Abstract
We have previously found that a partially 2-deoxygenated (P2D)-amylose, produced by glucan phosphorylase (GP)-catalyzed enzymatic copolymerization, shows hydrophobic nature. Based on this finding, the present study demonstrates hydrophobization of a strong hydrophilic polypeptide, i.e., poly(γ-glutamic acid) (PGA), by grafting of the P2D-amylose chains via GP-catalyzed enzymatic approach. After maltooligosaccharide primers for the enzymatic reaction were modified on the PGA chain, we performed GP-catalyzed copolymerization of d-glucan with α-d-glucose 1-phosphate as comonomers in different feed ratios from the primers to produce P2D-amylose-grafted PGAs. We analyzed the structures (chemical and crystalline) of the products, precipitated from reaction mixtures, by 1H NMR and powder X-ray diffraction measurements, respectively. The values of the water contact angle of the cast films, prepared from DMSO solutions of the products with different 2-deoxyglucose/glucose unit ratios, were greater than 100°, indicating efficient hydrophobization of the hydrophilic polypeptide by the present approach.
1. Introduction
Biological polymers, e.g., polypeptide (protein) and polysaccharide, are vital materials and show specific biological functions in living systems [1,2]. They are mainly composed of regular primary structures, which lead to the architecture of controlled higher-order assemblies that contribute to the exhibit of their specific functions [3]. For example, amylose, which is an abundant polysaccharide present in starch, is comprising a left-handed helical stereo-arrangement, derived from an α(1→4)-linked repeating glucose (Glc) unit structure, leading to the construction of a water-insoluble double helical assembly [4,5]. In addition, natural hybrid systems from multiple kinds of biological polymer are known, as an example of saccharide-peptide polymeric conjugates, such as peptidoglycans and glycoproteins [6,7,8]. Therefore, artificial saccharide-peptide polymeric conjugates can be considered to be new biobased functional ingredients, that practically exhibit a potential for applications in the fields of tissue engineering and biomedicine. For example, we synthesized an artificial saccharide-peptide polymeric conjugate by combining amylose and an abundant polypeptide, that is, poly(γ-glutamic acid) (PGA), by enzymatic grafting approach [9]. As PGA shows a water-soluble, anionic, and biodegradable properties, it has been employed for multifunctional applications in food, water treatment, healthcare, pharmaceuticals, and other fields [10,11].
The enzymatic approach is well accepted as an efficient tool for synthesizing polysaccharides with highly controlled regio- and stereo-arrangements by simple operations [12,13,14,15,16]. Glucan phosphorylase (GP) is the representative enzyme to be employed for the synthesis of well-defined polysaccharides. GP catalyzes enzymatic polymerization of α-d-glucose 1-phosphate (Glc-1-P) as a monomer in the presence of a maltooligosaccharide as a primer to precisely synthesize α(1→4)-glucan (amylose) [17,18,19,20,21,22,23]. Initiation of the polymerization occurs from the nonreducing end of the maltooligosaccharide primer, and then, consecutive transfer of the Glc residues occurs from the monomer to the propagating nonreducing end with the release of inorganic phosphate (Pi) by the GP catalysis, based on primary reaction as follows; [α(1→4)-Glc]n + Glc-1-P → [α(1→4)-Glc]n+1 + Pi. Therefore, GP-catalyzed polymerization has been used to precisely fabricate various types of amylose-containing functional materials [15,16,23,24,25].
In the previous studies, amylose-grafted polymeric materials have been fabricated by GP-catalyzed polymerization combined with appropriately designed chemical reactions (chemoenzymatic method) [26,27,28]. For the synthesis, first, maltooligosaccharides are covalently linked on the main-chain polymers to yield polymeric primers. Then, GP-catalyzed polymerization is carried out from the nonreducing ends of the primer chains on the main-chains to yield the designed graft materials, such as amylose-grafted poly(l-lysine), poly(α-l-glutamic acid), cellulose, chitin/chitosan, carboxylmethyl cellulose (CMC), xanthan gum, and alginate [29,30,31,32,33,34,35,36,37]. As abovementioned, we also synthesized the amylose-grafted PGA by the chemoenzymatic method, which formed network structures composed of cross-linking points from amylosic double helixes among the PGA chains, giving rise to hydrogels [9].
