Anomaly Monitoring of Process Based on Recurrent Timeliness Rules (AMP-RTR)
Abstract
1. Introduction
1.1. Definition of Data Timeliness
1.2. Characteristics of Manufacturing Data
1.3. Paper Organization and Contribution
- (1)
- The current data timeliness evaluation method is based on a single timestamp in the database and cannot evaluate the timeliness of periodic data with time series. Therefore, according to the characteristics of periodic production of manufacturing data, we propose the Recurrent Timeliness Rules (RTR). RTR define the basis for regularity change of periodic data timeliness; that is, how the regularity change of periodic data timeliness occurs during the update cycle, and how the regularity change of periodic data timeliness is updated iteratively. According to RTR’s constraints on the regularity change for periodic data timeliness, the timeliness evaluation of periodic data can be realized.
- (2)
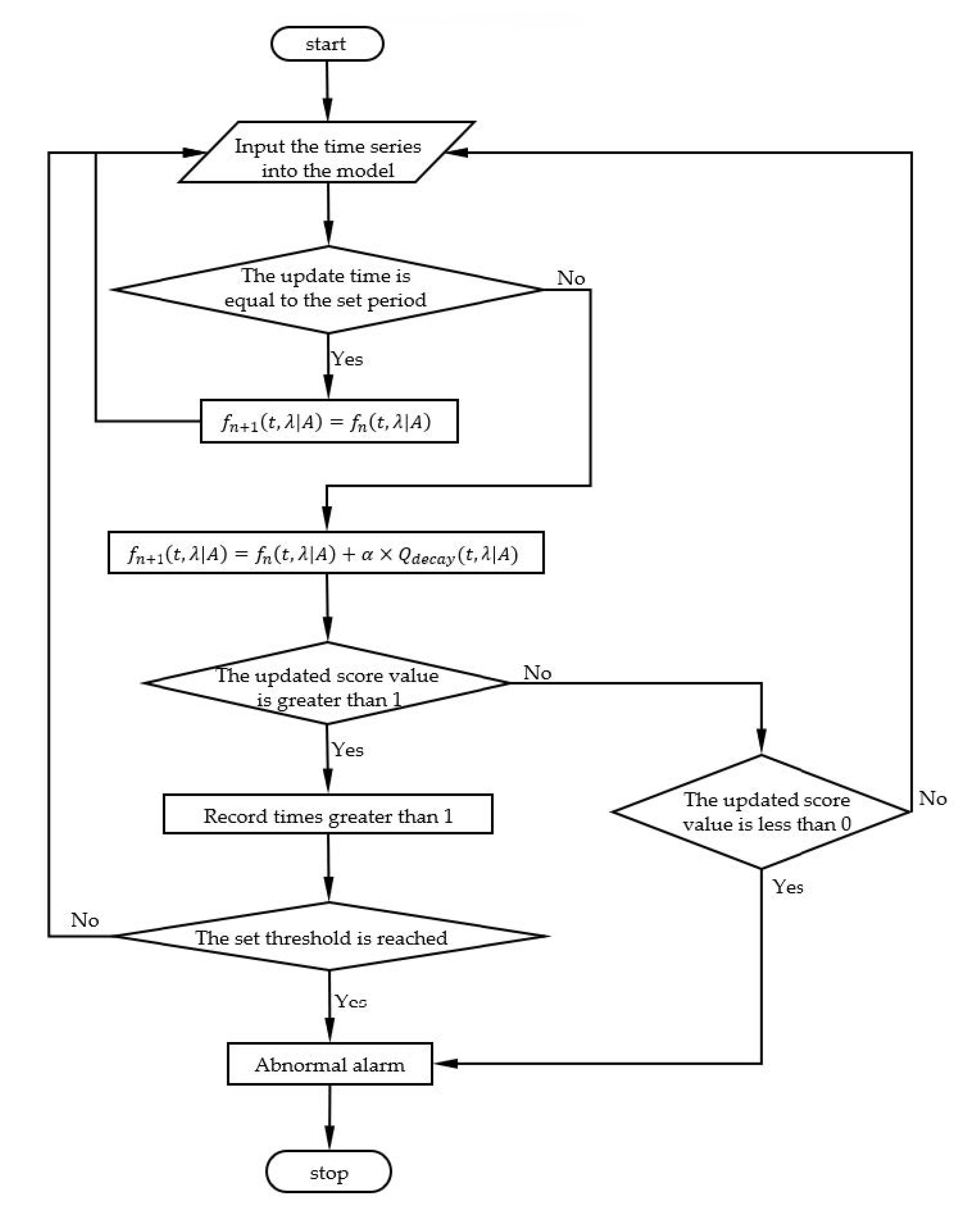
- According to the regularity change for periodic data timeliness, we propose the Anomaly Monitoring of Process based on Recurrent Timeliness Rules (AMP-RTR). At the same time, we specified two cases of abnormal changes in the regularity change for periodic data timeliness: the first abnormal state is that the timeliness evaluation value is lower than the lower limit after updating; the second abnormal state is that the number of times the timeliness evaluation value is higher than the upper limit reaches the set threshold after being updated. AMP-RTR model monitors whether the update iteration of regularity change of periodic data timeliness is abnormal, so as