You are currently viewing a new version of our website. To view the old version click .
Applied Sciences
  • Article
  • Open Access

7 January 2023

CPM-GFDM: A Novel Combination of Continuous Phase Modulation and Generalized Frequency Division Multiplexing for Wireless Communication

Department of Computer Engineering, Umm Al-Qura University, Makkah 21955, Saudi Arabia
This article belongs to the Special Issue Advances in Wireless Communication Technologies

Abstract

In this paper, continuous phase modulation-generalized frequency division multiplexing (CPM-GFDM) is proposed. The performance of CPM-GFDM is evaluated over Gaussian and frequency selective fading channels. In the proposed technique, the mapper in the transmitter and the de-mapper in the receiver of traditional GFDM are replaced by a CPM mapper and de-mapper, respectively. Using Monte-Carlo simulations, the bit error rate performance is evaluated for several rational values of the modulation index. We establish the superiority of CPM-GFDM over traditional GFDM using error performance plots through extensive simulations. We demonstrate that there are several values of the modulation index that give a performance superior to the conventional GFDM, with h = 1 2 , 3 10 , 5 16 , 7 16 giving the best performance for additive white Gaussian noise (AWGN) channels, while for the frequency-selective channels the best performance is observed when h = 3 10 , 5 16 , 7 16 .

1. Introduction

There are several contenders for 5G communication. Some of them are filter bank multicarrier (FBMC), universal filtered multicarrier (UFMC) [1,2,3], non-orthogonal multiple access (NOMA) [4,5], filtered orthogonal frequency division multiplexing (f-OFDM) [6] and generalized frequency division multiplexing (GFDM) [7]. Out of these, GFDM, which is a non-orthogonal modulation technique, adequately addresses the shortcomings of OFDM for the next generation of 5G networks [7]. Its benefits include flexibility, minimal out-of-band (OOB) emissions, and a higher spectrum efficiency [8]. A heterogeneous network with a variety of competing technologies, such as D2D communication, millimeter waves, multiple input multiple output (MIMO), massive MIMO, femtocells, and Pico cells is anticipated for 5G [9]. To lessen OOB emissions, each GFDM data-block is broken up into subcarriers and sub-symbols, with the subcarriers being filtered by a pulse shaping filter. With its capacity to work with single carrier, FBMC and frequency domain systems that are based on equalization, GFDM is a very flexible time-frequency distribution technique [10]. As GFDM is block-based, it can use several OFDM techniques, including cyclic prefix (CP), to prevent inter-symbol interference. Thus, to mitigate the impacts of multipath at the receiver side, low complexity equalizers can be used in the frequency domain [11]. The loss of orthogonality that results from GFDM subcarriers being filtered via a range of pulse shapes [12] makes them vulnerable to self-interference at the receiver. The resulting complexity in implementation is another drawback of using the flexible waveform. However, since reducing the complexity of systems is an active area of research and computer power is increasing quickly, GFDM turns out to be a promising technique for upcoming high-speed, high performance communications.
While several authors have focused on reducing the complexity of the GFDM receiver (see, for example, [13,14]), or minimizing the interference [11,15,16,17], some others have focused on presenting an analysis of BER when using some novel technique in GFDM [18,19,20,21]. Channel codes have also been used to improve the BER of GFDM [22]. MIMO-GFDM is an active research area which has been employed to improve the BER of a conventional GFDM system. For example, improvement in spectral efficiency and BER via MIMO-GFDM has been proposed in [23]. Low-complexity receivers for MIMO-GFDM have been proposed in [24,25]. There are several other papers that try to improve the performance of GFDM and/or MIMO-GFDM by using novel techniques, for example, [10,26,27,28]. However, only a handful of work exists that focuses on improving the performance by modifying mapping schemes (one such example is [29]).
CPM and its subclass, continuous phase frequency shift keying (CPFSK), have been well established in communication systems for more than 40 years [30]. These systems’ key benefits are the signal’s power and spectrum efficiency, consistent envelope, low levels of out-of-band radiation, flexibility, and phase continuity [31,32,33]. One of the factors driving the development of the 5G architecture, which includes enhanced mobile broadband, machine type communication (MTC), and ultra-reliable MTC, is flexibility [34,35]. In the mapper of traditional GFDM, memoryless modulation techniques such as PSK and QAM are used. A thorough literature search suggests there has been no work that integrates CPM in the mapper of a GFDM. Our main goal in this work is to improve the BER performance of a GFDM by using CPM as a mapper.
The remaining paper is organized in the following manner. Section 2 presents the details of proposed CPM-GFDM Tx-Rx that comprises CPM modulator and demodulator. Simulation setup and results are presented in Section 3, followed by a discussion in Section 4. The paper is concluded in Section 5.

2. Proposed CPM-GFDM Transceiver

This section presents the proposed CPM-GFDM transmitter and receiver.

