Mechanistic–Empirical Analysis of Pavement Performance Considering Dynamic Axle Load Spectra Due to Longitudinal Unevenness
Abstract
1. Introduction
2. Objective and Scope
3. Consideration of Dynamic Loads in Axle Load Spectra
3.1. Pavement Profiles and Vehicle Models
3.2. Dynamic Load Coefficients
3.3. Dynamic Axle Load Spectra
4. Mechanistic–Empirical Pavement Analysis Considering Dynamic Axle Loads
4.1. Analysis Inputs and Assumptions
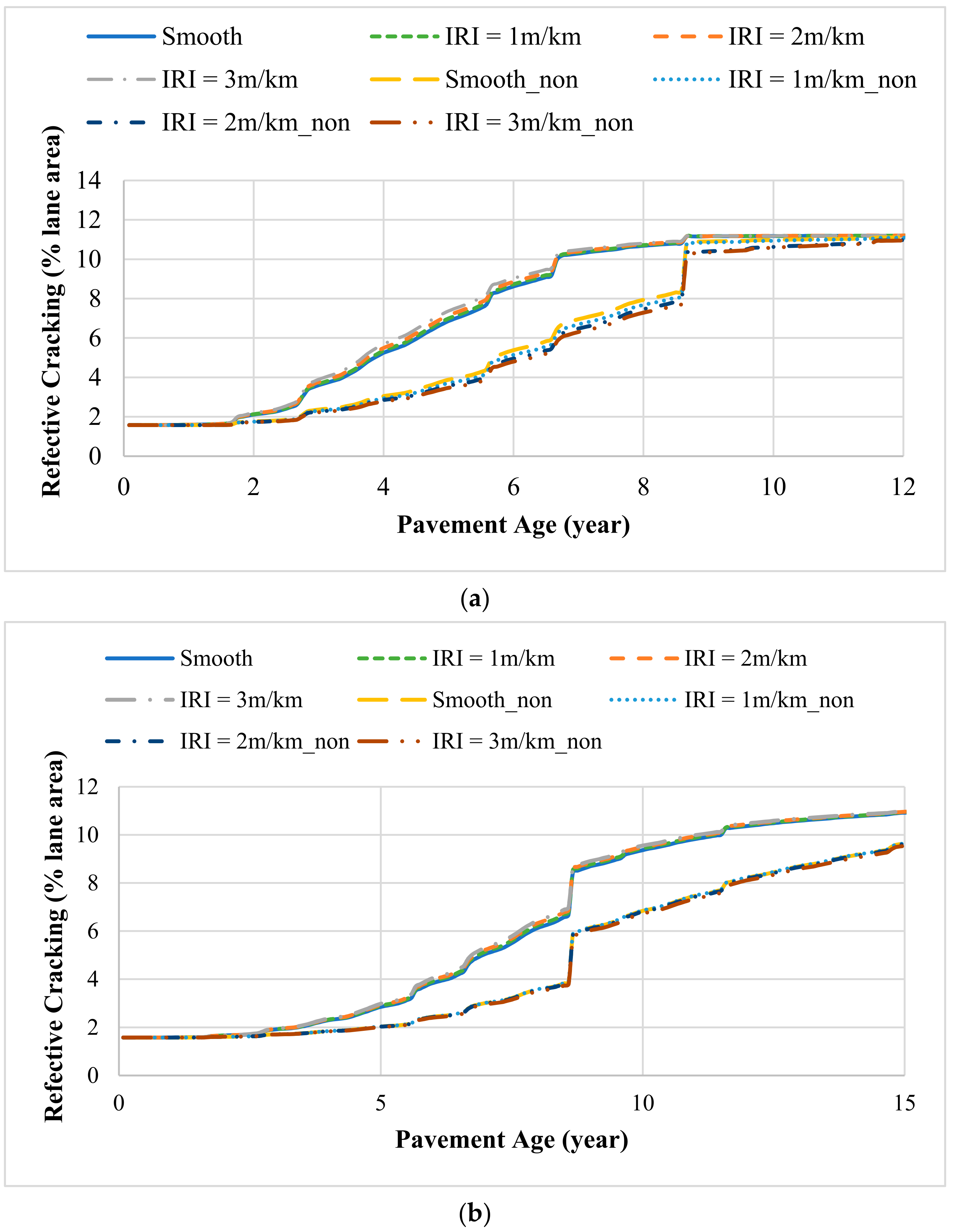
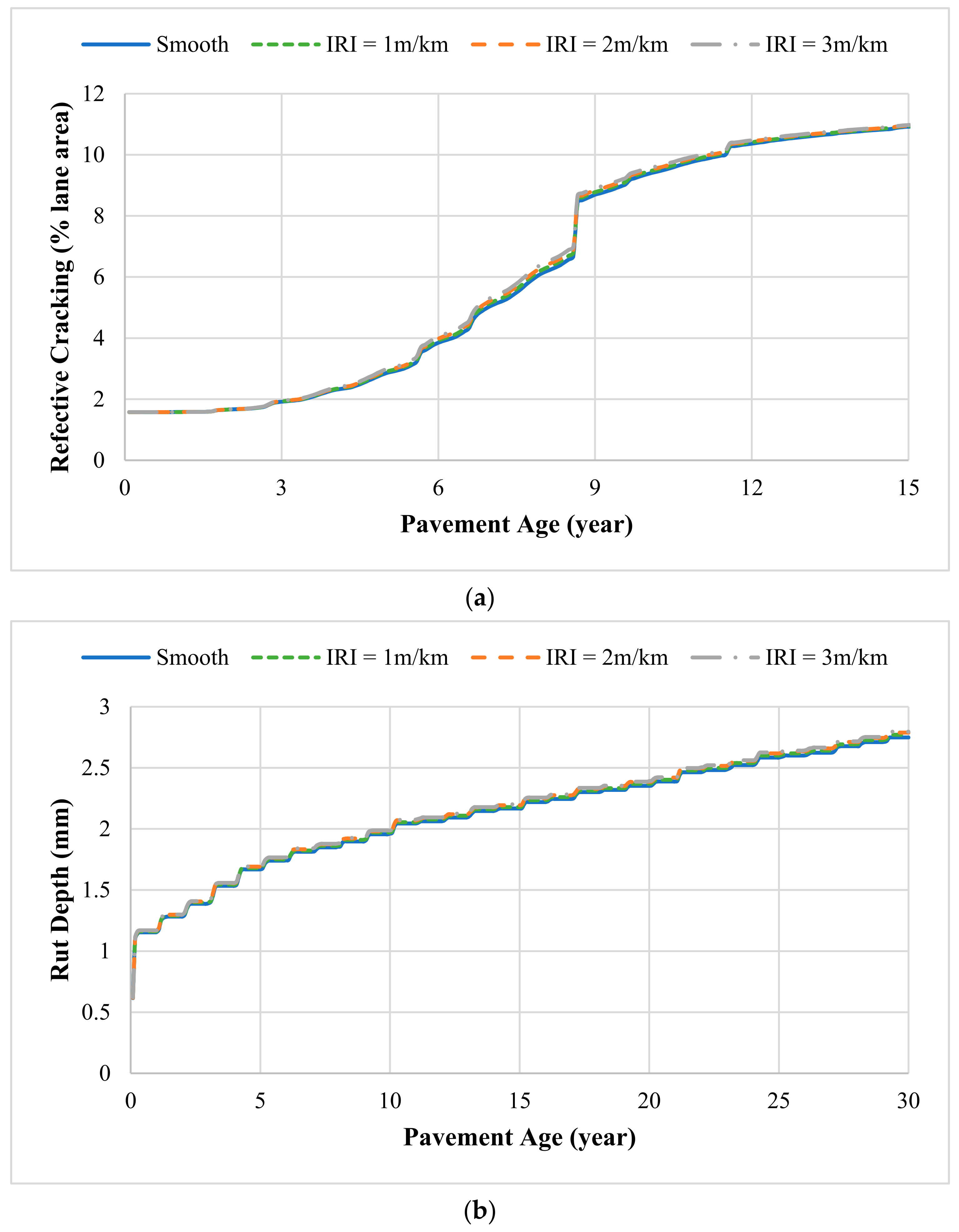
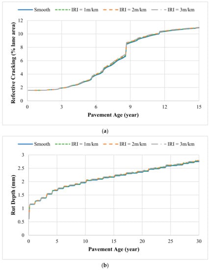
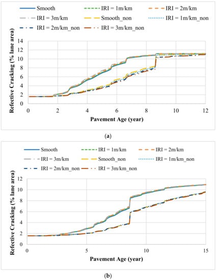
4.2. Impact of Dynamic Loads on Pavement Performance
4.3. Impact of Overweight Traffic on Pavement Performance under Dynamic Loads
4.4. Discussion of Findings
5. Conclusions
Author Contributions
Funding
Institutional Review Board Statement
Informed Consent Statement
Data Availability Statement
Acknowledgments
Conflicts of Interest
References
- Jasim, A.; Wang, H.; Bennert, T. Evaluation of Clustered Traffic Inputs for Mechanistic-Empirical Pavement Design: Case Study in New Jersey. Transp. Res. Rec. 2019, 2673, 332–348. [Google Scholar] [CrossRef]