to calculate the possibility of abnormality in the production line. The model adjusts the decay rate and periodic update rate , so as to meet the customized requirements for monitoring sensitivity of different production lines in the manufacturing industry.
2. Related Work
3. Design of AMP-RTR Model
3.1. Metric Requirements of AMP-RTR Model
3.2. Implementation of AMP-RTR Model
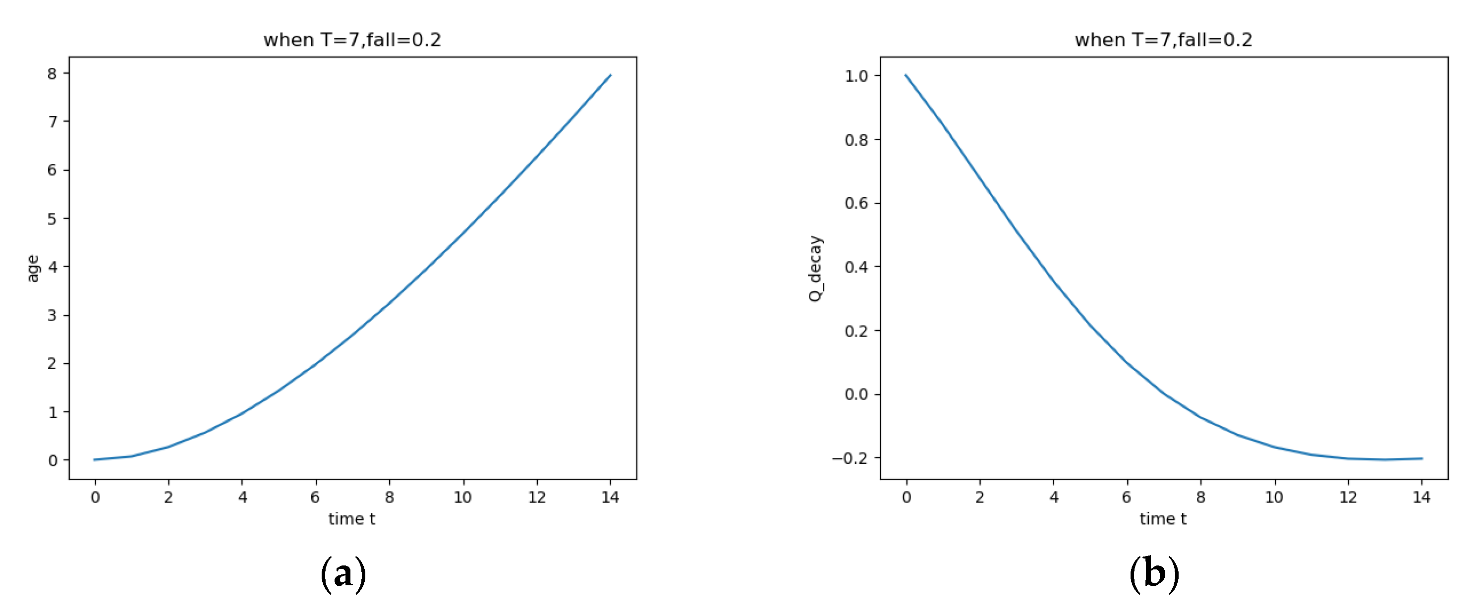
3.2.1. Timeliness Evaluation Process of Periodic Data

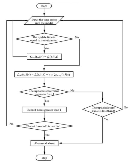
3.2.2. Anomaly Monitoring of Process
3.3. Summary of AMP-RTR Model
4. Experimental Results
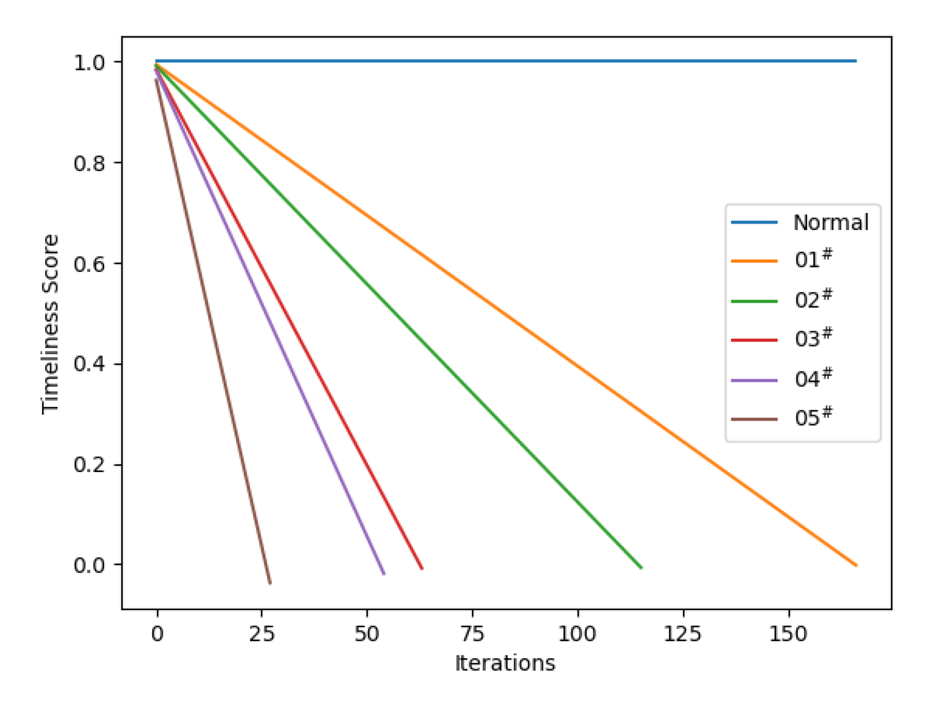
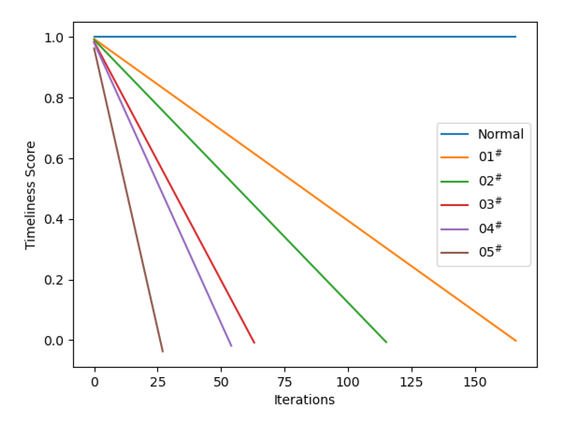
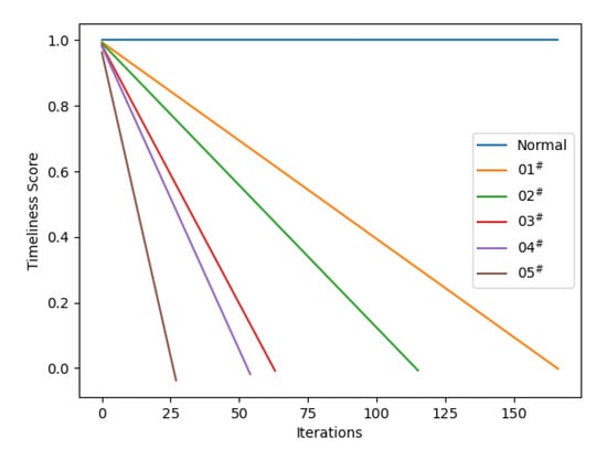
4.1. Model Testing in Synthetic Datasets
| Parameter Value | The Last | Iteration Times of Model Convergence |
|---|---|---|
| : = 0.05, = 0.2, = 09 | −0.002 | 167 |
| : = 0.05, = 0.2, = 11 | −0.006 | 116 |
| : = 0.05, = 0.1, = 11 | −0.008 | 64 |
| : = 0.10, = 0.1, = 09 | −0.018 | 55 |
| : = 0.20, = 0.1, = 09 | −0.037 | 28 |

| Parameter Value | Setting of |
|---|---|
| : = 0.05, = 0.2, = 5 | 200 |
| : = 0.05, = 0.2, = 3 | 100 |
| : = 0.05, = 0.1, = 3 | 50 |
| : = 0.10, = 0.1, = 5 | 50 |
| : = 0.20, = 0.1, = 5 | 25 |
| Parameter Value | The Last | Iteration Times |
|---|---|---|
| : = 0.05, = 0.2, = 6|8 | 1.000 | 899 |
| : = 0.05, = 0.2, = 5|9 | 1.003 | 227 |
| : = 0.05, = 0.1, = 5|9 | 1.001 | 337 |
| : = 0.05, = 0.1, = 6|9 | −0.001 | 284 |
| : = 0.05, = 0.1, = 5|8 | 1.007 | 139 |

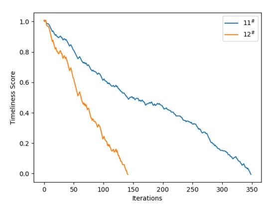
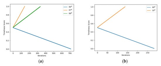
4.2. Conduct Simulation Experiments on Semiconductor Manufacturing Datasets