2.1. CPM-GFDM Transmitter

The proposed CPM-GFDM transmitter is shown in Figure 1. As shown in this figure, data bits go through the CPM mapper to become converted into CPM-mapped complex numbers, followed by upsampling. Then, M symbols are collected followed by the pulse shaping filter and IFFT. Cyclic prefix is added next, and the signal is transmitted.
Figure 1. Proposed CPM-GFDM Transmitter.
Let K represent the number of subcarriers and let M represent the number of symbols in each subcarrier. A serial bit stream b i is converted into a parallel stream of K symbols where each symbol contains log 2 J bits feeding J -CPM mappers. These mappers produce J -ary CPM-modulated complex-valued data symbols at their outputs. The next block up-samples the complex symbol sequence by a factor of N where N number of samples are used to represent a time slot. These operations repeat until M symbols—denoted by a vector d ¯ k where k = 0 , 1 , , K 1 —are received at each subcarrier, with d ¯ k = [ d k , 0 , d k , 1 , , d k , M 1 ] . Therefore, each of the K subcarriers transmits M complex-valued data symbols per GFDM frame. Hence, the transmitted signal will consist of K × M data symbols that could be represented by a matrix d as shown below [36]:
d = [ d ¯ 0 d ¯ K 1 ]
or
d = [ d 0 , 0 d 0 , 1 d 0 , M 1 d 1 , 0 d 1 , M 1 d K 1 , 0 d K 1 , 1 d K 1 , M 1 ]
The k th row in the aforementioned matrix denotes the data symbols sent over the k th subcarrier, and the m th column denotes the data symbols sent over the m th time slot. Each of the elements in this matrix has been modulated by CPM and is given by:
d k , m = cos ϕ k [ l ] + j sin ϕ k [ l ]
where l represents the present symbol index, and the information-bearing phase ϕ k [ l ] for the k th subcarrier is given by:
ϕ k [ l ] = π i = l 1 h k [ i ] α k [ i ] + π h k [ l ] α k [ l ]
{ α k [ i ] } denotes the sequence of J -ary information-carrying symbols for the k th subcarrier and i th symbol that belong to the set ± 1 ,   ± 3 ,   ,   ± ( J 1 ) , α k [ l ] is the present symbol for the k th subcarrier, and { h k [ i ] } for the k th subcarrier and i th symbol are called modulation indices. If i ,   h k [ i ] = h k , this indicates that h is the same for all symbols for k th subcarrier. This scheme is typically known as “single h ” CPM. If the value of h is different from symbol to symbol, then this type of CPM is known as “multi- h ” CPM. In multi- h CPM, the value of { h k [ i ] } changes in a round robin fashion out of all the h values. In this work, we use single h CPM and an identical modulation index for all the subcarriers. The most advantageous aspect of a CPM scheme is that it has memory, which is symbolized by the first term in (3). It is obvious that all symbols up to ( l 1 ) symbols are added together to make up the phase ϕ k [ l ] [37,38].
Let p and q be two relatively prime integers. Then, the modulation index h is chosen as the ratio of p and q such that 0 < h < 1 . By doing so, catastrophic phase situations are prevented and the overall number of points in the CPM constellation are limited to a manageable level [39]. The phase states for even p are given as,
ϕ k = { 0 , π p q , 2 π p q , , ( q 1 ) π p q }
On the other hand, the phase states ϕ k for odd p are given as,
ϕ k = { 0 , π p q , 2 π p q , , ( 2 q 1 ) π p q }
The signal constellation has q points when p is even, and 2q when p is odd, as shown by (4) and (5), respectively. For instance, the signal constellation has five possible points if for a binary CPM, h = 2 5 , as seen below and shown in Figure 2:
ϕ k = { 0 , 2 π 5 , 4 π 5 , 6 π 5 , 8 π 5 }
and eight possible points if h = 1 4 , as shown below and shown in Figure 2:
ϕ k = { 0 , π 4 , π 2 , 3 π 4 , π , 5 π 4 , 3 π 2 , 7 π 4 }
Figure 2. Constellation example for a binary CPM (a) h = 2 / 5 (b) h = 1 / 4 .
Next, a pulse shaping filter—denoted by g [ n ] —is applied. This is a circular prototype filter whose length is N × M for a k th subcarrier since each subcarrier carries N samples per symbol and there are M symbols at each subcarrier. For each subcarrier k , the filter is delayed by m N in time corresponding to the m th symbol where m = 0 , 1 , , M 1 . Five pulse shaping circular filters have been investigated in the literature. These are: (1) Root Raised Cosine, (2) Raised Cosine, (3) Xia Pulse, (4) Gaussian Pulse, and (5) Dirichlet Pulse [40].
The pulse shaping filter is followed by IFFT, which is essentially an up-conversion of the complex stream by a complex subcarrier. Hence, the transmitted signal x [ n ] , without the cyclic prefix, is given by
x [ n ] = m = 0 M 1 k = 0 K 1 d k , m g ( [ n m N ] N M ) e j 2 π k n N
The above equation can be represented in the form of a matrix as in [36]
x = A D
where
A = [ g [ n ] g [ n ] e j 2 π n N g [ n ] e j 2 π ( K 1 ) n N g [ n N ] g [ n N ] e j 2 π n N g [ n N ] e j 2 π ( K 1 ) n N g [ n ( M 1 ) N ] g [ n ( M 1 ) N ] e j 2 π n N g [ n ( M 1 ) N ] e j 2 π ( K 1 ) n N ] T
D = [ d 0 , 0 d 1 , 0 d K 1 , 0 d 0 , 1 d 1 , 1 d K 1 , 1 d 0 , M 1 d 1 , M 1 d K 1 , M 1 ]
The transmitted signal after adding the CP can be expressed as in [41]
x C P = [ x ( N M N C P + 1 : N M )      x ]
where N C P represents the CP samples.

2.2. CPM-GFDM Receiver

2.2.1. Received Signal and the Channel

The received signal can be represented in matrix form as
r = H x C P + n
where H is the channel matrix and n is the additive white Gaussian noise with zero mean and σ 2 variance. The proposed CPM-GFDM receiver is shown in Figure 3. After removing the CP, the received signal goes through the equalizer, assuming known H . The equalization can be expressed mathematically as in [42]
r e q = H 1 H A D + H 1 n = A D + n ˜
where n ˜ represents the colored noise.
Figure 3. Proposed CPM-GFDM Receiver.

2.2.2. GFDM Demodulator

Next, FFT is taken. This is followed by one of the three types of GFDM receivers—matched filter (MF), zero forcing (ZF), or minimum mean square error (MMSE). In this work, we explore MF and ZF. Pre-multiplying (8) by a square matrix Z having K M × K M dimensions, we obtain
Z r e q = Z A D + Z n ˜
The matrix Z is computed such that the estimated transmitted data symbols D ^ can be obtained as
D ^ = Z r e q
The method of computing the Z matrix determines whether a matched filter or a zero-forcing receiver is being employed, which is discussed next.

2.2.3. Matched Filter Receiver

The receiver is known as a matched filter receiver if Z is specified to be A H in (14), where H indicates Hermitian. This kind of receiver would increase the SNR for each subcarrier at the expense of producing self-interference in the event that the transmitter uses a non-orthogonal pulse.

2.2.4. Zero Forcing Receiver

For this particular receiver, Z = A 1 . In case A is not square, its pseudo-inverse, A + , is computed using the following relationship:
A + = ( A H A ) 1 A H
where A H is the Hermitian of A . A zero forcing receiver reduces self-interference but amplifies noise.