- ASTM E1318-09. Standard Specification for Highway Weigh-In-Motion (WIM) Systems with User Requirements and Test Methods; ASTM International: West Conshohocken, PA, USA, 2009. [Google Scholar]
- Navarrina, F.; Ramírez, L.; París, J.; Nogueira, X.; Colominas, I.; Casteleiro, M.; Fernández-de-Mesa, J.R. Comprehensive model for fatigue analysis of flexible pavements considering effects of dynamic axle loads. Transp. Res. Rec. 2015, 2524, 110–118. [Google Scholar] [CrossRef]
- Bilodeau, J.P.; Gagnon, L.; Doré, G. Assessment of the relationship between the international roughness index and dynamic loading of heavy vehicles. Int. J. Pavement Eng. 2017, 18, 693–701. [Google Scholar] [CrossRef]
- Gillespie, T.D. Effects of Heavy-Vehicle Characteristics on Pavement Response and Performance; Transportation Research Board of the National Academies: Washington, DC, USA, 1992. [Google Scholar]
- Hu, W.; Zhao, Q.; Liu, Y.; Li, Z.; Kong, X. Damage Evaluation of the Paving around Manholes under Vehicle Dynamic Load. Adv. Mater. Sci. Eng. 2020, 2020, 6510439. [Google Scholar] [CrossRef]
