Optical Studies in Red/NIR Persistent Luminescent Cr-Doped Zinc Gallogermanate (ZGGO:Cr)
Abstract
:1. Introduction
2. Materials and Methods
2.1. Reagents
2.2. Pellets Synthesis
2.3. Characterisation
3. Results
3.1. Structural, Morphological, and Chemical Analysis
3.2. RT Photoluminescence and Photoluminescence Excitation
3.3. The 15 K PL: Site-Selective Excitation
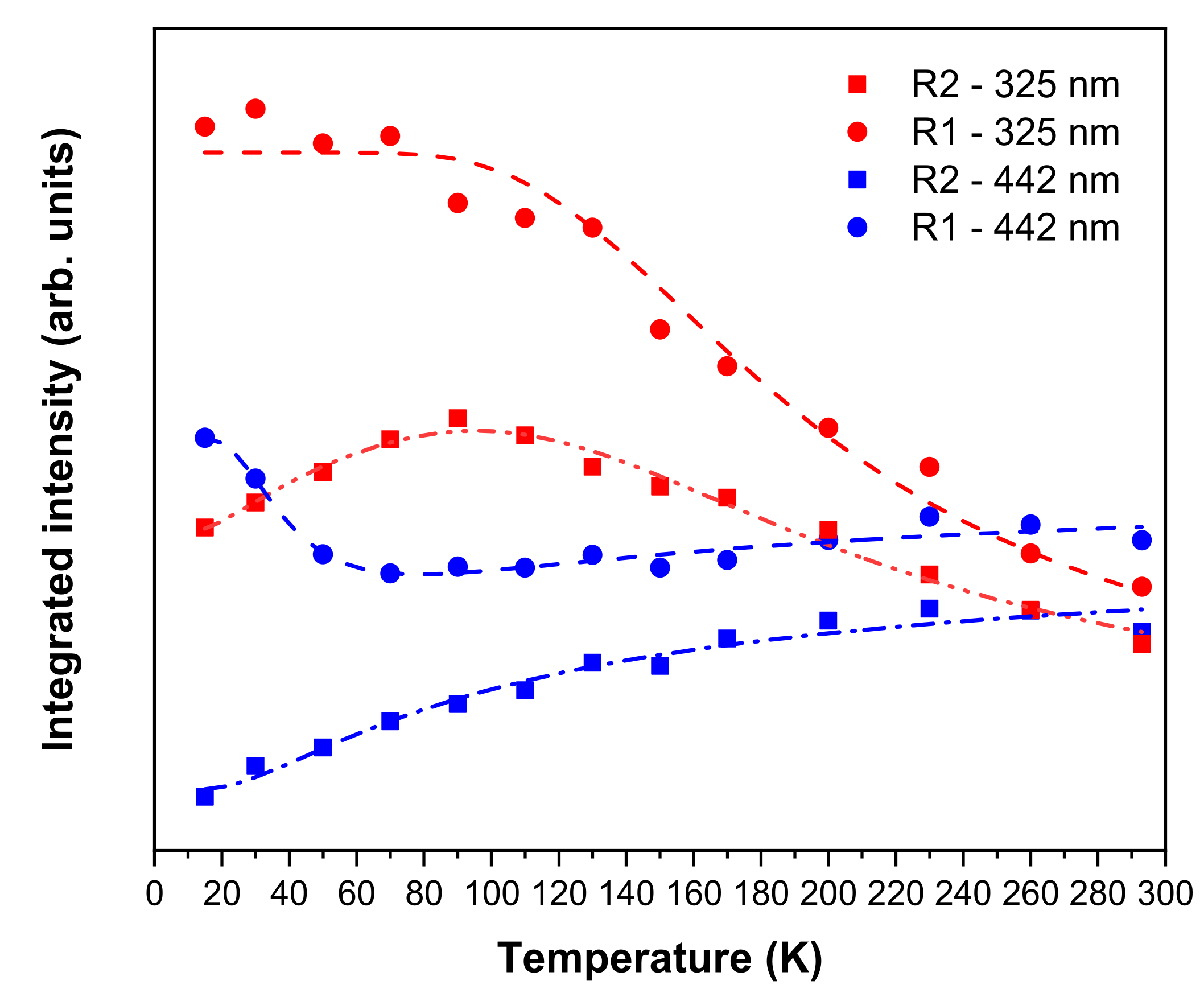
3.4. Temperature-Dependent PL
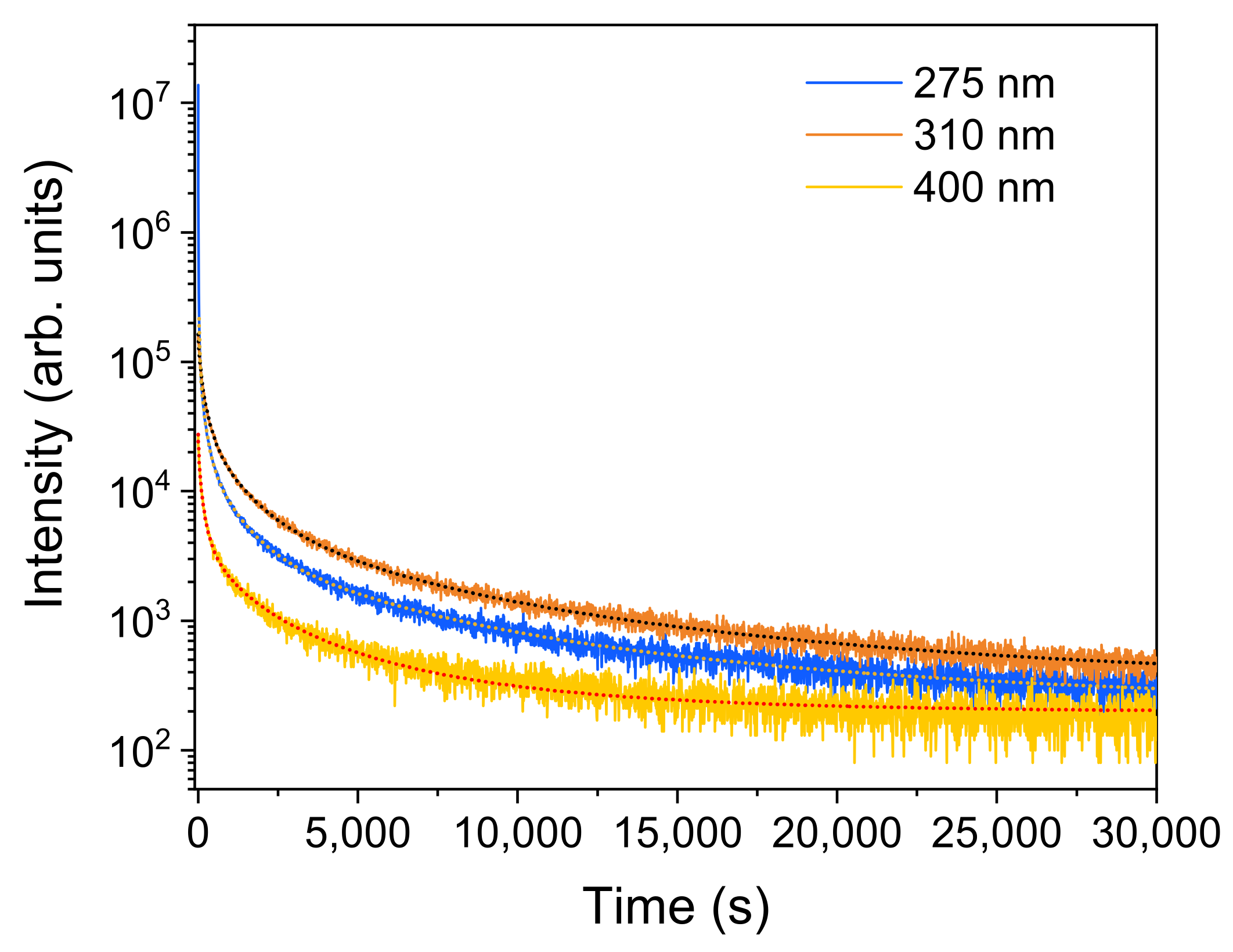
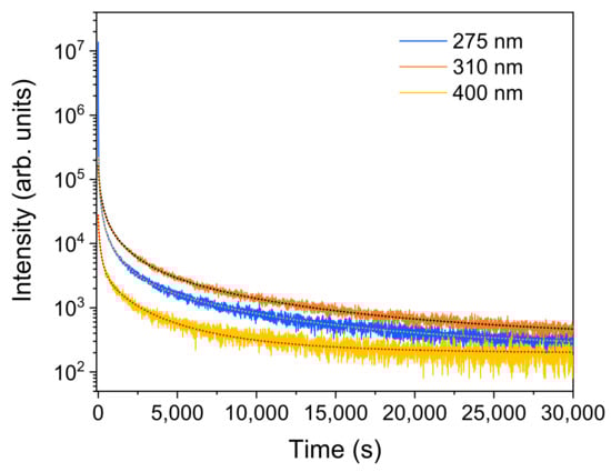
3.5. RT Persistent Luminescence
4. Conclusions
Author Contributions
Funding
Institutional Review Board Statement
Informed Consent Statement
Data Availability Statement
Acknowledgments
Conflicts of Interest
References
- Jiang, T.; Zhu, Y.; Zhang, J.; Zhu, J.; Zhang, M.; Qiu, J. Multistimuli-Responsive Display Materials to Encrypt Differentiated Information in Bright and Dark Fields. Adv. Funct. Mater. 2019, 29, 1906068. [Google Scholar] [CrossRef]
- Zhuang, Y.; Wang, L.; Lv, Y.; Zhou, T.-L.; Xie, R.-J. Optical Data Storage and Multicolor Emission Readout on Flexible Films Using Deep-Trap Persistent Luminescence Materials. Adv. Funct. Mater. 2018, 28, 1705769. [Google Scholar] [CrossRef]
- Wang, B.; Chen, Z.; Li, X.; Zhou, J.; Zeng, Q. Photostimulated near-infrared persistent luminescence Cr3+-doped Zn-Ga-Ge-O phosphor with high QE for optical information storage. J. Alloys Compd. 2020, 812, 152119. [Google Scholar] [CrossRef]
- Zhuang, Y.; Lv, Y.; Wang, L.; Chen, W.; Zhou, T.-L.; Takeda, T.; Hirosaki, N.; Xie, R.-J. Trap Depth Engineering of SrSi2O2N2:Ln2+, Ln3+ (Ln2+ = Yb, Eu; Ln3+ = Dy, Ho, Er) Persistent Luminescence Materials for Information Storage Applications. ACS Appl. Mater. Interfaces 2018, 10, 1854–1864. [Google Scholar] [CrossRef]
- Shi, J.; Sun, X.; Zheng, S.; Fu, X.; Yang, Y.; Wang, J.; Zhang, H. Super-Long Persistent Luminescence in the Ultraviolet A Region from a Bi3+ -Doped LiYGeO4 Phosphor. Adv. Opt. Mater. 2019, 7, 1900526. [Google Scholar] [CrossRef]