2.2.5. Viterbi Decoder

After down sampling, the signal goes to CPM signal detection block. CPM detection is complex. The complexity can be reduced if we use a Viterbi Decoder (VD) [43]. If h is rational—the CPM trellis has a reasonable number of states. This facilitates the use of VD.
With reference to Figure 4, we demonstrate the angle ϕ k , the associated complex numbers, and the paths that the data sequence 10011 takes through the trellis (shown with red colored lines) for a given subcarrier when h = 2 / 5 . To start with, we assume state ϕ k = 0   ( d k , m = 1 + j 0 ) . If the next bit is a one (indicated by a solid line), the state changes to 0 + 2 π 5 = 2 π 5 . On the other hand, if the next bit is a zero, (indicated by a dashed line), the state changes to 0 2 π 5 = 2 π 5 = 8 π 5 . This trend continues deep into the trellis. Consequently, we can trace a particular path based on the data sequence, as has also been shown in Figure 4.
Figure 4. The Viterbi decoder for a typical example with h = 2 / 5 . Bit 1 is indicated by solid lines while bit 0 is indicated by broken lines. The bit sequence 10011 is shown using red colored lines. The outputs of the CPM mapper are shown using the complex numbers under d k , m .
VD computes the distance between the incoming signal and all trellis routes entering each state at a given moment i . The paths that are most likely not the candidates for maximum likelihood are then eliminated. The “surviving path” is the path that is chosen when two paths enter the same state; it is the path with the best metric. Similar surviving paths are chosen for all the states. By carrying on in the same way, VD moves further into the trellis and decisions are determined by eliminating the least likely paths [44]. Despite not being maximum likelihood in the strictest sense, these decisions can be almost as excellent as in the maximum likelihood case if the decision depth is sufficient [45].
In the following, we demonstrate the method to compute the distance between the received bit sequence and the possibly received sequences. At the output of FFT, d ^ k , m denotes the received complex numbers at subcarrier k . Additionally, let a typical complex number from the received sequence be represented as
d ^ k , m = u ^ k , m + j v ^ k , m
Let a typical complex number from the transmitted sequence be
d k , m = u k , m + j v k , m
In the above equation, real parts are u ^ k and u k for the received and transmitted complex numbers, respectively. Similarly, the imaginary parts are v ^ k and v k for the received and transmitted complex numbers, respectively. Using s k , m to denote the square of the distance between two complex numbers, s k , m can be computed as
s k , m = ( u k , m u ^ k , m ) 2 + ( v k , m v ^ k , m ) 2
These distances are successively updated at each symbol interval. All potential state transitions are also expanded. At the following symbol interval, the path with the highest likelihood is kept while the rest are eliminated. All competitors conclude at the trellis’s most extreme end after tracing the entire signal sequence. As a result, the sequence that is required is the one that is the most likely to occur. VD only records q or 2 q states at each time interval because h is the ratio of p and q , which are relatively prime. The VD provides a judgment on the complete sequence of w symbols at the end of w symbol intervals if w indicates the decision depth in terms of the number of symbols.

3. Numerical Results

In this section, we present the numerical results on the bit error rate (BER) performance of the proposed CPM-GFDM system for various values of h . Our simulations are based on the Matlab code available on the Vodafone Chair website [46]. We consider two channels, namely the additive white Gaussian noise (AWGN) channel and a frequency-selective channel. Moreover, we compare the performance achieved by the proposed system with PSK-GFDM and QAM-GFDM. The GFDM parameters used for the simulations are listed in Table 1, while the modulation indices ( h ) used for the CPM mapper are shown in Table 2. By changing the numerator p from 1 to 15, we were able to choose the values for the modulation index h . To ensure that p / q remained rational, we varied the denominator q ’s values from 2 to 16. There are 23 different values of h as a result. We concluded that this set of variables is sufficient to assess the performance of CPM-GFDM because any other numbers that are outside of this range do not produce results that are any better than the ones produced by rational values of h . Additionally, using higher p and q numbers would increase the number of points in the constellation, which would result in a complex VD.
Table 1. GFDM Parameters.
Table 2. CPM Modulation Indices.

3.1. Power Spectral Density

One of the main disadvantages of OFDM is its high out-of-band (OOB) radiation, which is mainly due to the rectangular pulse [47,48]. Due to high OOB, the symbols would interact with neighboring channels. As a result, OFDM is not considered suitable for 5G communication. The OOB radiation of the broadcast signal for the 5G base stations must be below the necessary limitations, i.e., −45 dB, to satisfy the spectrum regulatory masks [49]. GFDM is known to have lower OOB radiation as compared to OFDM [40,50,51]. This is mainly due to the fact that a prototype filter that is circularly shifted in both the time and frequency domains shapes the data symbols [49]. Figure 5 shows the power spectral density (PSD) of proposed GFDM and compares it with that of conventional GFDM. It is evident from this figure that the PSD of the proposed GFDM is superior in terms of OOB radiation, as it is lower than that of the conventional GFDM.
Figure 5. Power spectral density of the proposed system compared with that of the conventional system.

