Sign in to use this feature.

Years

Between: -

Subjects

remove_circle_outline
remove_circle_outline
remove_circle_outline
remove_circle_outline
remove_circle_outline
remove_circle_outline
remove_circle_outline

Journals

Article Types

Countries / Regions

Search Results (8)

Search Parameters:
Keywords = stepped flat roofs

Order results
Result details
Results per page
Select all
Export citation of selected articles as:
22 pages, 3126 KB  
Article
Parametric Optimization of Dormitory Energy Renovation Through Automated Rooftop PVI Simulations
by Jacek Abramczyk and Wiesław Bielak
Energies 2026, 19(2), 352; https://doi.org/10.3390/en19020352 - 11 Jan 2026
Viewed by 122
Abstract
Compared to the façades of student multi-story dormitories, flat horizontal roofs offer greater freedom in shaping the layout, orientation, horizontal inclination, and geometry of photovoltaic installations (PVI). The large number of parameters defining the geometric and physical characteristics of PVI necessitates the development [...] Read more.
Compared to the façades of student multi-story dormitories, flat horizontal roofs offer greater freedom in shaping the layout, orientation, horizontal inclination, and geometry of photovoltaic installations (PVI). The large number of parameters defining the geometric and physical characteristics of PVI necessitates the development of a method to support the optimization of energy renovation processes. To facilitate this innovative method, several automation and optimization procedures were implemented into a specialized computer application developed within the Rhino/Grasshopper graphical programming environment. The method’s algorithm allows for the definition of an initial parametric qualitative model of each rooftop installation. This model is configured through multiple iterative computer simulations aimed at identifying various discrete optimal qualitative models. The implemented optimizing condition concerns the amount of energy produced and relates to the variability of energy prices as well as the costs of purchasing and mounting the PVI. The optimizing procedure involves replacing a specific portion of grid energy with electricity produced by the PVI. The parameters describing variability include the geometric and physical properties, as well as the orientation of the PVI. In the second step, the algorithm optimizes the desired payback period and investment costs. The obtained results fill a gap in the field of multi-parameter optimizing methods for the energy renovation of student dormitories. Full article
(This article belongs to the Special Issue Performance Analysis of Building Energy Efficiency)
Show Figures

Figure 1

29 pages, 12341 KB  
Article
Design of a Novel Hybrid Concentrated Photovoltaic–Thermal System Equipped with Energy Storages, Optimized for Use in Residential Contexts
by Carmine Cancro, Valeria Palladino, Aniello Borriello, Antonio Romano and Luigi Mongibello
Solar 2024, 4(4), 526-554; https://doi.org/10.3390/solar4040025 - 27 Sep 2024
Cited by 2 | Viewed by 8430
Abstract
Concentrated photovoltaic (CPV) technology is based on the principle of concentrating direct sunlight onto small but very efficient photovoltaic (PV) cells. This approach allows the realization of PV modules with conversion efficiencies exceeding 30%, which is significantly higher than that of the flat [...] Read more.
Concentrated photovoltaic (CPV) technology is based on the principle of concentrating direct sunlight onto small but very efficient photovoltaic (PV) cells. This approach allows the realization of PV modules with conversion efficiencies exceeding 30%, which is significantly higher than that of the flat panels. However, to achieve optimal performance, these modules must always be perpendicular to solar radiation; hence, they are mounted on high-precision solar trackers. This requirement has led to the predominant use of CPV technology in the construction of solar power plants in open and large fields for utility scale applications. In this paper, the authors present a novel approach allowing the use of this technology for residential installations, mounting the system both on flat and sloped roofs. Therefore, the main components of cell and primary lens have been chosen to contain the dimensions and, in particular, the thickness of the module. This paper describes the main design steps: thermal analysis allowed the housing construction material to be defined to contain cell working temperature, while with deep optical studies, experimentally validated main geometrical and functional characteristics of the CPV have been identified. The design of a whole CPV system includes thermal storage for domestic hot water and a 1 kWh electrical battery. The main design results indicate an estimated electrical conversion efficiency of 30%, based on a cell efficiency of approximately 42% under operational conditions and a measured optical efficiency of 74%. The CPV system has a nominal electric output of 550 Wp and can simultaneously generate 630 W of thermal power, resulting in an overall system efficiency of 65.5%. The system also boasts high optical acceptance angles (±0.6°) and broad assembly tolerances (±1 mm). Cost analysis reveals higher unit costs compared to conventional PV and CPV systems, but these become competitive when considering the benefit of excess thermal energy recovery and use by the end user. Full article
Show Figures