4.2.1. Experimental Data Set
| Serial Number | Time Series |
|---|---|
| 1 | 19/07/2008 11:55:00 |
| 2 | 19/07/2008 12:32:00 |
| 3 | 19/07/2008 13:17:00 |
| 4 | 19/07/2008 14:01:00 |
| 5 | 19/07/2008 14:43:00 |
| … | … |
| 1550 | 16/10/2008 02:22:00 |
| 1551 | 16/10/2008 02:55:00 |
| 1552 | 16/10/2008 03:37:00 |
| 1553 | 16/10/2008 04:11:00 |
| 1554 | 16/10/2008 04:58:00 |
4.2.2. Process of Simulation Experiment



4.3. Summary of the Experiment
5. Conclusions
Author Contributions
Funding
Institutional Review Board Statement
Informed Consent Statement
Data Availability Statement
Acknowledgments
Conflicts of Interest
References
- Li, M.; Li, J.; Cheng, S.; Sun, Y. Uncertain Rule Based Method for Determining Data Currency. IEICE Trans. Inf. Syst. 2018, E101.D, 2447–2457. [Google Scholar] [CrossRef]
- Batini, C.; Scannapieco, M. Data and Information Quality: Dimensions, Principles and Techniques; Springer: Berlin/Heidelberg, Germany, 2016. [Google Scholar]
- Kaiser, M.; Klier, M.; Heinrich, B. How to Measure Data Quality? A Metric-Based Approach. ICIS 2007 2007, 31, 108. [Google Scholar]
- Even, A.; Shankaranarayanan, G.; Berger, P.D. Evaluating a Model for Cost-effective Data Quality Management in A Real-world CRM Setting. Decis. Support Syst. 2010, 50, 152–163. [Google Scholar] [CrossRef]
- Firmani, D.; Mecella, M.; Scannapieco, M.; Batini, C. On the Meaningfulness of “Big Data Quality” (Invited Paper). Data Sci. Eng. 2015, 1, 6–20. [Google Scholar] [CrossRef]
- Hevner, A.R.; March, S.T.; Park, J.; Ram, S. Design Science in Information Systems Research. Manag. Inf. Syst. Q. 2004, 28, 75. [Google Scholar] [CrossRef]
