Abstract
The rib-to-floorbeam (RF) connection is the most complicated joint in orthotropic steel decks (OSDs), where four fatigue-prone details are created, i.e., the RF at the rib side (RF-R), RF at the floor beam side (RF-F), RF at the rib wall (RF-W), as well as the floor beam cutout detail. In order to clarify the behavior of those details under the passage of trucks, a controlled truck loading test and finite element analysis (FEA) are performed at various typical transverse loading locations on a newly built long-span cable-stayed bridge. The research finds that, in the bridge transverse direction, stresses at the four details presented significant local effects. Only when these details are underneath the deck plate covered by the wheel patch a notable stress can be produced at these details. In the bridge longitudinal direction, the wheel loading effect at the four details can be discerned only when the wheels load on the deck supported by their adjacent floor beams. The results find that, under wheel loading, the stress ranges at the RF-R, RF-F and Cutout details are compressive, while the stress at the RF-W detail is in tension. The riding-rib-wall loading is the most critical transverse loading location for the RF and Cutout details, and the RF-W is the most critical fatigue detail in the RF connection. The FEA indicates that, due to offset of wheel loads, floor beams may suffer from severe out-of-plane bending, while ribs may experience notable warping and distortion. Under the passage of the tandem axles, the individual axle cannot be identified, and only one stress cycle is produced at the four details.
1. Introduction
The orthotropic steel deck (OSD) is made of deck plates, ribs and floor beams through welding, which provides quite different structural stiffness in bridge longitudinal and transverse directions [1]. Owing to its many advantages on structural performance and benefits on construction and maintenance, it has been widely used in bridge deck systems in different structural forms, particularly in long-span bridges [2,3,4,5]. Due to its complicate structure and details, plenty of welds and lack of knowledge about detailing, the fatigue-prone details may crack under a huge amount of truck passages within service life. Some of the OSD bridges suffering frequently from overweight trucks may even present early cracking after only several years of service [6,7]. The situation may be worse for early built bridges where the OSDs were designed with thin deck plates and floor beams. The typical cracking details include the rib-to-deck plate (RD) weld detail, the rib-to-floorbeam (RF) weld detail and the floor beam cutout detail [1].
Stress behaviors at the RD details have been extensively studied through field measurements, laboratory tests and finite element analysis (FEA) [8,9,10,11,12], and the fatigue performance of RD details can be improved in several ways, such as increasing the deck plate thickness, placing an ultra-high-performance concrete (UHPC) overlay, applying the new technology of both-side welds [13,14,15], or a combination of these methods. However, as the most complex connection on the OSDs, the RF weld creates four fatigue-prone details that present a significant concentration and highly complicate stress behavior under wheel loads. Under the passage of truck loads, the ribs generate a differential vertical deflection in the bridge transverse direction. As supported and constrained by the floor beams, this kind of deflection results in twisting and warping effects in the rib wall, which eventually produce a highly coupled deformation both in the ribs and the floor beams [16,17]. Consequently, complex stress generates at the RF weld and nearby Cutout details with a significant stress concentration. The observed fatigue cracks are reported at the rib side of the RF weld (RF-R in short), at the floor beam side of the RF weld (RF-F in short), at the wrap-around weld of the RF weld (RF-W in short), as well as at the floor beam cutout (Cutout in short), as, respectively, shown in Figure 1.
Figure 1.
Observed fatigue cracks at (a) RF-R; (b) RF-F; (c) RF-W; (d) Cutout.
Compared to the understanding of the stress behaviors at the RD details, the stress behaviors at the four details under truck loads are still not clear. Wolchuk [18] studied the stress and deformation at the RF-W detail due to the Poisson’s effect of the rib wall at its intersection with floor beams, and analytically derived the secondary stress at the RF-W detail. Choi [19] carried out OSD panel model tests and FEA to study the stress behaviors and fatigue cracking mechanism of RF details by using theory of strain energy. The research indicated that fatigue cracks were initiated at the weld toe of the RF joint with an inclined angle. Wang [20] accomplished a fatigue loading test on a full-scale panel model. The results found that the fatigue cracking could occur at the Cutout detail even though compressive stress is always measured at this detail under wheel loads. It implied that high residual stress existed at the Cutout detail and could highly contribute to cracking at this detail. Numbers of large-scale specimens were tested by Huang [21] to explore the failure process of RF details. It was found that the fatigue failure process of RF joints can be divided into four stages that fatigue cracks initiate from the weld end at the weld toe, then extended beyond the thickness of the floor beam, deflected upward and propagate through the rib wall, and finally propagate at an accelerated rate until failure. Xiang [22] studied the behavior of RF-W details in a steel–UHPC composite OSD and found that the RF-W detail presented an obvious out-of-plane bending deformation, which resulted from the torsion effect and Poisson’s effect. Additionally, the application of bulkhead can greatly improve the fatigue performance of the RF-W details.
As the laboratory tests or FEA may have difficulties to truly represent the real structures, connection details and boundary conditions in real bridges, field tests are widely recognized as the most effective way to study the loading effects and fatigue performance of the OSD [23]. Conner [24] carried out a field measurement through crawl tests and dynamic tests on an OSD. The work mainly presented the techniques used in the field monitoring and provided guidance on the instrumentation and field monitoring, with little report about the stress responses at various details. Giovanni [25] estimated the residual fatigue life of an existing orthotropic box-girder bridge, using experimental data from the long-term monitoring of real traffic-induced effects. A method was proposed so that residual fatigue life and the real urgency of retrofitting interventions can be evaluated in operational conditions. Pei [26] conducted field measurements on a lightweight composite bridge deck to characterize the contribution of a UHPC layer to the deck system, and strain responses at various details were measured with and without UHPC layers. The results showed that the UHPC layer influences the stress range of various details significantly. Zhu [27] simultaneously measured the stress time histories at the RF and Cutout details, considering two types of cutout geometry on adjacent floor beams under random traffic flows. The results indicated that the proposed new cutout geometry with large radius reduced the fatigue life at the RF detail, and hence was not suggested for rehabilitation of fatigue cracking at floor beam cutout.