Recently, we have reported that a heteropolysaccharide, i.e., a partially 2-deoxygenated (P2D)-amylose, composed of 2-deoxyglucose (2dGlc)/Glc units, that can be prepared by GP (isolated from thermophilic bacteria, Aquifex aeolicus VF5)-catalyzed enzymatic copolymerization of d-glucal with Glc-1-P, via the in situ formation of the actual comonomer, that is, 2-deoxy-α-d-glucose 1-phosphate (2dGlc-1-P) from the former substrate [38], is a strong hydrophobic, in which the value of the water contact angle of its cast film is greater than 90° [39]. The nature of this polysaccharide is realized by a greater number of hydrophobic pyranose faces, attributed to the absence of some hydroxy groups at the C-2 positions of amylose, predicted by our molecular dynamic simulations study [40]. Consequently, we have achieved hydrophobization of hydrophilic polysaccharides, such as glycogen and CMC, by covalent modification of P2D-amylose chains through the thermostable GP-catalyzed copolymerization of d-glucal with Glc-1-P [39,41]; glycogen acts as a polymeric primer as its native form, because of the presence of a numbers of nonreducing α(1→4)-glucan chain ends, while the maltooligosaccharide primers were necessarily modified on the CMC chain by condensation reaction [35]. Because the grafting of such hydrophobic polysaccharides with precisely controlled structure is hard to be accomplished by general organic reaction process, the present approach by enzymatic catalysis can be considered as a very powerful tool for hydrophobization of hydrophilic substrates.
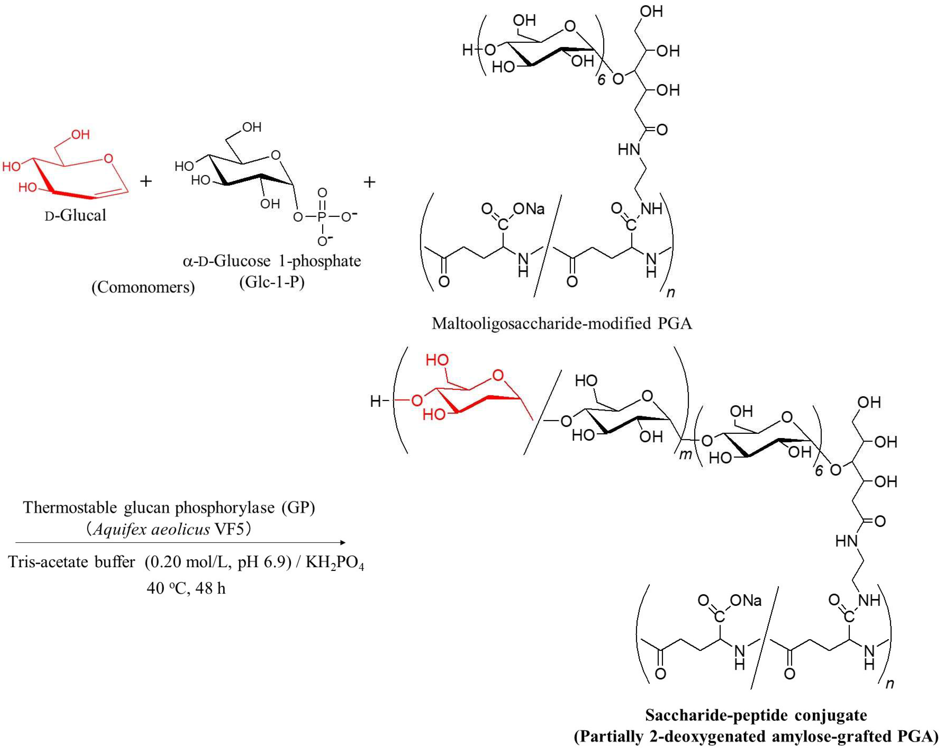
In this study, we would like to report the preparation of a hydrophobic saccharide-peptide polymeric conjugate, that is, a P2D-amylose-grafted PGA by the following chemoenzymatic approach; the modification of the maltooligosaccharide primers on PGA by condensation reaction and the subsequent thermostable GP-catalyzed copolymerization (Figure 1 and Figure 2). The resulting cast films, prepared from DMSO solutions of the products, showed strong hydrophobic nature, evaluated by water contact angle measurement, regardless of the 2dGlc/Glc unit ratios. Hydrophobic PGA derivatives have been prepared by introduction of hydrophobic alkyl and aromatic groups via amidation with carboxylates of PGA [42]. Moreover, water contact angle measurement of PGA composites with some components has been reported [43,44,45,46,47]. To the best of our knowledge, however, hydrophobization of PGA by grafting of bio-based hydrophobic polymers, such as polysaccharides, has not been investigated.