- Ballou, D.; Wang, R.; Pazer, H.; Tayi, G.K. Modeling Information Manufacturing Systems to Determine Information Product Quality. Manag. Sci. 1998, 44, 462–484. [Google Scholar] [CrossRef]
- Even, A.; Shankaranarayanan, G. Utility-driven Assessment of Data Quality. ACM SIGMIS Database: Database Adv. Inf. Syst. 2007, 38, 75–93. [Google Scholar] [CrossRef]
- Li, F.; Nastic, S.; Dustdar, S. Data Quality Observation in Pervasive Environments. In Proceedings of the 2012 IEEE 15th International Conference on Computational Science and Engineering, Paphos, Cyprus, 5–7 December 2012; pp. 602–609. [Google Scholar]
- Heinrich, B.; Klier, M. Metric-based data quality assessment—Developing and Evaluating a Probability-based Currency Metric. Decis. Support Syst. 2015, 72, 82–96. [Google Scholar] [CrossRef]
- Dalip, D.H.; Goncalves, M.A.; Cristo, M.; Calado, P. Automatic Quality Assessment of Content Created Collaboratively by Web Communities: A Case Study of Wikipedia. In Proceedings of the 9th Annual International ACM/IEEE Joint Conference on Digital Libraries, Austin, TX, USA, 15–19 June 2009; pp. 295–304. [Google Scholar]
- Dalip, D.H.; Lima, H.; Goncalves, M.A.; Cristo, M.; Calado, P. Quality Assessment of Collaborative Content with Minimal Information. In Proceedings of the 14th IEEE/ACM Joint Conference on Digital Libraries (JCDL)/18th International Conference on Theory and Practice of Digital Libraries (TPDL), London, UK, 8–12 September 2014; pp. 201–210. [Google Scholar]