- Zhang, Y.; Wang, Z.-W.; Ji, X.; Wang, T.; Yang, X.-T.; Wang, H.-F. Afterglow-Catalysis and Self-Reporting of Pollutant Degradation by Ethylenediaminetetraacetic Acid Disodium-Etched Cr:ZnGa2O4. J. Phys. Chem. C 2021, 125, 9096–9106. [Google Scholar] [CrossRef]
- Maldiney, T.; Bessière, A.; Seguin, J.; Teston, E.; Sharma, S.K.; Viana, B.; Bos, A.J.J.; Dorenbos, P.; Bessodes, M.; Gourier, D.; et al. The in vivo activation of persistent nanophosphors for optical imaging of vascularization, tumours and grafted cells. Nat. Mater. 2014, 13, 418–426. [Google Scholar] [CrossRef]
- Bessière, A.; Jacquart, S.; Priolkar, K.; Lecointre, A.; Viana, B.; Gourier, D. ZnGa2O4:Cr3+: A new red long-lasting phosphor with high brightness. Opt. Express 2011, 19, 10131. [Google Scholar] [CrossRef]
- Bessière, A.; Sharma, S.K.; Basavaraju, N.; Priolkar, K.R.; Binet, L.; Viana, B.; Bos, A.J.J.; Maldiney, T.; Richard, C.; Scherman, D.; et al. Storage of Visible Light for Long-Lasting Phosphorescence in Chromium-Doped Zinc Gallate. Chem. Mater. 2014, 26, 1365–1373. [Google Scholar] [CrossRef]
- Gourier, D.; Bessière, A.; Sharma, S.K.; Binet, L.; Viana, B.; Basavaraju, N.; Priolkar, K.R. Origin of the visible light induced persistent luminescence of Cr3+-doped zinc gallate. J. Phys. Chem. Solids 2014, 75, 826–837. [Google Scholar] [CrossRef]
- Relvas, M.S.; Soares, M.R.N.; Pereira, S.O.; Girão, A.V.; Costa, F.M.; Monteiro, T. Trends in Cr3+ red emissions from ZnGa2O4 nanostructures produced by pulsed laser ablation in a liquid medium. J. Phys. Chem. Solids 2019, 129, 413–423. [Google Scholar] [CrossRef]
- Pan, Z.; Lu, Y.-Y.; Liu, F. Sunlight-activated long-persistent luminescence in the near-infrared from Cr3+-doped zinc gallogermanates. Nat. Mater. 2012, 11, 58–63. [Google Scholar] [CrossRef] [PubMed]
