Effect of Selected Physical Parameters of Lignite Substrate on Morphological Attributes, Yield and Quality of Cucumber Fruits Fertigated with High EC Nutrient Solution in Hydroponic Cultivation
Abstract
:1. Introduction
2. Materials and Methods
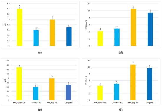
2.1. Physical and Physico-Chemical Properties of the Substrate
2.2. Morphological Studies
2.3. Macro- and Micronutrient Content in Cucumber Leaves
2.4. Fruit Yield and Quality
2.5. Bioactive Compounds, Nitrate Content, Dry Matter and TSS in Fruit
2.6. Statistical Analysis
3. Results
3.1. Morphological Studies
3.2. Effect of Bulk Density and Water Capacity of the Substrate on Macro- and Micronutrient Content in Cucumber Leaves
3.3. Effect of Bulk Density and Water Holding Capacity on Cucumber Fruit Yield and Quality
3.4. Effect of Bulk Density and Water Capacity of the Substrate on Dry Matter, Tss and Bioactive Compound Content of Fruit
4. Discussion
5. Conclusions
Supplementary Materials
Author Contributions
Funding
Institutional Review Board Statement
Informed Consent Statement
Data Availability Statement
Conflicts of Interest
References
- Saha, S.; Monroe, A.; Day, M.R. Growth, yield, plant quality and nutrition of basil (Ocimum basilicum L.) under soilless agricultural systems. Ann. Agric. Sci. 2016, 61, 181–186. [Google Scholar] [CrossRef]
- Kamran, M.; Parveen, A.; Ahmar, S.; Malik, Z.; Hussain, S.; Chattha, M.S.; Saleem, M.H.; Adil, M.; Heidari, P.; Chen, J.-T. An overview of hazardous impacts of soil salinity in crops, tolerance mechanisms, and amelioration through selenium supplementation. Int. J. Mol. Sci. 2019, 21, 148. [Google Scholar] [CrossRef] [PubMed] [Green Version]
- Abdel-Farid, I.B.; Marghany, M.R.; Rowezek, M.M.; Sheded, M.G. Effect of salinity stress on growth and metabolomic profiling of Cucumis sativus and Solanum lycopersicum. Plants 2020, 9, 1626. [Google Scholar] [CrossRef] [PubMed]
- Barrett, G.E.; Alexander, P.D.; Robinson, J.S.; Bragg, N.C. Achieving environmentally sustainable growing media for soilless plant cultivation systems—A review. Sci. Hortic. 2016, 212, 220–234. [Google Scholar] [CrossRef] [Green Version]
- Nowak, J.S. Changes of physical properties in rockwool and glasswool slabs during hydroponic cultivation of roses. J. Fruit Ornam. Plant Res. 2010, 18, 349–360. [Google Scholar]
- Dannehl, D.; Suhl, J.; Ulrichs, C.; Schmidt, U. Evaluation of substitutes for rock wool as growing substrate for hydroponic tomato production. J. Appl. Bot. Food Qual. 2015, 88, 68–77. [Google Scholar] [CrossRef]
- Kraska, T.; Kleinschmidt, B.; Weinand, J.; Pude, R. Cascading use of Miscanthus as growing substrate in soilless cultivation of vegetables (tomatoes, cucumbers) and subsequent direct combustion. Sci. Hortic. 2018, 235, 205–213. [Google Scholar] [CrossRef]
- Kennard, N.; Stirling, R.; Prashar, A.; Lopez-Capel, E. Evaluation of recycled materials as hydroponic growing media. Agronomy 2020, 10, 1092. [Google Scholar] [CrossRef]
- Nerlich, A.; Dannehl, D. Soilless Cultivation: Dynamically changing chemical properties and physical conditions of organic substrates influence the plant phenotype of lettuce. Front. Plant Sci. 2021, 11, 601455. [Google Scholar] [CrossRef]
- Gruda, N. Increasing sustainability of growing media constituents and stand-alone substrates in soilless culture systems. Agronomy 2019, 9, 298. [Google Scholar] [CrossRef] [Green Version]
- Zulfiqar, F.; Allaire, S.E.; Akram, N.A.; Méndez, A.; Younis, A.; Peerzada, A.M.; Shaukat, N.; Wright, S.R. Challenges in organic component selection and biochar as an opportunity in potting substrates: A review. J. Plant Nutr. 2019, 42, 1386–1401. [Google Scholar] [CrossRef]