Figure 1.
Synthesis of maltooligosaccharide-modified PGA.
Figure 2.
Thermostable GP-catalyzed copolymerization of d-glucal with Glc-1-P (comonomers) from PGA to produce partially 2-deoxygenated (P2D)-amylose-grafted PGA.
2. Materials and Methods
2.1. Materials
PGA (M.W. = 1.5 − 2.5 × 106) was purchased from FUJIFILM Wako Pure Chemical Corporation (Osaka, Japan). Thermostable GP from Aquifex aeolicus VF5 was kindly supplied by Dr. Takeshi Takaha (Sanwa Starch Co., Ltd., Nara, Japan) [48]. An amine-functionalized maltooligosaccharide (Glc7-NH2) was prepared from maltoheptaose according to the literature procedure [33]. Other reagents and solvents were commercially available and used without further purification.
2.2. Synthesis of Maltooligosaccharide-Modified PGA
To a solution of PGA (12.4 mg, 0.082-unit mmol) in water (4.0 mL) was added 1-ethyl-3-(3-dimethylaminopropyl)carbodiimide hydrochloride (EDC, 12.0 mg, 0.082 mmol) and N-hydroxysuccinimide (NHS, 9.5 mg, 0.082 mmol) and the mixture was stirred at room temperature for 1 h. After Glc7-NH2 (100 mg, 0.082 mmol) was added to the resulting solution, the mixture was stirred at 60 °C for 24 h. The reaction solution was poured into methanol (300 mL) to precipitate the crude product. After the precipitate was isolated by centrifugation, the residue was dialyzed in a dialysis bag (molecular cut off: 3500) against water overnight. The lyophilized solution was concentrated and lyophilized to give maltooligosaccharide-modified PGA (11.8 mg) in 67.0% yield. 1H NMR (D2O) δ 1.86–2.01, 2.01–2.24 (br, β-CH2 of PGA), 2.25–2.48 (br, γ-CH2 of PGA), 3.35–4.09 (br, sugar protons of H2-H6), 4.10–4.27 (br, α-CH of PGA), 5.18, 5.41 (br s, H1 of Glc). The the degree of substitution (DS) for a repeating γ-glutamic acid (GA) unit was determined by the integrated ratio of the α-anomeric signal of Glc residues to the α-CH2 signal of PGA to be 5.7%.
2.3. Synthesis of P2D-Amylose-Grafted PGAs by Thermostable GP-Catalyzed Copolymerization of d-Glucal with Glc-1-P
A typical experimental procedure was as follows (run 2). A mixture of d-glucal (87.6 mg, 0.600 mmol), Glc-1-P (disodium salt, 182.4 mg, 0.600 mmol), and maltooligosaccharide-modified PGA (9 mg, nonreducing ends; 3.0 μmol) in 0.20 mol/L Tris-acetate buffer (pH 6.9, 1.0 mL) containing KH2PO4 (20.4 mg, 0.015 mmol) was stirred in the presence of thermostable GP (12 U) at 40 °C for 48 h. The precipitated product was isolated by centrifugation, washed with water, and lyophilized to obtain the P2D-amylose-grafted PGA (112.3 mg) in 58.3% yield based on amounts of the total 2dGlc and Glc residues present in the reaction system. 1H NMR (Figure 3, NaOD/D2O) δ 1.70–1.90 (br, 2dGlc-H2ax), 1.90–2.00, 2.00–2.15 (br, β-CH2 of PGA), 2.15–2.29 (br, 2dGlc-H2eq), 2.29–2.43 (br, γ-CH2 of PGA), 3.30–4.00 (m, 2dGlc-H3, 4, 5, 6 and Glc-H2, 3, 4, 5, 6), 4.00–4.27 (br, α-CH of PGA), 5.25 (br s, α(1→4)-Glc-H1), 5.46 (br s, α(1→4)-2dGlc-H1).
Figure 3.
1H NMR spectrum of P2D-amylose-grafted PGA (entry 2, Table 1) in NaOD/D2O.