3.2. Performance in the AWGN Channel

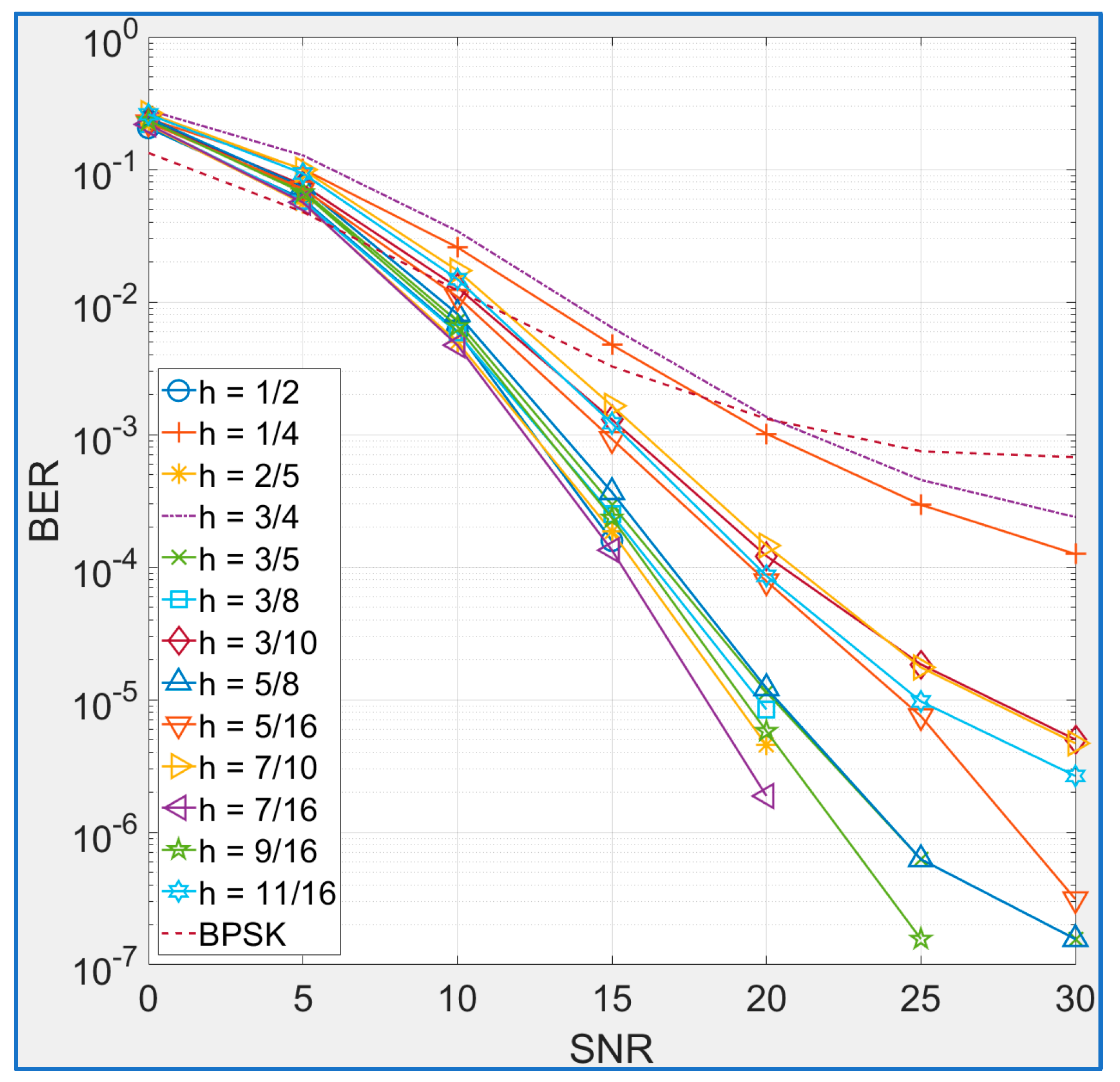
Figure 6, Figure 7, Figure 8, Figure 9, Figure 10 and Figure 11 show the error performance of CPM-GFDM and compare it with that of QAM-GFDM or PSK-GFDM for an AWGN channel. The error performance for a binary system is shown in Figure 6 and Figure 7 when using matched filter receiver and zero forcing receiver, respectively. It is observed that with matched filter receiver, there are several values of h for which the proposed system outperforms the conventional GFDM, with h = 1 / 2 giving the best performance. Table 4 identifies those values of h that outperform conventional GFDM. However, when using zero forcing receiver, there is no value of h that beats the conventional GFDM, the closest being h = 3 / 5 ,   5 / 8 ,   9 / 16 .
Figure 6. BER performance of binary CPM-GFDM vs. BPSK-GFDM for matched filter receiver over AWGN channels.
Figure 7. BER performance of binary CPM-GFDM vs. BPSK-GFDM for zero forcing receiver over AWGN channels.
Figure 8. BER performance of CPM-GFDM vs. QAM-GFDM with J = 4 for matched filter receiver over AWGN channels.
Figure 9. BER performance of CPM-GFDM vs. QAM-GFDM with J = 4 for zero forcing receiver over AWGN channels.
Figure 10. BER performance of CPM-GFDM vs. QAM-GFDM with J = 8 for matched filter receiver over AWGN channels.
Figure 11. BER performance of CPM-GFDM vs. QAM-GFDM with J = 8 for zero forcing receiver over AWGN channels.
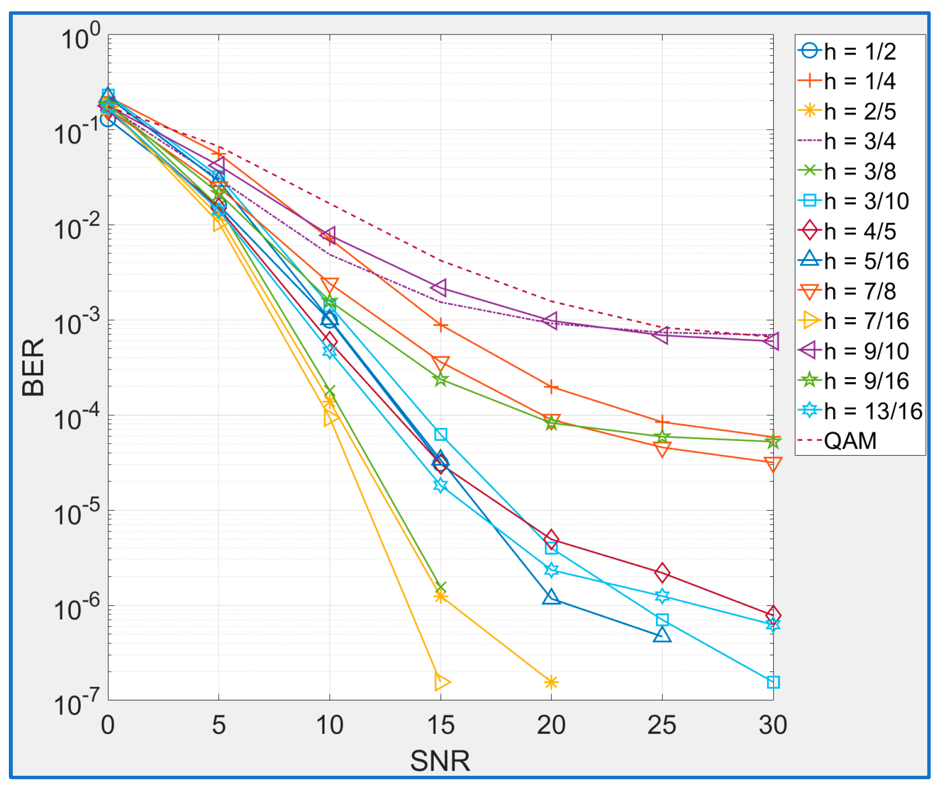
The error performance of CPM-GFDM against QAM-GFDM when using two bits at a time (i.e., J = 4 ) is shown in Figure 8 and Figure 9 for the two receivers. For the case of matched filter receiver, it is observed that there are several values of h for which the error performance of the proposed system is better than QAM-GFDM. The best performance is observed in the case when h = 7 / 16 . The complete list of h values for which the proposed system outperforms QAM-GFDM is given in Table 4. When using a zero-forcing receiver, there is no value of h that performs better than QAM-GFDM. The h values that are close to QAM-GFDM when using zero forcing are 1/4 and 3/10.
Finally, the error performance when using three bits at a time (i.e., J = 8 ) is shown in Figure 10 and Figure 11. It is observed that, in this case, out of 23 values of h there are 17 values that give a performance better than QAM-GFDM when using a matched filter receiver. The best performance is observed in the case when h = 5 / 16 and h = 3 / 10 . Moreover, as Figure 11 shows, the proposed system outperforms the conventional GFDM for 18 values of h , with the best performance observed when h = 5 / 16 ,   3 / 10 .