In this study, the stress measurement at RF and cutout details on an OSD is first carried out on a newly built long-span cable-stayed bridge under controlled truck loading. Then, finite element models are established with the truck loading in different transverse and longitudinal directions of the OSD panel. The results from the field tests and FEA are compared, as to investigate the stress behaviors at those details and clarify their inherent mechanism under the passage of trucks, which are the basis for proposing methods that could improve the fatigue performance of the details.
2. Field Loading Tests of OSD
2.1. Bridge Information
Located in the Hubei Province, mainland China, the Shishou Yangtze River Bridge is a long-span cable-stayed bridge with the main span of 820 m and the bridge elevation layout is shown in Figure 2a. The typical cross section of the steel box girder is shown in Figure 2b and the out-to-out deck width is 38.5 m, which provides three 3.75 m-wide traffic lanes and a 3.75 m-wide shoulder. The steel box girder is 3.8 m high, with 70 mm asphalt surfacing. The typical OSD in the box girder is shown in Figure 2c. The thickness of deck plate, rib wall and floor beam is 16, 8 and 20 mm, respectively. The rib center-to-center distance is 600 mm, while the floor beam spacing in bridge longitudinal direction is 3 m. The bridge structural steel (Q345Qc in China), with yield strength of 345 Mpa and Young’s module of 2.1 × 105 Mpa, was adopted in the construction of the bridge.

Figure 2.
Bridge layout. (a) Bridge elevation; (b) Cross-section of steel box girder; (c) OSD.
2.2. Controlled Truck Loading Tests
2.2.1. Test Setup
Based on the test convenience on the bridge deck, the third-floor beam (F3 in short) from the main span center to the south tower in bridge longitudinal direction was selected as the test location. In the transverse direction, the floor beam inside the south-bound box was instrumented as the test floor beam. Numbered from the west (W in short) to the east (E in short), the eleventh rib is abbreviated as R11. A type of self-temperature compensating gauge was used in the field measurement, which can avoid the nonlinear vertical temperature gradient that appeared on the top portion of the steel box girder due to solar radiation [28].
In order to measure the stress at the details of interest, sixteen gauges were applied at the details around R11, R12 and R13, as shown in Figure 3a. The strain gauges were self-temperature compensation gauges with a grid size of 3.2 mm in length and 2.5 mm in width. With the stress direction illustrated in Figure 3b by two-end arrows, the gauges were perpendicular to the weld toe or parallel to the free edge of the floor beam Cutout, with 6 mm away from their center to the weld toe or to free edge [29]. The gauges 1-1, 2-1, 3-1 and 4-1 illustrated in Figure 3a were applied to the RF-R detail, which was located on rib walls, as shown in Figure 4, and Figure 4 also shows the gauges applied to the four details at the west side of R13 and the east side of R11.
Figure 3.
Strain gauge layout. (a) Gauge arrangement and transverse location of wheel center; (b) Stress location and direction at measured details.
Figure 4.
Strain gauges applied on real bridge. (a) West side of R13; (b) East side of R11.
2.2.2. Truck Loading Scheme
One Dongfeng-153 truck was selected for the controlled loading test with the detail information shown in Figure 5. The distance between the front and middle axle, as well as the middle and rear axle is, respectively, 3.8 m and 1.4 m. Table 1 shows the weight of each axle and its individual wheel, and only a slight weight difference appears between the left and right wheels. It should be noted that both the middle and rear axles’ weight are heavier than those of the HS20 Truck in the AASHTO specification [30].
Figure 5.
Truck information. (a) Picture of truck on bridge; (b) Truck configuration (Unit: mm).
Table 1.
Truck weight information.
The field measurement was carried out with the truck loading at various transverse locations, including seven crawl tests LC1 to LC7 and a dynamic test LC8. In the crawl tests, the truck passed the test area at speed of about 2 km/h. In the dynamic test, the speed was set to about 40 km/h. Hence, there were in total eight loading cases in the controlled load tests and the transverse loading cases, as shown in Figure 3a.
The cases LC1 to LC3 are the typical transverse loading locations of R12 [31] and correspond, respectively, to the over-rib loading, the riding-rib-wall loading and the in-between-ribs loading, as shown in Figure 3a. The cases LC4 to LC7 are also the riding-rib-wall loading, but with respect to different ribs. Due to limits of space in this paper, only the stress responses in LC1 to LC3 are presented in detail, and the maximum stress records of the details in LC4 to LC7 are provided. To ensure the accuracy of the wheel loading position, the truck headed south with its left wheel of rear axle first centered at F3. Then, the truck engine was turned off. Meanwhile, the data acquisition system was initialized and ready to sample. In the next, the truck started and moved straightly and slowly to the south, while the data acquisition system sampled. After the truck passed the test section, it stopped at a location not less than 50 m away from the test section. Since the truck speed was very slow, the sampling frequency was set to 10 Hz.
In the dynamic test, the test truck was more than 100 m away from the test section. First, data acquisition system was initialized. As soon as the truck started to move, the system sampled until the truck travelled straightly to not less than 100 m away from the test section. With this moderate speed of about 40 km/h, the sampling frequency was set to 100 Hz.
2.3. Test Results
Field measurement at RF and cutout details under controlled truck loading, including the truck crawl test and the dynamic test, are provided based on various transverse loading locations.