Figure 1

17 pages, 23067 KB  
Article
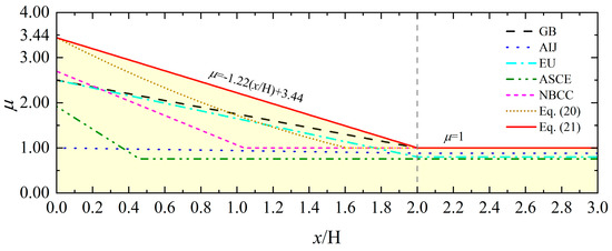
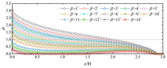
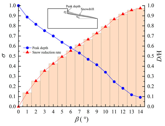
Snow Load Shape Coefficients and Snow Prevention Method for Stepped Flat Roofs
by Zhibo Zhang, Wenyong Ma, Qiang Li and Sai Li
Appl. Sci. 2023, 13(22), 12109; https://doi.org/10.3390/app132212109 - 7 Nov 2023
Cited by 2 | Viewed by 4064
Abstract
Excessive snow load and nonuniform snow deposition are the main factors leading to building collapses. The snow load shape coefficient represents the dimensionless snow load, and its value is related to the unbalanced distribution of snow. The snow load shape coefficients for stepped [...] Read more.
Excessive snow load and nonuniform snow deposition are the main factors leading to building collapses. The snow load shape coefficient represents the dimensionless snow load, and its value is related to the unbalanced distribution of snow. The snow load shape coefficients for stepped flat roofs vary greatly in the codes of different regions, which always leads to underestimation of snow loads. We need a widely used standard for snow load shape coefficients. Therefore, through a combination of field measurements and numerical simulations, this study probes the snow accumulation processes and snow load shape coefficients on stepped flat roofs and proposes an equation to calculate snow load shape coefficients and the optimal slope of snow protection for lower roofs. It is found that the maximum snow load shape coefficient emerges at the roof junction with a value of 3.44. The nonuniform length of the snow accumulation is equal to two times the level difference. Based on these, the equation of the snow load shape coefficients is summarized, which is combined with the discrepancies between different codes and the regularity of snow distributions. In this study, the dynamic grid technology under the Eulerian framework is used to successfully predict snow accumulation on stepped flat roofs, and it is noted that snow erosion and deposition are closely related to the location and size of vortexes. Finally, we consider that the ideal slope for the lower roof to prevent snow should be 11°. Full article
(This article belongs to the Section Civil Engineering)
Show Figures

Figure 1

16 pages, 3745 KB  
Article
Urban-Metabolic Farming Modules on Rooftops for Eco-Resilient Farmscape
by Youhanna E. William, Hui An, Szu-Cheng Chien, Chew Beng Soh, Barbara Ting Wei Ang, Toshikazu Ishida, Hikaru Kobayashi, David Tan and Ryan Hong Soon Tay
Sustainability 2022, 14(24), 16885; https://doi.org/10.3390/su142416885 - 16 Dec 2022
Cited by 4 | Viewed by 3372
Abstract
The scarcity of land resources and food security challenges have prompted more effective uses of the rooftop as well as façade spaces in the urban city of Singapore. Urban rooftop spaces are used for mechanical and electrical (M&E) amenities such as air-conditioning cooling [...] Read more.
The scarcity of land resources and food security challenges have prompted more effective uses of the rooftop as well as façade spaces in the urban city of Singapore. Urban rooftop spaces are used for mechanical and electrical (M&E) amenities such as air-conditioning cooling units and water tanks, so the spacious span of the roof area on HDB flats in Singapore is not available. Urban-metabolic farming modules (UmFm) built on 1.5 to 2 m terrace-step terrains have been modelled using BIM Revit to mimic such constraints in rooftop spaces. CFD simulation was conducted for the structure with consideration of the prevailing wind directions at different months of the year. The airflow with the inclusion of mesh netting and varying tiltings of the polycarbonate side façade was simulated to understand their impact on airflow in the growth envelope of the UmFm units under different prevailing wind directions. The amount of solar irradiance received by the crops at different heights in the UmFm due to the sun’s path, and shading of crops grown on the A-frame, was studied using Climate Studio. A comparative verification was done with a scaffold modular unit mounted with temperature, humidity, airflow, and Photosynthesis Photon Flux Density (PPFD) sensors. The digital model of the UmFm unit enables a prior assessment of site feasibility before actual physical implementation on an existing rooftop. It also facilitates plug and play for the UmFm unit to generate an eco-resilient farmscape for an urban city. Full article
Show Figures

