Rapid Discrimination of Organic and Non-Organic Leafy Vegetables (Water Spinach, Amaranth, Lettuce, and Pakchoi) Using VIS-NIR Spectroscopy, Selective Wavelengths, and Linear Discriminant Analysis
Abstract
:1. Introduction
2. Materials and Methods
2.1. Samples
2.2. Visible and Near-Infrared Reflectance Spectra Measurements
2.3. Spectral Preprocessing
2.4. Wavelength Selection and Importance Assessment
2.5. Classifier and Evaluation Indicators
2.6. Reference Methods
3. Results
3.1. Spectrum of the Leafy Vegetables
3.2. Spectral Pretreatment
3.3. Selected Wavelengths and Classification Results
3.3.1. Wavelengths Selection
3.3.2. Classification Results
3.4. Application Based on the Selected Wavelengths
4. Discussion
5. Conclusions
- (1)
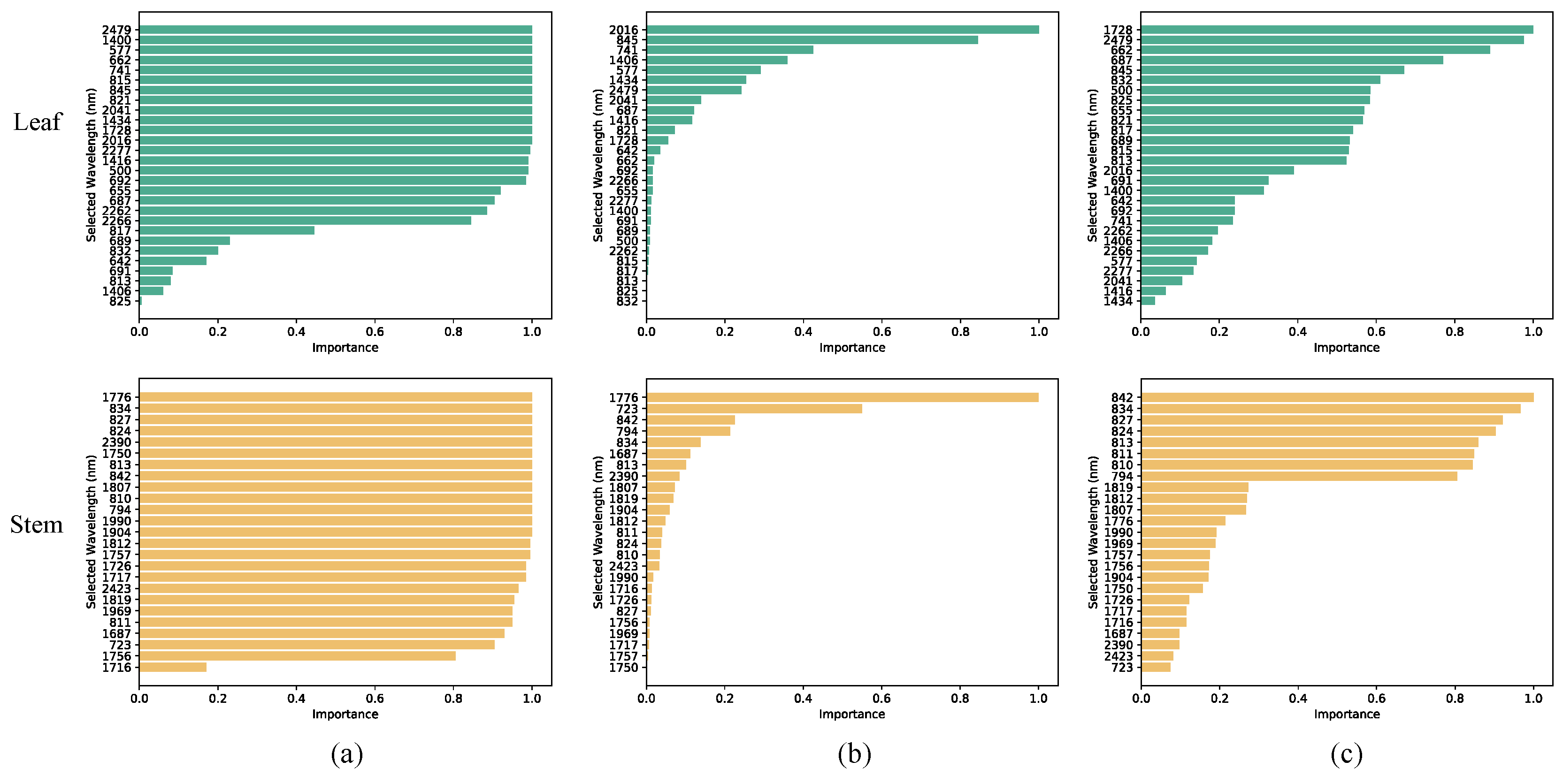
- The primary accomplishment lies in the identification of key spectral bands for the classification of organic leafy vegetables. We analyzed the distribution of wavelengths selected by a genetic algorithm, combined with the distribution of the ten most important wavelengths, as well as the number of the selected wavelengths distributed in a certain location. Spectral classification bands for the leaves and stems were defined in the ranges of 550–910 nm and 1380–1500 nm and 750–900 nm and 1700–1820 nm, respectively. Utilizing these selected bands for classification, we achieved an accuracy of 98.3% for both leaf and stem spectral classifications. This analysis also revealed that specific wavelengths, such as those around 700 nm, 820 nm, and 1400 nm, significantly impact leaf spectral classification, while wavelengths near 800 nm, 1780 nm, and 2400 nm play a substantial role in stem spectral classification. The identification of key spectral bands is of utmost significance as it allows for the effective identification of organic leafy vegetables instead of using the full spectral bands, thereby reducing the costs associated with visible and near-infrared spectrometers.
- (2)
- Our approach not only achieved high classification accuracy but also proved to be as efficient as the methods utilizing the entire visible and near-infrared spectrum, such as principal component analysis–linear discriminant analysis, principal component analysis–support vector machine, and partial least squares–discriminant analysis. Furthermore, it provides interpretability by revealing the wavelengths significantly influencing vegetable spectral classification.
- (3)
- Additionally, we found that using spectroscopic pre-processing methods, such as the Savitzky–Golay method, enhances the accuracy of the linear discriminant analysis model for classification. When evaluating the importance of wavelengths selected by the genetic algorithm using stability selection, random forest, and analysis of variance methods, we observed that the use of the first ten important wavelengths yielded superior classification results compared to the latter ten, showing the effectiveness of the evaluating methods. Notably, the stability selection method outperformed the other methods in terms of classification results.