- Solaiman, Z.M.; Shafi, M.I.; Beamont, E.; Anawar, H.M. Poultry litter biochar increases mycorrhizal colonisation, soil fertility and cucumber yield in a fertigation system on sandy soil. Agriculture 2020, 10, 480. [Google Scholar] [CrossRef]
- Bustamante, M.A.; Moral, R.; Paredes, C.; Pérez-Espinosa, A.; Moreno-Caselles, J.; Pérez-Murcia, M.D. Agrochemical characterisation of the solid by-products and residues from the winery and distillery industry. Waste Manag. 2008, 28, 372–380. [Google Scholar] [CrossRef]
- Dede, O.H.; Ozdemir, S. Development of nutrient-rich growing media with hazelnut husk and municipal sewage sludge. Environ. Technol. 2018, 39, 2223–2230. [Google Scholar] [CrossRef] [PubMed]
- Urrestarazu, M.; Mazuela, P.C.; Martínez, G.A. Effect of substrate reutilization on yield and properties of melon and tomato crops. J. Plant Nutr. 2008, 31, 2031–2043. [Google Scholar] [CrossRef]
- Bilderback, T.E.; Warren, S.L.; Owen, J.S.; Albano, J.P. Healthy substrates need physicals too! Horttechnology 2005, 15, 747–751. [Google Scholar] [CrossRef] [Green Version]
- Dyśko, J.; Kaniszewski, S.; Kowalczyk, W. Lignite as a new medium in soilless cultivation of tomato. J. Elem. 2015, 20, 559–569. [Google Scholar] [CrossRef]
- Amoah-Antwi, C.; Kwiatkowska-Malina, J.; Thornton, S.F.; Fenton, O.; Malina, G.; Szara, E. Restoration of soil quality using biochar and brown coal waste: A review. Sci. Total Environ. 2020, 722, 137852. [Google Scholar] [CrossRef]
- Łaźny, R.; Mirgos, M.; Przybył, J.L.; Nowak, J.S.; Kunka, M.; Gajc-Wolska, J.; Kowalczyk, K. Effect of re-used lignite and mineral wool growing mats on plant growth, yield and fruit quality of cucumber and physical parameters of substrates in hydroponic cultivation. Agronomy 2021, 11, 998. [Google Scholar] [CrossRef]
- Łaźny, R.; Mirgos, M.; Przybył, J.L.; Niedzińska, M.; Gajc-Wolska, J.; Kowalczyk, W.; Nowak, J.S.; Kalisz, S.; Kowalczyk, K. Lignite substrate and EC modulates positive eustress in cucumber at hydroponic cultivation. Agronomy 2022, 12, 608. [Google Scholar] [CrossRef]
- Karasmanaki, E.; Ioannou, K.; Katsaounis, K.; Tsantopoulos, G. The attitude of the local community towards investments in lignite before transitioning to the post-lignite era: The case of Western Macedonia, Greece. Resour. Policy 2020, 68, 101781. [Google Scholar] [CrossRef]
- Hossain, D.; Gorman, D.; Chapelle, B.; Mann, W.; Saal, R.; Penton, G. Impact of the mining industry on the mental health of landholders and rural communities in southwest Queensland. Australas. Psychiatry 2013, 21, 32–37. [Google Scholar] [CrossRef]
- Bec, A.; Moyle, B.D.; McLennan, C.J. Drilling into community perceptions of coal seam gas in Roma, Australia. Extr. Ind. Soc. 2016, 3, 716–726. [Google Scholar] [CrossRef] [Green Version]
- Badera, J.; Kocoń, P. Local community opinions regarding the socio-environmental aspects of lignite surface mining: Experiences from central Poland. Energy Policy 2014, 66, 507–516. [Google Scholar] [CrossRef]
- Detman, A.; Bucha, M.; Simoneit, B.R.T.; Mielecki, D.; Piwowarczyk, C.; Chojnacka, A.; Błaszczyk, M.K.; Jędrysek, M.O.; Marynowski, L.; Sikora, A. Lignite biodegradation under conditions of acidic molasses fermentation. Int. J. Coal Geol. 2018, 196, 274–287. [Google Scholar] [CrossRef] [Green Version]
- Kalaichelvi, K.; Chinnusamy, C.; Swaminathan, A. Exploiting the natural resource—Lignite humic acid in agriculture—A review. Agric. Rev. 2006, 27, 276–283. [Google Scholar]