3.3. Performance in Frequency-Selective Channel

As indicated in Table 3, we have chosen the ITU outdoor channel model A with six taps to produce the multipath components [52].
Table 3. Frequency-Selective Channel.
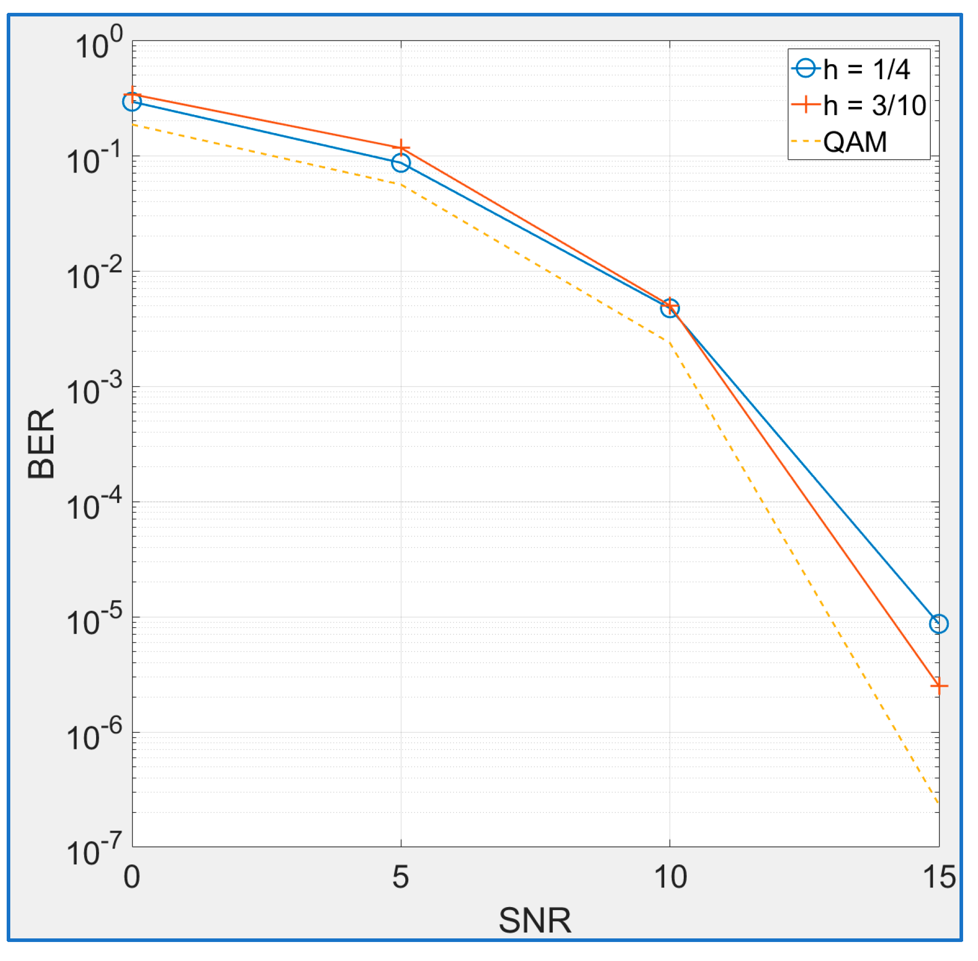
Figure 12, Figure 13, Figure 14, Figure 15, Figure 16 and Figure 17 show the error performance of CPM-GFDM and compare it with that of QAM-GFDM or PSK-GFDM for the frequency-selective channel shown in Table 3. The error performance for a binary system is shown in Figure 12 and Figure 13 when using matched filter receiver and zero forcing receiver, respectively. As was observed over the AWGN channel, in this case, as well, with the matched filter receiver, there are several values of h for which the proposed system outperforms the conventional GFDM. Table 4 identifies those values of h that outperform conventional GFDM. However, unlike the AWGN channel, the best performance is observed when using h = 7 / 16 . When using the zero-forcing receiver, there is no value of h that beats the conventional GFDM, the closest being h = 7 / 16 , as has been shown in Figure 13.
Figure 12. BER performance of binary CPM-GFDM vs. BPSK-GFDM for matched filter receiver over frequency-selective channels.
Figure 13. BER performance of binary CPM-GFDM vs. BPSK-GFDM for zero forcing receiver over frequency-selective channels.
Figure 14. BER performance of CPM-GFDM vs. QAM-GFDM with J = 4 for matched filter receiver over frequency-selective channels.
Figure 15. BER performance of CPM-GFDM v.s QAM-GFDM with J = 4 for zero forcing receiver over frequency-selective channels.
Figure 16. BER performance of CPM-GFDM vs. QAM-GFDM with J = 8 for matched filter receiver over frequency-selective channels.
Figure 17. BER performance of CPM-GFDM vs. QAM-GFDM with J = 8 for zero forcing receiver over frequency-selective channels.
Table 4. Modulation Indices Giving Better Performance Than Conventional GFDM.
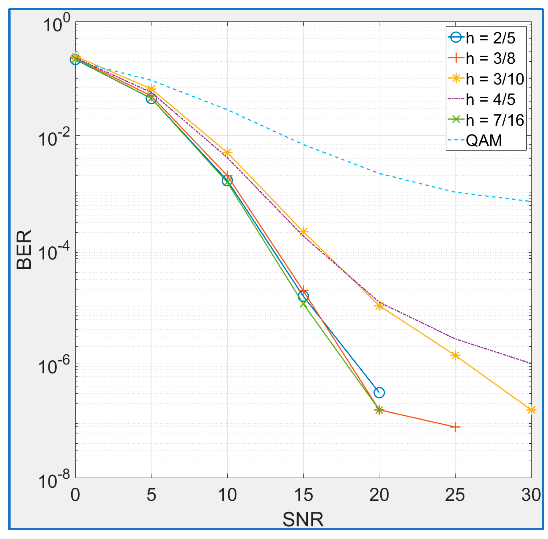
The error performance of CPM-GFDM against QAM-GFDM with J = 4 is shown in Figure 14 and Figure 15 for the two receivers. For the case of the matched filter receiver, there are five values of h for which the error performance of the proposed system is better than QAM-GFDM. The best performance is observed in the case when h = 7 / 16 . The complete list of h values for which the proposed system outperforms QAM-GFDM is given in Table 4. When using a zero-forcing receiver, there are three values of h that perform better than QAM-GFDM. However, at high SNR values, h = 3 / 10 gives the best performance.
Figure 16 and Figure 17 depict the error performance with J = 8 . It is observed that, in this case, there are four values of h that outperform conventional GFDM when using a matched filter receiver. The best performance is observed in the case when h = 5 / 16 and h = 3 / 10 . Furthermore, it is noted in Figure 17 that, when using zero forcing receiver, the proposed system outperforms the conventional GFDM for three values of h , i.e., h = 1 / 4 , h = 3 / 10 and h = 4 / 5 , with the best performance observed in the case of h = 3 / 10 .

