Abstract
In the last three decades, benthic foraminiferal ecology has been intensively investigated to improve the potential application of these marine organisms as proxies of the effects of climate change and other global change phenomena. It is still challenging to define the most important factors affecting foraminiferal communities and derived faunistic parameters. In this study, we examined the abiotic-biotic relationships of foraminiferal communities in the central-southern area of the Adriatic Sea using modern machine learning techniques. We combined gradient forest (Gf) and structural equation modeling (SEM) to test hypotheses about determinants of benthic foraminiferal assemblages. These approaches helped determine the relative effect of sizes of different environmental variables responsible for shaping living foraminiferal distributions. Four major faunal turnovers (at 13–28 m, 29–58 m, 59–215 m, and >215 m) were identified along a large bathymetric gradient (13–703 m water depth) that reflected the classical bathymetric distribution of benthic communities. Sand and organic matter (OM) contents were identified as the most relevant factors influencing the distribution of foraminifera either along the entire depth gradient or at selected bathymetric ranges. The SEM supported causal hypotheses that focused the factors that shaped assemblages at each bathymetric range, and the most notable causal relationships were direct effects of depth and indirect effects of the Gf-identified environmental parameters (i.e., sand, pollution load Index–PLI, organic matter–OM and total nitrogen–N) on foraminifera infauna and diversity. These results are relevant to understanding the basic ecology and conservation of foraminiferal communities.
1. Introduction
Benthic foraminifera are protozoa, widely occurring in both marine and transitional marine ecosystems, including lagoons, coastal lakes, and estuaries. These organisms have been traditionally used by geologists for paleoenvironmental reconstruction because of their fossilizable shells (i.e., tests), and they have been more recently used for defining biotopes [1] and as bioindicators [2,3,4,5,6], particularly for Ecological Quality Status (EcoQS) assessment [7,8,9,10]. The paleoenvironment and biomonitoring focus has obscured questions about how foraminifera communities are dependent on specific environmental pressures, their complex interplay (i.e., additive, synergistic, and antagonistic relationships), and the effect of sizes of these different determinants [11,12]. Indeed, the determination of thresholds over which an environmental parameter or a set of them significantly elicits variation in the abundance of a foraminiferal species or an assemblage index is needed for effective EcoQS assessment [13]. Another shortcoming of the existing literature is that most of the benthic foraminiferal investigations have focused on limited areas (e.g., a specific estuary, lagoon or coastal area) and barely cover regional or basinal areas [14,15,16]. Multiple abiotic factors, including grain-size and type of substrates, nutrients (i.e., quantity and quality of organic matter, OM), physio-chemical and biological disturbance (e.g., sub-areal exposition, pollution, bioturbations) contribute to the distribution of benthic foraminifera [17,18,19,20,21]. For instance, sediment composition was found to be a determinant in different environmental settings [22,23] such that a coarsening in the grain-size corresponds to a decrease of foraminiferal densities until a certain threshold where no more living foraminifera are found [24,25]. Usually, a significant increase in OM is associated with a lowering in foraminiferal diversity, but foraminiferal species do not identically respond to OM enrichment; some foraminiferal species can even benefit from these organic-rich substrates [26,27]. The same observations can be made for other factors that affect marine diversity, such as pollution and salinity. Understanding these assemblages revolves around the concept of niche and the relationship between optimal and limiting factors, and there is a great deal that is still known about these factors for global assemblages of foraminifera [28]. Although we can identify patterns of distribution along broad environmental gradients, in most cases, it is challenging to rank important factors shaping foraminiferal communities and to estimate the effect sizes of these relationships. Therefore, there is a need to develop new approaches to improve our present state of knowledge on foraminiferal ecology, especially given the fact that applied statistics has experienced great advances in handling larger amounts of data and in testing for complex causal relationships.
The development of machine learning approaches, an extension of generalized linear models from classic statistics, have provided important tools to community ecologists. Machine learning methods focus on predictions as opposed to parameter estimates, and the focus is on specific dataset-driven predictions rather than mechanism or previously collected data [29]. Gradient forest (Gf) is a machine learning method that ranks predictors of nonlinear responses, such as the response of biotic communities to environmental variables, and it can include matrices of both predictor and response variables [30]. The advantages of Gf models are that they are assumption free, there is high accuracy with checks on overfitting, pre-processing requirements are trivial, transformations are unnecessary, and clear ranks of variable importance are output [31,32]. Structural equation modeling (SEM) is a robust extension to path analysis that includes latent variables or statistical comparisons of different path models and has been used with increasing frequency in ecological studies [33]. These models allow for tests of a priori causal hypotheses, relationships among latent and measured variables, and for statistical comparisons of various causal hypotheses. Statistical learning approaches are not often combined with traditional statistics focused on mechanisms or causality, such as SEM, but the fact that these approaches are complementary, with one focused on prediction and the other on mechanisms and causal relationships makes them ideal for combining to test hypotheses in community ecology [29]. The alternative to such an approach would be to include latent variables in the SEM models (or to precede the models with factor analysis and include factors), but those approaches yield less interpretable patterns and assume that measured variables are proxies for something that is unmeasurable. In addition, the advantage of SEM is that it is accompanied by path diagrams that allow for clear visualization of multiple variables, causal relationships, and correlations among the variables in a graphic model.
Over the last 40 years, foraminiferal distribution and ecology from the Adriatic Sea have been studied from transitional areas to more open water [34]. For this reason, the area was regarded as optimal for examining the best predictors of community assemblages and testing causal hypotheses using machine learning techniques and SEM with data collected at a regional scale. The main aims of this investigation are: (1) to detect which among the measured environmental parameters contribute the most to determining the composition of benthic foraminiferal communities in the central-southern part of the Adriatic Sea, and (2) to disentangle the direct and indirect effects of multiple environmental variables in forming these communities. These goals were achieved by combining machine learning with classic statistical models to analyse data generated from extensive sampling in the central-southern Adriatic Sea.
2. Study Area
The Adriatic Sea is a mostly shallow semi-enclosed basin connected to the Mediterranean Sea (Figure 1) and is commonly divided into three sectors (i.e., northern, central and southern). The northernmost sector is very shallow (i.e., 100 m). The central part of the Adriatic Sea represents the transition zone between the northern shallower and the southern deeper sub-basins and is limited by the 100 m isobath to the north and the Palagrüza (Pelagosa) sill to the south. In this sector, a depression, the Mid Adriatic Depression (MAD), is present and subdivides the basins into three adjacent sub-basins. The western pit has a depth of ca. 255 m, whereas the central and eastern pits are ca. 270 m and 240 m deep, respectively [35]. The southern sector, between the Palagruža sill and the Otranto Strati, presents a wide depression, the Southern Adriatic Depression (SAD, >1200 m).
Figure 1.
Bathymetric map of the Adriatic Sea showing the general circulation (from Spagnoli et al. [35]). Western Adriatic Current (WAC), Eastern Adriatic Current (EAC), North Adriatic Gyre (NAdG), Mid Adriatic Gyre (MAdG), South Adriatic Gyre (SAdG), Adriatic Dense Water (AdDW) North Adriatic AdW (NAdDW), Levantine Intermediate Water (LIW), Adriatic-Ionian bimodal oscillating system (BIOS).