2.4. Synthesis of Amylose- and 2-Deoxyamylose-Grafted PGAs by Thermostable GP-Catalyzed Homopolymerization of Glc-1-P and d-Glucal, Respectively
Amylose- and 2-deoxyamylose-grafted PGAs were synthesized by the thermostable GP-catalyzed polymerizations of Glc-1-P and d-glucal, respectively, using maltooligosaccharide-modified PGA according to the same procedure as above (runs 1 and 7). 1H NMR of the amylose-grafted PGA (Figure S1, NaOD/D2O) δ 1.87–1.99, 1.99–2.14 (br, β-CH2 of PGA), 2.27–2.40 (br, γ-CH2 of PGA), 3.40–3.98 (m, Glc-H2, 3, 4, 5, 6), 4.10–4.20 (br, α-CH of PGA), 5.25 (br s, α(1→4)-Glc-H1). 1H NMR of the 2-deoxyamylose-grafted PGA (Figure S2, NaOD/D2O) δ 1.77–1.90 (br, 2dGlc-H2ax), 1.90–2.00, 2.00–2.15 (br, β-CH2 of PGA), 2.15–2.44 (br, 2dGlc-H2eq, γ-CH2 of PGA), 3.35–4.00 (m, 2dGlc-H3, 4, 5, 6 and Glc-H2, 3, 4, 5, 6), 4.00–4.33 (br, α-CH of PGA), 5.18 (br s, α(1→4)-Glc-H1), 5.39 (br s, α(1→4)-2dGlc-H1).
2.5. Formation of Films from Amylose- and P2D-Amylose-Grafted PGAs
A solution of the amylose- or P2D-amylose-grafted PGA (0.050 g) in DMSO (2.0 mL) was casted on a glass plate and dried under reduced pressure at 60 °C overnight to give a film.
2.6. Measurements
1H NMR spectra were recorded on a JEOL ECX 400 spectrometer (JEOL, Akishima, Tokyo, Japan). Powder X-ray diffraction (XRD) measurements were conducted using a Rigaku Geigerflex RADIIB diffractometer (PANalytical B.V., EA Almelo, The Netherlands) with Ni-filtered CuKα radiation (λ = 0.15418 nm). Contact angles were measured using a contact angle meter DropMaster 500 (Kyowa Interface Science Co., LTD., Saitama, Japan).
3. Results and Discussion
For the chemoenzymatic process, we first performed the modification of the maltooligosaccharide primers on the PGA main-chain by condensation reaction of Glc7-NH2 with carboxylate groups of PGA (equimolar feed ratio of amino group to carboxylate group) in water using a condensing agent (EDC/NHS) according to the procedure, reported in our previous publication (Figure 1) [9]. We measured the 1H NMR spectrum of the isolated material to support the structure of maltooligosaccharide-modified PGA as described in Section 2, where the DS of the primers for a repeating GA unit was calculated by the integrated ratio of the α-anomeric signal ascribed to maltooligosaccharide at δ 5.18 to the α-methine signal (-C-CH(C=O)-NHC=O) derived from PGA at δ 4.10–4.27 to be 5.7%.
We then carried out the thermostable GP-catalyzed copolymerization of d-glucal with Glc-1-P as comonomers from the primers on the PGA chain in different feed ratios (entries 2–5 in Table 1) in Tris-acetate buffer (0.20 mol/L, pH 6.9) containing KH2PO4 at 40 °C for 48 h to synthesize the P2D-amylose-grafted PGAs (Figure 2). The precipitated products were isolated by centrifugation and subsequent lyophilization. We also examined the thermostable GP-catalyzed homopolymerizations of Glc-1-P and d-glucal as a monomer by the same operation to obtain reference materials, that is, the amylose- and 2-deoxyamylose-grafted PGAs, respectively (entries 1 and 6 in Table 1). The 1H NMR spectra of the copolymerization products, measured in DMSO-d6, detected the characteristic C-2 methylene and α-anomeric signals assignable to α(1→4)-2dGlc units, in addition to the signals derived from the α(1→4)-Glc and GA units (Figure 3, entry 2 in Table 1), fully supporting the production of the P2D-amylose-grafted PGAs (detailed 1H NMR data are described in Section 2). The 1H NMR analysis in NaOD/D2O also supported the structures of the amylose- and 2-deoxyamylose-grafted PGAs, obtained by the homopolymerizations of Glc-1-P and d-glucal, respectively (Figures S1 and S2). The 2dGlc/Glc unit ratios of the P2D-amylose graft chains, which were evaluated from the integrated ratios of the two anomeric signals ascribed to the respective units, were changed according to the d-glucal/Glc-1-P feed ratios (entries 2–5 in Table 1). The yields of the products and the degrees of polymerization (DP) of the graft chains were estimated by the precipitate weights and from the integrated ratios of the anomeric signals of the graft chains to the γ-methylene signals (-CH2C=O) of the PGA main-chain, respectively, which decreased with increasing the feed ratios of d-glucal to Glc-1-P. The decreases are attributed to less reactivity of the non-native monomer, d-glucal (actually 2dGlc-1-P), than that of the native monomer, Glc-1-P. We also reported similar tendencies according to the d-glucal/Glc-1-P feed ratios on the thermostable GP-catalyzed modification of the P2D-amylose chains on glycogen and CMC [39,41].
