Next Article in Journal
Dynamic Anomaly Detection in Gantry Transactions Using Graph Convolutional Network-Gate Recurrent Unit with Adaptive Attention
Next Article in Special Issue
Research on a Three-Phase Energy Mutual-Aid Strategy for a Grid-Connected Inverter Based on Constructed Negative Sequence Current Control
Previous Article in Journal
Analysis of Acoustic Flow Field Characteristics of Key Components of High-Speed Train Bogies
Previous Article in Special Issue
Investigation of Impulse Aging of Energy-Absorption Elements for Hybrid DC Circuit Breakers
 
 
Font Type:
Arial Georgia Verdana
Font Size:
Aa Aa Aa
Line Spacing:
Column Width:
Background:
Article

A Robust Design Method for Ultra-Low-Frequency Oscillation Suppression Control in Hydro–Photovoltaic Complementary Systems

1
State Grid Sichuan Electric Power Research Institute, No.16 Jinhui West 2nd Street, Chengdu 610041, China
2
School of Electrical Engineering, Beijing Jiaotong University, Beijing 100044, China
*
Author to whom correspondence should be addressed.
Appl. Sci. 2023, 13(19), 11066; https://doi.org/10.3390/app131911066
Submission received: 29 June 2023 / Revised: 7 September 2023 / Accepted: 18 September 2023 / Published: 8 October 2023

Abstract

:
Aiming at the problem of ultra-low-frequency oscillation (ULFO) in power systems, with an oscillation frequency lower than 0.1 Hz, an oscillation suppression control method is proposed. Firstly, the mathematical modeling of the system is carried out, and a cascade correction control method of the governor of hydropower generators is proposed. Secondly, using the ability of photovoltaic (PV) active power to adjust the system frequency, an additional controller for PV active power is proposed. Then, a unified frequency model considering the two controllers is established for multi-hydro and multi-PV systems, and the structural singular value method is used to coordinate the design of the parameters of the hydropower and PV generator controllers to achieve robust performance. Finally, based on a time-domain simulation of single-hydro and single-PV systems and an actual demonstration system located in Sichuan Province, China, the results show that the control method proposed in this paper has a good suppression effect on ultra-low-frequency oscillation under different working conditions, and meets the requirements of robust performance.

1. Introduction

Hydropower has the characteristics of flexible start-up and rapid adjustment [1]. Installing PV generators in a small hydropower domain forms a distributed PV generator and a small hydropower complementary power generation system (referred to as a hydro–PV complementary system), which can use the flexible adjustment characteristics of hydropower to stabilize the fluctuation of PV output. This is of great significance to improving PV consumption capacity, enhancing the overall dispatch ability of the system, and realizing multi-time scale and multi-energy complementarity [2,3]. However, in a high-ratio hydropower system, due to the “water hammer effect” of the hydropower generator and the unreasonable parameter setting of the governor, the hydropower generator will provide negative damping to the system, which will cause ULFO [4]. ULFO refers to a frequency oscillation phenomenon with an oscillation frequency lower than 0.1 Hz. Different from traditional low-frequency oscillation, this phenomenon is the synchronous oscillation of the entire network frequency [5]. ULFO has become an important factor in restricting the consumption and transmission of hydropower.
With an increasing proportion of PV generators in the power system, the large and frequent random fluctuations of their output have caused hidden dangers to the safe and stable operation of the system [6]. The transmission distance between hydro–PV complementary systems and the main grid is generally long. Long-distance transmission makes the power system weak. In hydro–PV complementary systems, the random fluctuation of PV generators further deteriorates the stability problem. Therefore, it is of great significance to study the ULFO suppression control measures of hydro–PV complementary systems [7,8].
Existing studies have shown that ULFOs are strongly related to the primary frequency modulation process of hydropower generators, so most of the suppression measures for ULFOs use the method of optimizing the control parameters of turbine governors [9,10,11]. In [12,13], the authors use a PSO optimization algorithm to adjust the governor parameters to increase the damping torque to suppress ULFO. In [14], based on the damping torque method, the authors concluded that the ratio of the proportional parameter to the integral parameter is too small, resulting in a small damping coefficient. The optimal PID parameter tuning method was then proposed to address the internal causes of ULFO. The analysis results in [15] showed that the permanent state difference coefficient and water hammer coefficient are too small and will cause negative damping, and the GA-PSO optimization algorithm is proposed for parameter tuning. In [16], the authors proposed a governor parameter optimization method that maximizes system tracking performance under multi-mode robust stability constraints. In [17], the authors used a state subspace identification algorithm and an improved particle swarm optimization algorithm for an optimized design of governor parameters. The above studies mainly suppress ULFOs by properly adjusting the control parameters of the governor. However, there is a contradiction between ULFO suppression and the requirements of the primary frequency modulation on the governor control parameters. In addition, reference [18] proposed a PR-PSS algorithm to prevent ULFO, whose parameter settings are updated adaptively by a deep reinforcement learning algorithm. Reference [19] put forward a design method of PSS for the governor and verifies its effectiveness. The above methods do not take into account the regulation capacity of PV generators to mitigate ULFOs.
In addition, PV generators have flexible control capabilities, which can provide more flexible control resources for oscillation suppression [20]. However, the current research on the use of PV generators to suppress oscillations is mainly focused on low-frequency oscillations, and low-frequency oscillations are suppressed by introducing additional damping control in the control loop of PV inverters. In [21], the authors proposed a PV wide-area damping controller based on the correlation identification method. In [22,23], the authors used all the active power regulation capacity for damping control or set aside half of the active power to provide sufficient margin for damping control. In [24], the authors proposed active power additional damping control of PV generators based on active disturbance rejection control. In [25], the authors used integrated power modulation to design a PV wide-area additional damping controller. However, how to design the damping controller of a PV inverter to suppress the ULFO phenomenon is rarely studied in the literature.
Motivated by the aforementioned limitations, this paper focuses on the ULFO problem existing in the hydro–PV complementary system and proposes a hydro–PV coordinated ULFO suppression control strategy. The main contributions of this paper are as follows:
(1)
In this paper, a series correction controller is used in the hydropower generator and an active power additional controller is used in the PV generator, which can improve the damping of the system without affecting the performance of primary frequency modulation to achieve the effect of oscillation suppression.
(2)
Aiming at the coordination problem of the controllers of hydropower generators and PV generators in multi-hydro and multi-PV systems, this paper constructs a unified frequency model of hydro–PV complementary systems and designs its controller parameters based on the structural singular value method to improve the robustness of the controller.
(3)
The performance of the proposed controller is verified based on a single-hydro and single-PV system and a hydro–PV complementary demonstration project in Sichuan Province, China.
The rest of this paper is organized as follows: Section 2 gives the detailed model of the PV and hydropower generators. Section 3 proposes the ULFO suppression control method. Section 4 builds a unified frequency model for multi-machine systems. Section 4 proposes a robust design method for hydro–PV coordinated ULFO suppression control. The results of the time-domain simulation are provided in Section 5. Section 6 concludes the paper.