The circulation of the Northern and Central Adriatic Sea (Figure 1) is represented by anticlockwise currents parallel to the coasts in winter [36], whereas in summer, the hydrodynamic pattern slows down and involves clockwise and counter-clockwise gyres. The circulation is also influenced by dense waters forming in the northern part of the Adriatic Sea that reach the MAD and partly flow further south [37].
The main circulation pattern in the Adriatic Sea is represented by the inflow of Mediterranean Sea waters along the eastern part of the Otranto Strait and the outflow across the western side of it [38]. During summer, the riverine waters and the associated fine sediments predominantly flow in the centre of the basin, which are instead limited near the coast in winter [39]. Strong winter and autumn storms occur in the northern and central Adriatic Sea, causing a marked bottom sediment resuspension up to a sediment thickness of 5–10 cm [40]. Overall, the current and wave actions control the distribution of sediments to the south and, partly, in the open sea [41].
The principal inputs of sediment are placed along the western side of the Adriatic Sea, which is primarily due to the Po River [42,43,44], and secondarily, by the Italian rivers.
The changes in sea-level in the recent past have markedly shaped the present bottom sea in the northern and central sectors of the Adriatic Sea as well as the shelves in the southern one. The last fast transgression formed an accretionary sedimentary wedge parallel to the Italian coastline over an erosional unconformity [45,46,47,48]. The thickness of the pelitic wedge reduces in the centre of the basin between the MAD and the Italian coast [49]. The bottom is marked by a belt of coastal sands and by a finer grain size area and again by coarser sediments offshore in the southern sector [47]. The grain size of sediment is silt and clay in the SAD.
3. Materials and Methods
3.1. Sample Collection
In total, 107 sediment samples were collected between the Ancona Harbor and Marina di Leuca Harbor from 13 to 703 m water depth (Figure 2) during the sampling PERTRE cruise organized by the Institute of Marine Sciences–National Research Council from 16 September to 4 October 2016. Sampling sites were placed along perpendicular transects to the coast at a with about 35—40 km between them, and their position was determined with Global Position System. Sediment was sampled by a box corer (Figure 2). Once retrieved, the box-cores were photographed and described, and the surface sediment (0–2 cm) was sampled for in situ measurement of pH and of the redox potential (Eh) with a Crison 570 multi-parametric probe. Sediment samples were sub-sampled, stored in polyethylene jars, and preserved in cold storage at +4 °C for the grain size. Additionally, an aliquot of sediments was stored in the freezer (−20 °C) for geochemistry, and another one (50 mL) was stored at room temperature for benthic foraminiferal analysis.
Figure 2.
Location of the study area along with sampling stations in the central-southern Adriatic Sea. Supplementary [S], Bis [b].
3.2. Grain-Size and Geochemical Analyses
The analyses of grain-size were based on diffraction and diffusion on suspended particles (Malvern Mastersizer 2000, red He-Ne laser, 632 and 466 nm wavelength) [50,51]. Results were organized as three descriptive groups: clay, silt, and sand.
Sediments were analysed for Total organic carbon (OC), total nitrogen (N), and total sulphur (S) contents using a FlashEA 1112 Elemental Analyser (Thermo) equipped with an autosampler. The analyses were carried out on 1.5 to 2 mg of finely dried and crushed sediment to which was added ca. 5 mg of vanadium pentoxide. The OC content was then computed by subtracting mineral carbonate (i.e., carbonate carbon) from the total carbon (TC). Carbon from calcium carbonate content was determined using a Bernard calcimeter. Measurements were performed in triplicate at each station. Trace element analyses were performed by X-ray fluorescence (XRF) spectrometry (Philips PW1480 spectrometer). Major elements were determined on fused glass disks. Trace elements were analysed following the methods of Leoni et al. [52]. Accuracy was tested by analysing international reference standards. The loss on ignition (LOI) content was determined gravimetrically after overnight heating at 950 °C. The quantity of OM was based on OC contents, and the quality was estimated from the OC/N ratio. The OC/S was used to estimate the redox state of the sediments. The Pollution Load Index (PLI) of Tomlinson et al. [53] was calculated and applied for assessing the level of contamination. The PLI was estimated according to the equation: PLI = , where CF is the concentration factor of selected analyzed trace elements, and n is the number of trace elements considered in the study. The concentration factor is determined as follows: CF = , where is the element concentration in the analyzed sample and is the background concentration of the element. In this study, the background values of Surricchio et al. [54] were used.
3.3. Benthic Foraminifera
The sediment for foraminiferal samples was immediately stained with rose Bengal dye solution (2 g of rose Bengal in 1000 mL of 90% ethanol) to identify living (stained)specimens. A quantitative analysis of the only living benthic foraminifera was performed on >63 µm fraction. The benthic foraminifera were taxonomically identified following Loeblich and Tappan [55], Jorissen [34], Cimerman and Langer [56], and Fiorini and Vaiani [57]. Out of 107 sampled sites, two (i.e., 13 and 28) were not sampled for foraminifera. The identified species were classified according to their microhabitat based on Murray [11]. The percentage of epifaunal and infaunal species was determined, and Hill diversity was calculated as the exponential of Shannon diversity.
3.4. Data Visualization and Analysis
Stations with less than 15 living benthic foraminiferal specimens were removed for the Gf analysis because a minimal number of abundances can create bias in the models. The following environmental variables, namely, sand, mud (silt+ clay), pH, Eh, N, OC, OC/N, and PLI were considered for this study. These are among the most used variables in ecological investigations on foraminifera. We used a correlation heatmap to discover the Pearson correlation coefficient between all the independent variables in our dataset (Figure 3). Here, the heatmap shows that a couple of the independent variables are highly correlated (Pearson coefficient > 0.7) with each other; therefore, we ascertain the presence of multi-collinearity in the data. Multi-collinearity (the existence of a linear relationship between independent variables) might bias the ability of our models and cause problems when we fit the model and interpret the results. For this reason, we carried out a Principal Component Analysis (PCA) to measure the severe multi-collinearity and to remove highly correlated independent variables from further analyses. A PCA takes advantage of multi-collinearity and integrates the positively correlated variables into a set of uncorrelated variables. Therefore, a PCA can effectively annihilate multi-collinearity between independent variables. Based on our PCA result (Figure S1), we removed pH, OC/N, mud and retained sand, Eh, N, OC, and PLI for creating the Gf analysis.
Figure 3.
Correlation matrix of environmental variables. Total nitrogen [N], Pollution Load Index [PLI], Total Organic Carbon [OC], Total Organic Carbon/Total Nitrogen [OCN].