4. Discussion

From the results presented in the previous two sections, it is noted that the proposed CPM-GFDM always performs better than conventional GFDM for several values of modulation index h when using a matched filter receiver. In the case of a zero-forcing receiver, only when J = 8 are there modulation indices that perform better than conventional GFDM if the channel is AWGN. When the channel is frequency-selective, the number of h values that outperform conventional GFDM are much less than those for the AWGN channel. However, unlike for the AWGN channel, for J = 4 there are values of h that perform better than conventional GFDM. In the case of the AWGN channel, the best performing modulation indices are 1/2, 3/10 (appearing twice), 5/16 (appearing twice), and 7/16, as is evident from Table 4, while in the case of frequency-selective channels, the best performing modulation indices are 3/10 (appearing thrice), 5/16 and 7/16 (appearing twice), as has been shown in Table 4. Finally, it can be concluded that the proposed CPM-GFDM configuration outperforms conventional GFDM.

5. Conclusions

A novel scheme, CPM-GFDM, has been introduced for frequency-selective wireless channels. In this scheme, the memoryless mapping schemes such as QAM and PSK are replaced with CPM mapping that has memory. At the GFDM receiver, this memory is exploited to improve the error performance of the CPM-GFDM scheme. Using extensive simulations and two types of receivers, i.e., matched filter and zero-forcing, it has been shown that there are several values of the modulation index h for which the proposed CPM-GFDM system outperforms the conventional GFDM system. The performance of the proposed system is particularly better than a conventional scheme when using higher modulation schemes, i.e., when sending two bits or three bits at a time. Hence, the proposed scheme is a strong candidate for high-speed wireless communication.

Funding

The author would like to thank the Deanship of Scientific Research at Umm Al-Qura University for supporting this work by Grant Code: (22UQU4300148DSR02).

Institutional Review Board Statement

Not applicable.

Data Availability Statement

Not applicable.

Acknowledgments

The author would like to thank the Deanship of Scientific Research at Umm Al-Qura University for supporting this work by Grant Code: (22UQU4300148DSR02). The author would also like to thank the College of Computer and Information Systems, Umm Al-Qura University, Makkah, Saudi Arabia.

Conflicts of Interest

The author declares no conflict of interest.

