You are currently viewing a new version of our website. To view the old version click .
Applied Sciences
  • Article
  • Open Access

15 May 2023

Forecasting the Distortion in Solar Radiation during Midday Hours by Analyzing Solar Radiation during Early Morning Hours

,
,
,
and
1
Electrical Engineering Department, College of Engineering, Prince Sattam bin Abdulaziz University, Al-Kharj 11942, Saudi Arabia
2
Electrical Engineering Department, College of Engineering, Aden University, Aden 6312, Yemen
3
Sustainable Energy Technologies Center, King Saud University, Riyadh 11421, Saudi Arabia
*
Author to whom correspondence should be addressed.

Abstract

Knowing the fluctuation of solar radiation is essential for reliable and safe operation of power systems with a high share of solar PV power plants. This paper introduces a novel method for forecasting the distortion in global solar radiation during the midday time (during the peak of solar radiation at which the generation of the PV plants is maximum), by analyzing the solar radiation during the very early hours. This paper shows that there is a strong relation between the condition of the solar radiation during the very early minutes of the day (when the generation of the PV plants is low) and the condition of the solar radiation during the midday hours (when the output of the PV plants is enormous). This relation can be utilized to help power systems operators in determining the safe share of PV plants that can be fed to power systems. We analyzed real data of one complete year for two sites in Saudi Arabia to approve this approach. The difference between each two readings was calculated for the hours 7 a.m. and 8 a.m. Then, the negative, zero, and amplitude of the difference was used to formulate a distortion index (DI) that predicts the distortion/fluctuation in the global radiation. It was concluded that the DI could classify the days into three categories: clean, distorted, and medium level according to the value of the DI. The accuracy of this approach was 85.2% and the error was 14.8%.