3.4.1. Gradient Forest
The Gf, as an extension of the Random Forest [32] and an ensemble machine learning approach, has been applied to unravel the non-linear changes of benthic foraminiferal species in relation to environmental gradients. This algorithm use bootstrap aggregating and random subspace approaches to create a set of decision trees. Based on this approach, the importance of each parameter was evaluated to define the ranking value among the variables for each species [58]. The performance of the Gf model was computed using the proportion of out-of-bag data and weighting that variance on all benthic foraminifera species. The advantage of this approach compared to other models is that it can handle a high number of interactions among different independent variables, and multi-collinearity is not an issue [32,58]. The Gf analyses were completed using R software (4.2.0) with two packages: “extendedForest” and “gradientForest” and 2000 trees. The cumulative split importance in the Gf modelling approach is used to define the pattern and magnitude of cumulative variations in benthic foraminifera assemblages along a depth gradient (Figure 4). In this nonlinear curve, abrupt changes in slope are related to high rates of variations in species composition, whereas superficial slopes suggest low ones. The steep parts of the curve suggest rapid turnover in the benthic foraminifera assemblages and based on these rapid changes, we divide the basin into the four depth intervals (i.e., 13–28 m, 29–58 m, 59–215 m, and >215 m) (Figure 4). A Gf model was built for each interval and the three most relevant variables influencing the benthic foraminiferal distribution were used to create the SEM models for each depth interval.
Figure 4.
Gradient forest model over benthic foraminiferal assemblages. Dashed lines reflect major foraminiferal turnover.
3.4.2. Structural Equation Models
Structural Equation Models (SEM) were used to test specific causal hypotheses to evaluate the influence of the three most important environmental variables (determined by Gf) on diversity indices (i.e., Hill) and microhabitat (i.e., infauna). SEM are probabilistic models that generate variance-covariance matrices that can be compared with the original data variance-covariance matrices. This approach helps to identify direct and indirect associations between multiple independent and dependent variable in a single model and can compare causal hypotheses with unresolved correlational structures. A strength of SEM over other approaches to multiple regression is that different causal pathways, including indirect effects, can be compared directly, and endogenous variables can be both predictive and dependent on exogenous variables. It is one of the best developed statistical methods for testing causal hypotheses [33,59,60]. We used a Lavaan package in R (version 4.2.0) to test SEM models [61]; model fits were based on the comparative fit index (CFI) and the root mean square error of approximation (RMSEA); models were compared using Akaike information criteria (AIC) and Bayesian information criteria (BIC) (Table S1).
4. Results
4.1. Grain-Size, Organic Matter, and Geochemistry
The pH ranged between 5.74 and 7.80, with a mean value of 7.42 ± 0.77 (Table S2). The pH clearly shows a North-South and a West-East gradient towards lower values; accordingly, the highest values occurred in the northern part of the study areas and at the shallower stations (Figure 5). The redox potential (Eh) measured in the sediment samples varied between −243 to 273 mV (Table S2). The sediments were mostly composed of silt that accounted for 79.5 ± 20.5%. Sand content varied between 0.2 to 89.1%, with the highest values nearby the coast in the northern and southernmost parts of the study area and in two deeper areas (Figure 5). The OC (0.61 ± 0.28%) ranged from 0.004 to 1.31% and showed the highest value in the northern part of the study area at the farthest stations from the coast where the sediments were finer (Figure 5). On the other hand, the lowest OC values were found in the relict sand area and South of the Gargano promontory. The OC/N and OC/S ranged from 0.17 to 74.3 and from 0.04 to 44.4, respectively (Figure 5). The PLI (1.12 ± 0.25) varied from 0.44 to 1.63 with the highest values associated with finer grained sediments (i.e., silt and clay) (Figure 5).
Figure 5.
Interpolation map of the environmental variables (i.e., pH, Eh, Total Nitrogen [N], clay, silt, sand, Total Organic Carbon [OC], Total Organic Carbon/Total Nitrogen [OC/N], Total Organic Carbon/total Sulphur [OC/S] and Pollution Load Index [PLI]) in the central-southern Adriatic Sea.
4.2. Benthic Foraminifera
Seven species (33a, S17, S30, S36, S44, S61B and S92) exhibited a low number of specimens and were, therefore, not used for the statistical analysis. Overall, a total of 109 benthic foraminiferal species were recognized. The assemblages were dominated by hyaline (69.1 ± 19.7%) forms, followed by porcelaneous (22.2 ± 20.4%) and agglutinated (8.7 ± 7.1%) wall-type forms (Figure 6) (Table S3). Infaunal groups represented 62.8 ± 23.1% of the assemblages with a clear West-East gradient. Higher percentages of infauna were recorded around the Gargano promontory and at the shallowest stations in the southern part of the investigated area (Figure 6). The Hill varied from 0.83 to 3.48 (2.56 ± 0.6), whereas Fischer α index ranged from 0.91 to 36.13 (12.21 ± 6.12). Both these diversity indices exhibited the lowest values at the shallow stations (i.e., close to the coast) in the northern and central parts of the study area (Figure 6). The most abundant taxa were Uvigerina mediterranensis (11.5 ± 13%), Ammonia parkinsoniana (7.7 ± 16.4%), Bulimina elongata (5.7 ± 11.4%), Bulimina marginata (5.2 ± 8.4%), Cassidulina carinata (5.1 ± 6.0%), and Bolivina spathulata (4.2 ± 5.5%).
Figure 6.
Interpolation map of selected foraminiferal assemblages’ parameters and indices in the central-southern Adriatic Sea.
4.3. Models
The Gf modelling revealed cumulative changes in the assemblages of benthic foraminifera, resulting in the identification of four depth intervals (i.e., 13–28 m, 29–58, 59–215, and >215 m) (Figure 4). Unfortunately, the intervals 29–58 m and deeper than 215 m were characterized by very few samples (i.e., 10 and 8, respectively) and were therefore not used for further analyses (i.e., Gf and SEM).