- Allix, M.; Chenu, S.; Véron, E.; Poumeyrol, T.; Kouadri-Boudjelthia, E.A.; Alahraché, S.; Porcher, F.; Massiot, D.; Fayon, F. Considerable Improvement of Long-Persistent Luminescence in Germanium and Tin Substituted ZnGa2O4. Chem. Mater. 2013, 25, 1600–1606. [Google Scholar] [CrossRef]
- Ren, J.; Xu, X.; Zeng, H.; Chen, G.; Kong, D.; Gu, C.; Chen, C.; Liu, Z.; Kong, L. Novel Self-Activated Zinc Gallogermanate Phosphor: The Origin of its Photoluminescence. J. Am. Ceram. Soc. 2014, 97, 3197–3201. [Google Scholar] [CrossRef]
- Omata, T.; Ueda, N.; Ueda, K.; Kawazoe, H. New ultraviolet-transport electroconductive oxide, ZnGa2O4 spinel. Appl. Phys. Lett. 1994, 64, 1077–1078. [Google Scholar] [CrossRef]
- Chikoidze, E.; Sartel, C.; Madaci, I.; Mohamed, H.; Vilar, C.; Ballesteros, B.; Belarre, F.; del Corro, E.; Vales-Castro, P.; Sauthier, G.; et al. p-Type Ultrawide-Band-Gap Spinel ZnGa2O4: New Perspectives for Energy Electronics. Cryst. Growth Des. 2020, 20, 2535–2546. [Google Scholar] [CrossRef]
- Look, D.C.; Leedy, K.D.; Horng, R.-H.; Santia, M.D.; Badescu, S.C. Electrical and optical properties of degenerate and semi-insulating ZnGa2O4: Electron/phonon scattering elucidated by quantum magnetoconductivity. Appl. Phys. Lett. 2020, 116, 252104. [Google Scholar] [CrossRef]
- Kahan, H.M.; Macfarlane, R.M. Optical and Microwave Spectra of Cr3+ in the Spinel ZnGa2O4. J. Chem. Phys. 1971, 54, 5197–5205. [Google Scholar] [CrossRef]
- Shannon, R.D. Revised effective ionic radii and systematic studies of interatomic distances in halides and chalcogenides. Acta Crystallogr. Sect. A 1976, 32, 751–767. [Google Scholar] [CrossRef]
- Sugano, S.; Tanabe, Y. The line spectra of Cr3+ ion in crystals. Discuss. Faraday Soc. 1958, 26, 43. [Google Scholar] [CrossRef]
- Tanabe, Y.; Sugano, S. On the Absorption Spectra of Complex Ions. I. J. Phys. Soc. Japan 1954, 9, 753–766. [Google Scholar] [CrossRef] [Green Version]