- Elisher, M.; Trevorrow, N.; Callaway, L.; Blanksby, C. Measurement and Analysis of Dynamic Wheel Loads; Austroads: Sydney, Australia, 2012. [Google Scholar]
- Misaghi, S.; Nazarian, S.; Carrasco, C.J. Impact of Truck Suspension and Road Roughness on Loads Exerted to Pavements; Report FHWA-RD-07-1008-02; The University of Texas at El Paso: El Paso, TX, USA, 2010. [Google Scholar]
- Hassan, R.; McManus, K. Estimating dynamic loading of pavements from surface profile properties. Road Transp. Res. 2001, 10, 3. [Google Scholar]
- Misaghi, S.; Tirado, C.; Nazarian, S.; Carrasco, C.J. Impact of pavement roughness and suspension systems on vehicle dynamic loads on flexible pavements. Transp. Eng. 2021, 3, 100045. [Google Scholar] [CrossRef]
- Gillespie, T.D. Everything You Always Wanted to Know about the IRI, But Were Afraid to Ask! In Proceedings of the Road Profile Users Group Meeting, Lincoln, NE, USA, 22–24 September 1992; Available online: http://citeseerx.ist.psu.edu/viewdoc/summary?doi=10.1.1.21.9365 (accessed on 6 February 2022).