- Huculak-Mączka, M.; Hoffmann, J.; Hoffmann, K. Evaluation of the possibilities of using humic acids obtained from lignite in the production of commercial fertilizers. J. Soils Sediments 2018, 18, 2868–2880. [Google Scholar] [CrossRef] [Green Version]
- Savvas, D.; Pappa, V.; Kotsiras, A.; Gizas, G. NaCl accumulation in a cucumber crop grown in a completely closed hydroponic system as influenced by NaCl concentration in irrigation water. Eur. J. Hortic. Sci. 2005, 70, 217–223. [Google Scholar]
- Baghel, L.; Kataria, S.; Jain, M. Mitigation of adverse effects of salt stress on germination, growth, photosynthetic efficiency and yield in maize (Zea mays L.) through magnetopriming. Acta Agrobot. 2019, 72, 1757. [Google Scholar] [CrossRef] [Green Version]
- Chen, T.-W.; Gomez Pineda, I.M.; Brand, A.M.; Stützel, H. Determining Ion Toxicity in Cucumber under Salinity Stress. Agronomy 2020, 10, 677. [Google Scholar] [CrossRef]
- Borgognone, D.; Cardarelli, M.; Rea, E.; Lucini, L.; Colla, G. Salinity source-induced changes in yield, mineral composition, phenolic acids and flavonoids in leaves of artichoke and cardoon grown in floating system. J. Sci. Food Agric. 2014, 94, 1231–1237. [Google Scholar] [CrossRef] [PubMed]
- Kyriacou, M.C.; Rouphael, Y. Towards a new definition of quality for fresh fruits and vegetables. Sci. Hortic. 2018, 234, 463–469. [Google Scholar] [CrossRef]
- Rouphael, Y.; Petropoulos, S.A.; Cardarelli, M.; Colla, G. Salinity as eustressor for enhancing quality of vegetables. Sci. Hortic. 2018, 234, 361–369. [Google Scholar] [CrossRef]
- Colla, G.; Rouphael, Y.; Cardarelli, M.; Massa, D.; Salerno, A.; Rea, E. Yield, fruit quality and mineral composition of grafted melon plants grown under saline conditions. J. Hortic. Sci. Biotechnol. 2006, 81, 146–152. [Google Scholar] [CrossRef]
- Marín, A.; Rubio, J.S.; Martínez, V.; Gil, M.I. Antioxidant compounds in green and red peppers as affected by irrigation frequency, salinity and nutrient solution composition. J. Sci. Food Agric. 2009, 89, 1352–1359. [Google Scholar] [CrossRef]
- Giuffrida, F.; Graziani, G.; Fogliano, V.; Scuderi, D.; Romano, D.; Leonardi, C. Effects of nutrient and NaCl salinity on growth, yield, quality and composition of pepper grown in soilless closed system. J. Plant Nutr. 2014, 37, 1455–1474. [Google Scholar] [CrossRef]
- Keutgen, A.J.; Pawelzik, E. Quality and nutritional value of strawberry fruit under long term salt stress. Food Chem. 2008, 107, 1413–1420. [Google Scholar] [CrossRef]
- Kaya, C.; Higgs, D.; Ince, F.; Amador, B.M.; Cakir, A.; Sakar, E. Ameliorative effects of potassium phosphate on salt-stressed pepper and cucumber. J. Plant Nutr. 2003, 26, 807–820. [Google Scholar] [CrossRef]
- Hajiboland, R.; Aliasgharzadeh, N.; Laiegh, S.F.; Poschenrieder, C. Colonization with arbuscular mycorrhizal fungi improves salinity tolerance of tomato (Solanum lycopersicum L.) plants. Plant Soil 2010, 331, 313–327. [Google Scholar] [CrossRef]
- Polish Standard. EN 13041; Soil Improvers and Growing Media. Determination of Physical Properties—Dry Bulk Density, Air Volume, Water Volume, Shrinkage Value and Total Pore Space. European Committee for Standardization: Brussels, Belgium, 2002.
- Polish Standards. EN 13039; Soil Improvers and Growing Media. Determination of Organic Matter Content and Ash. PKN: Warszawa, Poland, 2002.
- Nowak, J.S.; Strojny, Z. Changes in physical properties of peat-based substrates during cultivation period of gerbera. Acta Hortic. 2004, 644, 319–323. [Google Scholar] [CrossRef]