Table 1.
Thermostable GP-catalyzed (co)polymerization of Glc-1-P, d-glucal/Glc-1-P, or d-glucal from maltooligosaccharide-modified PGA (a).
Powder XRD profiles of the amylose- and 2-deoxyamylose-grafted PGAs (entries 1 and 6 in Table 1) showed the same patterns as those of pure amylose and 2-deoxyamylose (at 2θ = 16.9/22.5° and 16.5/18.8/21.1°, Figure 4a,f, respectively). The XRD profiles of the P2D-amylose-grafted PGAs (runs 2–5) did not observe obvious diffraction peaks, as shown in Figure 4b–e, indicating their amorphous nature, probably owing to the hetero 2dGlc/Glc unit structure with random sequence, as reported in our previous study on the thermostable GP-catalyzed copolymerization of d-glucal with Glc-1-P [38].
Because the amylose- and P2D-amylose-grafted PGAs (entries 1–5 in Table 1) produced cast films by evaporating their solutions in DMSO, we conducted water contact angle measurement of the resulting films to evaluate their hydrophobicity. Because the 2-deoxyamylose-grafted PGA (entry 6 in Table 1) did not produce a film owing to its highly crystalline nature, its hydrophobicity was not investigated; the similar phenomena were observed from the 2-deoxyamylose-modified glycogen and CMC [39,41]. The value of the water contact angle of the amylose-grafted PGA film was 66.1°, suggesting its hydrophilic nature (Figure 5a). While the water contact angle values above 100° were observed from all the P2D-amylose-grafted PGA films (Figure 5b–e). These results imply that the thermostable GP-catalyzed grafting of P2D-amylose chains achieved the efficient hydrophobization of the strong hydrophilic polypeptide, PGA.
Figure 5.
Water contact angle measurements on ((a), entry 1) amylose-grafted PGA film and ((b–e), entries 2–5) P2D-amylose-grafted PGA films.
4. Conclusions
In this study, we synthesized the hydrophobic saccharide-peptide polymeric conjugate, that is, the P2D-amylose-grafted PGAs. Based on the viewpoint of enzymatic approach as a very useful tool for precision synthesis of well-defined polysaccharides, hydrophobization of PGA has presently been achieved by grafting of the P2D-amylose chains through the thermostable GP-catalyzed copolymerization of d-glucal with Glc-1-P using the maltooligosaccharide-modified PGA. The 1H NMR spectra of the precipitated products from the reaction mixtures supported the structures of the desired PGA derivatives, where the 2dGlc/Glc unit ratios depended on the d-glucal/Glc-1-P feed ratios. Because of amorphous nature of the products, evaluated by the XRD analysis, the cast films were obtained from their DMSO solutions. The values of the water contact angel of the films were greater than 100° regardless of the unit ratios of the graft chains, indicating strong hydrophobic nature of the P2D-amylose-grafted PGAs. The results suggest that the present chemoenzymatic approach is a powerful method for hydrophobization of hydrophilic polypeptides. Therefore, hydrophobic proteins will be obtained by the thermostable GP-catalyzed modification approach using maltooligosaccharide-modified natural proteins, prepared by appropriate chemical reactions, in the future.
Supplementary Materials
The following supporting information can be downloaded at: https://www.mdpi.com/article/10.3390/app13010489/s1, Figure S1: 1H NMR spectrum of amylose-grafted PGA in NaOD/D2O (entry 1 in Table 1); Figure S2: 1H NMR spectrum of 2-deoxyamylose-grafted PGA in NaOD/D2O (entry 6 in Table 1).
Author Contributions
J.-i.K. conceived the project, designed the experiments, directed the research, and wrote the manuscript. T.A., S.A. and K.S. performed the experiments. All authors discussed the results and edited the manuscript. All authors have read and agreed to the published version of the manuscript.
Funding
This research was funded by JSPS KAKENHI (No. 21K05170).
Institutional Review Board Statement
Not applicable.
Informed Consent Statement
Not applicable.
Data Availability Statement
Not applicable.