1. Introduction and Literature Review

Renewable energy resources have become important power sources in the current world of energy. Solar photovoltaic (PV) energy is preferred over other renewable energy resources since it is an environmentally friendly, non-noisy, and non-exhaustible source [1,2]. The total PV installations in 2017 was 100 GW, which increased by 32% compared with 2016, bringing the global PV energy installations to 408 GW. According to marketing forecasts, the total PV installation will grow from 255.8 GW in 2023 to 347 GW in 2026 [3].
The amount of solar PV power generation mainly depends on the meteorological conditions such as solar radiation, ambient and PV module temperatures, wind speed, humidity, dust, etc. [4]. On the other hand, solar PV energy exhibits randomness generation and finally the total solar PV cost will be higher. Moreover, the use of a huge number of inverters and DC-DC converters may lead to power system instability. All of these problems could be mitigated by the accurate forecasting of solar radiation [1,5]. Therefore, the installation of new PV plant requires more forecasting research on the effect of meteorological conditions in order to forecast the generated amount of PV. Solar radiation forecasting helps in optimal sizing of the PV plant, which leads to a reduction in the installation and operation costs [6].
Various models have been proposed in the literature to provide accurate solar PV energy forecasting for the next few minutes to the next few days. Some review papers classified the solar radiation forecasting models into empirical and statistical models, based on artificial intelligence techniques, or hybrid models [7,8]. Empirical models have been classified into four categories: sunshine-based models, temperature-based models, cloud-based models, and other meteorological parameter-based models [9,10]. Sunshine-based models are the most common models that are used for solar radiation estimation. The sunshine period is an important measure to estimate solar radiation. Most of the sunshine models use a formula called a sunshine ratio to estimate the monthly average daily solar radiation. This formula is a linear relationship between two ratios: the ratio of the measured average daily solar radiation to the theoretical clear day value and the other ratio of the measured average daily sunshine duration to the theoretical maximum possible sunshine duration [11]. This formula, called the Angstrom–Prescott model, was firstly proposed in Ref. [12]. The Angstrom–Prescott model has been improved and optimized to produce more accurate results suitable for different applications and different study areas [11,13,14,15,16,17].
Statistical methods are based on driving a relationship between the predictors, input, and output variables [18,19]. Univariate time series analysis models are based on statistical quantitative analysis to forecast one variable based on past observations. On the other hand, multivariate time series analysis models are based on statistical analysis of more than one variable in the time domain [20,21]. The authors in [22] proposed three methods based on global horizontal irradiance using closure equation and cloud cover information. The authors in [23] proposed a multivariate forecast model which uses s temperature, humidity, and nebulosity meteorological combinations.
Artificial intelligence techniques are software programs used to solve nonlinear complex problems without the need for a mathematical model. These are fuzzy logic (FL), artificial neural network (ANN), genetic algorithm (GA), support vector machine (SVM), extreme learning machine (ELM), etc. The authors in [24] proposed a model based on FL and SVM for horizontal global solar radiation estimation. In this model, linear, polynomial, Gaussian, and sigmoid functions are used for solar radiation estimation. On the other hand, the authors in [25] proposed an FL model for daily global solar radiation prediction in Morocco. They concluded that the proposed model gives accurate results compared with two other models’ higher-order statistics. The authors in [26] proposed an FL model for global solar radiation forecasting using only the air temperature variable. From another point of view, one of the most common techniques used for solar forecasting is the ANN [27]. Several different architectures of ANNs have been viewed in the literature to model solar radiation forecasting. Ref. [28] presented a practical method for 24 h ahead forecasting of solar radiation using multi-layer perceptron ANN. The results showed that the correlation coefficient is about 98–99% for sunny days and 94–96% for cloudy days. Ref. [29] proposed a new model for solar power forecasting which is a combination of two algorithms: recurrent trained ANN and cooperative neuro-evolution algorithm. Two scenarios were considered and developed: univariate which uses previous power data and multivariate which uses two input variables, previous power data and weather conditions. A data set for two years was used for the evaluation of the proposed model. The authors of Ref. [30] proposed an ANN model for solar radiation estimation. Two data sets were used for evaluation of the proposed method. One data set is daily collected data for four years which includes solar radiation, maximum and minimum temperature, relative humidity, and wind speed. The other data set was gathered during February 2004 with 15 min intervals. The results showed that the proposed model could forecast the exact solar radiation. In [31], three methods were compared with each other for solar forecasting: smart persistence, ANN, and random forest. The objective was to forecast the hourly solar radiation from 1 to 6 hours ahead. The findings reveal that the random forest is the most efficient method compared with the other two methods. The authors in [32] proposed ANN models for daily solar global radiation prediction. The input variables were the air temperature, relative humidity, sunshine hours, wind speed, and evaporation. The data set was collected for four years. Two different ANN techniques were applied for modeling purposes: multi-layer perceptron and radial basis function ANN. They concluded that the multi-layer perceptron technique gives better performance than the other technique.
From another point of view, some other papers focused on hybrid models for solar radiation forecasting [7,33]. Hybrid models are a mix of two or more techniques that were discussed above. The mixing of two or more techniques give better performance and increase the overall accuracy of the solar radiation prediction [8,34,35]. The authors in [36] utilized the ANN-Fuzzy hybrid (ANFIS) technique to predict the solar radiation. The model was trained using daily solar radiation data for ten years. The results prove the good performance of the proposed model. The authors in [37] utilized the ANFIS technique for daily global solar radiation prediction for three cities in Iran. The following nine input parameters were considered: sunshine duration, maximum, minimum, and average air temperature, relative humidity, water vapor pressure, maximum possible sunshine duration, sea level pressure, and extraterrestrial radiation. The findings show that the selection of the input variables has the greatest impact on accurate solar radiation prediction. Moreover, Ref. [38] proposed the ANFIS technique for solar radiation prediction. The input variables are the monthly mean minimum temperature, monthly mean maximum temperature, and the sunshine period. The obtained results were compared with the experimental results using two indicators: root mean square error and the coefficient of determination. The comparison proved the accuracy of the proposed model to predict the solar radiation. The authors in [39] utilized the particle swarm optimization (PSO) to train ANN for monthly mean daily global solar radiation prediction in Saudi Arabia. The input variables of the model are: the month of the year, sunshine period, and longitude and latitude of the site. To prove the performance of the proposed model, it was compared with the ANN trained by the backpropagation algorithm. The authors in [40] proposed three models for monthly solar radiation prediction; ANFIS, hybrid ANFIS, and PSO, and hybrid ANFIS and differential evolution. The input variables are the maximum and minimum air temperature and the sunshine duration. The performances of the three models were compared with other published benchmark models. In addition, the three models were evaluated using root mean square error, co-efficient of determination, and mean absolute bias error statistical indicators. The authors in [41] proposed a hybrid model based on SVM and firefly algorithm (SVM–FFA) for forecasting the monthly mean global solar radiation. The input variables are the maximum air temperature, minimum air temperature, and the sunshine period. The performance and the precision of the proposed hybrid technique were compared with the ANN and the GA techniques. The authors in [33] proposed a new hybrid model for daily global solar radiation forecasting. The proposed hybrid model is a combination of the multi-layer perceptron and the boosted decision tree techniques. A combination of different input variables was used: extraterrestrial solar radiation, daily minimum air temperature, daily maximum air temperature, daily mean air temperature, sunshine duration, and extraterrestrial solar radiation. The experimental results revealed that the high accuracy of the multi-layer perceptron is higher than the other one.
This paper proposes a new way in dealing with the problem of forecasting solar radiation. This paper presents a method to classify the global solar radiation into different categories in terms of the distortion/fluctuation in solar radiation so that the power systems operators can determine—with good accuracy—whether the power generation from the PV plants is reliable or not. The importance of predicting the distortion in the midday hours is to avoid the sudden loss of high power generation from PV plants during midday hours and to avoid the unexpected misbalance between the generation and load, which leads to many dangerous situations in power systems.
In this paper, we introduce a distortion index (DI) that gives information about the fluctuation of global solar radiation during the midday hours (at which the radiation is at its peak and the PV power generation is maximum) by analyzing the solar radiation of the early minutes. Compared with the other prediction techniques, the proposed technique is characterized by its simplicity in modeling and implementation. In addition, the simplicity of the proposed approach makes it suitable for use in slow and low-memory processors. The proposed approach was tested under different real weather data and at different months. Simulation results showed that the proposed approach succeeded in forecasting the distortion of the solar radiation at midday by measuring the early morning radiation with good accuracy.