2. Mathematical Models for Hydropower and PV

2.1. Hydropower Generator Model

2.1.1. Generator

In the model of a power system, the various energies emitted by the prime mover need to be converted into electrical energy by the generator and output in the form of electrical energy. The basis of generator modeling is the dynamic equation of the rotor.
The mathematical relationship between the output mechanical power, electromagnetic power, and power angle is
T J d ω d t = P m P e D ( ω 1 ) d δ d t = ω 0 ( ω 1 )
where TJ is the moment of inertia coefficient of the generator, Pm is the output mechanical power, Pe is the output electromagnetic power, D is the damping coefficient, δ is the power angle of the generator, ω0 is the reference angular frequency, and ω is the rotational speed.

2.1.2. Turbine

The linear transfer function of the commonly used hydro turbine model is:
G h ( s ) = Δ P m Δ y = 1 T W s 1 + 0.5 T W s
where ∆Pm is the output mechanical power deviation, ∆y is the deviation of the guide vane opening, and TW represents the water hammer effect time constant; the expression is as follows:
T W = Q r L g H r A
where Qr is the base value of the water flow in the drinking water pipeline, Hr is the base value of the pressure head, g is the acceleration of gravity, and L and A represent the water path length and cross-sectional area of the water diversion pipeline. Since there is a zero point in the right half of the complex plane in the transfer function of the turbine Gh (s), the moment the opening of the guide vane ∆y changes, the change in the output mechanical power of the turbine ∆Pm is opposite to the change in the active power required by the system. This phenomenon is called the “water hammer effect” [26].

2.1.3. Governor

In this paper, the governor model adopts the parallel PID digital electro-hydro governor; its principle is to identify the deviation of the speed and convert it into an electrical signal to enter the control link. The logic block diagram of this kind of PID governor is shown in Figure 1.
The speed control system is composed of the control system and the servo system. If it is linearized near the steady-state point, the transfer function of the speed control system is:
G g o v ( s ) = Δ y Δ ω = K P s + K I + K D s 2 b p K I + s 1 1 + T G s
where KP is the proportional coefficient of the governor of the hydropower generator, KI is the integral coefficient, KD is the differential coefficient, bp is the permanent droop coefficient, which is used to represent the adjustment error in the feedback process, and TG is the time constant of the servo system.

2.1.4. Excitation System

Most of the excitation control systems adopt a typical three-order system with compensation, including voltage regulation and exciter and excitation voltage negative feedback. The block diagram is shown in Figure 2.
Then, the excitation system transfer function is:
G e x ( s ) = E f d U e x 1 = K a ( 1 + T f s ) ( 1 + T f s ) ( 1 + T a s ) ( 1 + T e s + S e ) + K a K f
The measurement system transfer function is:
G r ( s ) = U e x 1 U m = 1 1 + T r s
where Um is the generator terminal voltage, Tr is the time constant of the measuring system, Ka and Ta are the gain and time constant of the voltage amplifier, respectively, TE is the time constant of the exciter, Se is the saturation coefficient, Kf and Tf are the gain and time constant of the negative feedback, and Efd is the excitation voltage.

2.2. PV Generator Model

The PV in the hydro–PV complementary system studied in this paper adopts a typical unipolar power generation mathematical model, including a PV array model, DC capacitor, inverter, and control system. The model is shown in Figure 3.

2.2.1. PV Array

The detailed model of PV is very complex, and some parameters involved are difficult to calculate directly, so it is not convenient to apply directly [27]. In order to facilitate research, the engineering approximate equivalent model is mainly used to solve it [28]. The model needs to be solved under rated light and temperature conditions (Sref = 1000 W/m2, Tref = 25 °C), and the calculation equation is:
T = T a i r + k S I s c = I s c r e f ( S / S r e f ) [ 1 + α ( T T r e f ) ] I m = I m r e f ( S / S r e f ) [ 1 + α ( T T r e f ) ] U o c = U o c r e f [ 1 γ ( T T r e f ) ] ln [ e + β ( S / S r e f 1 ) ] U m = U m r e f [ 1 γ ( T T r e f ) ] ln [ e + β ( S / S r e f 1 ) ] C 2 = U m / U o c 1 ln ( 1 I m / I s c ) C 1 = ( 1 I m / I s c ) exp ( U m / C 2 U o c )
where T and Tair are the temperatures of the PV cell and air, S is the light intensity, Iscref is the short-circuit current, Imref is the current of the maximum power point in standard conditions, Uocref is the open-circuit voltage, Umref is the voltage of the maximum power point, Uoc is the open-circuit voltage, Isc is the short-circuit current, Im and Um are the current and the voltage at the maximum power, and k, α, β, and γ are compensation coefficients.
Since the output current of a single PV cell is limited, a PV array is generally composed of series and parallel connections. Assuming that the number of cells in series is n and the number of cells in parallel is m, the output of the PV array is:
I d c = m I s c [ 1 C 1 ( e U d c n C 2 U o c 1 ) ]