Acknowledgments
We are grateful to Takeshi Takaha (Sanwa Starch Co., Ltd., Japan) for the supply of thermostable glucan phosphorylase.
Conflicts of Interest
The authors declare no conflict of interest.
References
- Kasapis, S.; Norton, I.T.; Ubbink, J.B. Modern Biopolymer Science: Bridging the Divide between Fundamental Treatise and Industrial Application; Academic Press: San Diego, CA, USA, 2009. [Google Scholar]
- Song, E.H.; Shang, J.; Ratner, D.M. Polysaccharides. In Polymer Science: A Comprehensive Reference; Matyjaszewski, K., Möller, M., Eds.; Elsevier: Amsterdam, The Netherlands, 2012; pp. 137–155. [Google Scholar]
- Miller, A.; Tanner, J. Essentials of Chemical Biology: Structure and Dynamics of Biological Macromolecules; John Wiley & Sons: Chichester, UK; Hoboken, NJ, USA, 2008. [Google Scholar]
- Imberty, A.; Chanzy, H.; Perez, S.; Buleon, A.; Tran, V. The double-helical nature of the crystalline part of A-starch. J. Mol. Biol. 1988, 201, 365–378. [Google Scholar] [CrossRef] [PubMed]
- Imberty, A.; Perez, S. A revisit to the three-dimensional structure of B-type starch. Biopolymers 1988, 27, 1205–1221. [Google Scholar] [CrossRef]
- Montreuil, J.; Vliegenthart, J.F.G.; Schachter, H. Glycoproteins; Elsevier: Amsterdam, The Netherlands; New York, NY, USA, 1995. [Google Scholar]
- Montreuil, J.; Vliegenthart, J.F.G.; Schachter, H. Glycoproteins II; Elsevier: Amsterdam, The Netherlands; New York, NY, USA, 1997. [Google Scholar]
- Iozzo, R.V. Proteoglycans: Structure, Biology, and Molecular Interactions; Marcel Dekker: New York, NY, USA, 2000. [Google Scholar]
- Shouji, T.; Yamamoto, K.; Kadokawa, J. Chemoenzyamtic synthesis and self-assembling gelation behavior of amylose-grafted poly(g-glutamic acid). Int. J. Biol. Macromol. 2017, 97, 99–105. [Google Scholar] [CrossRef]
- Bajaj, I.; Singhal, R. Poly(glutamic acid)—An emerging biopolymer of commercial interest. Bioresour. Technol. 2011, 102, 5551–5561. [Google Scholar] [CrossRef] [PubMed]
- Ogunleye, A.; Bhat, A.; Irorere, V.U.; Hill, D.; Williams, C.; Radecka, I. Poly-g-glutamic acid: Production, properties and applications. Microbiology 2015, 161, 1–17. [Google Scholar] [CrossRef]
- Kobayashi, S.; Uyama, H.; Kimura, S. Enzymatic polymerization. Chem. Rev. 2001, 101, 3793–3818. [Google Scholar]
- Kobayashi, S.; Makino, A. Enzymatic polymer synthesis: An opportunity for green polymer chemistry. Chem. Rev. 2009, 109, 5288–5353. [Google Scholar]
- Kadokawa, J.; Kobayashi, S. Polymer synthesis by enzymatic catalysis. Curr. Opin. Chem. Biol. 2010, 14, 145–153. [Google Scholar]
- Kadokawa, J. Precision polysaccharide synthesis catalyzed by enzymes. Chem. Rev. 2011, 111, 4308–4345. [Google Scholar]
- Shoda, S.; Uyama, H.; Kadokawa, J.; Kimura, S.; Kobayashi, S. Enzymes as green catalysts for precision macromolecular synthesis. Chem. Rev. 2016, 116, 2307–2413. [Google Scholar] [CrossRef]
- Ziegast, G.; Pfannemuller, B. Linear and star-shaped hybrid polymers. 4. Phosphorolytic syntheses with di-functional, oligo-functional and multifunctional primers. Carbohydr. Res. 1987, 160, 185–204. [Google Scholar] [CrossRef]
- Kitaoka, M.; Hayashi, K. Carbohydrate-processing phosphorolytic enzymes. Trends Glycosci. Glycotechnol. 2002, 14, 35–50. [Google Scholar] [CrossRef]
- Ohdan, K.; Fujii, K.; Yanase, M.; Takaha, T.; Kuriki, T. Enzymatic synthesis of amylose. Biocatal. Biotransform. 2006, 24, 77–81. [Google Scholar] [CrossRef]