2. Hypothesis and Methodology

We hypothesize that the distortion in the global solar radiation during the midday hours can be forecasted/expected by studying the solar radiation of the very early minutes. Studying the behavior of solar radiation in the early morning time yields good information about the behavior of solar radiation in the midday time. The aim of this approach is not to estimate the value of solar radiation but the aim is to know if there is a fluctuation in solar radiation during the time of significant power generation from PV plants or not.
This forecasting helps in predicting the fluctuations in PV plants’ generation when their impact is significant. Hence, the reliability of the integration of PV plants is increased and the negative consequences of the sudden fluctuation of solar radiation can be decreased.

2.1. Methodology

The global solar radiation of one complete year for two sites Saudi Arabia was considered in this research. These two sites are Riyadh city and Al-Kharj city. The per-minute readings of global solar radiation for the year 2019 were obtained from King Abdullah City for Atomic and Renewable Energy (KACARE), the leading authorized agency that is responsible for collecting and monitoring the data on renewable energy resources in Saudi Arabia. It should be noted that there are many published papers in various journals depending on the data of KACARE [42,43]. The mathematical difference between every two readings during the hours 7 a.m. and 8 a.m. (early morning hours) was calculated. The following information was deduced from the difference between the readings of the early hours:
1—Sunny day (normal situation): if the difference is positive, the radiation is increasing which is a normal situation.
2—Cloudy day (abnormal situation): if the difference is negative, the radiation is decreasing which is an abnormal situation that implies that there are clouds in the sky.
3—If the difference is zero, the radiation is fixed, which means that the clouds still exist.
These information are utilized to obtain a distortion index (DI) for solar radiation during the midday hours to consequently forecast the fluctuation in the power generation from PV plants.

2.2. Mathematical Modeling

The proposed approach is characterized by its simplicity. The mathematical modeling is straightforward. Assuming that the solar radiation at minute n is given by Gn, then the difference (D) between the solar radiation at minute n and the solar radiation at minute n + 1 during the early hours is given by Equation (1):
D ( G ) = k ( G n + 1 G n ) ,
where k is constant to magnify the difference between the two values. This difference D will be investigated to extract more information about the behavior of the radiation in the future which is the midday hours. For clear sky conditions, the function D is always positive in the first half of the day time, i.e., until noon time.
The following distortion index (DI) function is formulated using the difference function D:
D I = w 1 N V + w 2 Z V + w 3 A ,
where w 1 , w 2 , and w 3 are weights that can be varied according to the readings, and coefficient NV is the number of events/times when the values of the difference D are negative. Coefficient NV quantifies the frequency of radiation decrements due to cloud passage. High values of NV mean high fluctuations in solar radiation. Coefficient ZV is the zero value of the function D which gives hints about the period of cloud coverage that causes a lack in solar radiation. In addition, coefficient A is the amplitude of D that is greater than a threshold value. A is related to the severity of the cloud coverage. High values of the coefficient A mean big variation in solar radiation and vice versa.
For clear sky conditions, the DI will be zero. For days with clouds, the DI will be a positive number whose value is proportional to the condition of the clouds in terms of severity and frequency of cloud coverage.
After calculating the objective function DI, we assume that the solar radiation of the midday hours (hours 10 a.m. to 1 p.m.) will have similar trends to the solar radiation of the early hours of the day and, hence, we can interpret high values of DI as a high distortion/fluctuation of solar radiation during the midday time and the low values of the objective function DI as a low distortion/fluctuation.
For the first stage of this research, the following ranges of the DI were considered:
1—0–40 means low distortion in solar radiation.
2—41–60 means medium distortion in solar radiation.
3—More than 60 means high distortion in solar radiation.
These ranges were selected after examining the data of the solar radiation.
Using this methodology, we can predict the reliability and the fluctuation in the generation of solar PV plants during the midday hours.

3. Results and Discussion

This section presents and discusses the results of the proposed approach. The proposed approach was applied over a data set of per-minute readings of global solar radiation for one year (2019) for two locations: Riyadh city and Al-Kharj city.
The calculation was conducted using Matlab. The results of some days for some months are presented in this section. The values of the constants: k, w1, w2, and w3 are 10, 2, 2 and 0.5, respectively.