2.2.2. Inverter and Controller

The control method of the PV inverter adopts constant power control. A block diagram of PV power control is shown in Figure 4. Both the outer loop and the inner loop adopt proportional–integral (PI) control to ensure performance.
The power outer loop governing equation is:
i g d * = K p p ( P r e f P ) + K i p ( P r e f P ) d t i g q * = K p q ( Q Q r e f ) + K i q ( Q Q r e f ) d t
where Kpp and Kip are the proportional and integral coefficients of the active power outer loop, Kpq and Kiq are the proportional and integral coefficients of the reactive power outer loop, Pref and Qref are the reference values of active power and reactive power, and i g d * and i g q * are the reference values of the d-axis and q-axis current.
The current controller equation is:
v k d * = K p i ( i g d * i g d ) + K i i ( i g d * i g d ) d t ω L f i g q + v g d v k q * = K p i ( i g q * i g q ) + K i i ( i g q * i g q ) d t + ω L f i g d + v g q
where ω is the angular frequency, Lf is the filter inductance, v k d * and v k q * are the reference values of the d-axis and q-axis components of the voltage modulation signal, vgd and vgq are the d-axis and q-axis components of the AC side voltage, and Kpi and Kii are the proportional and integral coefficients of the current inner loop PI controller.
The filter inductance equation is:
L f d i g d d t = v k d v g d + ω L f i g q L f d i g q d t = v k q v g q ω L f i g d

2.2.3. DC Capacitor

Neglecting the power loss of the inverter, according to the power balance equation, that is, the PV output power is numerically equal to the sum of the DC capacitor power and the inverter output power, the dynamic characteristic equation of the DC capacitor can be expressed as:
U ˙ d c = 1 C d c I d c 3 2 v g d i g d U d c
where Cdc is the DC capacitor, Udc is the voltage on the DC capacitor, and Idc is the output current of the PV array.

3. ULFO Suppression Control Method for Hydropower and PV

3.1. Cascade Correction Control of Hydropower

The governor of the hydropower generator has an important influence on the generation of ultra-low-frequency oscillation, but modifying the parameters of the governor will affect the effect of the primary frequency modulation of the hydropower generator. In order not to affect the performance of primary frequency modulation, this paper designs a cascaded correction controller on the governor side. The frequency adjustment model of a single hydropower generator after adding the controller is shown in Figure 5.
Among them, the mathematical model of the governor, hydro turbine, and generator has been introduced in detail in Section 2. The cascaded correction controller includes three parts: gain, high-pass filter, and lead-lag link. The mathematical expression of its transfer function is:
G c ( s ) = K c s T f 1 + s T f 1 + s T 1 1 + s T 2 1 + s T 3 1 + s T 4
where Kc is the proportional coefficient of the gain link of the controller, Tf is the time constant of the high-pass filter link, and Ti (i = 1, 2, 3, 4) are the time constants of the lead-lag link, generally set to T1 > T2 > 0 and T3 > T4 > 0, so that the transfer function can provide phase-lead compensation. According to the damping torque analysis method, when the ultra-low-frequency oscillation angular frequency of the system is ωs and the series correction link provides an advanced phase for compensation, the damping torque of the system is:
D T = Re [ G c ( j ω s ) G g o v ( j ω s ) G h ( j ω s ) ]
After adding the series correction link, a leading phase is generated, and the damping torque changes from negative to positive, providing positive damping for the system, which can effectively suppress ultra-low-frequency oscillation [29].
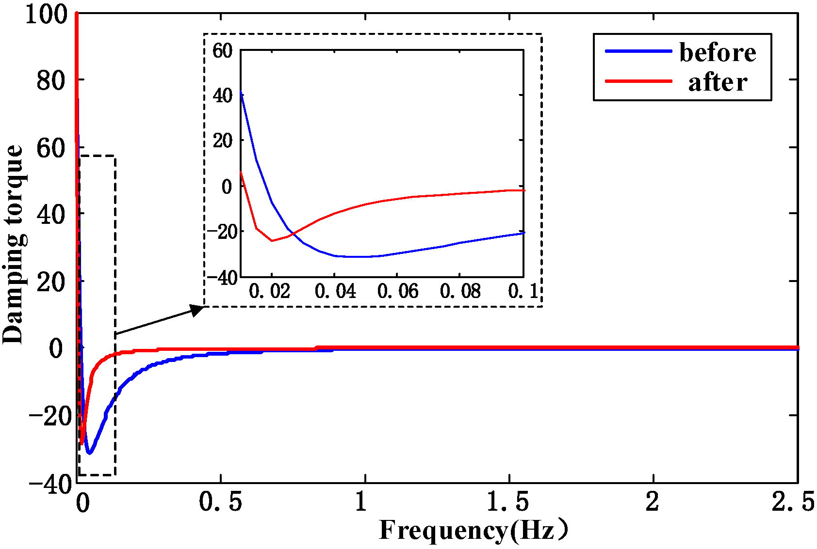
It can be seen in Figure 6 that before the series correction controller is added, the negative damping torque coefficient of the system in the ultra-low-frequency band is very large. After adding the series correction controller, the damping torque coefficient of the system in the ultra-low-frequency band has increased and improved.

3.2. PV Active Power Additional Controller

The control structure of the PV generator after adding the active additional controller designed in this paper is shown in Figure 7:
The structure of the PV power controller is shown in Figure 7. The structure of the PV active power additional controller includes three parts: filtering, adaptive proportional coefficient, and limiting. The mathematical expressions of filtering and adaptive proportional coefficient are as follows:
G C P V ( s ) = K s T f 1 + s T f
The input of the controller is selected as −∆ω, which is the deviation between the system reference frequency and the actual frequency. When the actual frequency of the system increases, the active power reference value (P*ref) of the PV power controller decreases through the active power additional controller link, thereby reducing the active power output. When the actual frequency of the system decreases, the active power output of PV will increase, thereby achieving oscillation suppression. The following describes in detail the principle of PV participating in oscillation suppression.
The active power balance formula of the system is as follows:
Δ P e + Δ P P V = Δ P L
where ∆Pe is the electromagnetic power deviation of the system, ∆PPV is the output active power deviation of the PV, and ∆PL is the active load deviation of the system. If the load is considered as a constant impedance load and its frequency adjustment effect is ignored, then the active load deviation ∆PL = 0, and Equation (16) can be rewritten as:
Δ P e = - Δ P P V
Combining Equation (16), damping torque calculation Equation (14), and generator rotor motion Equation (1), the calculation equation of the system damping ratio (ξ) can be obtained:
T J s 2 Δ δ + ( D T + K + D ) Δ ω + ω 0 S T Δ δ = 0
Solving the above formula can produce the mathematical expression of ξ:
ξ = D T + K + D 2 T J ω 0 S T
It can be seen from the above formula that the proportional coefficient of PV active power additional control (K) is positively correlated with the system damping ratio (ξ). When it increases, the system damping ratio can also be improved, which proves that the PV active power additional controller is effective in suppressing ULFO by increasing system damping.