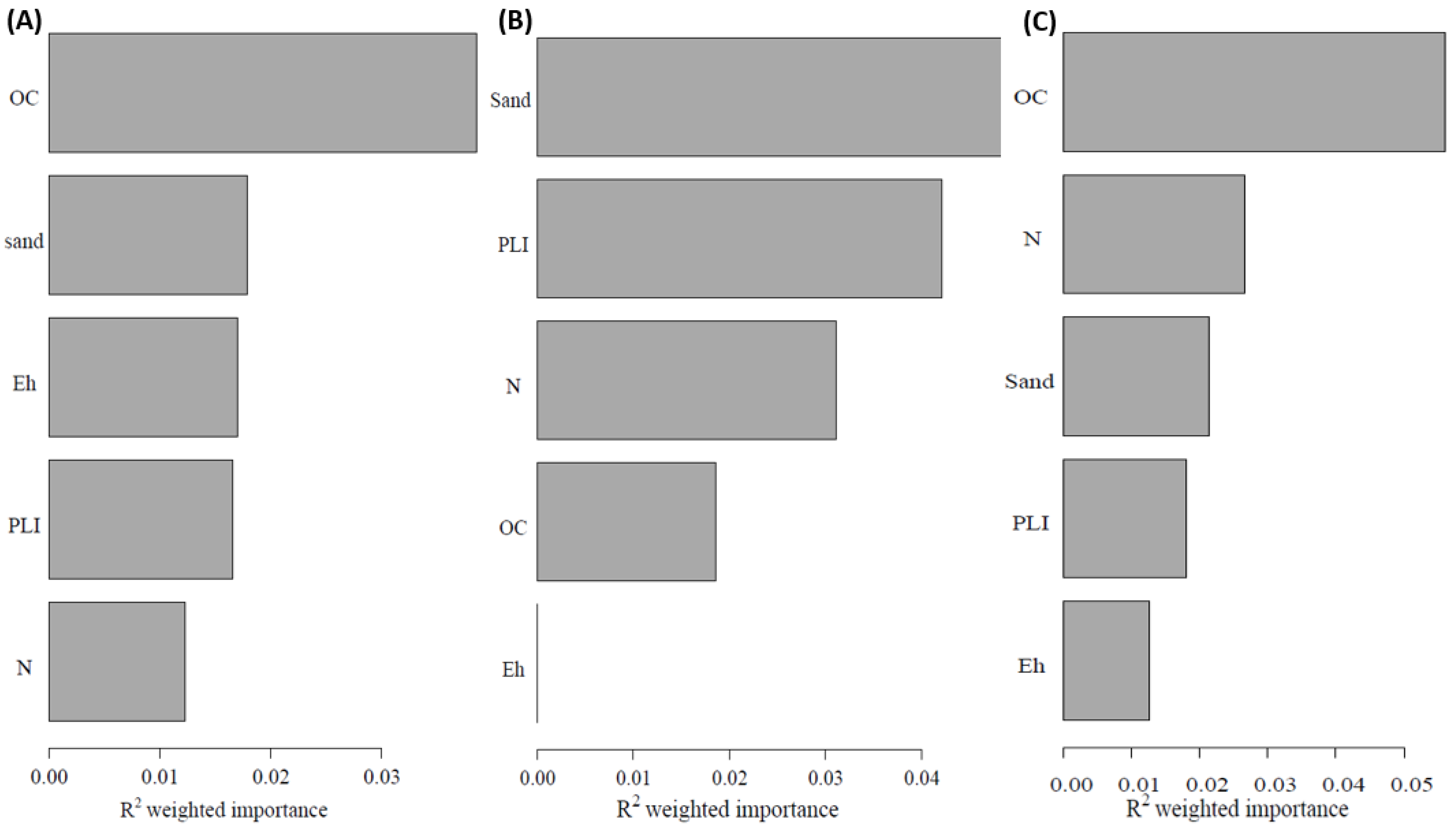
The most important environmental variable in determining compositional changes of the benthic foraminiferal community along the entire bathymetric gradient was OC (R2 weighted importance >0.035). Other environmental parameters, namely, sand, PLI, Eh, and N had intermediate (R2 weighted importance range between 0.01 and 0.02) effects on changes in assemblages (Figure 7A). A Gf model was also analysed for two identified depth intervals, namely, 13–28 m and 59–215 m (Figure 7B,C). Sand was the most important variable, followed by PLI, N, and OC at the 13–28 m depth interval (Figure 7B). At deeper intervals (i.e., 59–215 m), OC played a major role in shaping the benthic foraminiferal assemblages, followed by N and sand (Figure 7C).
Figure 7.
Relative contribution of environmental variables in shaping the benthic foraminiferal assemblages along three depth ranges (A) 13–703 m, (B) 13–28 m, and (C) 59–215 m. Total nitrogen [N], Pollution Load Index [PLI], Total organic carbon [OC].
We also used the SEM approach to investigate the specific a priori causal hypotheses and direct and indirect relationships to estimate the effect of the three most important environmental parameters for the overall bathymetric gradient and for each depth interval resulting from the Gf on different diversity index (i.e., Hill) and lifestyle (i.e., infaunal) in benthic foraminifera. Path coefficients from SEM indicated a minor effect of depth on OC, sand, and PLI when the entire bathymetric range is considered (Figure 8A), with a negative (standardized path coefficient (SPC) = −0.35) influence on infauna and a positive influence (SPC = 0.16) on Hill. Sand had a direct negative effect (SPC = −0.68) on infauna and a positive one (SPC = 0.51) on Hill (Figure 8A). When the depth interval 13–28 m was considered, depth had strong effects on sand, PLI, and N (Figure 8B), with a positive effect on infauna (SPC = 0.14) and a negative one on Hill (SPC = −0.23). In this interval, infauna is negatively related to sand (SPC = −0.96), PLI (SPC = −0.29), and N (SPC = −0.27). Sand had a direct effect on Hill (SPC = 0.81) and N (SPC = 0.41) (Figure 8B). At deeper stations (i.e., 59–215 m), depth did not seem to affect infauna or Hill (Figure 8C) but had a negative influence on OC (SPC = −0.43) and N (SPC = −0.32). Of these two environmental parameters, only N appears to highly influence both infauna (SPC = 0.66) and Hill (SPC = −0.69) (Figure 8C).
Figure 8.
Performance of structural equation modelling along three depth ranges (A) 13–703 m, (B) 13–28 m and (C) 59–215 m. Total Nitrogen [N], Pollution Load Index [PLI].
5. Discussion
A very limited number of foraminiferal studies has included such a high number of samples, and despite intensive studies in the Adriatic Sea, the only research is likely the comprehensive investigation of Jorissen [34], analysing the distribution of benthic foraminifera in 285 samples. A wide range of environmental factors simultaneously shape foraminiferal assemblages, as functions of Adriatic circulation and hydrodynamics. However, determining the effects and magnitude of those factors is challenging, especially when considering such regional distribution. Nevertheless, we identified depth intervals that reflect rapid foraminiferal assemblage turnovers that are recognized at 28–29 m, 58–59 m, and 215 m water depth intervals. It is worth noting that the 28–29 m and 215 m intervals match well the boundary between the inner to middle neritic (i.e., 30 m) and outer neritic to upper bathyal (i.e., 200 m), respectively. These subdivisions have been widely used for depth reconstructions based on foraminiferal zonation in the Cenozoic [62,63]. On the other hand, the foraminiferal turnover identified at 58–59 m cannot be associated with the middle-outer neritic boundary (i.e., 100 m); this change corresponds to the bathymetric subdivision between infralittoral and circalittoral zones of the neritic Mediterranean zones [64]. This has also been applied for benthic foraminiferal distribution in the Gulf of Naples (Tyrrhenian Sea) [65], where the circalittoral zone is defined as between 40–50 m and 150–200 m. In the wide-ranging overview of foraminiferal distribution in the Adriatic Sea, Jorissen [34] inferred that the most important parameters influencing the distribution of the 50 most abundant foraminiferal species were bathymetry, sand fraction, calcium carbonate, and organic matter. Indeed, the author identified several biofacies units (i.e., 7.5–25 m, 20–100 m, and 50–1225 m) that are not only defined on the bathymetric range but also on sand and organic matter contents. Our Gf model does not exactly identify the same “biofacies” units of Jorissen [34] and this might be ascribed to a different sampling strategy: (a) sampling device (i.e., grab and piston core vs. box-core); (b) assemblages (i.e., total vs. living assemblages); (c) sieve-size (i.e., 150 µm vs. 63 µm) and/or investigated areas: (i) geographical extension (i.e., the entire Adriatic Sea vs. the central-southern part of the western side of the Adriatic Sea); (ii) bathymetric range (i.e., 7.5–1152 m vs. 13–703 m) and/or temporal changes in the benthic environment.