- Sayers, M.W.; Gillespie, T.D.; Queiroz, C.A.V. The international road roughness experiment: A basis for establishing a standard scale for road roughness measurements. Transp. Res. Rec. 1986, 1084, 76–85. [Google Scholar]
- Rys, D. Consideration of dynamic loads in the determination of axle load spectra for pavement design. Road Mater. Pavement Des. 2019, 22, 1309–1328. [Google Scholar] [CrossRef]
- Múčka, P. Road roughness limit values based on measured vehicle vibration. J. Infrastruct. Syst. 2017, 23, 04016029. [Google Scholar] [CrossRef]
- Zhao, J.; Wang, H. Mechanistic-empirical analysis of asphalt pavement fatigue cracking under vehicular dynamic loads. Constr. Build. Mater. 2021, 284, 122877. [Google Scholar] [CrossRef]
- Rys, D.; Burnos, P. Study on the accuracy of axle load spectra used for pavement design. Int. J. Pavement Eng. 2021. [Google Scholar] [CrossRef]
- Sun, L. Simulation of pavement roughness and IRI based on power spectral density. Math. Comput. Simul. 2003, 61, 77–88. [Google Scholar] [CrossRef]
- Sun, L. Developing spectrum-based models for international roughness index and present serviceability index. J. Transp. Eng. 2001, 127, 463–470. [Google Scholar] [CrossRef]
- Goenaga, B.; Fuentes, L.; Mora, O. A practical approach to incorporate roughness-induced dynamic loads in pavement design and performance prediction. Arab. J. Sci. Eng. 2019, 44, 4339–4348. [Google Scholar] [CrossRef]
- Ueckermann, A.; Oeser, M. Approaches for a 3D assessment of pavement evenness data based on 3D vehicle models. J. Traffic Transp. Eng. (Engl. Ed.) 2015, 2, 68–80. [Google Scholar] [CrossRef][Green Version]
- Sayers, M.W. Road characterization for the simulation of automotive vehicle dynamics. SAE Int. J. Mater. Manuf. 2011, 4, 251–262. Available online: https://www.jstor.org/stable/26273766 (accessed on 6 February 2022). [CrossRef]
- Zhao, J.; Wang, H. Dynamic pavement response analysis under wide-base tyre considering vehicle-tyre–pavement interaction. Road Mater. Pavement Des. 2021, 1–17. [Google Scholar] [CrossRef]
- Steyn, W.J.; Viljoen, N.; Popescu, L.; Du Plessis, L. Freight-Truck-Pavement Interaction, Logistics, & Economics: Final Phase 1 Report (Tasks 7–8); Report UCPRC-RR-2013-08; University of California, Pavement Research Center: Davis, CA, USA, 2013. [Google Scholar]
- Marques Almeida, A.M.; Santos, L.G.D.P. Methodological Framework for Truck-Factor Estimation Considering Vehicle–Pavement Interaction. J. Transp. Eng. 2015, 141, 04014074. [Google Scholar] [CrossRef]
- Law, E.; Janajreh, I.; Frey, N. Vehicle ride response to new widebase tires and conventional dual tires. In Proceedings of the International Truck and Bus Meeting and Exhibition, Chicago, IL, USA, 12–14 November 2001; SAE International: Detroit, MI, USA, 2002. [Google Scholar]
- Texas DOT. Traffic Recorder Instruction Manual Notice 2012-1: Vehicle Classification Using FHWA 13-Category Scheme, Appendix A. 2013. Available online: http://onlinemanuals.txdot.gov/txdotmanuals/tri/vehicle_classification_using_fhwa_13category_scheme.htm (accessed on 6 February 2022).
- Elkins, G.E.; Thompson, T.; Ostrom, B.; Simpson, A.; Visintine, B. Long-Term Pavement Performance Information Management System User Guide; Report FHWA-RD-03-088; Federal Highway Administration: McLean, VA, USA, 2016. Available online: https://infopave.fhwa.dot.gov/InfoPave_Repository/files/LTPP_IMS_USER_GUIDE_2018_FINAL.pdf (accessed on 6 February 2022).