3.1. Testing the Performance of the Proposed Technique in the First Location (Riyadh City)

Figure 1 shows the results of 5 days (1–5) of January. The left side shows the solar radiation (w/m2) with time in minutes for each day. The order of the solar radiation plots is from 1 to 5 sorted downward (the top is the 1st day). The right side shows the values of the DI for each day (the x axis represents the day number in the year starting at 1 for the first day of January and ending with 365 for the last day of December) sorted from left to right (the most left is the 1st day). The solar radiation of the 1st and 2nd days is distorted especially the 2nd day and, therefore, the values of the DI are high for these 2 days (both are >70). The value of the DI of the 2nd day is higher than that of the 1st day. For the 3rd and 4th days, the solar radiation is stable and hence their values of DI are low (approximately 40). The solar radiation of the 5th day has little distortion and hence its DI is in the medium range.
Figure 1. The solar radiation of days 1–5 of January (left) and the distortion index (DI) (right).
Figure 2 shows the results of another 5 days (11–15) from January. Obviously, the solar radiation of days 12–15 is distorted and their distortion indices are high. Since the DIs of days (12–15) are greater than 60, the forecasted solar radiation is distorted in the midday hours. It is clear that the solar radiation during midday time is distorted which proves the accuracy of the proposed approach in predicting the fluctuation in the solar radiation during midday time by measuring the radiation during the early hours of the day. For day 11, the DI is relatively low (<60) and its solar radiation is nearly stable with very little distortion in the noon time.
Figure 2. The solar radiation of days 11–15 of January (left) and the distortion index (DI) (right).
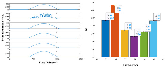
Figure 3 shows the results of days 1–5 of February. As the figure shows, the DI is high (>60) for days 1–3 whose radiation is distorted especially days 2 and 3. The DI of day 4 is low and its radiation is clean (DI < 40). However, the radiation of the 5th day is distorted but its DI is low, which means that the proposed method failed to predict the distortion on this day. The reason behind this failure needs further investigation.
Figure 3. The solar radiation of days 1–5 of February (left) and the distortion index (DI) (right).
Figure 4 shows the solar radiation and DIs of days 11–15 of February. The DIs of all days are correct except for that of day 15 whose DI is 28 and its radiation was much distorted.
Figure 4. The solar radiation of days 11–15 of February (left) and the distortion index (DI) (right).
Moreover, the approach was examined in another two months in the summer season (July and August). Figure 5 and Figure 6 show the results of the proposed method for days 1–5 and days 13–17 of July. The DIs of the all days in these two figures are correct and gave an accurate prediction of the distortion in solar radiation except for the 5th day of July.
Figure 5. The solar radiation of days 1–5 of July (left) and the distortion index (DI) (right).
Figure 6. The solar radiation of days 13–17 of July (left) and the distortion index (DI) (right).
Figure 7 and Figure 8 show good agreement between the DI and the solar radiation of days 1–5 and 13–17 of August except for day 16 whose solar radiation is clean and its DI is 47. However, this disagreement is relatively tolerant because the DI is in the medium range.
Figure 7. The solar radiation of days 1–5 of August (left) and the distortion index (DI) (right).
Figure 8. The solar radiation of days 13–17 of August (left) and the distortion index (DI) (right).
Some other results obtained from this location (Riyadh city) for some days in the remaining months are listed in Appendix A (Figure A1, Figure A2, Figure A3, Figure A4, Figure A5, Figure A6, Figure A7, Figure A8, Figure A9, Figure A10, Figure A11 and Figure A12).