- Van Gorkom, G.G.P.; Henning, J.C.M.; van Stapele, R.P. Optical Spectra of Cr3+ Pairs in the Spinel ZnGa2O4. Phys. Rev. B 1973, 8, 955–973. [Google Scholar] [CrossRef]
- Mikenda, W.; Preisinger, A. N-lines in the luminescence spectra of Cr3+ -doped spinels (I) identification of N-lines. J. Lumin. 1981, 26, 53–66. [Google Scholar] [CrossRef]
- Mikenda, W.; Preisinger, A. N-lines in the luminescence spectra of Cr3+ -doped spinels (II) origins of N-lines. J. Lumin. 1981, 26, 67–83. [Google Scholar] [CrossRef]
- Basavaraju, N.; Priolkar, K.R.; Gourier, D.; Sharma, S.K.; Bessière, A.; Viana, B. The importance of inversion disorder in the visible light induced persistent luminescence in Cr3+ doped AB2O4 (A = Zn or Mg and B = Ga or Al). Phys. Chem. Chem. Phys. 2015, 17, 1790–1799. [Google Scholar] [CrossRef] [Green Version]
- De Vos, A.; Lejaeghere, K.; Vanpoucke, D.E.P.; Joos, J.J.; Smet, P.F.; Hemelsoet, K. First-Principles Study of Antisite Defect Configurations in ZnGa2O4:Cr Persistent Phosphors. Inorg. Chem. 2016, 55, 2402–2412. [Google Scholar] [CrossRef]
- Smith, A.M.; Mancini, M.C.; Nie, S. Second window for in vivo imaging. Nat. Nanotechnol. 2009, 4, 710–711. [Google Scholar] [CrossRef] [Green Version]
- Maldiney, T.; Doan, B.-T.; Alloyeau, D.; Bessodes, M.; Scherman, D.; Richard, C. Gadolinium-Doped Persistent Nanophosphors as Versatile Tool for Multimodal In Vivo Imaging. Adv. Funct. Mater. 2015, 25, 331–338. [Google Scholar] [CrossRef]
- Hölsä, J. Persistent Luminescence Beats the Afterglow: 400 Years of Persistent Luminescence. Electrochem. Soc. Interface 2009, 18, 42–45. [Google Scholar] [CrossRef]
- López-Moreno, S.; Rodríguez-Hernández, P.; Muñoz, A.; Romero, A.H.; Manjón, F.J.; Errandonea, D.; Rusu, E.; Ursaki, V.V. Lattice dynamics of ZnAl2O4 and ZnGa2O4 under high pressure. Ann. Phys. 2011, 523, 157–167. [Google Scholar] [CrossRef]
