Numerical Simulation |
|---|---|---|
| Air density ρ (kg/m3) | 1.225 | 1.225 |
| Snow density ρs (kg/m3) | 120~300 | 150 |
| Snow particle diameter ds (μm) | 165 (Expected value) | 165 |
| Falling speed wf (m/s) | 0.2~0.5 | 0.2 (h > 0.1 m), 0.35 (h ≤ 0.1 m) |
| Threshold friction velocity u*t (m/s) | 0.2 | 0.2 |
| Calculation Settings | |
|---|---|
| Computational domain | 8000 mm (16 L) × 3000 mm (15 H2) |
| Mesh division | Minimum grid height: 5 mm. Grid growth rate: 1.1. Total grid: 30,000. y+: 80. Mesh quality: the quality and orthogonality are about 1, and the aspect ratio is less than 13. |
| Inlet boundary | Air phase: Equation (1) and Equations (12) and (13). Snow phase: Equations (14)~(16). |
| Ground and model boundary | Wall: CS = 2.0, KS = 2 mm. |
| Outlet boundary | Pressure outlet |
| Upper boundary | Symmetry |
| Code | Calculation Formula of μ | Parameter Description |
|---|---|---|
| GB50009 2012 [9] | L1 is the lower roof span. L2 is the upper roof span. H is the height difference between the stepped flat roofs. xd is the length of the nonuniform snow distribution. μb is the snow uniform distribution coefficient. μw is the drift coefficient. μs is the slide coefficient. Ca and μi are the shape coefficients of the snow load. Ce is the exposure coefficient. Ct is the temperature coefficient. Cs is the roof slope coefficient. γ is the weight density of snow. Is is the building importance factor. lc is the characteristic length of stepped flat roofs. hb is the uniform snow thickness. hd is the snowdrift thickness. hc is the height difference from the uniform snow surface to the upper roof. Sb is the uniformed snow load. | |
| ASCE 2017 [10] | ||
| EN 1991-1-3 2003 [8] | ||
| NBCC 2015 [11] | ||
| AIJ 2004 [7] |
| Code or Equation | Maximum μ | Dimensionless Unbalanced Length (x/H) |
|---|---|---|
| AIJ | 1 | 2 |
| ASCE | 2 | 0.5 |
| NBCC | 2.7 | 1 |
| EN | 2.5 | 2 |
| GB | 2.5 | 2 |
| Equation (20) | 3.44 | 1.6 |
| Equation (21) | 3.44 | 2 |
Disclaimer/Publisher’s Note: The statements, opinions and data contained in all publications are solely those of the individual author(s) and contributor(s) and not of MDPI and/or the editor(s). MDPI and/or the editor(s) disclaim responsibility for any injury to people or property resulting from any ideas, methods, instructions or products referred to in the content. |
© 2023 by the authors. Licensee MDPI, Basel, Switzerland. This article is an open access article distributed under the terms and conditions of the Creative Commons Attribution (CC BY) license (https://creativecommons.org/licenses/by/4.0/).
Share and Cite
Zhang, Z.; Ma, W.; Li, Q.; Li, S. Snow Load Shape Coefficients and Snow Prevention Method for Stepped Flat Roofs. Appl. Sci. 2023, 13, 12109. https://doi.org/10.3390/app132212109
Zhang Z, Ma W, Li Q, Li S. Snow Load Shape Coefficients and Snow Prevention Method for Stepped Flat Roofs. Applied Sciences. 2023; 13(22):12109. https://doi.org/10.3390/app132212109
Chicago/Turabian StyleZhang, Zhibo, Wenyong Ma, Qiang Li, and Sai Li. 2023. "Snow Load Shape Coefficients and Snow Prevention Method for Stepped Flat Roofs" Applied Sciences 13, no. 22: 12109. https://doi.org/10.3390/app132212109
APA StyleZhang, Z., Ma, W., Li, Q., & Li, S. (2023). Snow Load Shape Coefficients and Snow Prevention Method for Stepped Flat Roofs. Applied Sciences, 13(22), 12109. https://doi.org/10.3390/app132212109