2.3.1. Crawl Tests
A specific test scheme was designed to obtain the stress at the measured details under truck loading. When the data acquisition system was initialized, all records were zero clearing, but the truck was already loaded on the details. Hence, the indicated time histories were not the actual responses of the four details. Hereafter, they are called the gauge records. It can be understood that, after the truck traveled away from the test section, the stress responses at the measured details would be gradually small, and eventually became negligible when the truck was far away from the test section. One can see that when t is large enough, such as t > 12 s in Figure 6, the gauge records were steady and smooth, which means that the truck was already far away from the test section and did not provide any loading effect. With this consideration, gauge records that were steady and smooth were treated as constants to the corresponding gauges. Then, the actual stress records at the four details were obtained by subtracting the constants from the gauge records, as shown in Figure 7. Assuming that the truck was back to the start point, the stress curves were read from right to left, which helps to understand stress responses at different details. Due to limits of space in this paper, strain gauge records at the four details will not be presented any longer hereafter; instead, only the actual stress is provided.

Figure 6.
Strain gauge records under LC1 loading cases. (a) RF-R; (b) RF-F; (c) RF-W; (d) Cutout.
Figure 7.
Stress records under LC1 loading cases. (a) RF-R; (b) RF-F; (c) RF-W; (d) Cutout.
LC1
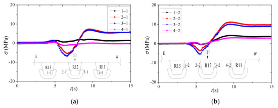
LC1 is the over-rib loading on R12. Figure 6 illustrates the stress gauge records at the RF-R, RF-F, RF-W and Cutout details produced by truck crawl running. The truck started to leave floor beam F3 and traveled to the south. For a specific detail, such as the RF-R, the eastern two gauges are symmetrical to the western two along the wheel center, and their curves are expected to be similar if the test arrangement is justified. As shown in Figure 6a, the curves of gauge 2-1 agrees well with 3-1, and 1-1 is close to 4-1, which confirms that the expected wheel location is guaranteed in this loading case.
Figure 7 plots the actual stress records at the four details under loading case LC1. As shown in Figure 7, gauges 2-1 and 3-1, 2-2 and 3-2, 2-3 and 3-3, as well as 2-4 and 3-4, which are directly underneath the wheel, produced high stresses. Due to their distance to the wheel center larger than one rib spacing, other eight gauges generated low stress. Hence, both the RF and the Cutout details present significant local stress effects to wheel loads. In addition, the stresses at the RF-R, RF-F and Cutout details are compressive, while stress at RF-W is in tension, with a maximum stress range of 13.6, 15.5, 40.8 and 27.5 MPa, respectively. It is clear that the RF-W detail is the most critical detail in the RF connection, and the Cutout detail produced the highest stress range.
LC2
LC2 is the riding-rib-wall loading on the east side of R12, and the actual stress responses at the four details are plotted in Figure 8. As in the case of LC1, the stresses at the RF-R, RF-F and Cutout details are also compressive, while stress at RF-W is in tension, with a maximum stress range of 11.6, 14.5, 42.4 and 29.4 Mpa, respectively. Compared to LC1, the stress ranges at the RF-W and Cutout details increased. As shown in Figure 8, when the detail was close to the wheel center, the stress response at that detail was large, and particularly significant stress response appeared at the detail that was directly underneath the wheel center, such as 2-1, 2-2, 2-3 and 2-4. For the four gauges on east side of R11, their stress levels are clearly low and negligible due to their relatively large distance to the wheel center.
Figure 8.
Stress records under LC2. (a) RF-R; (b) RF-F; (c) RF-W; (d) Cutout.
LC3
In this loading case, the wheel was centered between R12 and R13. The stress at the RF-R detail was the lowest, as shown in Figure 9. The maximum stress ranges at the RF-R, RF-F, RF-W and Cutout details were, respectively, 9.3, 16.9, 26.7 and 41.1 MPa. Compared to LC1 and LC2, it is clear that the LC2, i.e., the riding-rib-wall loading, is the most critical loading location for the RF-W and Cutout details.
Figure 9.
Stress records under LC3. (a) RF-R; (b) RF-F; (c) RF-W; (d) Cutout.
The wheel loads produced a high stress at those details directly underneath the wheel, such as the gauges on the west side of R13 and those on the east side of R12. For the details at the west side of R12, their stresses decreased. The stresses at the four details around R11 are very low and clearly negligible. This may also be due to the fact that their distances to the wheel center are larger than one rib spacing.
Considering the load distribution function of the 70 mm asphalt overlay on the bridge deck, as well as a load dispersal angle of 45° to the vertical, the tire dispersal scale in the bridge transverse and longitudinal direction increases, respectively, to 640 mm and 340 mm on deck plate top surface, as shown in Figure 10. It should be noted that 640 mm on deck plate surface is wider than the center-to-center rib spacing.
Figure 10.
Tire dispersal width in bridge transverse direction. (Unit: mm).
With this consideration, based on the stress shown in Figure 7, Figure 8 and Figure 9, one can find that, if the gauges were underneath the deck plate covered by the tire width, the stress responses at these gauges would be significant. If the gauges were not underneath the deck plate covered by the tire width, its stress response would be small or even negligible.
It is important to consider the stress responses at the four details under various transverse loading locations, with x defined as the distance from the wheel center from LC2 to the other loading cases and the eastern side being defined as a positive direction.
Figure 11 plots the peak stresses measured at the four details at the east side of R12, i.e., 2-1, 2-2, 2-3 and 2-4, under the seven loading cases in the crawl tests. For the apparent stresses at these gauges, it is clear that the stress level at the RF-W and Cutout details is notable higher than that at the RF-R and RF-F details. Hence, more attention should be paid to the RF-W detail based on its relatively low fatigue category. In addition, the riding-rib-wall loading is the most critical transverse loading location among the three typical loading cases.
Figure 11.
Peak stress at 2-1~2-4 versus distance to wheel center.