- Wang, H.; Wang, Z.; Blight, R.J.; Sheehy, E.C. Derivation of pay adjustment for in-place air void of asphalt pavement from life-cycle cost analysis. Road Mater. Pavement Des. 2015, 16, 505–517. [Google Scholar] [CrossRef]
- Zhou, F.; Hu, S.; Hu, X.; Scullion, T. Mechanistic-Empirical Asphalt Overlay Thickness Design and Analysis System; Report FHWA/TX-09/0-5123-3; Texas Transportation Institute: College Station, TX, USA, 2009. [Google Scholar]
- Wang, H.; Zhao, J.; Wang, Z. Impact of overweight traffic on pavement life using weigh-in-motion data and mechanistic-empirical pavement analysis. In Proceedings of the 9th International Conference on Managing Pavement Assets, Washington, DC, USA, 18–21 May 2015; Available online: http://hdl.handle.net/10919/56450 (accessed on 6 February 2022).
- Wang, H.; Zhao, J. Development of overweight permit fee using mechanistic-empirical pavement design and life-cycle cost analysis. Transport 2016, 31, 156–166. [Google Scholar] [CrossRef]
- Rys, D.; Judycki, J.; Jaskula, P. Analysis of effect of overloaded vehicles on fatigue life of flexible pavements based on weigh in motion (WIM) data. Int. J. Pavement Eng. 2016, 17, 716–726. [Google Scholar] [CrossRef]
- Titi, H.H.; Coley, N.J.; Latifi, V. Evaluation of pavement performance due to overload single-trip permit truck traffic in Wisconsin. Adv. Civ. Eng. 2018, 2018, 1070653. [Google Scholar] [CrossRef]
- Federal Highway Administration. Report to Congress on Compilation of Existing State Truck Size and Weight Limit Laws. 2015. Available online: https://ops.fhwa.dot.gov/freight/policy/rpt_congress/truck_sw_laws/app_a.htm#nj (accessed on 6 February 2022).
- American Association of State Highway and Transportation Officials (AASHTO). Mechanistic-Empirical Pavement Design Guide: A Manual of Practice; MEPDG-1; AASHTO Designation: Washington, DC, USA, 2008. [Google Scholar]














| Route Type | Axle Type | a | b | c | R-Squared Value |
|---|---|---|---|---|---|
| Major highway (104 km/h) | Single | 0.067 | 0.030 | 0.232 | 0.89 |
| Tandem | 0.072 | 0.042 | 0.277 | 0.87 | |
| Tridem | 0.068 | 0.042 | 0.265 | 0.86 | |
| Minor highway (80 km/h) | Single | 0.096 | 0.025 | 0.308 | 0.85 |
| Tandem | 0.089 | 0.033 | 0.317 | 0.88 | |
| Tridem | 0.081 | 0.041 | 0.277 | 0.82 |
| Input | Parameters | Major Highway | Minor Highway | |
|---|---|---|---|---|
| Material Property | AC Overlay | Thickness (mm) | 50.8 | |
| Air Void (%) | 6.2 | |||
| Total Binder Content (%) | 5.4 | |||
| Effective Binder Content by Volume (%) | 10.5 | |||
| Asphalt mixture | 9.5M64 (level 3) | |||
| Existing AC Layer | Thickness (mm) | 254 | 152.4 | |
| Air Void (%) | 5 | |||
| Total Binder Content (%) | 5 | |||
| Effective Binder Content by Volume (%) | 11.6 | |||
| Asphalt mixture | 9.5M64 (level 3) | |||
| Base | Thickness (mm) | 254 | ||
| Classification | A-1-a | |||
| Resilient Modulus (MPa) | 552 | |||