4. A Unified Frequency Model for Multi-Machine Systems

For a hydro–PV complementary system with multiple hydropower generators and PV generators, it is necessary to construct a unified model that can consider all generators. Due to the uniform frequency of the whole grid during ULFO, the frequency deviations of all generators remain consistent, that is, the rotor motion equation of the i-th generator is shown in the first equation of Equation (1). Assuming that there are n hydropower generators in the system, since all the speed deviations are the same, the equations of motion of all units can be linearized and then added together to obtain:
n i = 1 T J i d Δ ω d t = n i = 1 Δ P m i n i = 1 Δ P e i n i = 1 D i Δ ω
Since the mechanical power deviation (∆Pm) of a hydropower generator is obtained by the speed deviation (∆ω) through the two control links of the governor and the turbine, the above equation can be converted into a transfer function block diagram to obtain a unified frequency model, as shown in Figure 8.
After strictly adding all the motion equations, according to the research needs of ULFO, an approximate condition is introduced:
(1)
Neglecting network loss, it is considered that the electromagnetic power of all generators is approximately equal to the load power, that is Σ∆Pe = Σ∆PL;
(2)
Neglecting the frequency and voltage regulation effects of the load, it is considered to be a constant impedance load, that is Σ∆Pe = Σ∆PL = 0.
When the active power additional controller of the PV generator is introduced, the PV generator participates in the frequency adjustment process through the controller, as shown in Figure 7. It is necessary to consider the impact of PV active output deviation on system electromagnetic power deviation when analyzing the influence of the control task, that is Σ∆Pe = Σ∆PL − Σ∆PPV. According to the approximate condition, load deviation is considered to be 0, that is Σ∆Pe = −Σ∆PPV, so it is necessary to add the additional controller and power controller of the PV generator to the unified frequency model.
After considering both hydro and PV controllers, the unified frequency response model of the multi-machine system considering n hydropower generators and m PV generators is shown in Figure 9.
It is worth noting that the unified frequency model constructed in the above figure is only suitable for the analysis of ULFO, because only ULFO is characterized by the uniform oscillation frequency of the whole network. Since the oscillation mode has nothing to do with the excitation system of the hydroelectric unit, it can only be used to consider the prime mover system and the hydropower generator. The controller parameters of hydropower and the PV generator can be coordinated and designed based on the unified frequency model.

5. Robust Design of ULFO Suppression Control in Hydro–PV Coordinated Systems Based on the Structural Singular Value Method

5.1. Structural Singular Values and Robust Performance Issues

The structural singular value theory is the basis of the structural singular value method, which can not only be used to study the robust and stable performance of systems with structural uncertainties, but also to verify whether the system achieves robust performance.

5.1.1. Robust and Stable Performance

When judging the robust stability of a system, it is often necessary to construct an M-∆ model, that is, to reconstruct the system, incorporate uncertainty, and isolate the perturbation matrix ∆(s) including system uncertainty. The remaining nominal matrix M(s) below is a stable linear transfer function matrix. The reconstructed system is shown below.
In Figure 10, u is the input of the perturbation matrix and v is the output of the perturbation matrix. Define the structural singular value of matrix M as [30]:
μ Δ [ M ( j ω ) ] = 0 , det I M ( j ω ) Δ ( j ω ) 0 , Δ ( j ω ) Δ * ( j ω ) k m k m = 1 min σ max [ Δ ( j ω ) ] | Δ ( j ω ) Δ * ( j ω ) , det I M ( j ω ) Δ ( j ω ) = 0
where min is used to solve the smallest element in a set, σmax is used to solve the largest singular value in the matrix, and ∆*() is a set including all uncertain perturbations. It can be seen from the above equation that if the singular value of a perturbation matrix is smaller than the defined structural singular value, then the system must be closed-loop stable, so there is a robust stability theorem. For the uncertain system shown in Figure 10, if the system M is stable, then the necessary and sufficient conditions for the robust stability of the system are:
μ Δ [ M ( j ω ) ] 1 , ω > 0
where ω is the working frequency point.

5.1.2. Robust Performance Criterion

In addition to robust and stable performance, some robust performance requirements should be met when controlling systems with uncertainties. Assuming that the H norm of the transfer function between the input w and the output z of the system M is used to evaluate the robust performance, the criterion of the performance is:
z w 1
This performance judgment problem can be transformed into a robust stability judgment according to the following theorem. For the uncertain system shown in Figure 10, if M is stable, the input is w, and the output is z, then the necessary and sufficient conditions for the system to be robust and stable and to satisfy Equation (22) are:
μ Δ [ M ( j ω ) ] 1 , ω > 0 Δ = d i a g [ Δ ( s ) , Δ f ] , Δ f 1
where ∆f is a virtual complex perturbation matrix inserted between the input and output.

5.2. System Model Introducing Uncertainty

The unified frequency model has the advantage of a simple structure and can reflect the characteristics of ULFO, so our comprehensive design of controller parameters is based on it. When the system operation mode changes or load-switching occurs, the system uncertainties include the following:
(1)
Different operation modes lead to changes in the output of the hydropower generator, and the time constant of the water hammer effect changes accordingly, so there is uncertainty in Ghi;
(2)
Different operation modes lead to changes in the parameters of the speed control system of hydropower generators, so there is uncertainty in Ggovi.
Therefore, the system transfer function produces uncertainty, and it is necessary to introduce perturbation into the original unified frequency model. These uncertainties can be reflected in the perturbation block and the corresponding weight function. The system after introducing uncertainty is shown in Figure 11.
In the above figure, P(s) is used to describe the transfer function of the synchronous generator other than the control system, and the expression is:
P ( s ) = 1 i = 1 n T J i + i = 1 n D i
The parameter uncertainty caused by the introduced operation mode change or load switching is expressed as the perturbation block ∆i and the corresponding weight function Wi(s), assuming that there are K operating modes of the controller parameters.