- Wever, G. Determination of Dry Matter Content (KIWA); Analysereeks PBG: Naaldwijk, The Netherlands, 2000. [Google Scholar]
- Wever, G. Aangepast Beperkt Fisisch Onderzoek Vaste Substraten; Analysereeks PBG: Naaldwijk, The Netherlands, 2000. [Google Scholar]
- AOAC. Official Methods of Analysis of AOAC International, 19th ed.; Academic: Cambridge, MA, USA, 2012. [Google Scholar]
- López Camelo, A.F.; Gómez, P.A. Comparison of color indexes for tomato ripening. Hortic. Bras. 2004, 22, 534–537. [Google Scholar] [CrossRef]
- Barbagallo, R.N.; Di Silvestro, I.; Patanè, C. Yield, physicochemical traits, antioxidant pattern, polyphenol oxidase activity and total visual quality of field-grown processing tomato cv. Brigade as affected by water stress in Mediterranean climate. J. Sci. Food Agric. 2012, 93, 1449–1457. [Google Scholar] [CrossRef]
- Kulapichitr, F.; Borompichaichartkul, C.; Fang, M.; Suppavorasatit, I.; Cadwallader, K.R. Effect of post-harvest drying process on chlorogenic acids, antioxidant activities and CIE-Lab color of Thai Arabica green coffee beans. Food Chem. 2022, 366, 130504. [Google Scholar] [CrossRef]
- Allaire, S.E.; Caron, J.; Ménard, C.; Dorais, M. Potential replacements for rockwool as growing substrate for greenhouse tomato. Can. J. Soil Sci. 2005, 85, 67–74. [Google Scholar] [CrossRef]
- Mazahreh, N.; Nejatian, A.; Mousa, M. Effect of different growing medias on cucumber production and water productivity in soilless culture under UAE conditions. Merit Res. J. Agric. Sci. Soil Sci. 2015, 3, 131–138. [Google Scholar]
- Pinter, I.F.; Fernández, A.S.; Martínez, L.E.; Riera, N.; Fernández, M.; Aguado, G.D.; Uliarte, E.M. Exhausted grape marc and organic residues composting with polyethylene cover: Process and quality evaluation as plant substrate. J. Environ. Manag. 2019, 246, 695–705. [Google Scholar] [CrossRef]
- Savvas, D.; Gruda, N. Application of soilless culture technologies in the modern greenhouse industry—A review. Eur. J. Hortic. Sci. 2018, 83, 280–293. [Google Scholar] [CrossRef]
- Mohammadi-Ghehsareh, A. Effect of plant growth on some physical properties of potting culture media. Int. J. Recycl. Org. Waste Agric. 2015, 4, 205–209. [Google Scholar] [CrossRef] [Green Version]
- Borji, H.; Mohammadi Ghahsareh, A.; Jafarpour, M. Effects of the Substrate on Tomato in Soilless Culture. Res. J. Agric. Biol. Sci. 2010, 6, 923–927. [Google Scholar]
- Sonneveld, C.; De Kreij, C. Response of cucumber (Cucumis sativus L.) to an unequal distribution of salts in the root environment. Plant Soil 1999, 209, 47–56. [Google Scholar] [CrossRef]
- Alam, M. Effect of growing media on rooting response of tomato (Lycopersicum esculentum L.) stem cuttings. Pure Appl. Biol. 2020, 9, 884–896. [Google Scholar] [CrossRef]
- Kwiatkowska, J. Ocena możliwości wykorzystania węgla brunatnego jako efektywnego źródła materii organicznej w gruntach przekształconych antropogenicznie. Inżynieria Ochr. Śr. 2007, 10, 71–85. [Google Scholar]
- Nurzyński, J. Yield and quality of greenhouse tomato fruit grown in rape straw substrates. Acta Sci. Pol. Cultus 2013, 12, 3–11. [Google Scholar]
- Machado, R.; Serralheiro, R. Soil Salinity: Effect on Vegetable crop growth. management practices to prevent and mitigate soil salinization. Horticulturae 2017, 3, 30. [Google Scholar] [CrossRef]
- Tavakoli, M.T.; Chenari, A.I.; Rezaie, M.; Tavakoli, A.; Shahsavari, M.; Mousavi, S.R. The Importance of Micronutrients in Agricultural Production. Available online: https://go.gale.com/ps/i.do?p=AONE&sw=w&issn=19950756&v=2.1&it=r&id=GALE%7CA385404507&sid=googleScholar&linkaccess=fulltext (accessed on 22 December 2021).