References

  1. Schaich, F.; Wild, T. Waveform Contenders for 5g—OFDM Vs. FBMC Vs. UFMC. In Proceedings of the 2014 6th International Symposium on Communications, Control and Signal Processing (ISCCSP), Athens, Greece, 21–23 May 2014. [Google Scholar]
  2. Bellanger, M.; Le Ruyet, D.; Roviras, D.; Terré, M.; Nossek, J.; Baltar, L.; Bai, Q.; Waldhauser, D.; Renfors, M.; Ihalainen, T. Fbmc Physical Layer: A Primer. PHYDYAS 2010, 25, 7–10. [Google Scholar]
  3. Shawqi, F.S.; Audah, L.; Mostafa, S.A.; Gunasekaran, S.S.; Baz, A.; Hammoodi, A.T.; Alhakami, H.; Hassan, M.H.; Jubair, M.; Alhakami, W. A New SLM-UFMC Model for Universal Filtered Multi-Carrier to Reduce Cubic Metric and Peak to Average Power Ratio in 5g Technology. Symmetry 2020, 12, 909. [Google Scholar] [CrossRef]
  4. Ahmed, M.A.; Baz, A.; Tsimenidis, C.C. Performance Analysis of Noma Systems over Rayleigh Fading Channels with Successive-Interference Cancellation. IET Commun. 2020, 14, 1065–1072. [Google Scholar] [CrossRef]
  5. Saito, Y.; Kishiyama, Y.; Benjebbour, A.; Nakamura, T.; Li, A.; Higuchi, K. Non-Orthogonal Multiple Access (NOMA) for Cellular Future Radio Access. In Proceedings of the 2013 IEEE 77th Vehicular Technology Conference (VTC Spring), Dresden, Germany, 2–5 June 2013. [Google Scholar]
  6. Abdoli, J.; Jia, M.; Ma, J. Filtered OFDM: A New Waveform for Future Wireless Systems. In Proceedings of the 2015 IEEE 16th International Workshop on Signal Processing Advances in Wireless Communications (SPAWC), Stockholm, Sweden, 28 June–1 July 2015. [Google Scholar]
  7. Fettweis, G.; Krondorf, M.; Bittner, S. GFDM-Generalized Frequency Division Multiplexing. In Proceedings of the VTC Spring 2009-IEEE 69th Vehicular Technology Conference, Barcelona, Spain, 26–29 April 2009. [Google Scholar]
  8. Li, Y.; Niu, K.; Dong, C. Polar-Coded GFDM Systems. IEEE Access 2019, 7, 149299–149307. [Google Scholar] [CrossRef]
  9. Ahamad, R.Z.; Javed, A.R.; Mehmood, S.; Khan, M.Z.; Noorwali, A.; Rizwan, M. Interference Mitigation in D2D Communication Underlying Cellular Networks: Towards Green Energy. CMC-Comput. Mater. Contin. 2021, 68, 45–58. [Google Scholar] [CrossRef]
  10. Zhong, J.; Chen, G.; Mao, J.; Dang, S.; Xiao, P. Iterative Frequency Domain Equalization for MIMO-GFDM Systems. IEEE Access 2018, 6, 19386–19395. [Google Scholar] [CrossRef]
  11. Matthé, M.; Mendes, L.; Gaspar, I.; Michailow, N.; Zhang, D.; Fettweis, G. Precoded GFDM Transceiver with Low Complexity Time Domain Processing. EURASIP J. Wirel. Commun. Netw. 2016, 2016, 1–9. [Google Scholar] [CrossRef]
  12. Michailow, N.; Mendes, L.; Matthé, M.; Gaspar, I.; Festag, A.; Fettweis, G. Robust WHT- GFDM for the Next Generation of Wireless Networks. IEEE Commun. Lett. 2014, 19, 106–109. [Google Scholar] [CrossRef]
  13. Farhang, A.; Marchetti, N.; Doyle, L.E. Low-Complexity Modem Design for GFDM. IEEE Trans. Signal Process. 2015, 64, 1507–1518. [Google Scholar] [CrossRef]
  14. Gaspar, I.; Michailow, N.; Navarro, A.; Ohlmer, E.; Krone, S.; Fettweis, G. Low Complexity GFDM Receiver Based on Sparse Frequency Domain Processing. In Proceedings of the 2013 IEEE 77th Vehicular Technology Conference (VTC Spring), Dresden, Germany, 2–5 June 2013. [Google Scholar]
  15. Datta, R.; Michailow, N.; Lentmaier, M.; Fettweis, G. GFDM Interference Cancellation for Flexible Cognitive Radio Phy Design. In Proceedings of the 2012 IEEE Vehicular Technology Conference (VTC Fall), Quebec City, QC, Canada, 3–6 September 2012. [Google Scholar]
  16. Chen, P.-C.; Su, B.; Huang, Y. Matrix Characterization for GFDM: Low Complexity Mmse Receivers and Optimal Filters. IEEE Trans. Signal Process. 2017, 65, 4940–4955. [Google Scholar] [CrossRef]
  17. Matthé, M.; Zhang, D.; Fettweis, G. Low-Complexity Iterative MMSE-Pic Detection for MIMO- GFDM. IEEE Trans. Commun. 2017, 66, 1467–1480. [Google Scholar] [CrossRef]
  18. Maraş, M.; Ayvaz, E.N.; Gömeç, M.; Savaşcıhabeş, A.; Özen, A. A Novel GFDM Waveform Design Based on Cascaded WHT-LWT Transform for the Beyond 5g Wireless Communications. Sensors 2021, 21, 1831. [Google Scholar] [CrossRef] [PubMed]
  19. Wang, Z.; Mei, L.; Sha, X. Ber Analysis for GFDM Systems with Gabor Mmse Receiver. IEEE Commun. Lett. 2018, 22, 2222–2225. [Google Scholar] [CrossRef]
  20. Wang, Z.; Mei, L.; Sha, X.; Leung, V.C.M. Ber Analysis of Wfrft Precoded OFDM and GFDM Waveforms with an Integer Time Offset. IEEE Trans. Veh. Technol. 2018, 67, 9097–9111. [Google Scholar] [CrossRef]
  21. Carrillo, D.; Kumar, S.; Fraidenraich, G.; Mendes, L.L. Bit Error Probability for Mmse Receiver in GFDM Systems. IEEE Commun. Lett. 2018, 22, 942–945. [Google Scholar] [CrossRef]
  22. Wang, Y.; Fortier, P. Performance Analysis of Ldpc Coded GFDM Systems. IET Commun. 2022, 16, 1663–1673. [Google Scholar] [CrossRef]
  23. Wang, H.-F.; Ueng, F.-B.; Chiang, C.-T. High Spectral Efficiency and Low Error Rate MIMO-GFDM for Next-Generation Communication Systems. IEEE Trans. Veh. Technol. 2021, 71, 503–517. [Google Scholar] [CrossRef]
  24. Wang, H.-F.; Ueng, F.-B.; Shen, Y.-S.; Lin, K.-X. Low-Complexity Receivers for Massive MIMO-GFDM Communications. Trans. Emerg. Telecommun. Technol. 2021, 32, e4219. [Google Scholar] [CrossRef]
  25. Wang, H.-F.; Ueng, F.-B.; Sung, Y.-H. Low-Complexity Mu-MIMO-GFDM Joint Receivers. Int. J. Electron. 2022, 110, 1–22. [Google Scholar] [CrossRef]
  26. Wang, Y.; Fortier, P. Polynomial Expansion-Based Mmse Channel Estimation and Precoding for Massive MIMO-GFDM Systems. Wirel. Pers. Commun. 2022, 127, 1–21. [Google Scholar] [CrossRef]