- Yanase, M.; Takaha, T.; Kuriki, T. α-Glucan phosphorylase and its use in carbohydrate engineering. J. Sci. Food Agric. 2006, 86, 1631–1635. [Google Scholar] [CrossRef]
- Nakai, H.; Kitaoka, M.; Svensson, B.; Ohtsubo, K. Recent development of phosphorylases possessing large potential for oligosaccharide synthesis. Curr. Opin. Chem. Biol. 2013, 17, 301–309. [Google Scholar] [CrossRef]
- Puchart, V. Glycoside phosphorylases: Structure, catalytic properties and biotechnological potential. Biotechnol. Adv. 2015, 33, 261–276. [Google Scholar] [CrossRef]
- Kadokawa, J. Precision synthesis of functional polysaccharide materials by phosphorylase-catalyzed enzymatic reactions. Polymers 2016, 8, 138. [Google Scholar] [CrossRef]
- van der Vlist, J.; Loos, K. Transferases in Polymer Chemistry. In Enzymatic Polymerisation; Palmans, A.R.A., Heise, A., Guebitz, G.M., Eds.; Advances in Polymer Science; Springer: Berlin, Germany, 2010; pp. 21–54. [Google Scholar]
- Nishimura, T.; Akiyoshi, K. Amylose engineering: Phosphorylase-catalyzed polymerization of functional saccharide primers for glycobiomaterials. Wiley Interdiscip. Rev. Nanomed. Nanobiotechnol. 2017, 9, e1423. [Google Scholar] [CrossRef]
- Kadokawa, J. Synthesis of amylose-grafted polysaccharide materials by phosphorylase-catalyzed enzymatic polymerization. In Biobased Monomers, Polymers, and Materials; Smith, P.B., Gross, R.A., Eds.; ACS Symposium Series 1105; American Chemical Society: Washington, DC, USA, 2012; pp. 237–255. [Google Scholar]
- Kadokawa, J. Synthesis of new polysaccharide materials by phosphorylase-catalyzed enzymatic α-glycosylations using polymeric glycosyl acceptors. In Green Polymer Chemistry: Biocatalysis and Materials II; Cheng, H.N., Gross, R.A., Smith, P.B., Eds.; ACS Symposium Series 1144; American Chemical Society: Washington, DC, USA, 2013; pp. 141–161. [Google Scholar]
- Kadokawa, J. Chemoenzymatic synthesis of functional amylosic materials. Pure Appl. Chem. 2014, 86, 701–709. [Google Scholar] [CrossRef]
- Kamiya, S.; Kobayashi, K. Synthesis and helix formation of saccharide-poly(L-glutamic acid) conjugates. Macromol. Chem. Phys. 1998, 199, 1589–1596. [Google Scholar] [CrossRef]
- Matsuda, S.; Kaneko, Y.; Kadokawa, J. Chemoenzymatic synthesis of amylose-grafted chitosan. Macromol. Rapid Commun. 2007, 28, 863–867. [Google Scholar] [CrossRef]
- Kaneko, Y.; Matsuda, S.; Kadokawa, J. Chemoenzymatic syntheses of amylose-grafted chitin and chitosan. Biomacromolecules 2007, 8, 3959–3964. [Google Scholar] [CrossRef]
- Omagari, Y.; Matsuda, S.; Kaneko, Y.; Kadokawa, J. Chemoenzymatic synthesis of amylose-grafted cellulose. Macromol. Biosci. 2009, 9, 450–455. [Google Scholar] [CrossRef]
- Omagari, Y.; Kaneko, Y.; Kadokawa, J. Chemoenzymatic synthesis of amylose-grafted alginate and its formation of enzymatic disintegratable beads. Carbohydr. Polym. 2010, 82, 394–400. [Google Scholar] [CrossRef]
- Arimura, T.; Omagari, Y.; Yamamoto, K.; Kadokawa, J. Chemoenzymatic synthesis and hydrogelation of amylose-grafted xanthan gums. Int. J. Biol. Macromol. 2011, 49, 498–503. [Google Scholar] [CrossRef]
- Kadokawa, J.; Arimura, T.; Takemoto, Y.; Yamamoto, K. Self-assembly of amylose-grafted carboxymethyl cellulose. Carbohydr. Polym. 2012, 90, 1371–1377. [Google Scholar] [CrossRef]
- Hatanaka, D.; Takemoto, Y.; Yamamoto, K.; Kadokawa, J. Hierarchically self-assembled nanofiber films from amylose-grafted carboxymethyl cellulose. Fibers 2013, 2, 34–44. [Google Scholar] [CrossRef]