- Dunlop, S.J.; Arbestain, M.C.; Bishop, P.A.; Wargent, J.J. Closing the Loop: Use of Biochar Produced from Tomato Crop Green waste as a Substrate for Soilless, Hydroponic Tomato Production. HortScience 2015, 50, 1572–1581. [Google Scholar] [CrossRef]
- Munns, R.; Husain, S.; Rivelli, A.R.; James, R.A.; Condon, A.G.T.; Lindsay, M.P.; Lagudah, E.S.; Schachtman, D.P.; Hare, R.A. Avenues for increasing salt tolerance of crops, and the role of physiologically based selection traits. In Progress in Plant Nutrition: Plenary Lectures of the XIV International Plant Nutrition Colloquium; Springer: Dordrecht, The Netherlands, 2002; Volume 247, pp. 93–105. [Google Scholar]
- Ouni, Y.; Ghnaya, T.; Montemurro, F.; Lakhdar, A. The role of humic substances in mitigating the harmful effects of soil salinity and improve plant productivity. Int. J. Plant Prod. 2014, 8, 353–374. [Google Scholar]
- Kirda, C.; Cetin, M.; Dasgan, Y.; Topcu, S.; Kaman, H.; Ekici, B.; Derici, M.R.; Ozguven, A.I. Yield response of greenhouse grown tomato to partial root drying and conventional deficit irrigation. Agric. Water Manag. 2004, 69, 191–201. [Google Scholar] [CrossRef]
- Kumar, K.; Goh, K.M. Crop residues and management practices: Effects on soil quality, soil nitrogen dynamics, crop yield, and nitrogen recovery. Adv. Agron. 1999, 68, 197–319. [Google Scholar]
- Luitel, B.P.; Adhikari, P.B.; Yoon, C.S.; Kang, W.H. Yield and fruit quality of tomato (Lycopersicon esculentum Mill.) cultivars established at different planting bed size and growing substrates. Hortic. Environ. Biotechnol. 2012, 53, 102–107. [Google Scholar] [CrossRef]
- Suthar, R.; Wang, C.; Nunes, M.; Chen, J.; Sargent, S.; Bucklin, R.; Gao, B. Bamboo biochar pyrolyzed at low temperature improves tomato plant growth and fruit quality. Agriculture 2018, 8, 153. [Google Scholar] [CrossRef] [Green Version]
- Colla, G.; Rouphael, Y.; Rea, E.; Cardarelli, M. Grafting cucumber plants enhance tolerance to sodium chloride and sulfate salinization. Sci. Hortic. 2012, 135, 177–185. [Google Scholar] [CrossRef]
- Colla, G.; Rouphael, Y.; Jawad, R.; Kumar, P.; Rea, E.; Cardarelli, M. The effectiveness of grafting to improve NaCl and CaCl2 tolerance in cucumber. Sci. Hortic. 2013, 164, 380–391. [Google Scholar] [CrossRef]
- Mohammadi Ghehsareh, A. Effect of date palm wastes and rice hull mixed with soil on growth and yield of cucumber in greenhouse culture. Int. J. Recycl. Org. Waste Agric. 2013, 2, 17. [Google Scholar] [CrossRef] [Green Version]
- Peet, M.M.; Harlow, C.D.; Larrea, E.S. Fruit quality and yield in five small-fruited greenhouse tomato cultivars under high fertilization regime. In Proceedings of the VII International Symposium on Protected Cultivation in Mild Winter Climates: Production, Pest Management and Global Competition, Kissimmee, FL, USA, 23–27 March 2004; International Society for Horticultural Science: Leuven, Belgium, 2004; Volume 659, pp. 811–818. [Google Scholar]
- Kim, H.-J.; Fonseca, J.M.; Choi, J.-H.; Kubota, C.; Kwon, D.Y. Salt in irrigation water affects the nutritional and visual properties of romaine lettuce (Lactuca sativa L.). J. Agric. Food Chem. 2008, 56, 3772–3776. [Google Scholar] [CrossRef]



| Physical Parameter of the Substrate | New MW | MW/Control EC | MW/High EC | New L | L/Control EC | L/High EC |
|---|---|---|---|---|---|---|
| Organic matter content | 3.17 | 5.03 | 7.07 | 85.55 | 85.50 | 85.07 |
| Bulk density (BD) | 61.13 | 60.78 | 61.89 | 378.15 | 384.60 | 391.96 |
| Total porosity | 97.70 | 97.67 | 97.59 | 77.07 | 76.68 | 76.29 |
| Shrinkage | - | - | - | 25.48 | 20.15 | 19.74 |