5.3. Parameter Design Based on Monte Carlo Algorithm

The design process of the controller parameters is as follows:
(1)
The perturbation block ∆i reflecting uncertainty and the corresponding weight function Wi(s) are introduced into the unified frequency model, and then the virtual perturbation block ∆f and sensitivity weight function WS(s) reflecting robust performance are inserted.
(2)
Separate the uncertainty of the model constructed in (1) and reconstruct the model as an extended M-Δ model.
(3)
Set frequency sweep points [ω1, ω2,…, ωΩ] rad/s according to the frequency range to be studied. This paper focuses on the control performance of the system during ultra-low-frequency oscillation, so the frequency sweep range is set between 0.01 and 0.1 Hz.
(4)
According to the possible operating parameter range of the system, at each frequency point s = , the nominal value and the corresponding weight function of each generator are calculated.
(5)
Set the parameter search space of the series correction controller of the hydroelectric unit and the active power additional controller of the PV generator and give their upper and lower limits.
(6)
Using the Monte Carlo algorithm, a set of controller parameters for hydropower and PV generators is randomly generated in the search space of control parameters input in (5).
(7)
According to the frequency sweep range set in (3), bring each frequency sweep point into the constructed extended M-Δ model, calculate the structural singular value and judge whether it is less than or equal to 1, and if the requirements are met, this set of controller parameters is indicated and the system can meet the robust performance requirements; otherwise, return to (6) and regenerate new parameters for calculation.

6. Case Analysis

6.1. Introduction to Study System

Case 1. Single-Hydropower and Single-PV System

Firstly, an island system with a PV generator and a hydropower generator connected to the grid was selected for modeling analysis. The capacity of the hydropower generator is 140 MW, the terminal voltage is 10 kV, the capacity of the PV generator is 10 MW, and the terminal voltage is 0.4 kV. The two generators pass through a step-up transformer connected to a 110 kV line. The local load is 60 MW + 10 MVar, and the parameters of each component of the hydropower generator are shown in Table 1.
The PV generator adopts constant power outer loop control, and the filter inductance is 0.04 mH. The parameters of the power outer loop and current inner loop control controller are shown in Table 2.

Case 2. Actual System in a County in Sichuan Province, China

The site is located on a plateau in the west of Sichuan Province, China. The local capacity to absorb clean energy is relatively poor. When disasters, maintenance issues, or failures occur, the power grid in this area is switched to off-grid operation. The low-frequency oscillation phenomenon in this power grid structure is shown in Figure 12.
The system includes five hydropower stations, CCB, MP, YJW, HJQ, and MGQ, and two PV stations, XNH and MX. The terminal voltage of the hydropower generators in the system of the demonstration area is 10 kV, and the overall installed capacity is 380 MW, of which that of CCB is 65 MW, that of MP is 55 MW, that of YJW is 75 MW, that of HJQ is 140 MW, and that of MGQ is 45 MW. The terminal voltage of the PV generators is 0.4 kV, the overall installed capacity is 20 MW, and the capacity of XNH and MX is 10 MW in each. The local load is 60 MW + 10 Mvar, and the constant impedance model is used for modeling.
The outputs of the XNH and MX PV stations are 10 MW and 5 MW, respectively. The hydroelectric units adopt a PID governor. Relevant parameters were designed in accordance with the actual data. The specific parameters are shown in Table 3.

6.2. Verification of Hydropower Cascade Correction Control Method

In Case 1, in the hydropower generator, when a PSO optimization algorithm was used, the lower limit of the cascade correction controller parameters of the hydropower generator was 0.01, and the upper limit was 10. The controller parameters of the hydropower generator are shown in Table 4:
The traditional method of optimizing the parameters of the PID governor of the hydropower generator also had a certain inhibitory effect on ULFOs. The parameters of the governor of the hydropower generator were as shown in Table 5.
The running time of the system was set to 100 s, and 30 MW active load was used as a disturbance at 50 s. The frequency response comparison of the system caused by different control methods is shown in Figure 13.
When no control was used, the system oscillated violently and took a long time to enter a steady state. Using the traditional method of optimizing the parameters of the governor could suppress ULFOs, but it also affected the performance of the primary frequency modulation, making the frequency adjustment time very slow. After using the series correction controller, not only was the ultra-low-frequency oscillation suppressed, but it did not affect FM time.

6.3. Verification of Photovoltaic Active Power Additional Control Method

To verify the effectiveness of the ULFO suppression capacity of the PV additional controller proposed in this section, the controller parameter K was set to 250. The capacity of the PV station was 10 MW. In order to verify the effectiveness of the controller, two adjustment effects, one-way and two-way, were compared and analyzed, and the reservation of photovoltaic capacity w modified as no reservation, 10% reservation, and 30% reservation. The comparison of the system frequency response before and after adding the controller is shown in Figure 14.
It can be seen in the above figure that after adding the PV additional controller, ULFO was better suppressed. With an increase in PV reservation, the oscillation suppression effect was better, but the utilization rate of PV generators was reduced. Therefore, taking into account the reserved capacity of PV generators, 10% was the optimal selection.

6.4. Verification of ULFO Suppression Control Method in Actual Hydro–PV Complementary System

The upper limit of the parameters of the hydropower controller is 10 and the lower limit is 0.01; the upper limit of the coefficient K of the PV controller is 1000, and the lower limit is 50. A Monte Carlo search was conducted, and it was judged whether the structural singular values in the sweep frequency band are all less than or equal to 1 and meet the requirements. A set of typical control parameters within the parameter range is shown in Table 6.
Using the governor parameters found above, the hydropower and PV controllers were incorporated into the Case 2 system at the same time. The capacity of the PV generator was reserved as 10%. Since the system operation mode may change, three working conditions were set.
Working condition 1: The governor parameters and water turbine parameters of the hydropower generator are shown in Table 1. The system running time was set to 50 s, and when the setting was 1 s, a 30 MW active load was put in. The comparison of the frequency responses is shown in Figure 15.
Working condition 2: Under different start-up modes, the governors of each hydropower generator may adopt different control parameters, and the changed governor parameters are shown in Table 7.
The parameter TW remained unchanged, the parameters of the governor were adopted as in the above table, the system running time was set to 50 s, and an active load of 30 MW was put in. When the setting was 1 s, the frequency responses compared as shown in Figure 16:
Working condition 3: When the parameters or the loading conditions of the hydropower generators are different, the actual time constant of the water hammer effect will change. When the set parameters of the governor are unchanged, the changes in the time constant of the water hammer effect of each unit are shown in Table 8.
The parameters of the governor remained unchanged, and the time constant of the water hammer effect was used as in the above table. The system running time was set to 50 s, and the active load of 30 MW was put into a setting of 1 s. The frequency responses compared as shown in Figure 17.
In Figure 15, Figure 16 and Figure 17, it can be seen that the hydro–PV coordination controller designed in this paper had a good ULFO suppression effect. If it is considered that the frequency deviation was less than 0.1% and the system entered a stable operation state, then the overshoot and adjustment time are shown in Table 9.
As can be seen in Table 9, compared with no controller, adding the controller could make the ULFO of the system settle down quickly and reduced the adjustment time. By comparing the overshoot and adjustment times of the different working conditions, it can be seen that the proposed control method could effectively suppress ULFOs under different working conditions and had good robustness.