In our study, the factors that most contributed to shaping foraminiferal assemblages across the entire depth gradient were organic matter contents (OC), followed by grain-size (sand) and anthropogenic contaminations (PLI). These variables match well those (organic matter and sand) identified by Jorissen [34]. Interestingly, our Gf models for 13–28 m and 59–215 m bathymetric ranges reveal which factors shape the foraminiferal assemblages. While organic matter (i.e., OC and N) is still the most important factor at greater depths (59–215 m), at shallower depths the grain-size (i.e., sand content) and pollution (i.e., PLI) seem to turn out to be the most important variables.
The interpretations of putative causal relationships between abiotic and biotic variables are quite challenging. For the full depth gradient, abiotic and biotic parameters are scarcely-to-moderately correlated with depth, exhibiting only a direct negative influence on infauna (SPC = −0.35). The percentages of infaunal taxa are expected to decrease in shelf/bathyal areas, where the organic matter supplied to the bottom is limited. These results corroborate the TROX model [26], which suggests a decrease in infaunal percentages in oligotrophic environments, where nutrients are a limiting factor; this is represented by deeper stations in our study system. The TROX model also predicts an increase in infaunal percentages in relation to enhanced food supply at the seafloor and to limited oxygen penetration within it. This pattern is also related to the sediment grain-size (i.e., fine) enriched in OM. This is well supported in our Gf model; in fact, when the entire bathymetric range is considered, the two most important components shaping the foraminiferal assemblages are nutrients (i.e., OC) availability and grain-size (i.e., sand). Based on the SEM model, diversity (Hill) is positively, though weakly, related to depth. Variations in species diversity (i.e., species richness) along bathymetric gradients have been deeply documented in both the eastern and western Mediterranean Sea [66]. These authors revealed an optimum (maximum) in species richness between 200 and 1000 m water depth, followed by a steady decline towards depth. In our record, the increase of diversity at greater depths (SPC = 0.19) matches well their finding only when the entire bathymetric range is considered. This implies that diversity might be affected by spatial heterogeneity of various physicochemical and hydrodynamic parameters, caused by geomorphological differences and relict sedimentary processes.
At the 13–28 m depth interval, depth positively affected infauna (SPC = 0.14) and negatively affected Hill (SPC = −0.24). In this bathymetric range, sand, PLI and N are strongly affected by depth, and sand negatively affects infauna but positively affects diversity. Here, sand content, indicative of stronger hydrodynamics, plays a major role in shaping the benthic foraminiferal assemblages as defined by infauna and diversity. Coarse sediments are commonly well-oxygenated and exhibit a lower organic matter availability compared to finer ones; shallow water sandy bottoms are frequently unstable moving substrates subject to remobilization by waves and transport by coastal drift currents; these substrates preferentially host epifaunal species. The increase in diversity with sand content could be due to more heterogeneous microhabitats and increased availability of nutrients and oxygen within the sediments. Total nitrogen (N) also contributes to shape the foraminiferal assemblages (i.e., infauna and diversity) but to a lesser extent than sand content.
At the 59–215 m depth interval, depth caused decreases in organic matter (i.e., OC and N). The main food source for benthic organisms is available via the fraction of OC produced in surface water and can effectively reach the seafloor [67,68,69]. The organic matter degrades along the water column; therefore, the greater the distance between the surface and the bottom, the less labile nutrients reach the benthic communities. This explains the negative relation between OC and N with depth. At this bathymetric range, the only factor influencing infauna and diversity is nitrogen. Increases in nitrogen in marine sediment are commonly associated with the presence of phytoplankton with a higher protein content, which is preferentially used by benthic foraminifera as labile organic matter [70].
6. Conclusions
The opportunities offered by combining traditional statistics with machine learning, in this case SEM and gradient forest analyses, have allowed us to identify the most important environmental factors controlling benthic foraminiferal assemblages in the central-southern part of the eastern side of the Adriatic Sea. Using this integrative approach, we identified turnovers at 13–28, 29–58, 59–215, and >215 m depth intervals in the benthic foraminiferal compositions, which are good matches to the classical bathymetric distribution of benthic communities.
Among a large set of environmental variables, sand content and organic matter are the most important determinants of foraminiferal distributions either along the entire depth gradient or at selected bathymetric ranges. These variables are commonly influenced by depth that indirectly shapes foraminiferal assemblages with distinct structural characteristics. The potential applications of merging statistical learning with classical statistical modelling, such as path analysis, are just now being realized and should contribute to basic ecology and environmental monitoring.
Supplementary Materials
The following supporting information can be downloaded at: https://www.mdpi.com/article/10.3390/app13020794/s1. Figure S1. Dimensional reduction with Principal Component Analysis method. Table S1. Structural Equation Modeling results including Comparative Fit Index (CFI), Root Mean Square Error of Approximation (RMSEA), Akaike information criteria (AIC), and Bayesian information criteria (BIC). Table S2. Raw environmental data. Table S3. Raw foraminiferal data.
Author Contributions
Methodology, M.A.R., V.B.-R., M.D., F.F. (Fabrizio Frontalini), F.S., E.A.d.C. and M.T.; Conceptualization, F.F. (Fabrizio Frontalini), M.V.A.M., L.A.D. and R.A.; Software, M.A.R.; Validation, M.A.R., L.A.D. and F.F. (Fabio Francescangeli); Formal Analysis, F.F. (Fabrizio Frontalini), E.A.d.C., F.F. (Fabio Francescangeli); Investigation, F.F. (Fabrizio Frontalini), F.F. (Fabio Francescangeli), V.B.-R., F.S.; Resources, M.A.R., F.F. (Fabrizio Frontalini), E.A.d.C., F.F. (Fabio Francescangeli); Data curation, F.F. (Fabrizio Frontalini), E.A.d.C., F.F. (Fabio Francescangeli), F.S.; Writing—original draft preparation, F.F. (Fabrizio Frontalini), F.F. (Fabio Francescangeli), M.A.R., L.A.D.; Writing—review and editing, M.A.R., F.F. (Fabrizio Frontalini), E.A.d.C., F.F. (Fabio Francescangeli), M.V.A.M., R.D.M., E.D., L.A.D., R.A., V.B.-R., M.D. and F.S.; Visualization, R.D.M., M.A.R., F.F. (Fabrizio Frontalini) and F.F. (Fabio Francescangeli); Supervision, F.F. (Fabrizio Frontalini) F.F. (Fabio Francescangeli) and M.A.R.; Project administration, F.S., F.F. (Fabrizio Frontalini), and F.F. (Fabio Francescangeli); Funding acquisition, F.S. and F.F. (Fabrizio Frontalini). All authors have read and agreed to the published version of the manuscript.
Funding
This research was funded by RSE SpA–Ricerca sul Sistema Elettrico, Milano, Italy, and by the PERSEUS European Project (grant number 287600). MVAM would like to thank the Conselho Nacional de Desenvolvimento Científico e Tecnológico of Brazil, CNPq (processes # 443662/2018-5 and # 302676/20198 to MVAM) and Fundação Carlos Chagas Filho de Amparo à Pesquisa do Estado do Rio de Janeiro, FAPERJ, Brazil, (process: E-26/202.927/2019).