As shown in Figure 11, when the details are directly underneath the wheel (x = −0.15, 0 and 0.15 m), high peak stresses appear, and if the details are underneath the deck plate covered by the tire width (x < 0.365 m), apparent stresses can still be measured. However, if the details are underneath the deck plate that is not covered by the tire width (x ≥ 0.6 m), their stresses are very small. This again confirms that, in the bridge transverse direction, the stresses at the RF-R, RF-F, RF-W and Cutout details present a significant local stress effect under wheel loading.
Based on the above consideration, for a passing truck, the stresses at the RF and Cutout details generated by one side of the wheel would not be superimposed with those from another side. Particularly, the loading effects on the RF and Cutout details produced by multiple trucks traveling side-by-side in different lanes can be ignored. This consideration greatly simplifies fatigue truck loads in the FEA of OSDs and facilitates the stress analysis regarding various transverse and longitudinal loading locations.
2.3.2. Dynamic Test
As indicated in the crawl tests, the riding-rib-wall loading is the most critical transverse loading location for the RF and Cutout details. Hence, the loading case of LC8, with the wheel centered exactly at the same location as LC2, was employed in the dynamic test. The truck traveled with a speed of about 40 km/h, and the data were sampled with a frequency of 100 Hz.
The dynamic stress at the four details under LC8 is plotted in Figure 12. Since the transverse loading location is the same as LC2, the results from the two loading cases are comparable. In the crawl tests, the rear axle was initially centered on the floor beam and then moved away from it. Hence, one can compare their stresses produced by the rear axle. The curves after the stress peaks or valleys in Figure 8 share almost the same trends with those in Figure 12. In the dynamic test, stresses at the RF-R, RF-F and Cutout details are in compression, while the RF-W detail is in tension, with maximum stress ranges of 14.5, 11.8, 41.7 and 33.5 MPa, respectively. Those values agree well with the results of the crawl test. In addition, the four details on the east side of R11 presented very small stress responses. It is again confirmed that if, the details are not underneath the deck plate covered by the tire width, their stress responses will be small.
Figure 12.
Stress records of the four details under the passage of the truck with intermediate speed. (a) RF-R; (b) RF-F; (c) RF-W; (d) Cutout.
Figure 12b shows the stress peaks of 2-2 with the marked truck axles. Having the time interval that took the truck axles to pass on the same detail, the truck speed can be estimated. In Figure 12b, considering t0 = 0.29 s, t1 = 0.56 s, t2 = 0.90 s, t3 = 1.01 s and t4 = 1.27 s, the calculated truck speed, based on the front and rear axle, is 41.6 km/h, which is close to the expected speed of 40 km/h.
The stress influence line of the four details in the bridge longitudinal direction can be estimated. Based on the truck speed of 41.6 km/h, t0 and t1 as shown in Figure 12b, the calculated length of the stress influence line produced by the front axle at the RF-F detail ahead of the peak stress is about 3.0 m, which means that only when the front axle crossed the adjacent floor beam and approached the tested floor beam, gradual apparent stress can then be observed at this detail. Considering the stress generated by the rear axle, the instant corresponding to its peak stress in Figure 12b is t3 = 1.01 s, and its negligible loading effect starts from t4 = 1.27 s. Consequently, the estimated length of the stress influence line after the stress peak is around 3.0 m, which means that only when the rear axle moved across the floor beam ahead of the test floor beam, the wheel loading effect at this detail is small and negligible. Accordingly, for the RF-R, RF-F, RF-W and Cutout details on the specific floor beam, their wheel loading effects are limited between their adjacent floor beams. In other words, if the wheel loads outside this area, its loading effects can be negligible. Hence, the length of the stress influence line for this bridge is 6 m.
3. FEA of OSD Panel Model under Wheel Loading
In order to understand the stress behaviors at the RF and Cutout details under the passage of wheel loads, an OSD panel model was established using the software ANSYS. The calculated stress results at the four details were compared with the field measurements, while the stress and deformation of the OSD helped to understand the stress behaviors at these details under the truck loading at different longitudinal and transverse locations.
3.1. FEA Model
As shown in Figure 13, the OSD panel model consisted of five longitudinal ribs, three floor beams and four span decks with the ribs numbered from the west to the east and the floor beams numbered as F1 to F5 from north to south. The structure layout of the OSD was represented in the panel model based on the design drawing of this bridge shown in Figure 2c. All welds were modeled, but the residual stress was not considered.
Figure 13.
Finite element model of the OSD panel.
The model measured 12 m long in the bridge longitudinal direction (Z), 3 m wide in the bridge transverse direction (X) and 0.616 m high from the deck plate (Y) with the origin defined at the intersection of F2 and the center line of R14 at deck plate level. The limited model width in the transverse direction was based on the consensus that the RF and Cutout details present significant local stress effects to wheel loading, as was also demonstrated in the controlled truck tests in this paper. Meanwhile, since solid-web diaphragms were used in this box girder, only the floor beam web above the horizontal stiffeners was modeled, which can help to avoid a very large model scale, while guaranteeing acceptable accuracy [31].
The Solid45 element, which is a three-dimensional brick element with eight nodes and each node has three translational degrees of freedom, was employed to discrete the panel model. To exercise a good control of the mesh quality, such as aspect ratio, skewness, and orthogonal quality, structured meshes were used in the model, as shown in Figure 14. Since the fatigue details always present stress concentration at weld toes, very fine elements were provided at the area close to the weld toes. At the RD detail and perpendicularly to the weld toe, the first element measured 2 mm, as shown in Figure 14b. At the RF and Cutout details, the minimum mesh size was 3 mm, as shown in Figure 14c. Consequently, there were about 2.05 × 106 elements in the OSD panel model.
Figure 14.
Mesh arrangement. (a) OSD panel; (b) Close view around RD weld; (c) Close view around RF weld.