Author Contributions
Funding
Institutional Review Board Statement
Informed Consent Statement
Data Availability Statement
Acknowledgments
Conflicts of Interest
References
- Kumar, S.; Shekhar, C. Nutritional components in green leafy vegetables: A review. J. Pharmacogn. Phytochem. 2020, 9, 2498–2502. [Google Scholar] [CrossRef]
- Lima, G.P.P.; Borges, C.V.; Vianello, F.; Cisneros-Zevallos, L.; Minatel, I.O. Phytochemicals in organic and conventional fruits and vegetables. In Fruit and Vegetable Phytochemicals: Chemistry and Human Health, 2nd ed.; John Wiley & Sons: Hoboken, NJ, USA, 2017; pp. 1305–1322. [Google Scholar] [CrossRef]
- Olle, M.; Williams, I.H. Organic Farming of Vegetables. In Sustainable Agriculture Reviews; Lichtfouse, E., Ed.; Springer: Dordrecht, The Netherlands, 2012; Volume 11, pp. 63–76. [Google Scholar] [CrossRef]
- Rahman, S.M.E.; Mele, M.A.; Lee, Y.T.; Islam, M.Z. Consumer preference, quality, and safety of organic and conventional fresh fruits, vegetables, and cereals. Foods 2021, 10, 105. [Google Scholar] [CrossRef] [PubMed]
- Rana, J.; Paul, J. Consumer behavior and purchase intention for organic food: A review and research agenda. J. Retail. Consum. Serv. 2017, 38, 157–165. [Google Scholar] [CrossRef]
- Durham, T.C.; Mizik, T. Comparative economics of conventional, organic, and alternative agricultural production systems. Economies 2021, 9, 64. [Google Scholar] [CrossRef]
- Giannakas, K.; Yiannaka, A. Food Fraud: Causes, Consequences, and Deterrence Strategies. Annu. Rev. Resour. Econ. 2023, 15, 85–104. [Google Scholar] [CrossRef]
- Callao, M.P.; Ruisánchez, I. An overview of multivariate qualitative methods for food fraud detection. Food Control 2018, 86, 283–293. [Google Scholar] [CrossRef]
- Danezis, G.P.; Tsagkaris, A.S.; Camin, F.; Brusic, V.; Georgiou, C.A. Food authentication: Techniques, trends & emerging approaches. TrAC Trends Anal. Chem. 2016, 85, 123–132. [Google Scholar] [CrossRef]
- Picó, Y. Geographical, Botanical, and Species Origin, Method of Production and Food Frauds Detection. In Food Authentication: Management, Analysis and Regulation; Georgiou, C.A., Danezis, G.P., Eds.; John Wiley & Sons: Chichester, UK, 2017; pp. 431–449. [Google Scholar] [CrossRef]
- Birse, N.; McCarron, P.; Quinn, B.; Fox, K.; Chevallier, O.; Hong, Y.; Elliott, C. Authentication of organically grown vegetables by the application of ambient mass spectrometry and inductively coupled plasma (ICP) mass spectrometry; The leek case study. Food Chem. 2022, 370, 130851. [Google Scholar] [CrossRef] [PubMed]
- Brito, A.L.B.; Araújo, D.A.; Pontes, M.J.C.; Pontes, L.F.B.L. Near infrared reflectance spectrometry classification of lettuce using linear discriminant analysis. Anal. Methods 2015, 7, 1890–1895. [Google Scholar] [CrossRef]
- Zhou, L.; Ma, Y.; Yao, J.; Zhang, M.; Fu, H.; Yang, J.; Liu, J.; Zhao, M.; Marchioni, E. Discrimination of chrysanthemum varieties using lipidomics based on UHPLC–HR-AM/MS/MS. J. Sci. Food Agric. 2023, 103, 837–845. [Google Scholar] [CrossRef]