Graphical abstract

17 pages, 5119 KB  
Article
A Novel Method Based on Deep Learning, GIS and Geomatics Software for Building a 3D City Model from VHR Satellite Stereo Imagery
by Massimiliano Pepe, Domenica Costantino, Vincenzo Saverio Alfio, Gabriele Vozza and Elena Cartellino
ISPRS Int. J. Geo-Inf. 2021, 10(10), 697; https://doi.org/10.3390/ijgi10100697 - 14 Oct 2021
Cited by 56 | Viewed by 7005
Abstract
The aim of the paper is to identify a suitable method for the construction of a 3D city model from stereo satellite imagery. In order to reach this goal, it is necessary to build a workflow consisting of three main steps: (1) Increasing [...] Read more.
The aim of the paper is to identify a suitable method for the construction of a 3D city model from stereo satellite imagery. In order to reach this goal, it is necessary to build a workflow consisting of three main steps: (1) Increasing the geometric resolution of the color images through the use of pan-sharpening techniques, (2) identification of the buildings’ footprint through deep-learning techniques and, finally, (3) building an algorithm in GIS (Geographic Information System) for the extraction of the elevation of buildings. The developed method was applied to stereo imagery acquired by WorldView-2 (WV-2), a commercial Earth-observation satellite. The comparison of the different pan-sharpening techniques showed that the Gram–Schmidt method provided better-quality color images than the other techniques examined; this result was deduced from both the visual analysis of the orthophotos and the analysis of quality indices (RMSE, RASE and ERGAS). Subsequently, a deep-learning technique was applied for pan sharpening an image in order to extract the footprint of buildings. Performance indices (precision, recall, overall accuracy and the F1measure) showed an elevated accuracy in automatic recognition of the buildings. Finally, starting from the Digital Surface Model (DSM) generated by satellite imagery, an algorithm built in the GIS environment allowed the extraction of the building height from the elevation model. In this way, it was possible to build a 3D city model where the buildings are represented as prismatic solids with flat roofs, in a fast and precise way. Full article
(This article belongs to the Special Issue 3D Models for Spatial Analysis and Landscape Visualization)
Show Figures

Graphical abstract

23 pages, 6360 KB  
Article
Biomagnetic Monitoring vs. CFD Modeling: A Real Case Study of Near-Source Depositions of Traffic-Related Particulate Matter along a Motorway
by Sarah Letaïef, Pierre Camps, Thierry Poidras, Patrick Nicol, Delphine Bosch and Romane Pradeau
Atmosphere 2020, 11(12), 1285; https://doi.org/10.3390/atmos11121285 - 28 Nov 2020
Cited by 5 | Viewed by 3344
Abstract
A test site located along a 12-lane motorway east of Montpellier, France, is used to evaluate the potential of biomagnetic monitoring on traffic-related particulate matter (PM) to parametrize a computational fluid dynamics (CFD) simulation of the local airflow. Two configurations were established on [...] Read more.
A test site located along a 12-lane motorway east of Montpellier, France, is used to evaluate the potential of biomagnetic monitoring on traffic-related particulate matter (PM) to parametrize a computational fluid dynamics (CFD) simulation of the local airflow. Two configurations were established on the site with three vegetated flat-top earth berms of a basic design, and a fourth one was located windward to the traffic roofed with a 4-m-high precast concrete wall. As a first step, PM deposition simultaneously on plant leaves, on low-cost passive artificial filters, and on soils was estimated from proxies supplied by magnetic and X-ray fluorescence measurements on both sides of the motorway. These latter revealed that traffic-related pollutants are present on soils samples highlighted with a clear fingerprint of combustion residues, and wears of breaks, vehicles, and highway equipment. Maximum PM accumulations were detected in the lee of the berm–wall combination, while no significant deposition was observed on both sides of the flat-top earth berms. These results are in line with measurements from PM µ-sensors operated by the regional state-approved air quality agency. Finally, we compared the experimental measurements with the outcomes of a computational fluid dynamics (CFD) modeling based on the Reynolds-Averaged Navier–Stokes (RANS) equations that consider the traffic-induced momentum and turbulence. The CFD modeling matches the experimental results by predicting a recirculated flow in the near wake of the berm–wall combination that enhances the PM concentration, whereas the flat-top berm geometry does not alter the pollutants’ transport and indeed contributes to their atmospheric dispersion. Full article
(This article belongs to the Special Issue Air Pollution and Environment in France)
Show Figures