For boundary conditions applied on the panel model, three degrees of freedom of all nodes at these boundaries were constrained, including its easternmost and westernmost longitudinal boundaries (in the Z-direction) on the deck plate, the northern and southern ends of the ribs, as well as the bottom and eastern and western ends of F2, F3 and F4. The applied boundary conditions only approximate the real constraint of the panel model from the whole structure. However, since the details of interest are located far away from the model boundaries, according to the Saint-Venant’s principle [32], the present boundary conditions would not present significant errors to the stress responses at those details.
3.2. Loading Schemes
The controlled truck tests showed that, for the RF-R, RF-F, RF-W and Cutout details, their wheel loading effects are limited between their adjacent floor beams. Since the floor beam spacing was only 3 m inside this box girder, which is shorter than the spacing between the front and middle axle (3.8 m), and the middle and rear axles are significantly heavier than the front axle, only the middle and rear axles were considered in FEA, while the field measurement in the crawl test also indicated that stresses at the RF and Cutout details generated by one side of wheel would not be superimposed with those from another side. Hence, in FEA, only the left wheels of the middle and rear axle, as shown in Figure 5, were considered. In addition, a dynamic impact factor of 1.15, as specified in AASHTO LRFD [30], was considered for the wheel loads.
The three typical transverse loading locations, as already investigated in the controlled truck tests, were considered in the FEA [31], as shown in Figure 15. The truck passage on the bridge deck was modeled through a step-by-step placing of the tandem axles on the panel model with a suitable step interval in the bridge longitudinal direction, as shown in Figure 13. The wheel center of middle axle was employed to define the location of wheel load in the bridge longitudinal direction. The tandem axles move along the Z-axis with a uniform step size of 0.1 m until the middle axle reaches the F5 (Z = 9 m), resulting in an array of 91 × 3 loading cases for the typical three transverse loading scenarios. It should be pointed out that the loading step size of 0.1 m in the bridge longitudinal direction is close to the identified truck loading step size in the dynamic tests based on the truck travel speed and data sampling interval.
Figure 15.
Three typical transverse loading locations on the panel model.
3.3. FEA Results and Discussion
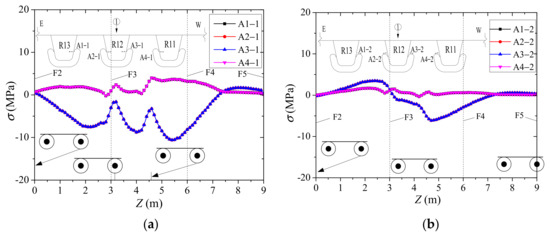
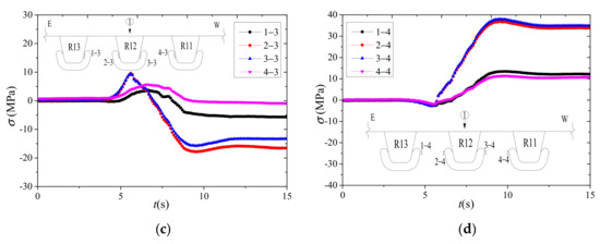
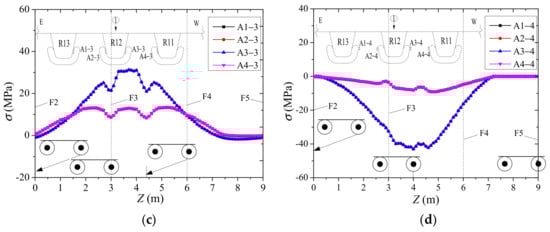
The stress responses at the RF-R, RF-F, RF-W and Cutout details on F3 (i.e., Z = 3 m) at its intersection with R11, R12 and R13 are presented under the three typical transverse loading locations. The same position as the gauges was applied, and the stress at the Cutout detail was obtained at the location of 6mm away, which is parallel to the free edge of the Cutout detail, while stresses at the other three details were obtained at the location of 6mm away and are perpendicular to the weld toe [29], as illustrated in Figure 3b. In order to make a direct comparison with the results from the controlled truck tests, a similar numbering method was employed in the FEA model to mark their stress locations, with “A” being added before the gauge number in the field tests, as shown in Figure 16, Figure 17 and Figure 18.

Figure 16.
Calculated stress of four details under LC1. (a) RF-R; (b) RF-F; (c) RF-W; (d) Cutout.
Figure 17.
Calculated stress of the four details under LC2. (a) RF-R; (b) RF-F; (c) RF-W; (d) Cutout.
Figure 18.
Calculated stress of the four details under LC3. (a) RF-R; (b) RF-F; (c) RF-W; (d) Cutout.
LC1
This is the over-rib loading case, with eight pairs of details symmetrical to the wheel center. The stress curves under this loading case present several features. First, as shown in Figure 16, details transversely symmetrical to the wheel center produce almost equal stress. Second, if the details are underneath the deck plate, which is covered by the tire width, there are high stress responses, otherwise the stresses are small, such as the details on the east side of R11 and on the west side of R13, because they are not underneath the deck plate covered by the tire width. Third, only when the wheel loads on the deck plate are supported by the tested floor beams, the apparent stress could be observed, which confirms that the wheel loading effects are limited between the adjacent floor beams. Fourth, the stress at the RF-W detail is in tension, while stresses at the RF-R, RF-F and Cutout details are in compression. Finally, based on the relationship between the fatigue life and cubic stress range at fatigue detail per AASHTO LRFD [30], under the passage of the tandem axles, only one stress cycle is produced at the four details, which is quite clear at the RF-W and Cutout details, and their maximum stress range is 12.3, 9.6, 33.1 and 43.0 MPa at the RF-R, RF-F, RF-W and Cutout details, respectively. These maximum stress ranges are very close to the LC1 in the crawl test. It is clear that relatively high stress ranges appear at the RF-W and Cutout details.