  27. Wang, Y.; Fortier, P. Union Bound on the Bit Error Rate for MIMO-GFDM Systems. Wirel. Pers. Commun. 2022, 123, 1825–1839. [Google Scholar] [CrossRef]
  28. Kassam, J.; Miri, M.; Magueta, R.; Castanheira, D.; Pedrosa, P.; Silva, A.; Dinis, R.; Gameiro, A. Two-Step Multiuser Equalization for Hybrid mmwave Massive MIMO GFDM Systems. Electronics 2020, 9, 1220. [Google Scholar] [CrossRef]
  29. Li, S.; Zhao, Y.; He, L.; Wu, Z.; Li, Y. Design and Performance Analysis of a GFDM-DCSK Communication System. In Proceedings of the 2016 13th IEEE Annual Consumer Communications & Networking Conference (CCNC), Las Vegas, NV, USA, 9–12 January 2016. [Google Scholar]
  30. Aulin, T.; Sundberg, C.-E. Bounds on the Performance of Binary Cpfsk Type of Signaling with Input Data Symbol Pulse Shaping. In Proceedings of the NTC’78, National Telecommunications Conference, Birmingham, AL, USA, 3–6 December 1978; Volume 1. [Google Scholar]
  31. Aulin, T.; Sundberg, C. Continuous Phase Modulation-Part I: Full Response Signaling. IEEE Trans. Commun. 1981, 29, 196–209. [Google Scholar] [CrossRef]
  32. Aulin, T.; Rydbeck, N.; Sundberg, C.-E. Continuous Phase Modulation-Part II: Partial Response Signaling. IEEE Trans. Commun. 1981, 29, 210–225. [Google Scholar] [CrossRef]
  33. Sun, Y. Optimal Parameter Design of Continuous Phase Modulation for Future Gnss Signals. IEEE Access 2021, 9, 58487–58502. [Google Scholar] [CrossRef]
  34. Imran, M.; Rashid, M.; Jafri, A.R.; Najam-ul-Islam, M. Acryp-Proc: Flexible Asymmetric Crypto Processor for Point Multiplication. IEEE Access 2018, 6, 22778–22793. [Google Scholar] [CrossRef]
  35. Rashid, M.; Imran, M.; Jafri, A.R.; Al-Somani, T.F. Flexible Architectures for Cryptographic Algorithms—A Systematic Literature Review. J. Circuits Syst. Comput. 2019, 28, 1930003. [Google Scholar] [CrossRef]
  36. Alves, B.M.; Mendes, L.L.; Guimaraes, D.A.; Gaspar, I.S. Performance of GFDM over Frequency-Selective Channels. In Proceedings of the International Workshop on Telecommunications, Santa Rita do Sapuca, Brazil, 2–4 July 2013. [Google Scholar]
  37. Proakis, J.G.; Salehi, M. Digital Communications; McGraw-Hill: New York, NY, USA, 2008. [Google Scholar]
  38. Tasadduq, I.A.; Rao, R.K. OFDM-CPM Signals. Electron. Lett. 2002, 38, 80–81. [Google Scholar] [CrossRef]
  39. Anderson, J.B.; Aulin, T. Digital Phase Modulation; Plenum: New York, NY, USA, 1986. [Google Scholar]
  40. Matthe, M.; Michailow, N.; Gaspar, I.; Fettweis, G. Influence of Pulse Shaping on Bit Error Rate Performance and out of Band Radiation of Generalized Frequency Division Multiplexing. In Proceedings of the 2014 IEEE International Conference on Communications Workshops (ICC), Sydney, Australia, 10–14 June 2014. [Google Scholar]
  41. Das, S.S.; Tiwari, S. Discrete Fourier Transform Spreading-Based Generalised Frequency Division Multiplexing. Electron. Lett. 2015, 51, 789–791. [Google Scholar] [CrossRef]
  42. Michailow, N.; Matthe, M.; Gaspar, I.S.; Caldevilla, A.N.; Mendes, L.L.; Festag, A.; Fettweis, G. Generalized Frequency Division Multiplexing for 5th Generation Cellular Networks. IEEE Trans. Commun. 2014, 62, 3045–3061. [Google Scholar] [CrossRef]
  43. Tasadduq, I.A.; Rao, R.K. OFDM-CPM Signals for Wireless Communications. Can. J. Electr. Comput. Eng. 2003, 28, 19–25. [Google Scholar] [CrossRef]
  44. Sklar, B. Digital Communications: Fundamentals and Applications, 2nd ed.; Prentice-Hall: Englewood Cliffs, NJ, USA, 2001. [Google Scholar]
  45. Haykin, S. Communication Systems; John Wiley & Sons: Hoboken, NJ, USA, 2008. [Google Scholar]
  46. Vodafone Chair Mobile Communications Systems—Testbed. Available online: http://owl.ifn.et.tu-dresden.de/GFDM/ (accessed on 3 January 2023).
  47. Üçüncü, A.B.; Yilmazx, A.Ö. Out-of-Band Radiation Comparison of GFDM, WCP-COQAM and OFDM at Equal Spectral Efficiency. arXiv 2015, arXiv:1510.01201. [Google Scholar]
  48. Behrouz, F.-B. OFDM Versus Filter Bank Multicarrier. IEEE Signal Process. Mag. 2011, 28, 92–112. [Google Scholar]
  49. Sim, Z.A.; Juwono, F.H.; Reine, R.; Zang, Z.; Gopal, L. Performance of GFDM Systems Using Quadratic Programming Pulse Shaping Filter Design. IEEE Access 2020, 8, 37134–37146. [Google Scholar] [CrossRef]
  50. Michailow, N.; Datta, R.; Krone, S.; Lentmaier, M.; Fettweis, G. Generalized Frequency Division Multiplexing: A Flexible Multi-Carrier Modulation Scheme for 5th Generation Cellular Networks. In Proceedings of the German Microwave Conference (GeMiC), Ilmenau, Germany, 12–14 March 2012. [Google Scholar]
  51. Murad, M.; Tasadduq, I.A.; Otero, P. Towards Multicarrier Waveforms Beyond OFDM: Performance Analysis of GFDM Modulation for Underwater Acoustic Channels. IEEE Access 2020, 8, 222782–222799. [Google Scholar] [CrossRef]
  52. Li, W.; Lilleberg, J.; Rikkinen, K. On Rate Region Analysis of Half-and Full-Duplex OFDM Communication Links. IEEE J. Sel. Areas Commun. 2014, 32, 1688–1698. [Google Scholar] [CrossRef]
Disclaimer/Publisher’s Note: The statements, opinions and data contained in all publications are solely those of the individual author(s) and contributor(s) and not of MDPI and/or the editor(s). MDPI and/or the editor(s) disclaim responsibility for any injury to people or property resulting from any ideas, methods, instructions or products referred to in the content.

Article Metrics

Citations

Article Access Statistics

Multiple requests from the same IP address are counted as one view.