7. Conclusions

Aiming at the ULFO phenomenon in hydro–PV complementary systems, this paper proposes a robust design method for ULFO suppression control based on the hydro–PV complementary system. The main conclusions are as follows:
(1)
A hydropower generator and PV generator in a hydro–PV complementary system are mathematically modeled; then, a series correction controller is proposed for the single hydropower generator, and an active power additional controller is proposed for the PV generator.
(2)
According to the characteristics of the uniform frequency of the whole network during ULFO, a unified frequency model for multi-hydropower and multi-PV systems considering PV generators is established. The structural singular value method is introduced to coordinate the design of controller parameters for the hydropower generator and the PV generator.
(3)
A time-domain simulation based on the single-hydropower and single-PV system and on an actual hydro–PV complementary system in a certain place in Sichuan Province, China, verify the effectiveness of the controller proposed in this paper.
This paper mainly considers the ULFOs occurring in hydro–PV complementary systems, but multi-energy complementary systems include hydro–wind complementary systems, hydro–PV–wind complementary systems, and so on. The influence of wind power on ULFO and how wind power participates in its control need to be further studied.

Author Contributions

Conceptualization, X.Z. and G.C.; methodology, X.Z.; software, H.S.; validation, S.W.; formal analysis, P.S.; resources, G.C.; data curation, H.S.; writing—original draft preparation, X.Z.; writing—review and editing, S.W. All authors have read and agreed to the published version of the manuscript.

Funding

This research was funded by a science and technology project of the State Grid Corporation of China, grant number 52199722000D.

Data Availability Statement

Not applicable.

Acknowledgments

Sincere thanks to Jiaxuan Wang, Gan Li and Biao Wang.

Conflicts of Interest

The authors declare no conflict of interest.