- Morimoto, N.; Yamazaki, M.; Tamada, J.; Akiyoshi, K. Polysaccharide-hair cationic polypeptide nanogels: Self-assembly and enzymatic polymerization of amylose primer-modified cholesteryl poly(L-lysine). Langmuir 2013, 29, 7509–7514. [Google Scholar] [CrossRef]
- Kadokawa, J.; Nakamura, S.; Yamamoto, K. Thermostable α-glucan phosphorylase-catalyzed enzymatic copolymerization to produce partially 2-deoxygenated amyloses. Processes 2020, 8, 1070. [Google Scholar] [CrossRef]
- Abe, S.; Yamamoto, K.; Kadokawa, J. Hydrophobic polysaccharides: Partially 2-deoxygenated amyloses. Asian J. Org. Chem. 2022, 11, e202100763. [Google Scholar] [CrossRef]
- Uto, T.; Nakamura, S.; Yamamoto, K.; Kadokawa, J. Evaluation of artificial crystalline structure from amylose analog polysaccharide without hydroxy groups at C-2 position. Carbohydr. Polym. 2020, 240, 116347. [Google Scholar] [CrossRef] [PubMed]
- Kadokawa, J.; Abe, S.; Yamamoto, K. Hydrophobization of carboxymethyl cellulose by enzymatic grafting of partially 2-deoxygenated amyloses. Chem. Lett. 2022, 51, 646–649. [Google Scholar] [CrossRef]
- Zhang, Q.; Liu, B.; Chong, J.; Ren, L.; Zhao, Y.; Yuan, X. Combination of hydrophobically modified γ-poly(glutamic acid) and trehalose achieving high cryosurvival of RBCs. Sci. China Technol. Sci. 2021, 64, 806–816. [Google Scholar] [CrossRef]
- Hsieh, C.-Y.; Tsai, S.-P.; Wang, D.-M.; Chang, Y.-N.; Hsieh, H.-J. Preparation of γ-PGA/chitosan composite tissue engineering matrices. Biomaterials 2005, 26, 5617–5623. [Google Scholar] [CrossRef] [PubMed]
- Park, B.J.; Kwon, B.J.; Kang, J.K.; Lee, M.H.; Han, I.; Kim, J.K.; Park, J.-C. Enhanced cellular responses of vascular endothelial cells on poly-γ-glutamic acid/PU composite film treated with microwave-induced plasma at atmospheric pressure. Macromol. Res. 2011, 19, 537. [Google Scholar] [CrossRef]
- Cao, H.; Yao, J.; Shao, Z. Fabrication of superhydrophobic surfaces via CaCO3 mineralization mediated by poly(glutamic acid). J. Solid State Chem. 2013, 199, 338–343. [Google Scholar] [CrossRef]
- Su, Q.-Q.; Zhang, C.; Mai, S.; Lin, H.-C.; Zhi, Q.-H. Effect of poly (γ-glutamic acid)/tricalcium phosphate (γ-PGA/TCP) composite for dentin remineralization in vitro. Dent. Mater. J. 2021, 40, 26–34. [Google Scholar] [CrossRef] [PubMed]
- Du, X.; Hou, X.; Guo, Y.; Jiang, D. Application and Performance of Cellulose Acetate/γ-Poly(glutamic acid)/TiO2 Electrospun Fibrous Membranes. Fibers Polym. 2021, 22, 685–693. [Google Scholar] [CrossRef]
- Bhuiyan, S.H.; Rus’d, A.A.; Kitaoka, M.; Hayashi, K. Characterization of a hyperthermostable glycogen phosphorylase from Aquifex aeolicus expressed in Escherichia coli. J. Mol. Catal. B Enzym. 2003, 22, 173–180. [Google Scholar] [CrossRef]
Disclaimer/Publisher’s Note: The statements, opinions and data contained in all publications are solely those of the individual author(s) and contributor(s) and not of MDPI and/or the editor(s). MDPI and/or the editor(s) disclaim responsibility for any injury to people or property resulting from any ideas, methods, instructions or products referred to in the content. |
© 2022 by the authors. Licensee MDPI, Basel, Switzerland. This article is an open access article distributed under the terms and conditions of the Creative Commons Attribution (CC BY) license (https://creativecommons.org/licenses/by/4.0/).