3.2. Testing the Performance of the Proposed Technique in the Second Location (Al-Kharj City)

To investigate the performance of the proposed technique in forecasting the distortion in solar radiation during midday hours in different locations, another location was considered (Al-Kharj city). Three months from the beginning of the year (January, February, and May), two months from the middle of the year (July and August), and two months from the end of the year (November and December) are shown in this section. The tests of the solar radiation of the remaining months are included in Appendix B.
Figure 9 shows the solar radiation and the DIs for days 4 to 9 of January. As it can be seen in this figure, the distortion in the solar radiation of day 4 is low, and the DI (the right figure) is 44. The DI value (44) is between 41 and 60, which clearly shows the effectiveness of the proposed technique in anticipating the low distortion of radiation distortion in the midday hours. The same conclusion is achieved from day 5 of January, in which the distortion is also less than 60 and the solar radiation is approximately clean. On the other hand, the DI of day 6 is 94.5 (in the high-distortion range), and the solar radiation in the midday hours is much distorted. It is also clear that the proposed technique succeeded in anticipating the presence of distortion in the midday hours. Moreover, the DIs of the other days (7, 8, 9) are higher than 60, which also implies higher distortion in the radiation, and the proposed technique succeeded in forecasting the presence of the distortion in the solar radiation of these days during the midday hours.
Figure 9. The solar radiation of days 4–9 of January (left) and the distortion index (DI) (right).
Figure 10 shows the results of other days. The proposed technique succeeded in forecasting the higher distortion in days 27, 28, 29, and 30; as it can be seen, the DIs of these days are 68, 67, 108, and 50, respectively.
Figure 10. The solar radiation of days 25–30 of January (left) and the distortion index (DI) (right).
Figure 11 presents some results of February. The proposed technique succeeded in forecasting the high distortion in day 5; as it can be seen, the DI is 66 (higher than 60). On the other hand, the DIs of days 6, 7, and 8 are lower than 40, which indicated the lower distortion in the midday hours of these days. It failed on the first day, but this failure is tolerated since 46 is near to 40.
Figure 11. The solar radiation of days 4–9 of February (left) and the distortion index (DI) (right).
In Figure 12, the DI of day 25 (in February) is 53 (between 41 and 60), which means that the distortion is medium. The forecasting of the distortion level coincides with the actual distortion. In addition, the technique performed better in determining the distortion level in days 26 and 27 of February since the DI is higher than 60. However, the DI of day 28 is not coinciding with the actual distortion. The DIs of days 29 and 30 are less than 40, which means that the distortion level is low. Again, the proposed technique succeeded in forecasting the distortion level during midday hours on these two days.
Figure 12. The solar radiation of days 25–30 of February (left) and the distortion index (DI) (right).
In Figure 13, the DIs of all the days (4, 5, 6, 7, 8, and 9 of March) are less than 40, which means that the distortion is low. The DI level obtained from the proposed technique matches the actual distortion on these days.
Figure 13. The solar radiation of days 4–9 of March (left) and the distortion index (DI) (right).
As Figure 14 shows, the DIs of days 21, 23, and 26 are higher than 60, which means that the distortion is high during midday hours. However, the proposed technique failed in forecasting the distortion on day 22.
Figure 14. The solar radiation of days 21–26 of March (left) and the distortion index (DI) (right).
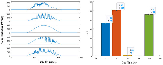
Figure 15 shows some results for July. The DI of the first day (#4) is 2 and it is zero on the third day (#6), which indicates the low distortion of solar radiation during midday hours. The proposed technique succeeded in this forecasting. Moreover, the DIs are higher than 60 on days 5 and 7 (the DI of day 5 is 108.5 and it is 92.5 for day 7). This indicates the distortion is high during midday hours. However, the DIs of days 8 and 9 were 17.5 and 19, respectively (lower than 40), in which the radiation is clear in the early hours and has a little distortion during late hours.
Figure 15. The solar radiation of days 4–9 of July (left) and the distortion index (DI) (right).
In Figure 16,the distortion in the solar radiation during middays hours is low. The proposed technique succeeded in forecasting the distortion levels as it calculated that the DIs of the all 5 days were less than 40 (which means the distortion is low).
Figure 16. The solar radiation of days 25–30 of July (left) and the distortion index (DI) (right).
As shown in Figure 17, the proposed technique succeeded in forecasting the distortion level in most of the presented days (4 to 9 of August). The DIs of these days are less than 40, which means the distortion is low. The DI of day 9 is 69.5, which means that the distortion is medium on this day, and the actual distortion is low.
Figure 17. The solar radiation of days 4–9 of August (left) and the distortion index (DI) (right).
Figure 18 shows that the proposed technique succeeded in forecasting the distortion levels during midday hours on all of the days from 25 to 30 of August.
Figure 18. The solar radiation of days 26–31 of August (left) and the distortion index (DI) (right).
Figure 19 shows that the DIs of days 4, 5, and 6 are 7, 6, and 6, respectively, for November which indicates the success of the proposed technique in predicting the distortion level (the distortion is low). As is shown, distortion in the solar radiation of days 8 and 9 is low and the calculated DIs are between 40 and 60, which means that the distortion is medium.
Figure 19. The solar radiation of days 4–9 of November (left) and the distortion index (DI) (right).
Figure 20 shows that the DIs of days 23 and 24 are higher than 60 which indicate that the proposed technique succeeded in determining the distortion levels during the midday hours of these 2 days. The DI of day 25 is 57.5, which is near 60 and indicates that the distortion is medium but near to a high distortion level. However, the DI of the last day is 43.5, which indicates that the distortion is medium. The DI of day 21 is 83 in which the proposed technique failed in forecasting the distortion level.
Figure 20. The solar radiation of days 21–26 of November (left) and the distortion index (DI) (right).
Figure 21 shows the solar radiation and the DI levels of days 1 to 6 of December. As it reveals, the DIs of days 1 to 4 are less than 40, which means that the distortion level is low during the midday hours. The proposed technique succeeded in forecasting the distortion levels in these four days. The DI of the last day is about 60, which indicates that the distortion level is almost high, and the actual distortion in the solar radiation is high. However, the DI of day 5 is 84.5, in which the proposed technique failed in forecasting the distortion level of this day.
Figure 21. The solar radiation of days 1–6 of December (left) and the distortion index (DI) (right).
Figure 22 shows the solar radiation and the associated DI levels of the days 16 to 21 of December. As seen in this figure, the proposed technique succeeded in forecasting the distortion levels during the midday hours of all of these days.
Figure 22. The solar radiation of days 16–21 of December (left) and the distortion index (DI) (right).
Some other results obtained for this location (Al-Kharj city) for some days in the remaining months are listed in Appendix B (Figure A13, Figure A14, Figure A15, Figure A16, Figure A17, Figure A18, Figure A19, Figure A20, Figure A21 and Figure A22).

3.3. Accuracy of the Proposed Approach

As was shown in previous sections, the proposed approach failed to predict the distortion in solar radiation for a few days. In this section, we quantify the error of the proposed DI for the whole year in the first location (Riyadh city). Table 1 below shows the number of days in which the DI was not compatible with the solar radiation shape.
Table 1. Accuracy of the proposed approach.
The total number of errors is 54. Therefore, the error percent is 14.8. The approach accuracy is about 85.2%. It can be noted that the failure rate of the proposed approach is high in the months of October to December and low in March, April, June, July, and September.