| Water content after drainage of gravity water | 92.01 | 93.08 | 93.74 | 50.57 | 62.41 | 76.29 |
| Water content pressure at −10 cm H2O (water holding capacity) (WHC) | 59.91 | 71.66 | 76,24 | 41.32 | 51.05 | 50.98 |
| Air content after drainage of gravity water | 5.68 | 4.60 | 3.85 | 26.50 | 14.27 | 15.92 |
| Air content at −10 cm H2O | 37.78 | 26.01 | 21.35 | 35.74 | 25.62 | 25.31 |
| Readily accessible water | 30.49 | 40.95 | 45.04 | 6.55 | 10.66 | 9.62 |
| Treatment | Physical Parameter of the Substrate | Shoot Length Increase Per Week | Leaf Number Per Week | Shoot Diameter | Leaf Length | Leaf Width | Leaf Area | Petiole Length |
|---|---|---|---|---|---|---|---|---|
| MW/control EC | BD | 0.4667 | 0.2848 | 0.6429 | 0.4736 | 0.4376 | 0.4431 | 042.53 |
| WHC | 0.2255 | 0.8476 * | 0.3794 | 0.7326 | 0.6361 | 0.7273 | 0.8508 * | |
| L/control EC | BD | −0.0145 | −0.5190 * | −0.8082 * | −0.7648 * | −0.5544 | −0.6573 * | −0.7552 * |
| WHC | 0.1066 | 0.2659 | −0.1366 | −0.0405 | 0.0168 | −0.0039 | −0.0232 | |
| MW/high EC | BD | 0.4017 | 0.0680 | 0.4244 | 0.3765 | 0.3124 | 0.3360 | 0.3283 |
| WHC | 0.3186 | 0.7968 * | 0.3476 | 0.6339 | 0.4884 | 0.6060 | 0.8594 * | |
| L/high EC | BD | 0.3348 | 0.6103 | −0.2252 | 0.3156 | 0.2001 | 0.3115 | 0.5180 |
| WHC | 0.3143 | 0.8402 * | 0.0748 | 0.6068 | 0.4080 | 0.5651 | 0.6967 |
| Parameter | MW/Control EC | L/Control EC | MW/High EC | L/High EC | ||||
|---|---|---|---|---|---|---|---|---|
| R | D (%) | R | D (%) | R | D (%) | R | D (%) | |
| Stem length increase per week | 0.4672 | 21.82 | 0.4263 | 18.17 | 0.1245 | 1.55 | 0.3412 | 11.64 |
| Leaf number per week | 0.8671 * | 75.19 | 0.8749 * | 76.54 | 0.7393 * | 54.71 | 0.8543 * | 72.98 |
| Diameter shoot | 0.6451 | 41.62 | 0.4546 | 20.67 | 0.8366 * | 69.99 | 0.5194 | 26.98 |
| Leaf length | 0.7406 | 54.85 | 0.6576 | 43.24 | 0.8223 * | 67.62 | 0.6937 | 48.12 |
| Leaf width | 0.6483 | 42.03 | 0.4962 | 24.62 | 0.6166 | 38.02 | 0.4771 | 22.76 |
| Leaf area | 0.7312 | 53.47 | 0.6027 | 36.32 | 0.7198 * | 51.81 | 0.6312 | 39.84 |
| Petiole length | 0.8510 * | 72.43 | 0.8650 * | 74.83 | 0.8188 * | 67.05 | 0.7049 | 32.91 |
| Treatment | Physical Parameter of the Substrate | Macronutrient | |||||
|---|---|---|---|---|---|---|---|
| N | P | K | Ca | Mg | S-SO4 | ||
| MW/control EC | BD | 0.1434 | 0.7279 | 0.8977 * | −0.4575 | −0.3844 | −0.3217 |
| WHC | 0.2534 | 0.8309 | 0.9284 * | −0.5629 | −0.4981 | −0.4277 | |
| L/control EC | BD | 0.0821 | −0.4286 | 0.4593 | 0.1396 | 0.0871 | −0.0737 |
| WHC | 0.5042 | 0.1423 | 0.9115 * | −0.3581 | −0.3985 | −0.4256 | |
| MW/high EC | BD | 0.2919 | 0.2542 | 0.3678 | −0.3863 | −0.4751 | −0.6346 |
| WHC | 0.3997 | 0.3472 | 0.3582 | −0.4894 | −0.5737 | −0.6828 | |
| L/high EC | BD | 0.5357 | 0.7794 | −0.4806 | −0.8000 * | −0.5893 | −0.6150 * |
| WHC | 0.3990 | 0.6296 | −0.3213 | −0.6539 | −0.4329 | −0.3402 | |
| Macronutrient | MW/Control EC | L/Control EC | MW/High EC | L/High EC | ||||
|---|---|---|---|---|---|---|---|---|
| R | D (%) | R | D (%) | R | D (%) | R | D (%) | |
| N | 0.4312 | 18.59 | 0.7515 | 56.48 | 0.6896 | 47.56 | 0.6417 | 41.18 |
| P | 0.8648 | 74.79 | 0.6494 | 42.17 | 0.8459 | 71.55 | 0.8570 | 73.44 |
| K | 0.9288 * | 86.27 | 0.9832 * | 96.67 | 0.3690 | 13.62 | 0.6479 | 41.98 |
| Ca | 0.6322 | 39.97 | 0.7745 | 60.00 | 0.7345 | 53.96 | 0.8697 * | 75.64 |
| Mg | 0.5953 | 35.44 | 0.8053 * | 64.85 | 0.7268 | 52.82 | 0.7167 | 51.37 |
| S-SO4 | 0.5279 | 27.86 | 0.7251 | 52.59 | 0.5775 | 33.35 | 0.9962 * | 99.25 |
| Treatment | Physical Parameter of the Substrate | Micronutrient | ||||