- Manjon, F.J.; Tiginyanu, I.; Ursaki, V. (Eds.) Pressure-Induced Phase Transitions in AB2X4 Chalcogenide Compounds; Springer Series in Materials Science; Springer: Berlin/Heidelberg, Germany, 2014; Volume 189, ISBN 978-3-642-40366-8. [Google Scholar]
- Marinković Stanojević, Z.V.; Romčević, N.; Stojanović, B. Spectroscopic study of spinel ZnCr2O4 obtained from mechanically activated ZnO–Cr2O3 mixtures. J. Eur. Ceram. Soc. 2007, 27, 903–907. [Google Scholar] [CrossRef]
- Henry, M.O.; Larkin, J.P.; Imbusch, G.F. Luminescence from Chromium Doped Yttrium Aluminium Garnet. Proc. R. Irish Acad. Sect. A Math. Phys. Sci. 1975, 75, 97–106. [Google Scholar]
- Tokida, Y.; Adachi, S. Photoluminescence spectroscopy and energy-level analysis of metal-organic-deposited Ga2O3:Cr3+ films. J. Appl. Phys. 2012, 112, 063522. [Google Scholar] [CrossRef]
- Nico, C.; Fernandes, R.; Graça, M.P.F.; Elisa, M.; Sava, B.A.; Monteiro, R.C.C.; Rino, L.; Monteiro, T. Eu3+ luminescence in aluminophosphate glasses. J. Lumin. 2014, 145, 582–587. [Google Scholar] [CrossRef]
- Pelant, I.; Valenta, J. Luminescence Spectroscopy of Semiconductors; Oxford University Press Inc.: New York, NY, USA, 2012; ISBN 9780199588336. [Google Scholar]














| Mode Assignment | Theoretical Calculated ZGO (cm−1) [30] | ZGO:Cr (cm−1) [This Work] | ZGGO:Cr (cm−1) [This Work] |
|---|---|---|---|
| 186 | 186 | ||
| 273 | 270 | ||
| 395 | 369 | 367 | |
| 488 | 476 | 471 | |
| 618 | 611 | 611 | |
| 717 | 717 | 717 |
| Sample | λexc (nm) | R2 | R1 |
|---|---|---|---|
| ZGO:Cr | 325 | 684.5 nm/1.8089 eV | 687.3 nm/1.8042 eV |
| ZGGO:Cr | 325 | 685.6 nm/1.8086 eV | 687.4 nm/1.8039 eV |
| ZGGO:Cr | 405 | 685.6 nm/1.8086 eV | 687.5 nm/1.8037 eV |
| ZGGO:Cr | 442 | 685.6 nm/1.8086 eV | 687.4 nm/1.8037 eV |
| ZGGO:Cr | 532 | 685.6 nm/1.8086 eV | 687.5 nm/1.8037 eV |
| λexc (nm) | Lines | Ea_pop (meV) | Ea_depop (meV) |
|---|---|---|---|
| 325 | R1 | - | 47.1 ± 5.9 |
| 325 | R2 | 4.8 ± 0.2 | 47.7 ± 6.0 |
| 442 | R1 | 15.1 ± 1.9 | 10.6 ± 3.7 |