References

  1. An, Y.; Fang, W.; Huang, Q.; Xie, X.; Shi, X.; Ding, H. Preliminary Research of Theory and Method of Hydro/Solar Complementary Operation. Acta Energ. Sol. Sin. 2016, 37, 1985–1992. [Google Scholar]
  2. Han, X.; Ding, L.; Chen, G.; Liu, G.; Lin, G. Key Technologies and Research Prospects for Cascaded Hydro-Photovoltaic-Pumped Storage Hybrid Power Generation System. Trans. China Electrotech. Soc. 2020, 35, 2711–2722. [Google Scholar]
  3. Zhou, Y.; Chang, F.J.; Chang, L.C.; Lee, W.D.; Huang, A.; Xu, C.Y.; Guo, S. An advanced complementary scheme of floating photovoltaic and hydropower generation flourishing water-food-energy nexus synergies. Appl. Energy 2020, 275, 115389. [Google Scholar] [CrossRef]
  4. Sun, L.; Zhao, X. Modelling and Analysis of Frequency-Responsive Wind Turbine Involved in Power System Ultra-Low Frequency Oscillation. IEEE Trans. Sustain. Energy 2022, 13, 844–855. [Google Scholar] [CrossRef]
  5. Lu, X.; Chen, L.; Chen, Y.; Min, Y.; Hou, J.; Liu, Y. Ultra-low-frequency Oscillation of Power System Primary Frequency Regulation. Autom. Electr. Power Syst. 2017, 41, 64–70. [Google Scholar]
  6. Maleki, A.; Khajeh, M.G.; Ameri, M. Optimal sizing of a grid independent hybrid renewable energy system incorporating resource uncertainty, and load uncertainty. Int. J. Electr. Power Energy Syst. 2016, 83, 514–524. [Google Scholar] [CrossRef]
  7. Xie, R.; Kamwa, I.; Rimorov, D.; Moeini, A. Fundamental study of common mode small-signal frequency oscillations in power systems. Int. J. Electr. Power Energy Syst. 2018, 106, 201–209. [Google Scholar] [CrossRef]
  8. Pico, H.V.; McCalley, J.D.; Angel, A.; Leon, R.; Castrillon, N.J. Analysis of Very Low Frequency Oscillations in Hydro-Dominant Power Systems Using Multi-Unit Modeling. IEEE Trans. Power Syst. 2012, 27, 1906–1915. [Google Scholar] [CrossRef]
  9. Huseek, P. PID controller design for hydraulic turbine based on sensitivity margin specifications. Int. J. Electr. Power Energy Syst. 2014, 55, 460–466. [Google Scholar] [CrossRef]
  10. Chen, G.; Tang, F.; Shi, H.; Yu, R.; Wang, G.; Ding, L.; Liu, B.; Lu, X. Optimization Strategy of Hydrogovernors for Eliminating Ultralow-Frequency Oscillations in Hydrodominant Power Systems. IEEE J. Emerg. Sel. Top. Power Electron. 2018, 6, 1086–1094. [Google Scholar] [CrossRef]
  11. Mo, W.; Chen, Y.; Chen, H.; Liu, Y.; Zhang, Y.; Hou, J.; Gao, Q.; Li, C. Analysis and Measures of Ultra-Low-Frequency Oscillations in a Large-Scale Hydropower Transmission System. IEEE J. Emerg. Sel. Top. Power Electron. 2017, 6, 1077–1085. [Google Scholar] [CrossRef]
  12. Chen, L.; Lu, X.; Min, Y.; Zhang, Y.; Chen, Q.; Zhao, Y.; Ben, C. Optimization of Governor Parameters to Prevent Frequency Oscillations in Power Systems. IEEE Trans. Power Syst. 2018, 33, 4466–4474. [Google Scholar] [CrossRef]
  13. Hassan, M.A.; Abido, M.A. Optimal Design of Microgrids in Autonomous and Grid-Connected Modes Using Particle Swarm Optimization. IEEE Trans. Power Electron. 2011, 26, 755–769. [Google Scholar] [CrossRef]
  14. Su, Y.; Liu, T.; Li, B.; Jiang, Q.; Han, X.; Chen, G. Mechanism Analysis of Ultra-low Frequency Oscillation and Parameter Optimization of Hydro Turbine Governor. Power Syst. Technol. 2020, 44, 1008–1016. [Google Scholar]
  15. Xiao, C.; Wang, D.; Li, Z.; Li, Z.; Zhou, X.; Kang, J. Research on Parameter Optimization Control of Turbine Governor for Suppressing Ultra-low Frequency Oscillation in Power Systems. Power Syst. Technol. 2020, 44, 2135–2142. [Google Scholar]
  16. Huang, W.; Duan, R.; Jiang, C.; Zhou, J.; Gan, D. Stability Analysis of Ultra-low Frequency Oscillation and Governor Parameter Optimization for Multi-machine System. Autom. Electr. Power Syst. 2018, 42, 185–191. [Google Scholar]
  17. Teimour, H.; Seyed, M.S.; Seyed, A.S.; Gevork, B.G. Improvement of Identification Procedure Using Hybrid Cuckoo Search Algorithm for Turbine-Governor and Excitation System. IEEE Trans. Energy Convers. 2019, 34, 585–593. [Google Scholar]
  18. Zhang, G.; Hu, W.; Cao, D.; Huang, Q.; Yi, J.; Chen, Z.; Blaabjerg, F. Deep Reinforcement Learning Based Approach for Proportional Resonance Power System Stabilizer to Prevent Ultra-Low-Frequency Oscillations. IEEE Trans. Smart Grid 2020, 11, 5260–5272. [Google Scholar] [CrossRef]
  19. Liu, S.; Wang, D.; Ma, N.; Deng, W.; Zhou, X.; Wu, S.; He, P. Study on Characteristics and Suppressing Countermeasures of Ultra-low Frequency Oscillation Caused by Hydropower Units. Proc. CSEE 2019, 38, 5354–5362. [Google Scholar]
  20. Shah, R.; Mithulananthan, N.; Lee, K.Y. Wide-area measurement signal-based stabiliser for large-scale photovoltaic plants with high variability and uncertainty. IET Renew. Power Gener. 2013, 7, 614–622. [Google Scholar] [CrossRef]
  21. Qi, J.; Wu, Q.; Zhang, Y.; Weng, G.; Zhou, D. Unified Residue Method for Design of Compact Wide-area Damping Controller Based on Power System Stabilizer. J. Mod. Power Syst. Clean Energy 2020, 8, 367–376. [Google Scholar] [CrossRef]
  22. Liu, Y.; Zhu, L.; Zhan, L.; Gracia, J.R.; King, T.J.; Liu, Y. Active Power Control of Solar PV Generation for Large Interconnection Frequency Regulation and Oscillation Damping. Int. J. Energy Res. 2016, 40, 353–361. [Google Scholar] [CrossRef]
  23. Ullah, N.; Nisar, F.; Alahmadi, A.A. Closed Loop Control of Photo Voltaic Emulator Using Fractional Calculus. IEEE Access 2020, 8, 28880–28887. [Google Scholar] [CrossRef]
  24. Ma, Y.; Jiang, Y.; Chen, L.; Zhao, S. An ADRC Additional Damping Control Strategy Research on Low Frequency Oscillation Suppression of Photovoltaic Plants. Power Syst. Technol. 2017, 41, 1741–1747. [Google Scholar]
  25. Bai, F.; Wang, B. Influence and Suppression of Grid-connected Solar Power Plants on Low Frequency Oscillation. Acta Energ. Sol. Sin. 2020, 41, 255–261. [Google Scholar]
  26. Zhang, T.; Xiao, S. Stability Analysis of Sampled-Data Control System and Its Application to Electric Power Market. Chin. J. Electr. Eng. 2020, 6, 61–70. [Google Scholar] [CrossRef]
  27. Rashid, K.; Mohammadi, K.; Powell, K. Dynamic Simulation and Techno-Economic Analysis of a Concentrated Solar Power (CSP) Plant Hybridized with Both Thermal Energy Storage and Natural Gas. J. Clean. Prod. 2020, 248, 119–193. [Google Scholar] [CrossRef]
  28. Deng, J.; Xia, N.; Yin, J.; Jin, J.; Peng, S.; Wang, T. Small-Signal Modeling and Parameter Optimization Design for Photovoltaic Virtual Synchronous Generator. Energies 2020, 13, 398. [Google Scholar] [CrossRef]
  29. Zhang, J.; Zhao, Y.; Xu, Y.; Li, Z.; Bai, W. Mode Identification and Damping Torque Analysis of Ultra-Low Frequency Oscillations. In Proceedings of the 2019 IEEE Sustainable Power and Energy Conference (iSPEC), Beijing, China, 21–23 November 2019; pp. 980–985. [Google Scholar]
  30. Melkote, H.; Khorrami, F.; Jain, S.; Mattice, M.S. Robust Adaptive Control of Variable Reluctance Stepper Motors. IEEE Trans. Control Syst. Technol. 1999, 7, 212–221. [Google Scholar] [CrossRef]
Figure 1. Transfer function block diagram of speed control system.
Figure 1. Transfer function block diagram of speed control system.
Applsci 13 11066 g001
Figure 2. Block diagram of excitation system.
Figure 2. Block diagram of excitation system.
Applsci 13 11066 g002
Figure 3. Block diagram of PV. Symbols: Cdc, direct current (DC) capacitor; Udc, DC output voltage; Idc, DC output current; Lf, alternating current (AC) inductor; Rline, AC line resistance; Lline, AC line inductance.
Figure 3. Block diagram of PV. Symbols: Cdc, direct current (DC) capacitor; Udc, DC output voltage; Idc, DC output current; Lf, alternating current (AC) inductor; Rline, AC line resistance; Lline, AC line inductance.
Applsci 13 11066 g003
Figure 4. Power controller structure of PV inverter.
Figure 4. Power controller structure of PV inverter.
Applsci 13 11066 g004
Figure 5. Control structure of the hydropower generator.
Figure 5. Control structure of the hydropower generator.
Applsci 13 11066 g005
Figure 6. The damping torque coefficient changes with frequency before and after adding the controller.
Figure 6. The damping torque coefficient changes with frequency before and after adding the controller.
Applsci 13 11066 g006
Figure 7. Control structure of the PV generator with active power additional controller.
Figure 7. Control structure of the PV generator with active power additional controller.
Applsci 13 11066 g007
Figure 8. A unified frequency model for multiple hydropower generators.
Figure 8. A unified frequency model for multiple hydropower generators.
Applsci 13 11066 g008
Figure 9. Unified frequency response model of multi-machine system considering PV generators.
Figure 9. Unified frequency response model of multi-machine system considering PV generators.
Applsci 13 11066 g009
Figure 10. The reconstructed standard M-∆ model.
Figure 10. The reconstructed standard M-∆ model.
Applsci 13 11066 g010
Figure 11. Unified frequency model with uncertainty.
Figure 11. Unified frequency model with uncertainty.
Applsci 13 11066 g011
Figure 12. Structure of the hydro–PV complementary system in Sichuan.
Figure 12. Structure of the hydro–PV complementary system in Sichuan.
Applsci 13 11066 g012
Figure 13. Comparison of system frequency response under different control methods.
Figure 13. Comparison of system frequency response under different control methods.
Applsci 13 11066 g013
Figure 14. Comparison of system frequency response before and after adding controller in different PV reservation capacities.
Figure 14. Comparison of system frequency response before and after adding controller in different PV reservation capacities.
Applsci 13 11066 g014
Figure 15. System frequency dynamic response under working condition 1.
Figure 15. System frequency dynamic response under working condition 1.
Applsci 13 11066 g015
Figure 16. System frequency dynamic response under working condition 2.
Figure 16. System frequency dynamic response under working condition 2.
Applsci 13 11066 g016
Figure 17. System frequency dynamic response under working condition 3.
Figure 17. System frequency dynamic response under working condition 3.
Applsci 13 11066 g017
Table 1. Parameters of each control link of the hydropower generator.
Table 1. Parameters of each control link of the hydropower generator.
KPKIbpTWKaTa
31.80.0514000.055
Table 2. Fixed power controller parameters of the PV generator.
Table 2. Fixed power controller parameters of the PV generator.
KppKipKpqKiqKpiKii
0.1200.12012.5
Table 3. Hydraulic unit speed control system parameter table.
Table 3. Hydraulic unit speed control system parameter table.
Station NameKPKIKDbpTGTW
CCB2100.050.21.5
MP2.51.200.050.21
YJW2100.050.21.5
HJQ1.50.800.050.22
MGQ2.51.200.050.21
Table 4. Controller parameter list of single-hydro system.
Table 4. Controller parameter list of single-hydro system.
KcT1T2T3T4
1.052.982.133.212.01
Table 5. Parameters of hydro turbine governor optimized by the traditional method.
Table 5. Parameters of hydro turbine governor optimized by the traditional method.
KPKIKDTGTW
3.460.5700.21.5
Table 6. Parameters of hydro turbine governor optimized by the proposed method.
Table 6. Parameters of hydro turbine governor optimized by the proposed method.
Station NameKcT1T2T3T4K
CCB1.023.161.823.161.82/
MP0.892.921.962.921.96/
YJW1.023.161.823.161.82/
HJQ1.133.021.613.021.61/
MGQ0.892.921.962.921.96/
XNH/////800
MX/////400
Table 7. Hydropower unit governor parameters under different operating conditions.
Table 7. Hydropower unit governor parameters under different operating conditions.
NameCCBMPYJWHJQMGQ
KP21.2521.52.5
KI0.50.60.50.41
Table 8. Turbine parameters of hydropower generator under different operating conditions.
Table 8. Turbine parameters of hydropower generator under different operating conditions.
NameCCBMPYJWHJQMGQ
TW32342
Table 9. Comparison of overshoot and adjustment time under different working conditions.
Table 9. Comparison of overshoot and adjustment time under different working conditions.
Working ConditionsControllerOvershootAdjustment Time
1No controller0.70%38.948
Add controller0.0003%12.645
2No controller0.47%40.170
Add controller0%21.156
3No controller1.03%56.108
Add controller0.0066%11.641
Disclaimer/Publisher’s Note: The statements, opinions and data contained in all publications are solely those of the individual author(s) and contributor(s) and not of MDPI and/or the editor(s). MDPI and/or the editor(s) disclaim responsibility for any injury to people or property resulting from any ideas, methods, instructions or products referred to in the content.