- He, C.; Ji, Y.; Wu, B.; Wu, X.; Fu, H. Non-Destructive Classification of Chrysanthemum Tea Using Near-Infrared Spectroscopy (NIRS) and Fuzzy Improved Pseudoinverse Linear Discriminant Analysis (FIPLDA). In Analytical Letters; Taylor & Francis: Abingdon, UK, 2023; pp. 1–15. [Google Scholar] [CrossRef]
- Araújo, E.M.; de Lima, M.D.; Barbosa, R.; Alleoni, L.R.F. Using machine learning and multi-element analysis to evaluate the authenticity of organic and conventional vegetables. Food Anal. Methods 2019, 12, 2542–2554. [Google Scholar] [CrossRef]
- Yuan, Y.; Hu, G.; Chen, T.; Zhao, M.; Zhang, Y.; Li, Y.; Xu, X.; Shao, S.; Zhu, J.; Wang, Q.; et al. Improved discrimination for Brassica vegetables treated with agricultural fertilizers using a combined chemometric approach. J. Agric. Food Chem. 2016, 64, 5633–5643. [Google Scholar] [CrossRef] [PubMed]
- Sinkovič, L.; Nečemer, M.; Ogrinc, N.; Žnidarčič, D.; Stopar, D.; Vidrih, R.; Meglič, V. Parameters for discrimination between organic and conventional production: A case study for chicory plants (Cichorium intybus L.). Food Chem. Toxicol. 2020, 136, 111109. [Google Scholar] [CrossRef]
- Sohn, S.I.; Pandian, S.; Zaukuu, J.L.Z.; Oh, Y.J.; Lee, Y.H.; Shin, E.K.; Thamilarasan, S.K.; Kang, H.J.; Ryu, T.H.; Cho, W.S. Rapid discrimination of Brassica napus varieties using visible and Near-infrared (Vis-NIR) spectroscopy. J. King Saud Univ.-Sci. 2023, 35, 102495. [Google Scholar] [CrossRef]
- Huang, Y.; Dong, W.; Sanaeifar, A.; Wang, X.; Luo, W.; Zhan, B.; Liu, X.; Li, R.; Zhang, H.; Li, X. Development of simple identification models for four main catechins and caffeine in fresh green tea leaf based on visible and near-infrared spectroscopy. Comput. Electron. Agric. 2020, 173, 105388. [Google Scholar] [CrossRef]
- Jordan, M.I.; Mitchell, T.M. Machine learning: Trends, perspectives, and prospects. Science 2015, 349, 255–260. [Google Scholar] [CrossRef] [PubMed]
- Katoch, S.; Chauhan, S.S.; Kumar, V. A review on genetic algorithm: Past, present, and future. Multimed. Tools Appl. 2021, 80, 8091–8126. [Google Scholar] [CrossRef]
- Mirjalili, S. Genetic Algorithm. In Evolutionary Algorithms and Neural Networks: Theory and Applications; Springer: Cham, Switzerland, 2019; Volume 780, pp. 43–55. [Google Scholar] [CrossRef]
- Meinshausen, N.; Bühlmann, P. Stability selection. J. R. Stat. Soc. Ser. B Stat. Methodol. 2010, 72, 417–473. [Google Scholar] [CrossRef]
- Wang, Y.H.; Zhang, Y.F.; Zhang, Y.; Gu, Z.F.; Zhang, Z.Y.; Lin, H.; Deng, K.J. Identification of adaptor proteins using the ANOVA feature selection technique. Methods 2022, 208, 42–47. [Google Scholar] [CrossRef] [PubMed]
- Junges, C.H.; Guerra, C.C.; Canedo-Reis, N.A.; Gomes, A.A.; Ferrão, M.F. Discrimination of whole grape juice using fluorescence spectroscopy data with linear discriminant analysis coupled to genetic and ant colony optimisation algorithms. Anal. Methods 2023, 15, 187–195. [Google Scholar] [CrossRef] [PubMed]
- Biau, G.; Scornet, E. A random forest guided tour. Test 2016, 25, 197–227. [Google Scholar] [CrossRef]
- Tharwat, A.; Gaber, T.; Ibrahim, A.; Hassanien, A.E. Linear discriminant analysis: A detailed tutorial. AI Commun. 2017, 30, 169–190. [Google Scholar] [CrossRef]