LC2
In the riding-rib-wall loading case, the stress curves for a specific detail generally looked similar to each other. Compared to LC1, the same details show similar stress curves, as shown in Figure 17. It is confirmed that, if the details are underneath the deck plate that is covered by the tire width, there are high stress responses. Otherwise, the stresses are small, such as those details on the east side of R11. In addition, stresses at the RF-R and Cutout details are in compression, and the RF-W detail is in tension, which is in agreement with the crawl tests. Stress curves after the rear axle passing the F3, as shown in Figure 8 in the crawl test and in Figure 12 in the dynamic test, share almost the same trends with the FEA results. The maximum stress ranges are 15, 10.4, 40.2 and 44.1 MPa at the RF-R, RF-F, RF-W and Cutout details, respectively, which also agree well with the dynamic test.
LC3
When the wheel load is centered between R12 and R13, the details on the east side of R12 and those on the west side of R13 are symmetrical to the wheel center. Hence, these two groups of details generate almost equal stress. For the same details, stresses at the details underneath the deck plate covered by the tire width are significantly higher than those that are not covered by the tire width, as displayed in Figure 18. Under the passage of the tandem axles, the highest stress response appears at the Cutout detail, followed by the RF-W detail. The maximum stress ranges at the RF-R, RF-F, RF-W and Cutout details are 14.7, 9.7, 33.1 and 37.8 MPa, respectively, which agrees well with the results of the crawl tests. Compared to the crawl tests, the stress curves after the passage of the rear axle in Figure 9 also agree well with those in Figure 18.
For the three typical transverse loading cases, the results also indicate that the riding-rib-wall loading is the most critical transverse loading location, which produces the largest stress ranges at the four details. Meanwhile, stresses at the RF-R and RF-F details are relatively low, but high stresses are produced at the RF-W and Cutout details. Although the stress at the Cutout detail is the highest, which is only slightly higher than that at the RF-W detail, the Cutout detail accounts for the highest fatigue category (Category A) and the RF detail is in Category C, with constant-amplitude fatigue limits of 165 MPa and 69 Mpa, respectively [30]. As a result, the RF-W detail is the most critical detail in the RF connection, where more attention should be focused. Additionally, based on the relationship between the fatigue life and cubic stress range at the fatigue detail per AASHTO LRFD [30], under the passage of the tandem axles, only one stress cycle is produced at the four details. This may be due to the fact that the four details are relatively far away from the wheel loads.
Figure 19 plots the von Mises stress contours and deformation of F3 and R12 when the middle axle loads on this floor beam, under the three typical transverse loading locations. Apparently, a significant stress concentration appears at the RF and Cutout details.
Figure 19.
Stress contour plots and deformation of F3 and R12. (a) LC1; (b) LC2; (c) LC3. (Unit: MPa).
Considering the deformation of the ribs at their intersection with the floor beams, as shown in Figure 19, the ribs undergo a complex deformation, such as rib distortion, which is highly dependent on its location with respect to the wheel loads. For the over-rib loading shown in Figure 19a, since the wheel centers on R12, a low portion of the rib undergoes apparent widening. The RF-W detail suffers from outward bending, and hence tensile stress is produced at this detail. The over-rib loading on R12 is an eccentric loading to the nearby R11 and R13, which produces notable torsional moment, and hence a significant distortion appears on the nearby ribs, which results in a warping deformation at the rib wall low portion. Consequently, a high tensile stress is created at the RF-W detail due to the constraint from the floor beam at their intersection. In addition, for LC2 and LC3, the wheel load is also eccentric to both R12 and R13, and hence a significant distortion and high stress appear at the RF-W detail. This explains why a high tensile stress appears at the RF-W detail under controlled truck loading.
4. Discussion of Structural Deformation under Wheel Loads
The deformation of the OSDs can provide insight into the stress behaviors of the details. LC2 is the most critical transverse loading case for all details. Figure 20 plots the von Mises stress contours and deformation of R12 and F3 when tandem axles load at different longitudinal locations; initially the front axle centers on F2 (Figure 20a), then moves ahead to F4 (Figure 20b–e), and finally crosses F4 with the rear axle centers on F4 (Figure 20f). Apparently, R12 performs as a continuous beam elastically supported by the floor beams. If one axle centers on a floor beam, the rib deformation under this axle is small, while a relatively large rib deflection appears underneath the axle if the axle does not center or the tandem axle does not ride the floor beam. The rib deflection not only results in a high stress on rib bottom flange and deck plate, but also results in rib rotation at its supporting floor beam. Consequently, complicated in-plane and out-of-plane stress is present at the intersection of ribs and floor beams, particularly at the fatigue-prone details, such as the RF-F, RF-R, RF-W and Cutout details, where significant stress concentration occurs.

Figure 20.
Stress contours and deformation plots under LC2. (a) Z = 0 m; (b) Z = 1.5 m; (c) Z = 3.0 m; (d) Z = 3.6 m; (e) Z = 6 m; (f) Z = 7.4 m. (Unit: MPa).
Figure 20 also illustrates the deformation and stress contour of F3. When the front axle centers on F2, the stress and deformation on F3 is very small, while after the front axle crosses F2 and gradually moves close to or further moves ahead from F3, increases on the stress and deformation of F3 are very clear until the rear axle crosses F4. In this process, both F2 and F3 suffer from significant out-of-plane bending except at the location where the tandem axles centers on F3. However, this longitudinal loading location is the most critical loading location for F3, which produces the highest stress at the RF connection and Cutout detail. During this process, the wheel center is offset to both R13 and R14, and the two ribs always suffer from severe twist, resulting in rib wall outward and inward bending, and hence the RF-W detail experiences tensile or compressive stress. In addition, as shown in Figure 20c, the loads carried by R12 is significantly higher than that of R13, which results in a higher stress on F3 around R12, and the deck plate above R12 shows notable deflection under wheel loading.
5. Conclusions
To investigate the stress behaviors of the RF and Cutout details on the OSD, controlled truck tests and FEA were carried out. The following conclusions and remarks were reached.