Institutional Review Board Statement
Not applicable.
Informed Consent Statement
Not applicable.
Data Availability Statement
Our data are available in the supplementary section.
Acknowledgments
Fabio Francescangeli was supported by the Alexander von Humboldt Foundation (Ref 3.3–ITA -1203503-HFST-P).
Conflicts of Interest
The authors declare no conflict of interest.
References
- Martins, V.; Isabel, A.; Grangeia, G.; Paula, M.; Nagai, R.; Sousa, S.H.M.; Laut, L.L.M.; Dias, J.M.A.; Ferreira da Silva, E.; Rocha, F. Records of sedimentary dynamics in the continental shelf and upper slope between Aveiro–Espinho (N Portugal). J. Mar. Syst. 2012, 96, 48–60. [Google Scholar] [CrossRef]
- Martins, V.M.; Pinto, A.F.S.; Frontalini, F.; da Fonseca, M.C.M.; Terroso, D.L.; Laut, L.L.M.; Zaaboub, N.; Rodrigues, M.A.; Rocha, F. Can benthic foraminifera be used as bio-indicators of pollution in areas with a wide range of physiochemical variability? Estuar. Coast. Shelf Sci. 2016, 182, 211–225. [Google Scholar] [CrossRef]
- Raposo, D.; Clemente, I.; Figueiredo, M.; Vilar, A.; Lorini, M.L.; Frontalini, F.; Martins, M.V.A.; Belart, P.; Fontana, L.; Habib, R.; et al. Benthic foraminiferal and organic matter compounds as proxies of environmental quality in a tropical coastal lagoon: The Itaipu lagoon (Brazil). Mar. Pollut. Bull. 2018, 129, 114–125. [Google Scholar] [CrossRef] [PubMed]
- Förderer, E.M.; Rödder, D.; Langer, M.R. Global diversity patterns of larger benthic foraminifera under future climate change. Glob. Chang. Biol. 2022; 1–13, Online ahead of print. [Google Scholar]
- Reymond, C.E.; Roff, G.; Chivas, A.R.; Zhao, J.; Pandolfi, J.M. Millennium-scale records of benthic foraminiferal communities from the central Great Barrier Reef reveal spatial differences and temporal consistency. Palaeogeogr. Palaeoclimatol. Palaeoecol. 2013, 374, 52–61. [Google Scholar] [CrossRef]
- Narayan, Y.R.; Lybolt, M.; Zhao, J.; Feng, Y.; Pandolfi, J.M. Holocene benthic foraminiferal assemblages indicate long-term marginality of reef habitats from Moreton Bay, Australia. Palaeogeogr. Palaeoclimatol. Palaeoecol. 2015, 420, 49–64. [Google Scholar] [CrossRef]
- Bouchet, V.M.P.; Goberville, E.; Frontalini, F. Benthic foraminifera to assess the Ecological Quality Status of Italian transitional waters. Ecol. Indic. 2018, 84, 130–139. [Google Scholar] [CrossRef]
- Reymond, C.E.; Bode, M.; Renema, W.; Pandolfi, J.M. Ecological incumbency impedes stochastic community assembly in Holocene foraminifera from the Huon Peninsula, Papua New Guinea. Paleobiology 2011, 37, 670–685. [Google Scholar] [CrossRef]
- Reymond, C.E.; Uthicke, S.; Pandolfi, J.M. Tropical Foraminifera as indicators of water quality and temperature. In Proceedings of the 12th International Coral Reef Symposium, Cairns, Australia, 9–13 July 2012. [Google Scholar]
- Narayan, Y.R.; Pandolfi, J.M. Benthic foraminiferal assemblages from Moreton Bay, South-East Queensland, Australia: Applications in monitoring water and substrate quality in subtropical estuarine environments. Mar. Pollut. Bull. 2010, 60, 2062–2078. [Google Scholar] [CrossRef]
- Murray, J.W. Ecology and Applications of Benthic Foraminifera; Cambridge University Press: New York, NY, USA, 2006. [Google Scholar]
- Frontalini, F.; Greco, M.; Di Bella, L.; Lejzerowicz, F.; Reo, E.; Caruso, A.; Cosentino, C.; Maccotta, A.; Scopelliti, G.; Nardelli, M.P.; et al. Assessing the effect of mercury pollution on cultured benthic foraminifera community using morphological and eDNA meta-barcoding approaches. Mar. Pollut. Bull. 2018, 129, 512–524. [Google Scholar] [CrossRef]
- Rostami, M.A.; Frontalini, F.; Giordano, P.; Francescangeli, F.; Martins, M.V.A.; Dyer, L.; Spagnoli, F. Testing the applicability of random forest modeling to examine benthic foraminiferal responses to multiple environmental parameters. Mar. Environ. Res. 2021, 172, 105502. [Google Scholar] [CrossRef]
- Armynot du Châtelet, E.; Francescangeli, F.; Bouchet, V.M.P.; Frontalini, F. Benthic foraminifera on transitional environments in the English Channel and the southern North Sea: A proxy for regional scale environmental and paleo-environmental characterizations. Mar. Environ. Res. 2018, 137, 37–48. [Google Scholar] [CrossRef] [PubMed]
- Armynot du Châtelet, E.A.; Francescangeli, F.; Frontalini, F. Definition of benthic foraminiferal bioprovinces in transitional environments of the Eastern English Channel and the Southern North Sea. Rev. Micropaléontologie 2018, 61, 223–234. [Google Scholar] [CrossRef]
- Narayan, G.R.; Herrán, N.; Reymond, C.E.; Shaghude, Y.W.; Westphal, H. Local Persistence of Large Benthic Foraminifera (LBF) under Increasing Urban Development: A Case Study from Zanzibar (Unguja), East Africa. J. Earth Sci. 2022, 33, 1434–1450. [Google Scholar] [CrossRef]
- Alve, E. Benthic foraminifera response to estuarine pollution. A review. J. Foraminifer. Res. 1995, 25, 190–203. [Google Scholar] [CrossRef]
- Armynot du Châtelet, E.A.; Frontalini, F.; Francescangeli, F. Significance of replicates: Environmental and paleoenvironmental studies on benthic foraminifera and testate amoebae. Micropaleontology 2017, 63, 257–274. [Google Scholar]
- Francescangeli, F.; Bouchet, V.M.P.; Trentesaux, A.; Armynot du Châtelet, E. Does elevation matter? Living foraminiferal distribution in a hyper tidal salt marsh (Canche Estuary, Northern France). Estuar. Coast. Shelf Sci. 2017, 194, 192–204. [Google Scholar] [CrossRef]
- Reymond, C.E.; Mateu-Vicens, G.; Westphal, H. Foraminiferal assemblages from a transitional tropical upwelling zone in the Golfe d’Arguin, Mauritania. Estuar. Coast. Shelf Sci. 2014, 148, 70–84. [Google Scholar] [CrossRef]