4. Conclusions

Forecasting solar radiation is essential for power systems penetrated by high solar PV generation. However, this task is very complicated. In this paper, we tried another route by trying to forecast the distortion in the solar radiation during the midday hours by analyzing the solar radiation in the early morning. A distortion index was proposed based on the mathematical difference of the per-minute readings of the global solar radiation. The sign and amplitude of the differences between the readings were utilized to formulate a distortion index that helps the power systems operators in determining the reliability of PV plants’ generation. The method was tested using the global radiation for the year 2019 for two locations in Saudi Arabia. The results showed that there are correlations between the solar radiation distortions in the early hours with the solar radiation distortion in the midday hours. The results showed that the proposed distortion index was able to classify the days with high, medium, and low distortion in solar radiation. The accuracy was 85.2% and the error was 14.8% for one site. This work needs to be improved and tested more; therefore, the proposed methodology will be improved by adding more parameters such as wind speed and will be tested for more years and using data from different cities with different climates.

Author Contributions

Conceptualization, A.M.N. and Z.A.H.; methodology, A.M.N. and Z.A.H.; software, A.M.N., Z.A.H., A.S.A. and S.Z.A.; validation, M.H.A., S.Z.A. and A.S.A.; formal analysis, A.M.N., Z.A.H., S.Z.A.; investigation, A.S.A., M.H.A. and S.Z.A.; resources, A.M.N. and Z.A.H.; writing—original draft preparation, A.M.N. and Z.A.H.; visualization, A.M.N. and Z.A.H.; project administration, A.M.N., M.H.A. and A.S.A.; funding acquisition, A.M.N., S.Z.A., M.H.A. and A.S.A. All authors have read and agreed to the published version of the manuscript.

Funding

Deputyship for Research & Innovation, Ministry of Education: Project Number (IF2/PSAU/2022/01/23150).

Institutional Review Board Statement

Not applicable.

Data Availability Statement

Not applicable.

Acknowledgments

The authors extend their appreciation to the Deputyship for Research & Innovation, Ministry of Education in Saudi Arabia for funding this research work through the project number (IF2/PSAU/ 2022/01/23150).

Conflicts of Interest

The authors declare no conflict of interest.

Appendix A

More results of the proposed approach for the other months that were not presented in the first location are listed in this appendix.
Figure A1. The solar radiation of days 1–5 of March (left) and the distortion index (DI) (right).
Figure A2. The solar radiation of days 11–15 of March (left) and the distortion index (DI) (right).
Figure A3. The solar radiation of days 1–5 of April (left) and the distortion index (DI) (right).
Figure A4. The solar radiation of days 11–15 of April (left) and the distortion index (DI) (right).
Figure A5. The solar radiation of days 1–5 of May (left) and the distortion index (DI) (right).
Figure A6. The solar radiation of days 13–17 of May (left) and the distortion index (DI) (right).
Figure A7. The solar radiation of days 1–5 of June (left) and the distortion index (DI) (right).
Figure A8. The solar radiation of days 1–5 of September (left) and the distortion index (DI) (right).
Figure A9. The solar radiation of days 13–17 of October (left) and the distortion index (DI) (right).
Figure A10. The solar radiation of the 1–5 of November (left) and the distortion index (DI) (right).
Figure A11. The solar radiation of the 13–17 of November (left) and the distortion index (DI) (right).
Figure A12. The solar radiation of the 1–5 of December (left) and the distortion index (DI) (right).

Appendix B

More results of the proposed approach for the other months that were not presented in the second location are listed in this appendix.
Figure A13. The solar radiation of days 4–9 of April (left) and the distortion index (DI) (right).
Figure A14. The solar radiation of days 21–26 of April (left) and the distortion index (DI) (right).
Figure A15. The solar radiation of days 4–9 of May (left) and the distortion index (DI) (right).
Figure A16. The solar radiation of days 21–26 of May (left) and the distortion index (DI) (right).
Figure A17. The solar radiation of days 4–9 of June (left) and the distortion index (DI) (right).
Figure A18. The solar radiation of days 21–26 of June (left) and the distortion index (DI) (right).
Figure A19. The solar radiation of days 4–9 of September (left) and the distortion index (DI) (right).
Figure A20. The solar radiation of days 21–26 of September (left) and the distortion index (DI) (right).
Figure A21. The solar radiation of days 8–13 of October (left) and the distortion index (DI) (right).
Figure A22. The solar radiation of days 21–26 of October (left) and the distortion index (DI) (right).