- Stresses at the RF and Cutout details present significant local effects to wheel loads in the bridge transverse direction. When the details are underneath the deck plate that is covered by the tire width, apparent stresses are produced at these details; otherwise, their stresses are small. Therefore, considering a passing truck, the stress at the RF and Cutout details generated by one side of wheel do not superimpose with that from the other side of wheel. Furthermore, the loading effects at the details, produced by multiple trucks traveling side-by-side, can be ignored.
- In the bridge longitudinal direction, apparent stresses can generate at the RF and Cutout details only when the wheels load on the deck between the adjacent floor beams; otherwise, wheel loading effects are negligible.
- The FEA results shows that the stresses at the RF-R, RF-F and Cutout details are compressive, while the stress at the RF-W detail is in tension. The stress at the RF-W detail is significantly larger than that at the RF-R and RF-F details due to rib wall outward bending, and more attention should be paid to the RF-W detail based on fatigue consideration.
- Comparisons between the FEA and field measurements confirm that the riding-rib-wall loading is the most critically transverse loading location, and under the passage of the tandem axles, only one stress cycle is produced at the four details.
- Due to the offset of wheel loads, the floor beams may suffer from severe out-of-plane bending, while the ribs may experience warping and distortion. This is why high stresses appear at the RF-W detail.
This paper mainly focused on the stress behaviors of the RF and Cutout details under wheel loads, and further research is needed to develop an approach that could improve the fatigue performance of the details, which is the next stage of the study.
Author Contributions
Conceptualization, J.L. and Z.Z.; methodology, Z.Z.; software, J.L.; validation, Z.Z.; formal analysis, J.L.; investigation, J.L.; resources, Z.Z.; data curation, J.L. and Z.Z.; writing—original draft preparation, J.L. and Z.Z.; writing—review and editing, J.L.; project administration, Z.Z.; funding acquisition, Z.Z. All authors have read and agreed to the published version of the manuscript.
Funding
This research was supported by the National Natural Science Foundation of China (grant number 51878269); the STU Scientific Research Foundation for Talents of China (grant number NTF18014); and the Teaching Team Development Program of Guangdong Higher Education Institutes of China.
Institutional Review Board Statement
Not applicable.
Informed Consent Statement
Not applicable.
Data Availability Statement
Data is contained within the article.
Conflicts of Interest
The authors declare no conflict of interest.
Abbreviations
The following abbreviations are used in this manuscript:
| OSDs | orthotropic steel decks |
| RF | rib-to-floorbeam |
| RF-R | rib side of rib-to-floorbeam connection |
| RF-F | floorbeam side of rib-to-floorbeam connection |
| RF-W | wrap-around weld of rib-to-floorbeam connection |
| FEA | finite element analysis |
| RD | rib-to-deck plate |
| UHPC | ultra-high-performance concrete |
| F3 | third floorbeam |
| R11 | eleventh rib |
| W | west side |
| E | east side |
| LC | loading case |
References
- FHWA (Federal Highway Administration). U.S. Department of Transportation Manual for Design, Construction, and Maintenance of Orthotropic Steel Deck Bridges; FHWA: Washington, DC, USA, 2012.
- Ya, S.; Yamada, K.; Ishikawa, T. Fatigue evaluation of rib-to-deck welded joints of orthotropic steel bridge deck. J. Bridge Eng. 2011, 16, 492–499. [Google Scholar] [CrossRef]
- Kim, T.W.; Beak, J.; Lee, H.J.; Lee, S.Y. Effect of pavement design parameters on the behaviour of orthotropic steel bridge deck pavements under traffic loading. Int. J. Pavement Eng. 2014, 15, 471–482. [Google Scholar] [CrossRef]
- Li, C.X.; He, J.; Zhang, Z.; Liu, Y.; Ke, H.J.; Dong, C.W.; Li, H.L. An improved analytical algorithm on main cable system of suspension bridge. Appl. Sci. 2018, 8, 1358. [Google Scholar] [CrossRef] [Green Version]
- Chen, Z.Y.; Li, C.X.; He, J.; Xin, H.H. Retrofit fatigue cracked diaphragm cutouts using improved geometry in orthotropic steel decks. Appl. Sci. 2020, 10, 3983. [Google Scholar] [CrossRef]
- Wang, B.H. Fatigue assessment of the diaphragm-to-rib welded connection in orthotropic steel deck using effective notch stress approach. J. Fail. Anal. Prev. 2014, 15, 65–73. [Google Scholar] [CrossRef]
- Zhu, Z.W.; Yuan, T.; Xiang, Z.; Huang, Y. Behaviors and fatigue performance of details in orthotropic steel bridges with UHPC-deck plate composite system under in-service traffic flows. J. Bridge Eng. 2018, 23, 04017142. [Google Scholar] [CrossRef]
- Cui, C.; Zhang, Q.H.; Luo, Y.; Hao, H.; Li, J. Fatigue reliability evaluation of deck-to-rib welded joints in OSD considering stochastic traffic load and welding residual stress. Int. J. Fatigue 2018, 111, 151–160. [Google Scholar] [CrossRef]