|---|---|---|---|---|---|---|
| Fe | Mn | Cu | Zn | B | ||
| MW/control EC | BD | −0.4407 | 0.4478 | 0.0877 | −0.4108 | 0.4717 |
| WHC | 0.1183 | 0.4784 | 0.3066 | −0.0947 | 0.5699 | |
| L/control EC | BD | 0.5196 | 0.6525 | 0.5430 | 0.4872 | −0.2190 |
| WHC | 0.7998 * | 0.1002 | 0.0863 | 0.0778 | 0.0559 | |
| MW/high EC | BD | 0.0233 | −0.0005 | −0.5077 | −0.2007 | 0.3756 |
| WHC | −0.5472 | −0.4904 | −0.5977 | 0.1155 | 0.5356 | |
| L/high EC | BD | 0.0613 | −0.0184 | −0.1585 | 0.5994 | −0.3615 |
| WHC | −0.1214 | −0.2324 | −0.4497 | 0.8429 * | −0.2380 | |
| Micronutrient | MW/Control EC | L/Control EC | MW/High EC | L/High EC | ||||
|---|---|---|---|---|---|---|---|---|
| R | D (%) | R | D (%) | R | D (%) | R | D (%) | |
| Fe | 0.6369 | 40.71 | 0.8004 * | 64.06 | 0.6352 | 40.34 | 0.3144 | 9.88 |
| Mn | 0.5322 | 28.32 | 0.5595 | 31.31 | 0.6783 | 46.01 | 0.3888 | 15.12 |
| Cu | 0.3179 | 10.10 | 0.6480 | 42.00 | 0.5636 | 31.77 | 0.5910 | 34.93 |
| Zn | 0.4337 | 18.81 | 0.3147 | 9.90 | 0.5056 | 25.56 | 0.8614 * | 74.21 |
| B | 0.5521 | 30.48 | 0.6058 | 36.69 | 0.2716 | 7.37 | 0.3780 | 14.29 |
| Treatment | Physical Parameter of the Substrate | Total Yield | Marketable Yield | Unmarketable Yield | Number of Aborted Fruits | |||
|---|---|---|---|---|---|---|---|---|
| Number of Fruits | Weight of Fruit | Number of Fruits | Weight of Fruit | Number of Fruits | Weight of Fruit | |||
| MW/control EC | BD | −0.5195 | −0.1661 | −0.1675 | −0.1397 | −0.6762 | −0.6763 | 0.4606 |
| WHC | −0.0597 | 0.2209 | 0.0108 | 0.0176 | −0.1017 | −0.1019 | 0.2020 | |
| L/control | BD | 0.8415 * | 0.8409 * | 0.6908 * | 0.6373 | 0.9798 | 0.9588 | 0.8384 * |
| WHC | 0.9606 * | 0.9485 * | 0.8678 * | 0.8239 * | 0.9920* | 0.9896 * | 0.7560 * | |
| MW/high EC | BD | 0.3216 | 0.7005 | 0.8114 | 0.8097 | −0.4821 | −0.3462 | −0.7862 |
| WHC | 0.4177 | 0.7175 | 0.8055 | 0.8035 | −0.3735 | −0.2003 | −0.7108 | |
| L/high EC | BD | 0.5626 | 0.5961 | 0.7175 | 0.6840 | 0.1690 | 0.3498 | 0.0107 |
| WHC | 0.7189 | 0.4632 | 0.5545 | 0.5446 | 0.2377 | 0.2578 | 0.3161 | |
| Yield of Fruit | MW/Control EC | L/Control EC | MW/High EC | L/High EC | |||||
|---|---|---|---|---|---|---|---|---|---|
| R | D (%) | R | D (%) | R | D (%) | R | D (%) | ||
| Total yield | Number of fruits | 0.7007 | 49.10 | 0.9999 * | 99.99 | 0.7376 | 54.41 | 0.8164 | 66.65 |
| Weight of fruit | 0.7190 | 51.70 | 0.9783 | 95.71 | 0.5647 | 31.89 | 0.6821 | 46.53 | |
| Marketable yield | Number of fruits | 0.8119 | 65.93 | 0.9989 * | 99.79 | 0.2729 | 7.45 | 0.8257 | 68.18 |
| Weight of fruit | 0.8102 | 65.64 | 0.9820 * | 96.43 | 0.2383 | 5.68 | 0.7631 | 58.23 | |
| Unmarketable yield | Number of fruits | 0.9433 | 88.99 | 0.9972 * | 99.44 | 0.9339 | 87.22 | 0.2998 | 8.99 |
| Weight of fruit | 0.7972 | 63.65 | 0.9903 * | 98.07 | 0.9339 | 87.22 | 0.4240 | 17.79 | |
| Number of aborted fruit | 0.9577 | 91.73 | 0.9821 * | 96.47 | 0.8571 | 73.47 | 0.8839 | 78.13 | |
| Treatment | Physical Parameter of the Substrate | Firmness | C* | H* | a*/b* |
|---|---|---|---|---|---|
| MW/control EC | BD | −0.0451 | 0.1603 | 0.7442 * | 0.7326 * |
| WHC | −0.6256 | −0.2896 | 0.2782 | 0.2539 | |
| L/control EC | BD | 0.6514 * | −0.8071 * | 0.5791 | 0.5685 |
| WHC | −0.0824 | 0.0352 | 0.1120 | 0.1211 | |
| MW/high EC | BD | 0.1770 | −0.8633 * | −0.5064 | −0.5065 |
| WHC | −0.6722 * | −0.4783 | 0.0569 | 0.0598 | |
| L/high EC | BD | −0.4663 | 0.0517 | 0.4614 | 0.4581 |
| WHC | −0.6221 | 0.1485 | 0.6603 | 0.6616 |
| Parameter | MW/Control EC | L/Control EC | MW/High EC | L/High EC | ||||
|---|---|---|---|---|---|---|---|---|