- Lasalvia, M.; Capozzi, V.; Perna, G. A comparison of PCA-LDA and PLS-DA techniques for classification of vibrational spectra. Appl. Sci. 2022, 12, 5345. [Google Scholar] [CrossRef]
- Chu, X.; Zhang, K.; Wei, H.; Ma, Z.; Fu, H.; Miao, P.; Jiang, H.; Liu, H. A Vis/NIR spectra-based approach for identifying bananas infected with Colletotrichum musae. Front. Plant Sci. 2023, 14, 1180203. [Google Scholar] [CrossRef] [PubMed]
- Dou, J.; Dawuti, W.; Zhou, J.; Li, J.; Zhang, R.; Zheng, X.; Ling, R.; Lü, G. Rapid detection of cholecystitis by serum fluorescence spectroscopy combined with machine learning. J. Biophotonics 2023, 16, e202200354. [Google Scholar] [CrossRef] [PubMed]
- Huete, A.R. Remote sensing for environmental monitoring. In Environmental Monitoring and Characterization; Artiola, J.F., Pepper, I.L., Brusseau, M.L., Eds.; Elsevier Academic Press: Burlington, MA, USA, 2004; pp. 183–206. [Google Scholar] [CrossRef]
- Simpson, M.B. Near-infrared spectroscopy for process analytical technology: Theory, technology and implementation. In Process Analytical Technology: Spectroscopic Tools and Implementation Strategies for the Chemical and Pharmaceutical Industries, 1st ed.; Bakeev, K.A., Ed.; John Wiley & Sons Ltd.: Chichester, UK, 2010; pp. 107–155. [Google Scholar] [CrossRef]
- Kumar, S.; Singh, R.; Dhanani, T. Rapid estimation of bioactive phytochemicals in vegetables and fruits using near infrared reflectance spectroscopy. In Fruit and Vegetable Phytochemicals: Chemistry and Human Health, 2nd ed.; John Wiley & Sons: Hoboken, NJ, USA, 2017; pp. 781–802. [Google Scholar] [CrossRef]







| Predicted Label | ||
|---|---|---|
| True Label | Positive | Negative | 
| Positive | True Positive (TP) | False Negative (FN) | 
| Negative | False Positive (FP) | True Negative (TN) | 
| Spectra | Raw | SG | SNV | MSC | SG + SNV | SG + MSC | 
|---|---|---|---|---|---|---|
| Leaf | 87.7 | 96.4 | 93.1 | 92.5 | 92.8 | 94.5 | 
| Stem | 88.1 | 96.9 | 94.8 | 94.6 | 90.1 | 91.1 | 
| Spectra | Selected Wavelengths (nm) | 
|---|---|
| Leaf | 500, 577, 642, 655, 662, 687, 689, 691, 692, 741, 813, 815, 817, 821, 825, 832, 845, 1400, 1406, 1416, 1434, 1728, 2016, 2041, 2262, 2266, 2277, 2479 | 
| Stem | 723, 794, 810, 811, 813, 824, 827, 834, 842, 1687, 1716, 1717, 1726, 1750, 1756, 1757, 1776, 1807, 1812, 1819, 1904, 1969, 1990, 2390, 2423 | 
| Method | Wavelengths | Sensitivity (%) | Specificity (%) | Accuracy (%) | F1 (%) | 
|---|---|---|---|---|---|
| SS | First 10 | 90.5 | 93.8 | 92.1 | 92.1 | 
| Last 10 | 82.0 | 86.9 | 84.3 | 84.2 | |
| RF | First 10 | 84.2 | 85.7 | 84.9 | 84.8 | 
| Last 10 | 81.4 | 86.5 | 84.0 | 83.6 | |
| ANOVA | First 10 | 83.5 | 77.6 | 80.5 | 81.0 | 
| Last 10 | 80.1 | 82.5 | 81.1 | 81.1 | 
| Method | Wavelengths | Sensitivity (%) | Specificity (%) | Accuracy (%) | F1 (%) | 
|---|---|---|---|---|---|
| SS | First 10 | 87.6 | 94.6 | 91.1 | 90.6 | 
| Last 10 | 77.9 | 91.3 | 84.7 | 83.3 | |
| RF | First 10 | 84.7 | 91.6 | 88.0 | 87.7 | 
| Last 10 | 77.0 | 87.1 | 82.2 | 80.8 | |