- Zheng, K.F.; Feng, X.Y.; Heng, J.L.; Zhu, J.; Zhang, Y. Fatigue reliability analysis of rib-to-deck joints using test data and in-situ measurements. Appl. Sci. 2019, 9, 4820. [Google Scholar] [CrossRef] [Green Version]
- Wu, W.J.; Kolstein, H.; Veljkovi, M. Fatigue resistance of rib-to-deck welded joint in OSDs, analyzed by fracture mechanics. J. Constr. Steel Res. 2019, 162, 105700. [Google Scholar] [CrossRef]
- Gadallah, R.; Tsutsumi, S.; Yonezawa, T.; Shimanuki, H. Residual stress measurement at the weld root of rib-to-deck welded joints in orthotropic steel bridge decks using the contour method. Eng. Struct. 2020, 219, 110946. [Google Scholar] [CrossRef]
- Wang, Q.D.; Ji, B.H.; Fu, Z.Q.; Yao, Y. Effective notch stress approach-based fatigue evaluation of rib-to-deck welds including pavement surfacing effects. Int. J. Steel Struct. 2020, 20, 272–286. [Google Scholar] [CrossRef]
- Luo, J.; Shao, X.D.; Cao, J.H.; Xiong, M.H.; Fan, W. Transverse bending behavior of the steel-UHPC lightweight composite deck: Orthogonal test and analysis. J. Constr. Steel Res. 2019, 162, 105708. [Google Scholar] [CrossRef]
- Zhu, Z.W.; Xiang, Z.; Zhou, Y.E. Fatigue behavior of orthotropic steel bridge stiffened with ultra-high performance concrete layer. J. Constr. Steel Res. 2019, 157, 132–142. [Google Scholar] [CrossRef]
- Cui, C.; Zhang, Q.H.; Bao, Y.; Bu, Z.Y. Residual stress relaxation at innovative both-side welded rib-to-deck joints under cyclic loading. J. Constr. Steel Res. 2019, 156, 9–17. [Google Scholar] [CrossRef]
- Connor, R.J.; Fisher, J.W. Consistent approach to calculating stresses for fatigue design of welded rib-to-web connections in steel orthotropic bridge decks. J. Bridge Eng. 2006, 11, 517–525. [Google Scholar] [CrossRef]
- Zhang, Q.H.; Cui, C.; Bu, Y.Z.; Liu, Y.M.; Ye, H.W. Fatigue tests and fatigue assessment approaches for rib-to-diaphragm in steel orthotropic decks. J. Constr. Steel Res. 2015, 114, 110–118. [Google Scholar] [CrossRef]
- Wolchuk, R. Secondary stresses in closed orthotropic deck ribs at floor beams. J. Struct. Eng. 1992, 118, 582–595. [Google Scholar] [CrossRef]
- Choi, J.H.; Kim, D.H. Stress characteristics and fatigue crack behavior of the longitudinal rib-to-cross beam joints in an orthotropic steel deck. Adv. Struct. Eng. 2008, 11, 189–198. [Google Scholar] [CrossRef]
- Wang, C.S.; Fu, B.N.; Zhang, Q.; Feng, Y.C. Fatigue test on full-scale orthotropic steel bridge deck. China J. Highw. Transp. 2013, 26, 69–76. [Google Scholar]
- Huang, Y.; Zhang, Q.H.; Bao, Y.; Bu, Y.Z. Fatigue assessment of longitudinal rib-to-crossbeam welded joints in orthotropic steel bridge decks. J. Constr. Steel Res. 2019, 159, 53–66. [Google Scholar] [CrossRef]
- Xiang, Z.; Zhu, Z.W. Simulation study on fatigue behavior of wrap-around weld at rib-to-floorbeam joint in a steel-UHPC composite orthotropic bridge deck. Constr. Build. Mate. 2021, 289, 123161. [Google Scholar] [CrossRef]
- Zhu, Z.W.; Li, J.P.; Huang, Y.; Carpinter, A. Hot-spot stress models of cutout detail on orthotropic steel bridge decks. J. Constr. Steel Res. 2021, 183, 106762. [Google Scholar] [CrossRef]
- Connor, R.J.; Fisher, J.W. Field testing of orthotropic bridge decks. Int. J. Steel Struct. 2005, 5, 225–231. [Google Scholar]
- Giovanni, T.; Filippo, L.; Mauro, C.; Marco, D.; Francesca, P. Monitoring of orthotropic steel decks for experimental evaluation of residual fatigue life. J. Civ. Struct. Health 2017, 7, 517–539. [Google Scholar]
- Pei, B.D.; Li, L.F.; Shao, X.D.; Wang, L.H.; Zeng, Y. Field measurement and practical design of a lightweight composite bridge deck. J. Constr. Steel Res. 2018, 147, 564–574. [Google Scholar] [CrossRef]
- Zhu, Z.W.; Xiang, Z.; Li, J.P.; Huang, Y.; Ruan, S.P. Fatigue behavior of orthotropic bridge decks with two types of cutout geometry based on field monitoring and FEM analysis. Eng. Struct. 2020, 209, 109926. [Google Scholar] [CrossRef]
- Tong, M.; Tham, L.G.; Au, F.T.K.; Lee, P.K.K. Numerical modelling for temperature distribution in steel bridges. Comput. Struct. 2001, 79, 583–593. [Google Scholar] [CrossRef]
- Tsakopoulos, P.A.; Fisher, J.W. Williamsburg Bridge Replacement Orthotropic Deck as-Built Full-Scale Fatigue Test, Final Report on Phase 2B; ATLSS Rep. No. 99-02; ATLSS: Bethlehem, PA, USA, 1999. [Google Scholar]
- AASHTO. AASHTO LRFD Bridge Design Specification, 8th ed.; AASHTO: Washington, DC, USA, 2017. [Google Scholar]
- Xiao, Z.G.; Yamada, K.; Ya, S.; Zhao, X.L. Stress analyses and fatigue evaluation of rib-to-deck joints in steel orthotropic decks. Int. J. Fatigue 2008, 30, 1387–1397. [Google Scholar] [CrossRef]
- Toupin, R.A. Saint-Venant’s Principle. Arch. Ration. Mech. Anal. 1965, 18, 83–96. [Google Scholar] [CrossRef]
Publisher’s Note: MDPI stays neutral with regard to jurisdictional claims in published maps and institutional affiliations. |
© 2022 by the authors. Licensee MDPI, Basel, Switzerland. This article is an open access article distributed under the terms and conditions of the Creative Commons Attribution (CC BY) license (https://creativecommons.org/licenses/by/4.0/).