| R | D (%) | R | D (%) | R | D (%) | R | D (%) | |
| Firmness | 0.7064 * | 49.91 | 0.8828 * | 77.94 | 0.7569 * | 57.29 | 0.6283 * | 39.48 |
| C* | 0.4652 | 21.65 | 0.8662 * | 75.03 | 0.8708 * | 75.84 | 0.1959 | 3.84 |
| H* | 0.7550 * | 57.01 | 0.6122 | 37.47 | 0.5957 | 35.48 | 0.6781 * | 45.98 |
| a*/b* | 0.7476 * | 55.89 | 0.6141 | 37.71 | 0.5820 | 33.87 | 0.6810 * | 46.38 |
| Treatment | Physical Parameter of the Substrate | Dry Matter | TSS | β-Carotene | Lutein | Nitrates |
|---|---|---|---|---|---|---|
| MW/control EC | BD | 0.3399 | −0.3275 | −0.3837 | 0.1806 | 0.2598 |
| WHC | 0.0137 | −0.0542 | 0.1200 | 0.5242 | −0.1685 | |
| L/control EC | BD | 0.2636 | 0.4665 | −0.1945 | −0.0304 | −0.3964 |
| WHC | −0.2079 | 0.1375 | 0.2934 | 0.7782 * | 0.1842 | |
| MW/high EC | BD | −0.0352 | −0.3728 | 0.2074 | 0.2589 | 0.1367 |
| WHC | 0.5488 | −0.5961 | 0.1863 | 0.5225 | −0.1066 | |
| L/high EC | BD | 0.5151 | −0.0803 | 0.6098 | 0.5481 | −0.1091 |
| WHC | 0.7108 | −0.3257 | 0.2978 | 0.7962 * | −0.3576 |
| Parameter | MW/Control EC | L/Control EC | MW/High EC | L/High EC | ||||
|---|---|---|---|---|---|---|---|---|
| R | D (%) | R | D (%) | R | D (%) | R | D (%) | |
| Dry matter | 0.3898 | 15.19 | 0.6469 | 41.85 | 0.4363 | 19.04 | 0.7232 | 52.30 |
| TSS | 0.3545 | 12.57 | 0.6040 | 36.48 | 0.4704 | 22.12 | 0.4704 | 22.13 |
| β-carotene | 0.5359 | 28.72 | 0.2296 | 5.27 | 0.4540 | 20.61 | 0.7142 | 51.01 |
| Lutein | 0.5351 | 28.64 | 0.8411 * | 70.74 | 0.5226 | 27,31 | 0.8211 * | 67.42 |
| Nitrates | 0.4403 | 19.39 | 0.2398 | 5.75 | 0.5504 | 30.29 | 0.4901 | 24.02 |
Publisher’s Note: MDPI stays neutral with regard to jurisdictional claims in published maps and institutional affiliations. |
© 2022 by the authors. Licensee MDPI, Basel, Switzerland. This article is an open access article distributed under the terms and conditions of the Creative Commons Attribution (CC BY) license (https://creativecommons.org/licenses/by/4.0/).
Share and Cite
Łaźny, R.; Nowak, J.S.; Mirgos, M.; Przybył, J.L.; Niedzińska, M.; Kunka, M.; Gajc-Wolska, J.; Kowalczyk, W.; Kowalczyk, K. Effect of Selected Physical Parameters of Lignite Substrate on Morphological Attributes, Yield and Quality of Cucumber Fruits Fertigated with High EC Nutrient Solution in Hydroponic Cultivation. Appl. Sci. 2022, 12, 4480. https://doi.org/10.3390/app12094480
Łaźny R, Nowak JS, Mirgos M, Przybył JL, Niedzińska M, Kunka M, Gajc-Wolska J, Kowalczyk W, Kowalczyk K. Effect of Selected Physical Parameters of Lignite Substrate on Morphological Attributes, Yield and Quality of Cucumber Fruits Fertigated with High EC Nutrient Solution in Hydroponic Cultivation. Applied Sciences. 2022; 12(9):4480. https://doi.org/10.3390/app12094480
Chicago/Turabian StyleŁaźny, Radosław, Jacek S. Nowak, Małgorzata Mirgos, Jarosław L. Przybył, Monika Niedzińska, Małgorzata Kunka, Janina Gajc-Wolska, Waldemar Kowalczyk, and Katarzyna Kowalczyk. 2022. "Effect of Selected Physical Parameters of Lignite Substrate on Morphological Attributes, Yield and Quality of Cucumber Fruits Fertigated with High EC Nutrient Solution in Hydroponic Cultivation" Applied Sciences 12, no. 9: 4480. https://doi.org/10.3390/app12094480
APA StyleŁaźny, R., Nowak, J. S., Mirgos, M., Przybył, J. L., Niedzińska, M., Kunka, M., Gajc-Wolska, J., Kowalczyk, W., & Kowalczyk, K. (2022). Effect of Selected Physical Parameters of Lignite Substrate on Morphological Attributes, Yield and Quality of Cucumber Fruits Fertigated with High EC Nutrient Solution in Hydroponic Cultivation. Applied Sciences, 12(9), 4480. https://doi.org/10.3390/app12094480