| ANOVA | First 10 | 84.6 | 90.9 | 87.7 | 87.3 | 
| Last 10 | 76.0 | 85.4 | 80.4 | 79.8 | 
| Spectra | Sensitivity (%) | Specificity (%) | Accuracy (%) | F1 (%) | 
|---|---|---|---|---|
| Leaf | 98.3 | 98.4 | 98.3 | 98.3 | 
| Stem | 97.1 | 100 | 98.3 | 98.5 | 
| Spectra | Method | Sensitivity (%) | Specificity (%) | Accuracy (%) | F1 (%) | 
|---|---|---|---|---|---|
| Leaf | PCA-LDA with 10 principal variables | 81.4 | 77.1 | 79.2 | 79.8 | 
| PCA-SVM with 10 principal variables | 86.9 | 77.7 | 82.3 | 83.1 | |
| PLS-DA with 10 principal variables | 92.1 | 91.1 | 91.6 | 91.7 | |
| GA-LDA with first 10 important wavelengths | 90.5 | 93.8 | 92.1 | 92.1 | |
| GA-LDA with selected bands | 98.3 | 98.4 | 98.3 | 98.3 | |
| Stem | PCA-LDA with 10 principal variables | 85.3 | 86.9 | 86.1 | 85.8 | 
| PCA-SVM with 10 principal variables | 87.9 | 86.9 | 87.4 | 87.4 | |
| PLS-DA with 10 principal variables | 87.6 | 92.8 | 90.3 | 89.9 | |
| GA-LDA with first 10 important wavelengths | 87.6 | 94.6 | 91.1 | 90.6 | |
| GA-LDA with selected bands | 97.1 | 100 | 98.3 | 98.5 | 
| Disclaimer/Publisher’s Note: The statements, opinions and data contained in all publications are solely those of the individual author(s) and contributor(s) and not of MDPI and/or the editor(s). MDPI and/or the editor(s) disclaim responsibility for any injury to people or property resulting from any ideas, methods, instructions or products referred to in the content. | 
© 2023 by the authors. Licensee MDPI, Basel, Switzerland. This article is an open access article distributed under the terms and conditions of the Creative Commons Attribution (CC BY) license (https://creativecommons.org/licenses/by/4.0/).
Share and Cite
Wu, Y.; Wu, B.; Ma, Y.; Wang, M.; Feng, Q.; He, Z. Rapid Discrimination of Organic and Non-Organic Leafy Vegetables (Water Spinach, Amaranth, Lettuce, and Pakchoi) Using VIS-NIR Spectroscopy, Selective Wavelengths, and Linear Discriminant Analysis. Appl. Sci. 2023, 13, 11830. https://doi.org/10.3390/app132111830
Wu Y, Wu B, Ma Y, Wang M, Feng Q, He Z. Rapid Discrimination of Organic and Non-Organic Leafy Vegetables (Water Spinach, Amaranth, Lettuce, and Pakchoi) Using VIS-NIR Spectroscopy, Selective Wavelengths, and Linear Discriminant Analysis. Applied Sciences. 2023; 13(21):11830. https://doi.org/10.3390/app132111830
Chicago/Turabian StyleWu, Yinggeng, Bing Wu, Yao Ma, Meizhu Wang, Qi Feng, and Zhiping He. 2023. "Rapid Discrimination of Organic and Non-Organic Leafy Vegetables (Water Spinach, Amaranth, Lettuce, and Pakchoi) Using VIS-NIR Spectroscopy, Selective Wavelengths, and Linear Discriminant Analysis" Applied Sciences 13, no. 21: 11830. https://doi.org/10.3390/app132111830
APA StyleWu, Y., Wu, B., Ma, Y., Wang, M., Feng, Q., & He, Z. (2023). Rapid Discrimination of Organic and Non-Organic Leafy Vegetables (Water Spinach, Amaranth, Lettuce, and Pakchoi) Using VIS-NIR Spectroscopy, Selective Wavelengths, and Linear Discriminant Analysis. Applied Sciences, 13(21), 11830. https://doi.org/10.3390/app132111830
 
        
 
                                                


 
       