References

  1. Tawn, R.; Browell, J. A review of very short-term wind and solar power forecasting. Renew. Sustain. Energy Rev. 2022, 153, 111758. [Google Scholar] [CrossRef]
  2. TKhatib, T.; Mohamed, A.; Sopian, K.; Mahmoud, M. Optimal sizing of hybrid pv/wind systems for Malaysia using loss of load probability. Energy Sources Part A Recovery Util. Environ. Eff. 2015, 37, 687–695. [Google Scholar] [CrossRef]
  3. Jager-Waldau, A. PV Status Report 2018. Available online: https://op.europa.eu/en/publicationdetail/-/publication/8e6f164b-f6ad-11e8-9982-01aa75ed71a1/language-en (accessed on 10 March 2023).
  4. Hasan, K.; Yousuf, S.B.; Tushar, M.S.H.K.; Das, B.K.; Das, P.; Islam, S. Effects of different environmental and operational factors on the PV performance: A comprehensive review. Energy Sci. Eng. 2022, 10, 656–675. [Google Scholar] [CrossRef]
  5. Frías-Paredes, L.; Mallor, F.; Gastón-Romeo, M.; León, T. Assessing energy forecasting inaccuracy by simultaneously considering temporal and absolute errors. Energy Convers. Manag. 2017, 142, 533–546. [Google Scholar] [CrossRef]
  6. Lian, J.; Zhang, Y.; Ma, C.; Yang, Y.; Chaima, E. A review on recent sizing methodologies of hybrid renewable energy systems. Energy Convers. Manag. 2019, 199, 112027. [Google Scholar] [CrossRef]
  7. Guermoui, M.; Melgani, F.; Gairaa, K.; Mekhalfi, M.L. A comprehensive review of hybrid models for solar radiation forecasting. J. Clean. Prod. 2020, 258, 120357. [Google Scholar] [CrossRef]
  8. Akhter, M.N.; Mekhilef, S.; Mokhlis, H.; Shah, N.M. Review on forecasting of photovoltaic power generation based on machine learning and metaheuristic techniques. IET Renew. Power Gener. 2019, 13, 1009–1023. [Google Scholar] [CrossRef]
  9. Besharat, F.; Dehghan, A.A.; Faghih, A.R. Empirical models for estimating global solar radiation: A review and case study. Renew. Sustain. Energy Rev. 2013, 21, 798–821. [Google Scholar] [CrossRef]
  10. Zang, H.; Jiang, X.; Cheng, L.; Zhang, F.; Wei, Z.; Sun, G. Combined empirical and machine learning modeling method for estimation of daily global solar radiation for general meteorological observation stations. Renew. Energy 2022, 195, 795–808. [Google Scholar] [CrossRef]
  11. Chang, K.; Zhang, Q. Development of a solar radiation model considering the hourly sunshine duration for all-sky conditions—A case study for Beijing, China. Atmos. Environ. 2020, 234, 117617. [Google Scholar] [CrossRef]
  12. Angstrom, A. Solar and terrestrial radiation. Report to the international commission for solar research on actinometric investigations of solar and atmospheric radiation. Q. J. R. Meteorol. Soc. 1924, 50, 121–126. [Google Scholar] [CrossRef]
  13. El-Metwally, M. Sunshine and global solar radiation estimation at different sites in Egypt. J. Atmos. Sol. Terr. Phys. 2005, 67, 1331–1342. [Google Scholar] [CrossRef]
  14. Bakirci, K. Correlations for estimation of daily global solar radiation with hours of bright sunshine in Turkey. Energy 2009, 34, 485–501. [Google Scholar] [CrossRef]
  15. Iradukunda, C.; Chiteka, K. Angstrom-Prescott Type Models for Predicting Solar Irradiation for Different Locations in Zimbabwe. Stroj. Vestn. J. Mech. Eng. 2023, 69, 32–48. [Google Scholar] [CrossRef]
  16. Rensheng, C.; Shihua, L.; Ersi, K.; Jianping, Y.; Xibin, J. Estimating daily global radiation using two types of revised models in China. Energy Convers. Manag. 2006, 47, 865–878. [Google Scholar] [CrossRef]
  17. Naserpour, S.; Zolfaghari, H.; Firouzabadi, Z. Calibration and evaluation of sunshine-based empirical models for estimating daily solar radiation in Iran. Sustain. Energy Technol. Assess. 2020, 42, 100855. [Google Scholar] [CrossRef]
  18. Reikard, G. Predicting solar radiation at high resolutions: A comparison of time series forecasts. Sol. Energy 2009, 83, 342–349. [Google Scholar] [CrossRef]
  19. Bacher, P.; Madsen, H.; Nielsen, H.A. Online short-term solar power forecasting. Sol. Energy 2009, 83, 1772–1783. [Google Scholar] [CrossRef]
  20. Rana, M.; Koprinska, I.; Agelidis, V.G. Univariate and multivariate methods for very short-term solar photovoltaic power forecasting. Energy Convers. Manag. 2016, 121, 380–390. [Google Scholar] [CrossRef]
  21. Iwok, I.; Okpe, A. A comparative study between univariate and multivariate linear stationary time series models. Am. J. Math. Stat. 2016, 6, 203–212. [Google Scholar]
  22. Yang, D.; Sharma, V.; Ye, Z.; Lim, L.I.; Zhao, L.; Aryaputera, A.W. Forecasting of global horizontal irradiance by exponential smoothing, using decompositions. Energy 2015, 81, 111–119. [Google Scholar] [CrossRef]
  23. Sorkun, M.C.; İNCEL, Ö.D.; Paoli, C. Time series forecasting on multivariate solar radiation data using deep learning (LSTM). Turk. J. Electr. Eng. Comput. Sci. 2020, 28, 211–223. [Google Scholar] [CrossRef]