- Warncke-Wang, M.; Cosley, D.; Riedl, J. Tell me more: An Actionable Quality Model for Wikipedia. In Proceedings of the 9th International Symposium on Open Collaboration, Hong Kong, China, 5–7 August 2013; Association for Computing Machinery: New York, NY, USA, 2013. Article 8. [Google Scholar]
- Dang, Q.V.; Ignat, C.L. Measuring Quality of Collaboratively Edited Documents: The case of Wikipedia. In Proceedings of the 2nd IEEE International Conference on Collaboration and Internet Computing (IEEE CIC), Pittsburgh, PA, USA, 1–3 November 2016; pp. 266–275. [Google Scholar]
- Dang, Q.-V.; Ignat, C.-L. An End-to-end Learning Solution for Assessing the Quality of Wikipedia Articles. In Proceedings of the 13th International Symposium on Open Collaboration, Galway, Ireland, 23–25 August 2017; Association for Computing Machinery: New York, NY, USA, 2017. Article 4. [Google Scholar]
- Heinrich, B.; Klier, M. A Novel Data Quality Metric for Timeliness Considering Supplemental Data. In 17th European Conference on Information Systems (ECIS); University of Verona: Verona, Italy, 2009. [Google Scholar]
- Azeroual, O.; Saake, G.; Wastl, J. Data Measurement in Research Information Systems: Metrics for The Evaluation of Data Quality. Scientometrics 2018, 115, 1271–1290. [Google Scholar] [CrossRef]
- Heinrich, B.; Klier, M.; Kaiser, M. A Procedure to Develop Metrics for Currency and its Application in CRM. J. Data Inf. Qual. 2009, 1, 1–28. [Google Scholar] [CrossRef]
- Klier, M.; Moestue, L.; Obermeier, A.A.; Widmann, T. Event-Driven Assessment of Currency of Wiki Articles: A Novel Probability-Based Metric. ICIS 2021 Proc. 2021, 14. Available online: https://aisel.aisnet.org/icis2021/data_analytics/data_analytics/14 (accessed on 10 October 2022).