Figure 1

24 pages, 10381 KB  
Article
A Hybrid Approach for Three-Dimensional Building Reconstruction in Indianapolis from LiDAR Data
by Yuanfan Zheng, Qihao Weng and Yaoxing Zheng
Remote Sens. 2017, 9(4), 310; https://doi.org/10.3390/rs9040310 - 26 Mar 2017
Cited by 45 | Viewed by 8295
Abstract
3D building models with prototypical roofs are more valuable in many applications than 2D building footprints. This research proposes a hybrid approach, combining the data- and model-driven approaches for generating LoD2-level building models by using medium resolution (0.91 m) LiDAR nDSM, the 2D [...] Read more.
3D building models with prototypical roofs are more valuable in many applications than 2D building footprints. This research proposes a hybrid approach, combining the data- and model-driven approaches for generating LoD2-level building models by using medium resolution (0.91 m) LiDAR nDSM, the 2D building footprint and the high resolution orthophoto for the City of Indianapolis, USA. The main objective is to develop a GIS-based procedure for automatic reconstruction of complex building roof structures in a large area with high accuracy, but without requiring high-density point data clouds and computationally-intensive algorithms. A multi-stage strategy, which combined step-edge detection, roof model selection and ridge detection techniques, was adopted to extract key features and to obtain prior knowledge for 3D building reconstruction. The entire roof can be reconstructed successfully by assembling basic models after their shapes were reconstructed. This research finally created a 3D city model at the Level of Detail 2 (LoD2) according to the CityGML standard for the downtown area of Indianapolis (included 519 buildings).The reconstruction achieved 90.6% completeness and 96% correctness for seven tested buildings whose roofs were mixed by different shapes of structures. Moreover, 86.3% of completeness and 90.9% of correctness were achieved for 38 commercial buildings with complex roof structures in the downtown area, which indicated that the proposed method had the ability for large-area building reconstruction. The major contribution of this paper lies in designing an efficient method to reconstruct complex buildings, such as those with irregular footprints and roof structures with flat, shed and tiled sub-structures mixed together. It overcomes the limitation that building reconstruction using coarse resolution LiDAR nDSM cannot be based on precise horizontal ridge locations, by adopting a novel ridge detection method. Full article
(This article belongs to the Special Issue Societal and Economic Benefits of Earth Observation Technologies)
Show Figures

Graphical abstract

15 pages, 610 KB  
Article
Extracting Buildings from True Color Stereo Aerial Images Using a Decision Making Strategy
by Eufemia Tarantino and Benedetto Figorito
Remote Sens. 2011, 3(8), 1553-1567; https://doi.org/10.3390/rs3081553 - 25 Jul 2011
Cited by 31 | Viewed by 9472
Abstract
The automatic extraction of buildings from true color stereo aerial imagery in a dense built-up area is the main focus of this paper. Our approach strategy aimed at reducing the complexity of the image content by means of a three-step procedure combining [...] Read more.
The automatic extraction of buildings from true color stereo aerial imagery in a dense built-up area is the main focus of this paper. Our approach strategy aimed at reducing the complexity of the image content by means of a three-step procedure combining reliable geospatial image analysis techniques. Even if it is a rudimentary first step towards a more general approach, the method presented proved useful in urban sprawl studies for rapid map production in flat area by retrieving indispensable information on buildings from scanned historic aerial photography. After the preliminary creation of a photogrammetric model to manage Digital Surface Model and orthophotos, five intermediate mask-layers data (Elevation, Slope, Vegetation, Shadow, Canny, Shadow, Edges) were processed through the combined use of remote sensing image processing and GIS software environments. Lastly, a rectangular building block model without roof structures (Level of Detail, LoD1) was automatically generated. System performance was evaluated with objective criteria, showing good results in a complex urban area featuring various types of building objects. Full article
(This article belongs to the Special Issue Urban Remote Sensing)
Show Figures

Figure 1

Back to TopTop