  24. Baser, F.; Demirhan, H. A fuzzy regression with support vector machine approach to the estimation of horizontal global solar radiation. Energy 2017, 123, 229–240. [Google Scholar] [CrossRef]
  25. Iqdour, R.; Zeroual, A. Prediction of daily global solar radiation using fuzzy systems. Int. J. Sustain. Energy 2007, 26, 19–29. [Google Scholar] [CrossRef]
  26. Paulescu, E.; Paulescu, M. Fuzzy modelling of solar irradiation using air temperature data. Theor. Appl. Climatol. 2008, 91, 181–192. [Google Scholar] [CrossRef]
  27. Wang, F.; Mi, Z.; Su, S.; Zhao, H. Short-term solar irradiance forecasting model based on artificial neural network using statistical feature parameters. Energies 2012, 5, 1355–1370. [Google Scholar] [CrossRef]
  28. Mellit, A.; Pavan, A.M. A 24-h forecast of solar irradiance using artificial neural network: Application for performance prediction of a grid-connected PV plant at Trieste, Italy. Sol. Energy 2010, 84, 807–821. [Google Scholar] [CrossRef]
  29. Rana, M.; Chandra, R.; Agelidis, V.G. Cooperative neuro-evolutionary recurrent neural networks for solar power prediction. In Proceedings of the 16th IEEE Congress on Evolutionary Computation (CEC), Vancouver, BC, Canada, 24–29 July 2016. [Google Scholar]
  30. Praynlin, E.; Jensona, J.I. Solar radiation forecasting using artificial neural network. In Proceedings of the Innovations in Power and Advanced Computing Technologies (i-PACT), Vellore, India, 21–22 April 2017. [Google Scholar]
  31. Benali, L.; Notton, G.; Fouilloy, A.; Voyant, C.; Dizene, R. Solar radiation forecasting using artificial neural network and random forest methods: Application to normal beam, horizontal diffuse and global components. Renew. Energy 2019, 132, 871–884. [Google Scholar] [CrossRef]
  32. Behrang, M.; Assareh, E.; Ghanbarzadeh, A.; Noghrehabadi, A. The potential of different artificial neural network (ANN) techniques in daily global solar radiation modeling based on meteorological data. Sol. Energy 2010, 84, 1468–1480. [Google Scholar] [CrossRef]
  33. Rabehi, A.; Guermoui, M.; Lalmi, D. Hybrid models for global solar radiation prediction: A case study. Int. J. Ambient. Energy 2020, 41, 31–40. [Google Scholar] [CrossRef]
  34. Kumari, P.; Toshniwal, D. Deep learning models for solar irradiance forecasting: A comprehensive review. J. Clean. Prod. 2021, 318, 128566. [Google Scholar] [CrossRef]
  35. Salisu, S.; Mustafa, M.W.; Mustapha, M.; Mohammed, O.O. Solar radiation forecasting in Nigeria based on hybrid PSOANFIS and WT-ANFIS approach. Int. J. Electr. Comput. Eng. 2019, 5, 31–41. [Google Scholar]
  36. Rahoma, U.; Hassan, A.H. Application of neuro-fuzzy techniques for solar radiation. J. Comput. Sci. 2011, 7, 1605. [Google Scholar] [CrossRef]
  37. Mohammadi, K.; Shamshirband, S.; Kamsin, A.; Lai, P.; Mansor, Z. Identifying the most significant input parameters for predicting global solar radiation using an ANFIS selection procedure. Renew. Sustain. Energy Rev. 2016, 63, 423–434. [Google Scholar] [CrossRef]
  38. Olatomiwa, L.; Mekhilef, S.; Shamshirband, S.; Petković, D. Adaptive neuro-fuzzy approach for solar radiation prediction in Nigeria. Renew. Sustain. Energy Rev. 2015, 51, 1784–1791. [Google Scholar] [CrossRef]
  39. Mohandes, M.A. Modeling global solar radiation using Particle Swarm Optimization (PSO). Sol. Energy 2012, 86, 3137–3145. [Google Scholar] [CrossRef]
  40. Halabi, L.M.; Mekhilef, S.; Hossain, M. Performance evaluation of hybrid adaptive neuro-fuzzy inference system models for predicting monthly global solar radiation. Appl. Energy 2018, 213, 247–261. [Google Scholar] [CrossRef]
  41. Olatomiwa, L.; Mekhilef, S.; Shamshirband, S.; Mohammadi, K.; Petković, D.; Sudheer, C. A support vector machine–firefly algorithm-based model for global solar radiation prediction. Sol. Energy 2015, 115, 632–644. [Google Scholar] [CrossRef]
  42. Brahimi, T.; Alhebshi, F.; Alnabilsi, H.; Bensenouci, A.; Rahman, M. Prediction of wind speed distribution using artificial neural network: The case of Saudi Arabia. Procedia Comput. Sci. 2019, 163, 41–48. [Google Scholar] [CrossRef]
  43. Zell, E.; Gasim, S.; Wilcox, S.; Katamoura, S.; Stoffel, T.; Shibli, H.; Engel-Cox, J.; Al Subie, M. Assessment of solar radiation resources in Saudi Arabia. Sol. Energy 2015, 119, 422–438. [Google Scholar] [CrossRef]
Disclaimer/Publisher’s Note: The statements, opinions and data contained in all publications are solely those of the individual author(s) and contributor(s) and not of MDPI and/or the editor(s). MDPI and/or the editor(s) disclaim responsibility for any injury to people or property resulting from any ideas, methods, instructions or products referred to in the content.

Article Metrics

Citations

Article Access Statistics

Multiple requests from the same IP address are counted as one view.