- Ibrahimi, K.; Cherif, O.O.; Elkoutbi, M.; Rouam, I. Model to Improve the Forecast of the Content Caching based Time-Series Analysis at the Small Base Station. In Proceedings of the 2019 International Conference on Wireless Networks and Mobile Communications (WINCOM), Fez, Morocco, 29 October–1 November 2019; pp. 1–6. [Google Scholar]
- Torres Labrada, R. Multi-signal Anomaly Detection for Real-Time Embedded Systems. Master’s Thesis, University of Waterloo, Waterloo, ON, Canada, 2020. [Google Scholar]
- Prusty, B.R.; Jain, N.; Ranjan, K.G.; Bingi, K.; Jena, D. New Performance Evaluation Metrics for Outlier Detection and Correction. In Sustainable Energy and Technological Advancements; Advances in Sustainability Science and Technology; Springer: Singapore, 2022; pp. 837–845. [Google Scholar]
- Batini, C.; Cappiello, C.; Francalanci, C.; Maurino, A.; Viscusi, G. A capacity and Value Based Model for Data Architectures Adopting Integration Technologies. In Proceedings of the 17th Americas Conference on Information Systems, AMCIS 2011, Detroit, MI, USA, 4–8 August 2011. [Google Scholar]
- Pipino, L.L.; Lee, Y.W.; Wang, R.Y. Data Quality Assessment. Commun. ACM 2002, 45, 211–218. [Google Scholar] [CrossRef]
- Heinrich, B.; Klier, M. Assessing data currency—A Probabilistic Approach. J. Inf. Sci. 2011, 37, 86–100. [Google Scholar] [CrossRef]
- Cho, J.; Garcia-Molina, H. Effective Page Refresh Policies for Web Crawlers. ACM Trans. Database Syst. 2003, 28, 390–426. [Google Scholar] [CrossRef]
- McCann, M.; Li, Y.; Maguire, L.; Johnston, A. Causality Challenge: Benchmarking Relevant Signal Components for Effective Monitoring and Process Control. J. Mach. Learn. Res. 2010, 6, 277–288. [Google Scholar]


Publisher’s Note: MDPI stays neutral with regard to jurisdictional claims in published maps and institutional affiliations. |
© 2022 by the authors. Licensee MDPI, Basel, Switzerland. This article is an open access article distributed under the terms and conditions of the Creative Commons Attribution (CC BY) license (https://creativecommons.org/licenses/by/4.0/).
Share and Cite
Liu, Z.; Ding, X.; Tang, J.; Jiang, Y.; Hu, D. Anomaly Monitoring of Process Based on Recurrent Timeliness Rules (AMP-RTR). Appl. Sci. 2022, 12, 12917. https://doi.org/10.3390/app122412917
Liu Z, Ding X, Tang J, Jiang Y, Hu D. Anomaly Monitoring of Process Based on Recurrent Timeliness Rules (AMP-RTR). Applied Sciences. 2022; 12(24):12917. https://doi.org/10.3390/app122412917
Chicago/Turabian StyleLiu, Zehua, Xuefeng Ding, Jun Tang, Yuming Jiang, and Dasha Hu. 2022. "Anomaly Monitoring of Process Based on Recurrent Timeliness Rules (AMP-RTR)" Applied Sciences 12, no. 24: 12917. https://doi.org/10.3390/app122412917
APA StyleLiu, Z., Ding, X., Tang, J., Jiang, Y., & Hu, D. (2022). Anomaly Monitoring of Process Based on Recurrent Timeliness Rules (AMP-RTR). Applied Sciences, 12(24), 12917. https://doi.org/10.3390/app122412917