Share and Cite

MDPI and ACS Style

Zeng, X.; Chen, G.; Shi, H.; Wang, S.; Shi, P. A Robust Design Method for Ultra-Low-Frequency Oscillation Suppression Control in Hydro–Photovoltaic Complementary Systems. Appl. Sci. 2023, 13, 11066. https://doi.org/10.3390/app131911066

AMA Style

Zeng X, Chen G, Shi H, Wang S, Shi P. A Robust Design Method for Ultra-Low-Frequency Oscillation Suppression Control in Hydro–Photovoltaic Complementary Systems. Applied Sciences. 2023; 13(19):11066. https://doi.org/10.3390/app131911066

Chicago/Turabian Style

Zeng, Xueyang, Gang Chen, Huabo Shi, Sijia Wang, and Peng Shi. 2023. "A Robust Design Method for Ultra-Low-Frequency Oscillation Suppression Control in Hydro–Photovoltaic Complementary Systems" Applied Sciences 13, no. 19: 11066. https://doi.org/10.3390/app131911066

APA Style

Zeng, X., Chen, G., Shi, H., Wang, S., & Shi, P. (2023). A Robust Design Method for Ultra-Low-Frequency Oscillation Suppression Control in Hydro–Photovoltaic Complementary Systems. Applied Sciences, 13(19), 11066. https://doi.org/10.3390/app131911066

Note that from the first issue of 2016, this journal uses article numbers instead of page numbers. See further details here.

Article Metrics

Back to TopTop