| 442 | R2 | 7.6 ± 1.2 | - |
| λexc (nm) | Lines | β (meV) | ER(0) (eV) | TD (K) | |
|---|---|---|---|---|---|
| 325 | R1 | 27.5 ± 5.1 | 4.9 ± 1.5 | 1.804 ± 6.91 | 319.1 |
| 325 | R2 | 38.7 ± 4.9 | 9.4 ± 2.3 | 1.809 ± 5.26 | 449.1 |
| 442 | R1 | 49.5 ± 5.3 | 17.6 ± 4.4 | 1.804 ± 5.16 | 574.4 |
| 442 | R2 | 52.8 ± 4.0 | 21.1 ± 3.9 | 1.809 ± 3.78 | 612.7 |
Publisher’s Note: MDPI stays neutral with regard to jurisdictional claims in published maps and institutional affiliations. |
© 2022 by the authors. Licensee MDPI, Basel, Switzerland. This article is an open access article distributed under the terms and conditions of the Creative Commons Attribution (CC BY) license (https://creativecommons.org/licenses/by/4.0/).
Share and Cite
Batista, M.S.; Rodrigues, J.; Relvas, M.S.; Zanoni, J.; Girão, A.V.; Pimentel, A.; Costa, F.M.; Pereira, S.O.; Monteiro, T. Optical Studies in Red/NIR Persistent Luminescent Cr-Doped Zinc Gallogermanate (ZGGO:Cr). Appl. Sci. 2022, 12, 2104. https://doi.org/10.3390/app12042104
Batista MS, Rodrigues J, Relvas MS, Zanoni J, Girão AV, Pimentel A, Costa FM, Pereira SO, Monteiro T. Optical Studies in Red/NIR Persistent Luminescent Cr-Doped Zinc Gallogermanate (ZGGO:Cr). Applied Sciences. 2022; 12(4):2104. https://doi.org/10.3390/app12042104
Chicago/Turabian StyleBatista, Maria S., Joana Rodrigues, Maria S. Relvas, Júlia Zanoni, Ana V. Girão, Ana Pimentel, Florinda M. Costa, Sónia O. Pereira, and Teresa Monteiro. 2022. "Optical Studies in Red/NIR Persistent Luminescent Cr-Doped Zinc Gallogermanate (ZGGO:Cr)" Applied Sciences 12, no. 4: 2104. https://doi.org/10.3390/app12042104
APA StyleBatista, M. S., Rodrigues, J., Relvas, M. S., Zanoni, J., Girão, A. V., Pimentel, A., Costa, F. M., Pereira, S. O., & Monteiro, T. (2022). Optical Studies in Red/NIR Persistent Luminescent Cr-Doped Zinc Gallogermanate (ZGGO:Cr). Applied Sciences, 12(4), 2104. https://doi.org/10.3390/app12042104