| Subbase | Thickness (mm) | 254 | ||
| Classification | A-1-b | |||
| Resilient Modulus (MPa) | 414 | |||
| Subgrade | Classification | A-1-a | ||
| Resilient Modulus (MPa) | 731 | |||
| Traffic | Two-way annual average daily traffic (AADT) | 2202 | 1575 | |
| Operational speed (km/h) | 104 | 80 | ||
| Climate | Mean annual air temperature (°C) | 11.7 | ||
| Mean annual precipitation (mm) | 1306 | |||
| Type | Existing Cracking % | IRI | 3-Year | 5-Year | 7-Year | 10-Year | 15-Year | 20-Year |
|---|---|---|---|---|---|---|---|---|
| Major | 5% | 1 m/km | 1.4% | 1.6% | 0.5% | 0.0% | 0.1% | 0.1% |
| 2 m/km | 3.2% | 3.4% | 1.0% | 0.1% | 0.1% | 0.2% | ||
| 3 m/km | 5.7% | 6.1% | 1.6% | 0.1% | 0.2% | 0.3% | ||
| 10% | 1 m/km | 2.1% | 2.0% | 0.6% | 0.0% | 0.0% | 0.1% | |
| 2 m/km | 4.5% | 4.2% | 1.1% | 0.1% | 0.1% | 0.2% | ||
| 3 m/km | 8.2% | 7.5% | 1.9% | 0.1% | 0.2% | 0.3% | ||
| 15% | 1 m/km | 2.4% | 2.1% | 0.5% | 0.1% | 0.1% | 0.1% | |
| 2 m/km | 5.3% | 4.5% | 1.1% | 0.1% | 0.1% | 0.1% | ||
| 3 m/km | 9.6% | 8.1% | 1.9% | 0.1% | 0.2% | 0.2% | ||
| Minor | 5% | 1 m/km | 0.4% | 1.1% | 1.6% | 0.7% | 0.2% | 0.1% |
| 2 m/km | 0.6% | 2.0% | 2.8% | 1.2% | 0.4% | 0.1% | ||
| 3 m/km | 1.0% | 2.9% | 4.1% | 1.8% | 0.5% | 0.1% | ||
| 10% | 1 m/km | 0.6% | 1.7% | 2.0% | 0.9% | 0.2% | 0.1% | |
| 2 m/km | 1.1% | 3.1% | 3.6% | 1.4% | 0.4% | 0.2% | ||
| 3 m/km | 1.7% | 4.6% | 5.4% | 2.0% | 0.5% | 0.2% | ||
| 15% | 1 m/km | 0.9% | 2.1% | 2.3% | 0.8% | 0.3% | 0.1% | |
| 2 m/km | 1.6% | 3.7% | 4.0% | 1.5% | 0.4% | 0.1% | ||
| 3 m/km | 2.4% | 5.6% | 6.0% | 2.1% | 0.6% | 0.1% |
Publisher’s Note: MDPI stays neutral with regard to jurisdictional claims in published maps and institutional affiliations. |
© 2022 by the authors. Licensee MDPI, Basel, Switzerland. This article is an open access article distributed under the terms and conditions of the Creative Commons Attribution (CC BY) license (https://creativecommons.org/licenses/by/4.0/).
Share and Cite
Zhao, J.; Wang, H.; Lu, P.; Chen, J. Mechanistic–Empirical Analysis of Pavement Performance Considering Dynamic Axle Load Spectra Due to Longitudinal Unevenness. Appl. Sci. 2022, 12, 2600. https://doi.org/10.3390/app12052600
Zhao J, Wang H, Lu P, Chen J. Mechanistic–Empirical Analysis of Pavement Performance Considering Dynamic Axle Load Spectra Due to Longitudinal Unevenness. Applied Sciences. 2022; 12(5):2600. https://doi.org/10.3390/app12052600
Chicago/Turabian StyleZhao, Jingnan, Hao Wang, Pan Lu, and Jiaqi Chen. 2022. "Mechanistic–Empirical Analysis of Pavement Performance Considering Dynamic Axle Load Spectra Due to Longitudinal Unevenness" Applied Sciences 12, no. 5: 2600. https://doi.org/10.3390/app12052600
APA StyleZhao, J., Wang, H., Lu, P., & Chen, J. (2022). Mechanistic–Empirical Analysis of Pavement Performance Considering Dynamic Axle Load Spectra Due to Longitudinal Unevenness. Applied Sciences, 12(5), 2600. https://doi.org/10.3390/app12052600