- Humphreys, A.F.; Halfar, J.; Ingle, J.C.; Manzello, D.; Reymond, C.E.; Westphal, H. Effect of seawater temperature, pH, and nutrients on the distribution and character of low abundance shallow water benthic foraminifera in the Galápagos. PLoS ONE 2018, 13, e0202746. [Google Scholar] [CrossRef]
- Francescangeli, F.; Portela, M.; Armynot du Chatelet, E.; Billon, G.; Andersen, T.J.; Bouchet, V.M.P.; Trentesaux, A. Infilling of the Canche Estuary (eastern English Channel, France): Insight from benthic foraminifera and historical pictures. Mar. Micropaleontol. 2018, 142, 1–12. [Google Scholar] [CrossRef]
- Narayan, G.R.; Reymond, C.E.; Stuhr, M.; Doo, S.; Schmidt, C.; Mann, T.; Westphal, H. Response of large benthic foraminifera to climate and local changes: Implications for future carbonate production. Sedimentology 2021, 69, 121–161. [Google Scholar] [CrossRef]
- Mojtahid, M.; Geslin, E.; Coynel, A.; Gorse, L.; Vella, C.; Davranche, A.; Zozzolo, L.; Blanchet, L.; Bénéteau, E.; Maillet, G. Spatial distribution of living (Rose Bengal stained) benthic foraminifera in the Loire estuary (western France). J. Sea Res. 2016, 118, 1–16. [Google Scholar] [CrossRef]
- Francescangeli, F.; Milker, Y.; Bunzel, D.; Thomas, H.; Norbisrath, M.; Schönfeld, J.; Schmiedl, G. Recent benthic foraminiferal distribution in the Elbe Estuary (North Sea, Germany): A response to environmental stressors. Estuar. Coast. Shelf Sci. 2021, 251, 107198. [Google Scholar] [CrossRef]
- Jorissen, F.J.; De Stigter, H.C.; Widmark, J.G.V.A. Conceptual model explaining benthic foraminiferal microhabitats. Mar. Micropaleontol. 1995, 26, 3–15. [Google Scholar] [CrossRef]
- Bouchet, V.M.P.; Frontalini, F.; Francescangeli, F.; Geslin, E.; Martins, V.; Almogi-Labin, A.; Avnaim-Katav, S.; Di Bella, L.; Cearreta, A.; Coccioni, R.; et al. Indicative value of benthic foraminifera for biomonitoring: Assignment to ecological groups of sensitivity to total organic carbon of species from European intertidal areas and transitional waters. Mar. Pollut. Bull. 2021, 164, 112071. [Google Scholar] [CrossRef]
- Murray, J.W. The niche of benthic foraminifera, critical thresholds and proxies. Mar. Micropaleontol. 2001, 41, 1–7. [Google Scholar] [CrossRef]
- Lucas, T.C.D. A translucent box: Interpretable machine learning in ecology. Ecol. Monogr. 2020, 90, e01422. [Google Scholar] [CrossRef]
- Elith, J.; Leathwick, J.R. Species distribution models: Ecological explanation and prediction across space and time. Annu. Rev. Ecol. Evol. Syst. 2009, 40, 677–697. [Google Scholar] [CrossRef]
- Hastie, T.; Tibshirani, R.; Friedman, J. The Elements of Statistical Learning; Springer Series in Statistics: Heidelberg, Germany, 2001. [Google Scholar]
- Ellis, N.; Smith, S.J.; Pitcher, C.R. Gradient Forests: Calculating importance gradients on physical predictors. Ecology 2012, 93, 156–168. [Google Scholar] [CrossRef]
- Shipley, B. Cause and Correlation in Biology: A User’s Guide to Path Analysis, Structural Equations and Causal Inference; Cambridge University Press: Cambridge, UK, 2002. [Google Scholar]
- Jorissen, F. Benthic foraminifera from the Adriatic Sea; Principles of phenotypic variation. Utrecht Micropaleontol. Bull. 1988, 37, 174. [Google Scholar]
- Spagnoli, F.; De Marco, R.; Dinelli, E.; Frapiccini, E.; Frontalini, F.; Giordano, P. Sources and Metal Pollution of Sediments from a Coastal Area of the Central Western Adriatic Sea (Southern Marche Region, Italy). Appl. Sci 2021, 11, 1118. [Google Scholar] [CrossRef]
- Artegiani, A.; Bregant, D.; Paschini, E.; Pinardi, N.; Raicich, F.; Russo, A. The Adriatic Sea General Circulation. Part I: Air–Sea Interactions and Water Mass Structure. J. Phys. Oceanogr. 1997, 27, 1492–1514. [Google Scholar] [CrossRef]
- Vilibic, I.; Supic, N. Dense water generation on a shelf: The case of the Adriatic Sea. Ocean Dyn. 2005, 55, 403–415. [Google Scholar] [CrossRef]
- Civitarese, G.; Gacic, M.; Lipizer, M.; Eusebi Borzelli, G.L. On the impact of the Bimodal Oscillating System (BiOS) on the biogeochemistry and biology of the Adriatic and Ionian Seas (Eastern Mediterranean). Biogeosciences 2010, 7, 3987–3997. [Google Scholar] [CrossRef]
- Frascari, F.; Spagnoli, F.; Marcaccio, M.; Giordano, P. Anomalous Po river flood event effects on sediments and water column of the Northwestern Adriatic Sea. Clim. Res. 2006, 31, 151–165. [Google Scholar] [CrossRef]
- Cavaleri, L.; Stefanon, A. Bottom features due to extreme meteorological events in the North Adriatic Sea. Mar. Geol. 1980, 79, 159–170. [Google Scholar]
- Spagnoli, F.; Dinelli, E.; Giordano, P.; Marcaccio, M.; Zaffagnini, F.; Frascari, F. Sedimentological biogeochemical mineralogical facies of Northern and Central Western Adriatic Sea. J. Mar. Syst. 2014, 139, 183–203. [Google Scholar] [CrossRef]
- Syvitski, J.P.M.; Kettner, A.J. On the flux of water and sediment into the Northern Adriatic Sea. Cont. Shelf Res. 2007, 27, 296–308. [Google Scholar] [CrossRef]
- Frignani, M.; Langone, L.; Ravaioli, M.; Sorgente, D.; Alvisi, F.; Albertazzi, S. Fine sediment mass balance in the western Adriatic continental shelf over a century time scale. Mar. Geol. 2005, 222–223, 113–133. [Google Scholar] [CrossRef]
- Cattaneo, A.; Correggiari, A.; Langone, L.; Trincardi, F. The Late-Holocene Gargano subaqueous delta, Adriatic shelf: Sediment pathways and supply fluctuations. Mar. Geol. 2003, 193, 61–91. [Google Scholar] [CrossRef]
- Trincardi, F.; Asioli, A.; Cattaneo, A.; Correggiari, A.; Vigliotti, L.; Accorsi, C.A. Transgressive offshore deposits on the Central Adriatic Shelf: Architecture complexity and the record of the younger Dyas short-term event. Il Quaternario. Ital. J. Quat. Sci. 1996, 9, 753–762. [Google Scholar]
- Correggiari, A.; Trincardi, F.; Langone, L.; Roveri, M. Styles of failure in heavily sedimented highstand prodelta wedges on the Adriatic shelf. J. Sediment. Res. 2001, 71, 218–236. [Google Scholar] [CrossRef]
- Colantoni, P.; Asioli, A.; Borsetti, A.M. Evoluzione morfo-sedimentaria recente del Mare Adriatico. Atti del 9° Congresso. AIOL 1990, LM-75, 17–24. [Google Scholar]
- Colantoni, P.; Gallignani, P.; Lenaz, R. Late Pleistocene and Holocene evolution of the north Adriatic continental shelf Italy. Mar. Geol. 1979, 33, 41–50. [Google Scholar] [CrossRef]
- Cattaneo, A.; Trincardi, F. The late-Quaternary transgressive record in the Adriatic Epicontinental Sea: Basin widening and facies partitioning. In Isolated Shallow Marine Sand Bodies: Sequence Stratigraphic Analysis and Sedimentologic Interpretation; Bergman, K.M., Snedden, Eds.; SEPM SpecialPubllication: Tulsa, OK, USA, 1999; Volume 64, pp. 127–146. [Google Scholar]
- Loizeau, J.L.; Arbouille, D.; Santiago, S.; Vernet, J.P. Evaluation of a wide range laser diffraction grain size analyser for use with sediments. Sedimentology 1994, 41, 353–361. [Google Scholar] [CrossRef]
- Trentesaux, A.; Recourt, P.; Bout-Roumazeilles, V.; Tribovillard, N. Carbonate grain-size distribution in hemipelagic sediments from a laser particle sizer. J. Sediment. Res. 2001, 71, 858–862. [Google Scholar] [CrossRef]
- Leoni, L.; Menichini, M.; Saitta, M. Determination of S, Cl and F in silicate rocks by X-ray fluorescence analyses. X-ray Spectrom. 1982, 11, 156–158. [Google Scholar] [CrossRef]
- Tomlinson, D.L.; Wilson, J.G.; Harris, C.R.; Jeffrey, D.W. Problems in the assessment of heavy metal level in eastuaries and the formation of a pollution index. Helol. Meeresunters. 1980, 33, 566–575. [Google Scholar] [CrossRef]
- Surricchio, G.; Pompilio, L.; Arizzi Novelli, A.; Scamosci, E.; Marinangeli, L.; Tonucci, L.; d’Alessandro, N.; Tangari, A.C. Evaluation of heavy metals background in the Adriatic Sea sediments of Abruzzo region, Italy. Sci. Total Environ. 2019, 684, 445–457. [Google Scholar] [CrossRef]
- Loeblich, A.R.; Tappan, H. Foraminiferal Genera and Their Classification; Van Nostrand, Reinhold Co.: New York, NY, USA, 1987; Volume 2, p. 2047. [Google Scholar]
- Cimerman, F.; Langer, M.R. Mediterranean Foraminifera. In Academia Scientarium et Aritium Slovenica, Dela, Opera 30, Classis IV: Historia Naturalis; Academia Scientiarum et Artium Slovenica: Ljubljana, Slovenia, 1991. [Google Scholar]
- Fiorini, F.; Vaiani, S.C. Benthic foraminifers and transgressive-regressive cycles in the Late Quaternary subsurface sediments of the Po Plain near Ravenna (Northern Italy). Boll. Soc. Paleontol. Ital. 2001, 40, 357–403. [Google Scholar]
- Smith, P.F.; Ganesh, S.; Liu, P.A. Comparison of random forest regression and multiple linear regression for prediction in neuroscience. J. Neurosci. Methods 2013, 220, 85–91. [Google Scholar] [CrossRef]
- Grace, J.B.; Anderson, T.M.; Olff, H.; Scheiner, S.M. On the specification of structural equation models for ecological systems. Ecol. Monogr. 2010, 80, 67–87. [Google Scholar] [CrossRef]
- Pearl, J. The causal foundations of structural equation modeling. In Handbook of Structural Equation Modeling; Hoyle, R.H., Ed.; Guilford: New York, NY, USA, 2012; pp. 68–91. [Google Scholar]
- Rosseel, Y. lavaan: An R Package for Structural Equation Modeling. J. Stat. Softw. 2012, 48, 1–36. [Google Scholar] [CrossRef]
- van Morkhoven, F.P.C.M.; Berggren, W.A.; Edwards, A.S. Cenozoic cosmopolitan deep-water benthic foraminifera. In Bull. Cent. Rech. Explor.; Prod. Elf-Aquitaine, Mem.: Courbevoie, France, 1986; Volume 11, p. 421. [Google Scholar]
- Berggren, W.A.; Miller, K.G. Cenozoic bathyal and abyssal calcareous benthic foraminiferal zonations. Micropaleontology 1989, 35, 308–320. [Google Scholar] [CrossRef]
- Pérès, J.M.; Picard, J. Nouveau manuel de bionomie benthique de la Méditerranée. In Rec. Trav. Stat. Mar.; Endoume: Marseille, France, 1964; Volume 31, pp. 1–37. [Google Scholar]
- Sgarrella, F.; Moncharmont Zei, M. Benthic Foraminifera of the Gulf of Naples (Italy): Systematics and autoecology. Bollettino Soc. Paleontol. Ital. 1993, 32, 145–264. [Google Scholar]
- De Rijk, S.; Hayes, A.; Rohling, E.J. Eastern Mediterranean sapropel S1 interruption: An expression of the onset of climatic deterioration around 7 ka BP. Mar. Geol. 1999, 153, 337–343. [Google Scholar] [CrossRef]
- Gooday, A.J.; Lambshead, P.J.D. Influence of seasonally deposited phytodetritus on benthic foraminferal populations in the bathyal northeast Atlantic the species response. Mar. Ecol. Prog. Ser. 1989, 58, 53–67. [Google Scholar] [CrossRef]
- Gooday, A.J. Benthic foraminifera (Protista) as tools in deep-water palaeoceanography: Environmental influences on faunal characteristics. Adv. Mar. Biol. 2003, 46, 1–90. [Google Scholar]
- De Rijk, S.; Jorissen, F.; Rohling, E.J.; Troelstra, S.R. Organic flux control on bathymetric zonation of Mediterranean benthic foraminifera. Mar. Micropaleontol. 2000, 40, 151–166. [Google Scholar] [CrossRef]
- Koho, K.A.; Langezaal, A.M.; van Lith, Y.A.; Duijnstee, I.A.P.; Van der Zwaan, G.J. The influence of a simulated diatom bloom on deep-sea benthic foraminifera and the activity of bacteria: A mesocosm study. Deep. Sea Res. Part I Oceanogr. Res. Pap. 2008, 55, 696–719. [Google Scholar] [CrossRef]
Disclaimer/Publisher’s Note: The statements, opinions and data contained in all publications are solely those of the individual author(s) and contributor(s) and not of MDPI and/or the editor(s). MDPI and/or the editor(s) disclaim responsibility for any injury to people or property resulting from any ideas, methods, instructions or products referred to in the content. |
© 2023 by the authors. Licensee MDPI, Basel, Switzerland. This article is an open access article distributed under the terms and conditions of the Creative Commons Attribution (CC BY) license (https://creativecommons.org/licenses/by/4.0/).







